№1555 от 04.08.2025
Приказ Федерального агентства по техническому регулированию и метрологии (Росстандарт)
# 700872
ПРИКАЗ О внесении изменений в сведения об утвержденных типах СИ (1)
Приказы по основной деятельности по агентству Вн. Приказ № 1555 от 04.08.2025
Лист № 1
Всего листов 8
Регистрационный № 77692-20
ОПИСАНИЕ ТИПА СРЕДСТВА ИЗМЕРЕНИЙ
Частотомеры универсальные Ч3-95 Назначение средства измеренийЧастотомеры универсальные Ч3-95 (далее - прибор) предназначены для измерения: частоты непрерывных колебаний и несущей частоты радиоимпульсных сигналов, длительности и периода следования импульсов, длительности фронта и спада импульсов, длительности интервалов времени, отношения частот двух сигналов, счета числа колебаний, разности фаз двух синхронных сигналов, суммирования числа колебаний.
Описание средства измеренийПринцип действия прибора основан на формировании на установленном уровне входного сигнала и последующем измерении интервала Tx, равного при временных измерениях измеряемому параметру (длительности импульса, длительности фронта или спада импульса, длительности интервала времени) или целому числу периодов входного сигнала за установленное время измерения (счета) tс при измерении частоты и периода сигнала.
Интервал времени Тх измеряется интерполяционным методом.
Высокая точность измерений обеспечивается внутренним опорным кварцевым термостатированным генератором. Возможна работа прибора от внешнего источника опорного сигнала. Внешний или внутренний опорный сигнал подается также на наружный разъем и может быть использован для синхронизации внешних устройств.
Работа прибора осуществляется под контролем встроенного микропроцессорного устройства, которое обеспечивает управление режимами работы, отображение параметров и результатов измерения на экране, а также дистанционное управление по интерфейсу RS-232, ETHERNET и последовательно-параллельному интерфейсу КОП.
Разъемы интерфейсов RS-232, КОП и ETHERNET выведены на заднюю панель прибора для осуществления работы в режиме дистанционного управления.
Частотомеры универсальные Ч3-95 выпускаются в двух вариантах исполнения: базовый вариант исполнения Ч3-95 и вариант исполнения Ч3-95/1 с расширенными функциональными возможностями.
Базовый вариант исполнения Ч3-95 предназначен для измерения частоты (периода) непрерывных синусоидальных и видеоимпульсных сигналов, временных параметров видеоимпульсных сигналов (длительности, периода следования, длительности фронта и спада импульсов), интервалов времени в диапазоне частот от 0,001 Гц до 300 МГц по входам А и В и для измерения частоты колебаний непрерывных синусоидальных сигналов в диапазоне частот от 37,5 до 78,33 ГГц по входу С.
Вариант исполнения Ч3-95/1 отличается от базового варианта исполнения дополнительными функциями: возможностью обеспечения измерений отношения частот двух непрерывных синусоидальных или видеоимпульсных сигналов, разности фаз двух синхронных синусоидальных сигналов с частотой от 1 кГц до 10 МГц, несущей частоты радиоимпульсных сигналов в диапазоне частот от 37,5 до 78,33 ГГц по входу С, а также возможностью формирования огибающей ИМ сигнала в виде прямоугольного импульса, суммирования числа колебаний по входу A за время, задаваемое по входу B, и расширения ряда счета числа колебаний.
Прибор имеет конструкцию настольного исполнения и выполнен в унифицированном корпусе типа «Надел-85».
Каркас прибора состоит из двух боковых стенок, верхней и нижней крышек. На нижней крышке расположены съемные ножки прибора.
Управление прибора осуществляется с помощью клавиатуры, размещенной на передней панели прибора.
Передняя панель состоит из несущей панели, на которой закреплены печатная плата клавиатуры с кнопочными переключателями управления и световыми индикаторами, входные ВЧ разъемы и графический жидкокристаллический дисплей с адаптером ЖКИ и индикатор счёта.
Индикация режимов измерения, результатов измерения и вспомогательной информации осуществляется на экране графического дисплея в алфавитно-цифровой форме.
Между боковыми стенками закреплено горизонтальное шасси, на котором размещены печатные узлы функциональных частей прибора: преобразователь частоты; блок счетный, генератор ударного возбуждения (ГУВ) 2 шт., узел источников питания, блок опорных частот с кварцевым генератором, устройство микропроцессорное, формирователь сигналов, синтезатор частоты, интерфейс КОП.
Межузловые соединения выполнены с помощью ВЧ кабелей с соединителями врубного типа (SMB) и ленточных кабелей - шлейфов с НЧ соединителями.
Общий вид приборов и места нанесения знака утверждения типа приведены на рисунках 1 и 2.

Рисунок 1 - Общий вид частотомера универсального Ч3-95 и место нанесения знака утверждения типа

Рисунок 2 - Общий вид частотомера универсального Ч3-95/1 и место нанесения знака утверждения типа
Схема пломбировки от несанкционированного доступа, обозначение мест нанесения знака поверки, заводского номера и года выпуска представлены на рисунке 3.
Заводской номер, обеспечивающий идентификацию каждого экземпляра прибора, наносится на задней панели прибора чёрной краской методом шелкографии в виде надписи, состоящей из символа № и трех арабских цифр.
Места пломбировки от несанкционированного
Места нанесения заводского номера прибора и года выпхтк

Рисунок 3 - Схема пломбировки от несанкционированного доступа с нанесением знака поверки, обозначение мест нанесения заводского номера и года выпуска
f ---- вИУТР -ч |
10МН* |
^^СИНХР --- ВНУТР -Ч |
V 8ИЕШИ |
Выполнение алгоритма функционирования прибора осуществляется программным обеспечением (ПО). ПО прибора имеет структуру с разделением на метрологически значимую и метрологически незначимую части.
Метрологически значимая часть включает в себя встроенное программное обеспечение, данные которого зашиты в постоянном запоминающем устройстве (ПЗУ), программируемой логической интегральной схеме (ПЛИС), микроконтроллере центрального процессора и предназначена для управления режимами работы прибора и индикации.
Встроенное ПО предназначено для приема внешних команд управления, изменения режимов работы в соответствии с полученными командами, приема внешних запросов о текущем состоянии при подключении к ПЭВМ, выполнения процедуры самотестирования и проведения калибровки.
ПЗУ хранит программу работы частотомера универсального. При включении прибора происходит перепись программы в оперативное запоминающее устройство (ОЗУ), используемое при работе прибора.
В энергонезависимой памяти центрального процессора хранятся калибровочные коэффициенты, версия ПО и другая информация, необходимая для функционирования прибора.
Метрологически незначимая часть ПО предназначена для дистанционного управления прибором через интерфейсы RS-232, КОП и ETHERNET.
Метрологически незначимая часть ПО управляется операционной системой Microsoft Windows XP SP2 или более поздней версией.
Диск с программным обеспечением ТНСК.00116 для дистанционного управления прибором входит в комплект поставки прибора (по отдельному заказу).
В приборе предусмотрены меры защиты от преднамеренного и непреднамеренного изменения ПО. Потребитель не имеет возможности обновления или загрузки новых версий ПО. В режиме внешнего управления реализовано однозначное назначение каждой команды в соответствии с руководством по эксплуатации, поэтому невозможно подвергнуть ПО приборов искажающему воздействию через интерфейсы пользователя. Без нарушения целостности заводских пломб и конструкции прибора невозможно удаление запоминающих устройств или их замена.
Метрологические характеристики нормированы с учетом влияния программного обеспечения.
Конструкция прибора исключает возможность несанкционированного влияния на ПО прибора и измерительную информацию.
Уровень защиты программного обеспечения от непреднамеренных и преднамеренных изменений в соответствии с Р 50.2.077 - 2014 - высокий.
Таблица 1 - Идентификационные данные программного обеспечения
Идентификационные данные (признаки) |
Значение |
Идентификационное наименование ПО |
CH3 95 |
Номер версии (идентификационный номер) ПО |
не ниже 1.0 |
Цифровой идентификатор ПО |
0ХЕ3А24В39 |
Алгоритм вычисления цифрового идентификатора ПО |
CRC-32 |
Таблица 2 -
Наименование характеристики |
Значение |
Диапазон измеряемых частот по входам А и В, Гц |
от 0,001 до 3^108 |
Уровни входных сигналов, В: - синусоидальной формы (иэфф); |
от 0,03 до 10 |
- видеоимпульсной формы (иампл) |
от 0,1 до 10 |
Минимальная длительность импульса, нс, не более |
1,65 |
Диапазон измерения длительности импульсов положительной и отрицательной полярности по входам А и В на установленном уровне запуска при максимальной частоте следования не более 100 МГц, с |
от 5^10-9 до 1^103 |
Уровень входных видеоимпульсных сигналов, В |
от 0,1 до 10 |
Диапазон измерения длительности фронта и спада импульсов положительной и отрицательной полярности по входам А и В, нс |
от 5 до 1^105 |
Уровень входных видеоимпульсных сигналов, В |
от 1 до 2 |
Диапазон измерения длительности интервала времени между импульсами положительной или/и отрицательной полярности, поступающих на входы А и В, на заданных уровнях запуска каналов А и В, с |
от -1000 до +1000 |
Минимальная длительность импульсов, нс, не более |
1,65 |
Уровень входных видеоимпульсных сигналов, В |
от 0,1 до 10 |
Для исполнения Ч3-95/1 в режиме измерения разности фаз: - диапазон измерения разности фаз двух синхронных синусоидальных сигналов в диапазоне от 0 до ±180°, Гц; |
от 1^103 до 1^107 |
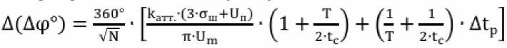
- пределы допускаемой абсолютной погрешности измерений среднего значения разности фаз двух синхронных синусоидальных сигналов, °, не более |
Л(Лф°) *5 |
Для исполнения Ч3-95/1 в режиме измерения отношения частот: - диапазон высшей (Гв) из сравниваемых частот (вход B), Гц; |
от 1 до 3^108 |
- диапазон низшей (Гн) из сравниваемых частот (вход A), Гц; |
от 0,1 до 3^108 |
- пределы допускаемой относительной погрешности измерений отношения частот двух непрерывных синусоидальных или ви-деоимпульсных сигналов, не более |
± (бзап.Гн + l/tc^fb) *6. |
Диапазон установки и индикации уровней запуска каналов А и В с учетом полярности сигнала в автоматическом (при частоте синусоидальных колебаний или частоте следования импульсов не менее 1 кГц) или в ручном режимах, В |
от -2 до +2 |
Пределы допускаемой абсолютной погрешности установки уровней запуска, В |
±0,01 |
Пределы допускаемой относительной погрешности измерения частоты по входам А и В, 5 (Г, P) |
±(|5о|+|5зап|+|Лtp|/tc)*1 |
Пределы допускаемой погрешности запуска, 5зап |
±2•(3cш+Uп)/S•tc*2 |
Пределы допускаемой абсолютной погрешности измерения временных параметров импульсов Atx (длительность, фронт, спад) и |
:(5о'1\+Л1сис+А1\р+Л1-1ан+А1р) |
интервалов времени, с |
*3 |
таблицы 2
Наименование характеристики |
Значение |
Диапазон измерения частоты непрерывных (НГ) синусоидальных колебаний по входу С, ГГц Для исполнения Ч3-95/1 в режиме измерения несущей частоты радиоимпульсных сигналов, ГГц |
от 37,5 до 78,33 от 37,5 до 78,33 |
Уровень мощности входных сигналов по входу С, мВт |
от 0,5 до 5 |
КСВН канала С, не более |
3 |
Пределы допускаемой относительной погрешности измерения частоты сигналов по входу С, 5f |
±[бо + бпр(tс)+К•бдискр]*4 |
Номинальное значение частоты внутреннего кварцевого генератора, МГц |
10 |
Относительная погрешность по частоте кварцевого генератора при выпуске прибора, по истечении времени установления рабочего режима не менее 1 ч |
±2-10-8 |
Относительная погрешность по частоте кварцевого генератора через 10 мин после включения прибора |
±2-10-7 |
Относительная погрешность по частоте кварцевого генератора за 24 мес по истечении времени установления рабочего режима |
±2-10-7 |
Пределы коррекции частоты кварцевого генератора относительно номинального значения |
±3-10-7 |
Частота внешнего источника опорного сигнала напряжением от 0,2 до 1 В на нагрузке 50 Ом, МГц |
5 или 10 |
Частота выходного опорного сигнала с размахом не менее 1 В на нагрузке 50 Ом при работе от внутреннего или внешнего источника опорного сигнала, МГц |
5 и 10 |
Устанавливаемое время счета в режиме измерения частоты (периода) непрерывных сигналов tc, мс: *7
|
1-10-3; 1-10-2; 1.10-1; 1; 10; 102; 1-103; 1-104; 1-105 1-10-4; 1-10-3; 1-10-2; 1-101; 1; 10; 102; 1-103; 1-104; 1-105 |
*1 где 5о - относительная погрешность по частоте опорного генератора; бзап - относительная погрешность запуска - случайная составляющая погрешности, обусловленная влиянием внутренних шумов измерительного тракта, отношением сигнал/шум входного сигнала и крутизной перепада напряжения входного сигнала в точке запуска; Atp - аппаратурная разрешающая способность измерения - случайная составляющая погрешности, обусловленная несовпадением фаз входного и опорного сигналов, с; tc - установленное время счета, с. *2 где Сш - приведенное к входу измерительного тракта среднеквадратическое значение шума в рабочей полосе частот. ип - напряжение помехи входного сигнала (пиковое значение), В; S - крутизна перепада напряжения входного сигнала в точке запуска, В/с; tc - установленное время счета, с. *3 где бо - относительная погрешность по частоте опорного генератора; tx - измеряемый временной интервал, с; Atсис - систематическая погрешность измерения, обусловленная неидентичностью трактов интерполяционного преобразования, с; |
Наименование характеристики
Значение
Лtур - погрешность измерения, обусловленная погрешностью установки уровней запуска, с;
Atзаn - случайная составляющая погрешности, обусловленная влиянием шумов измерительных трактов, отношением сигнал/шум входного сигнала и крутизной перепада напряжения входного сигнала в точке запуска, с;
Atp - аппаратурная разрешающая способность измерения - случайная составляющая погрешности, обусловленная несовпадением фаз входного и опорного сигналов, с; *4 где: 1x - значение несущей частоты сигнала;
SHFCto) - относительная погрешность преобразования несущей частоты входных сигналов в диапазон промежуточных частот 1пч, обусловленная отклонением частоты гетеродина на интервале времени счета tс;
К - коэффициент преобразования; К = 1пч / 1х;
1пч - преобразованная (промежуточная) частота, измеряемая частотомером;
бдискр - аппаратная погрешность однократного измерения промежуточной частоты Гпч сигнала, при времени счета tc; бдискр = Atf/to.
5

где N - коэффициент усреднения;
катт. - коэффициент ослабления аттенюатора;
T=1/fx - период следования входного сигнала.
*6 где: д;аи.1н - относительная погрешность запуска канала, на который поступает сигнал с частотой Гн;
1н - значение низшей, 1в - значение высшей из сравниваемых частот.
*7 Реальное время счета устанавливается автоматически равным целому числу периодов входного сигнала с учетом выбранного времени счета, но не может быть менее одного периода входного сигнала
Таблица 3 - Основные технические характеристики
Наименование характеристики |
Значение |
Параметры электрического питания: - напряжение переменного тока, В |
220+22 |
- частота переменного тока, Гц |
50+1 |
Потребляемая мощность, В-А, не более |
100 |
Габаритные размеры средства измерений, мм, не более - высота |
130,5 |
- ширина |
299 |
- длина |
433 |
Масса, кг, не более |
8,5 |
Рабочие условия эксплуатации: - температура окружающего воздуха, °С |
от -10 до +40 |
- относительная влажность воздуха при температуре +30 °С, % |
95 |
- атмосферное давление, кПа |
от 60 до 106 |
Таблица 4 - Показатели надежности
Наименование характеристики |
Значение |
Средний срок службы, лет |
15 |
Средняя наработка на отказ, ч |
15000 |
наносится на титульный лист руководства по эксплуатации и формуляра типографским способом и на приборы сеткографическим способом.
Комплектность средства измеренийТаблица 5 - Комплектность средства измерений
Наименование, тип |
Обозначение |
Количество |
Частотомер универсальный Ч3-95 или Ч3-95/1 |
ТНСК.411142.006 или ТНСК.411142.006-01 |
1 шт. |
Комплект принадлежностей |
ТННК.411918.004 |
1 шт. |
Руководство по эксплуатации |
ТНСК.411142.006РЭ |
1 экз. |
Формуляр |
ТНСК.411142.006ФО |
1 экз. |
Ящик укладочный |
ТНСК.323365.004 |
1 шт. |
приведены в разделе 6 «Порядок работы» документа ТНСК.411142.006РЭ «Частотомер универсальный Ч3-95. Руководство по эксплуатации».
Нормативные документы, устанавливающие требования к средству измеренийПриказ Росстандарта от 26.09.2022 № 2360 «Об утверждении Государственной поверочной схемы для средств измерений времени и частоты»
ГОСТ 22261-94 «Средства измерений электрических и магнитных величин. Общие технические условия»
ТНСК.411142.006 ТУ «Частотомер универсальный Ч3-95. Технические условия».
ТР ТС 004/2011 «Технический регламент Таможенного союза «О безопасности низковольтного оборудования»
ТР ТС 020/2011 «Технический регламент Таможенного союза «Электромагнитная совместимость технических средств»
ИзготовительАкционерное общество «Научно-производственная фирма «Техноякс» (АО «НПФ «Техноякс»)
ИНН 7719247218
Адрес: 105484, г. Москва, 16-я Парковая ул., д. 30
Телефон: (499) 464-23-47, факс: (499) 464-59-81
Web-сайт: www.tehnojaks.com
Е-mail: mail@tehnojaks.ru
Испытательный центрФедеральное бюджетное учреждение «Государственный региональный центр стандартизации, метрологии и испытаний в Нижегородской области»
(ФБУ «Нижегородский ЦСМ»)
Адрес: 603950, г. Нижний Новгород, ул. Республиканская, д. 1
Телефон (831) 428-78-78, факс (831) 428-57-48
Web-сайт: www.nncsm.ru
Е-mail: mail@nncsm.ru
Уникальный номер записи в реестре аккредитованных лиц 30011-13

МИШ1СТЕРСТВО ПРОМЫШЛЕННОСТИ и ТОРГОВЛИ РОССИЙСКОЙ ФЕДЕРАЦИИ
ФЕДЕРАЛЬНОЕ АГЕНТСТВО
ПО ТЕХНИЧЕСКОМУ РЕГУЛИРОВАНИЮ И МЕТРОЛОГИИ (Росстандарт)
ПРИКАЗ04 августа 2025 г.
1555
Москва
О внесении изменений в сведения об утвержденном типе средства измерений
В соответствии с Административным регламентом по предоставлению Федеральным агентством по техническому регулированию и метрологии государственной услуги по утверждению типа стандартных образцов или типа средств измерений, утвержденным приказом Федерального агентства по техническому регулированию и метрологии от 12 ноября 2018 г. № 2346, п р и к а з ы в а ю:
-
1. Внести изменения в сведения об утвержденном типе средства измерений в части конструктивных изменений, влияющих на его метрологические характеристики, согласно приложению к настоящему приказу.
-
2. Утвердить измененное описание типа средства измерений, прилагаемое к настоящему приказу.
измерений,
приказу,
-
3. Распространить действие методики поверки средства установленной согласно приложению к настоящему
на средства измерений, находящиеся в эксплуатации.
поверками,
-
4. Распространить новое значение интервала между в том числе на средства измерений находящиеся в эксплуатации.
-
5. ФБУ «НИЦ ПМ - Ростест» внести сведения об утвержденном типе средства измерений согласно приложению к настоящему приказу в Федеральный информационный фонд по обеспечению единства измерений в соответствии с Порядком создания и ведения Федерального информационного фонда по обеспечению единства измерений, передачи сведений в него и внесения изменений в данные сведения, предоставления содержащихся в нем документов и сведений, утвержденным приказом Министерства промышленности и торговли Российской Федерации от 28 августа 2020 г. № 2906.
-
6. Контроль за исполнением настоящего приказа оставляю за собой
Z \
Заместитель руководителя
Подлинник электронного документа, подписанного ЭП, хранится в системе электронного документооборота Федерального агентства по техническому регулированию и метрологии
Е.Р. Лазаренко
СВЕДЕНИЯ О СЕРТИФИКАТЕ ЭП
Сертификат: 7B1801563EA497F787EAF40A918A8D6F
Кому выдан: Лазаренко Евгений Русланович
Действителен: с 19.05.2025 до 12.08.2026
\_____________
ПРИЛОЖЕНИЕ
к приказу Федерального агентства по техническому регулированию и метрологии
{ШР^с^а 2025 г. № ____
Сведения
об утвержденном типе средства измерений, подлежащие изменению
в части конструктивных изменений, влияющих на метрологические характеристики средства измерений
№ п/п
1
1.
Наименование типа
Частотомеры универсальные
Обозначение типа
Заводской номер
Регистрационный номер в ФИФ
Правообладатель
Отменяемая методика поверки
Действие методики поверки сохраняется
Устанавливаемая методика поверки
Интерв ал
между поверк ами
Добавляе мый изготови тель
3

4
002
5
77692-20
6

ТНСК.411142. 006РЭ
8

ТНСК.411142. 006МП
10
1 год
10

Дата утверждения акта испытаний
11
17.12.
2024
Заявитель |
Юридиче ское лицо, проводив шее испытан ия |
12 |
13 |
Акционерн |
ФБУ |
ое |
«Нижег |
общество |
ородски |
«Научно- |
й |
производст |
ЦСМ», |
венная |
г. |
фирма |
Нижний |
«Техноякс» |
Новгоро |
(АО «НПФ |
д |
«Техноякс» | |
), г. Москва |