№1618 от 08.08.2025
Приказ Федерального агентства по техническому регулированию и метрологии (Росстандарт)
# 702038
ПРИКАЗ_Об утверждении типов средств измерений (14)
Приказы по основной деятельности по агентству Вн. Приказ № 1618 от 08.08.2025
№ п/
_1
1.

Наименование типа
Газоанализаторы поточные
Дозатор весовой авто-
матический
дискретного действия
Обозначение
типа
ЭкоСпектр-888
FS-T10K
Код характера произ-вод-ства

Рег. Номер
5
96052-25
96053-25
ПРИЛОЖЕНИЕ
к приказу Федерального агентства по техническому регулированию
и метрологии
2025 г. № y^y_
от « __ »
Сведения
об утвержденном(ых) типе(ах) средства(в) измерений
Зав. номер(а) *
_________6
S0001
063652
Изготовители
Общество с ограниченной ответственностью "Научно-производственное предприятие "ЭКОХИМ-ПРИБОР" (ООО "НПП "ЭКОХИМ-ПРИБОР"), Московская область, г. Дубна, ИНН 5010053321 "Feige GmbH, Abfulltechnik", Германия
Правообладатель
Общество с ограниченной ответственностью "Научно-производственное предприятие "ЭКОХИМ-ПРИБОР" (ООО "НПП "ЭКОХИМ-ПРИБОР"), Московская область, г. Дубна, ИНН 5010053321 "Feige GmbH, Abfulltechnik", Германия
Код иден-тифи-кации производства
Методика поверки
Интервал между поверками
Заявитель
Юридическое лицо, проводившее испытания
Дата утверждения акта
___9
ОС
ОС
10
МП-705
2025 "ГСИ. Газоанали-
заторы поточные ЭкоСпектр-888. Методика поверки"
МП-5222024 "ГСИ. Дозатор весовой автомати-
ческий
__11
1 год
1 год
12
Общество с ограниченной ответственностью "Научно-производственное предприятие "ЭКОХИМ-ПРИБОР" (ООО "НПП "ЭКОХИМ-ПРИБОР"), Московская область, г. Дубна, ИНН 5010053321 Общество с ограниченной ответственностью "ЛЛК-Интернешнл" (ООО "ЛЛК-
13
ООО
"ПРОММАШ ТЕСТ Метрология", Московская область, г. Чехов
ООО "ПРОММАШ ТЕСТ Метрология", г. Чехов, Московская обл.
14
25.02.2025
19.03.2025










Системы автоматического управления газо-распределительной станцией
РИУС-
ГРС

96054-25
2390/24
Общество с ограниченной ответственностью "Вега-ГАЗ" (ООО "Вега-ГАЗ"), г. Москва ИНН 7704173066
Общество с ограниченной ответственностью "Вега-ГАЗ" (ООО "Вега-ГАЗ"), г. Москва ИНН 7704173066
РФ

Трансформаторы тока
ТФЗМ 110Б-ivyi

96055-25
12681, 12682,
12714, 12716,
12728, 12729

Преобразователи давления измерительные
DMF73

96056-25
модификация DMF73H с зав. № C2403000006; модификация DMF73H с зав. № C2403000007; модификация DMF73P с зав. №
Открытое акционерное общество "Запорожский завод высоковольтной аппаратуры" (ОАО "ЗЗВА"), г. Запорожье (изготовлены в 2001-2002 г.) Chongqing Xuxin Technology Co., Ltd, Китай
Открытое акционерное общество "Запорожский завод высоковольтной аппаратуры" (ОАО "ЗЗВА"), г. Запорожье
Chongqing Xuxin Technology Co., Ltd, Китай
ОС
ОС
дискретного действия FS-T10K. Методика поверки" РТ-МП-392-201/22025 "ГСИ.
Системы автоматического управления газорас-предели-тельной станцией
РИУС-ГРС. Методика поверки"
ГОСТ 8.217-2024 "ГСИ.
Трансформаторы тока. Методика поверки"
РТ-МП-368-2022025 "ГСИ. Преобразователи давления измерительные

Интернешнл"), г. Москва ИНН 7702583250


4 года
8 лет
3 года
Общество с ограниченной ответственностью "Вега-ГАЗ" (ООО "Вега-ГАЗ"), г. Москва ИНН 7704173066
Общество с ограниченной ответственностью "Системы Релейной Защиты" (ООО "Системы Релейной Защиты"), г. Москва ИНН 7722722657
Общество с ограниченной ответственнсо-тью "НОРД СЕРВИС" (ООО "НОРД СЕРВИС"), г. Москва ИНН
ФБУ "НИЦ ПМ - Ростест", г. Москва
ООО "ЛЕММА", г. Екатеринбург
ФБУ "НИЦ ПМ - Ростест", г. Москва
04.04.2025
20.02.2025
17.04.2025






Система ав- |
Обозна- |
томатизиро- |
чение |
ванная ин- |
отсут- |
формацион- |
ствует |
но- | |
измеритель- | |
ная коммер- | |
ческого уче- | |
та электро- | |
энергии | |
(АИИС | |
КУЭ) ООО | |
"Первый | |
Мясокомби- |
нат"

96057-25
C2403000005; модификация
DMF73P с зав. № C2403000004; модификация
DMF73G с зав. № C2403000002; модификация
DMF73G с зав. № C2403000001; модификация
DMF73X с зав. № C2403000008; модификация
DMF73X с зав. №
C240300000A 1408



DMF73.
Методика поверки"

Система измерений количества и показателей
Обозначение отсутствует

96058-25
922
Общество с ограниченной ответственностью "ВН-Энерготрейд" (ООО "ВН-Энерготрейд"), Московская область, г. Чехов ИНН 5048024231
Общество с ограниченной ответственностью "Первый Мясокомбинат" (ООО "Первый Мясокомбинат"), г. Нижний Новгород ИНН 5256050730
ОС

7725739948


Общество с ограниченной ответственностью "Транс-
Общество с ограниченной ответственностью "Транс-
ОС
МП СМО-1605-2025 "ГСИ. Система ав-томатизи-рованная информационно-измерительная коммерческого учета электроэнергии (АИИС
КУЭ) ООО "Первый
Мясокомбинат".
Методика поверки" МП-0072-
ТАМ-2025 "ГСИ. Система из-
4 года
1 год
Акционерное общество "РЭС Групп" (АО "РЭС Групп"), г. Владимир ИНН 3328489050
Акционерное общество "Транснефть -Автоматизация
АО "РЭС Групп", г. Владимир
АО "Транснефть - Автоматизация и
Метрология",
16.05.2025


качества нефти № 922 ПСП "Находка". Резервная схема учета




нефть - Порт Козьмино" (ООО "Транснефть - Порт Козьмино"), Приморский край, г.
Находка ИНН 2508081814
нефть - Порт Козьмино" (ООО "Транснефть - Порт Козьмино"), Приморский край, г.
Находка ИНН 2508081814

Система ав- |
Обозна- |
томатизиро- |
чение |
ванная ин- |
отсут- |
формацион- |
ствует |
но- | |
измеритель- | |
ная коммер- | |
ческого уче- | |
та электри- | |
ческой энер- | |
гии (АИИС | |
КУЭ) ООО | |
"СВЭСКО" |

96059-25
001
Общество с ограниченной ответственностью "Автоматизированные системы в энергетике"
(ООО "АСЭ"), г. Владимир
ИНН 3329074523
Общество с ограниченной ответственностью "Автоматизированные системы в энергетике"
(ООО "АСЭ"), г. Владимир
ИНН 3329074523
ОС

Система ав- |
Обозна- |
томатизиро- |
чение |
ванная ин- |
отсут- |
формацион- |
ствует |
но- | |
измеритель- | |
ная коммер- | |
ческого уче- | |
та электро- |

96060-25
692
Публичное акционерное общество "Федеральная сетевая компания - Россети" (ПАО "Россети"), г. Москва ИНН
Публичное акционерное общество "Федеральная сетевая компания - Россети" (ПАО "Россети"), г. Москва ИНН
ОС
мерений количества и показателей качества нефти № 922 ПСП "Находка". Резервная схема учета. Методика поверки"
МП 4-2025 "ГСИ. Система ав-томатизи-рованная информационно-измерительная коммерческого учета электрической энергии (АИИС КУЭ) ООО "СВЭС-КО". Методика поверки"
МП-0042025 "ГСИ.
Система автоматизированная информационно-измерительная

4 года
4 года
и Метрология" (АО "Транснефть - Автоматизация и Метрология"), г. Москва ИНН 7723107453
Общество с ограниченной ответственностью "Автоматизированные системы в энергетике"
(ООО "АСЭ"), г. Владимир
ИНН 3329074523
Общество с ограниченной ответственностью "Инженерный центр "ЭНЕРГОАУДИТ-КОНТРОЛЬ" (ООО "ИЦ
г. Москва

ООО "АСЭ", г. Владимир
ООО "Энер-Тест", Московская обл., г. Химки
20.03.2025
24.01.2025

энергии
АИИС КУЭ
ЕНЭС ПС 220 кВ
Правобережная



10.
Комплекс обнаружения начальной стадии подземных пожаров
КОН-СПП

96061-25

4716016979
4716016979

11.
Извещатели |
ИП 101- |
пожарные |
2-PR- |
тепловые |
485 (РО |
рудничные особовзры-вобезопас- |
АСПЗ) |
ные |

96062-25
000018, 000019
12.
Система ав-
томатизиро-
Обозначение

96063-25
01/2025
Общество с ограниченной ответственностью "СПбЭК-
Майнинг"
(ООО "СПб-
ЭК-Майнинг"), г.
Санкт-Петербург,
ИНН
7820326027
Общество с ограниченной ответственностью "СПбЭК-
Майнинг"
(ООО "СПб-
ЭК-Майнинг"), г.
Санкт-Петербург
ИНН
7820326027
Общество с ограниченной
Общество с ограниченной ответственностью "СПбЭК-
Майнинг"
(ООО "СПб-
ЭК-Майнинг"), г.
Санкт-Петербург,
ИНН
7820326027
Общество с ограниченной ответственностью "СПбЭК-
Майнинг"
(ООО "СПб-
ЭК-Майнинг"), г.
Санкт-Петербург
ИНН
7820326027
Общество с ограниченной
ОС
ОС
ОС
коммерческого учета электроэнергии АИИС
КУЭ ЕНЭС ПС 220 кВ Правобережная.
Методика поверки" МП 34221-2025 "ГСИ.
Комплекс обнаружения начальной стадии подземных пожаров КОНСПП. Методика поверки" МП 33221-2025 "ГСИ. Извещатели пожарные тепловые рудничные особовзры-вобезопас-ные ИП 101-2-PR-485 (РО АСПЗ).
Методика поверки" МП ЭПР-779-2025

ЭАК"),
г. Москва ИНН
7733157421


1 год
2 года
4 года
Общество с ограниченной ответственностью "СПбЭК-
Майнинг"
(ООО "СПб-ЭК-Майнинг"),
г. Санкт-Петербург,
ИНН
7820326027
Общество с ограниченной ответственностью "СПбЭК-
Майнинг"
(ООО "СПб-
ЭК-Майнинг"), г. Санкт-Петербург
ИНН
7820326027
Общество с ограниченной
УНИИМ - филиал ФГУП "ВНИИМ им. Д.И. Менделеева", г. Екатеринбург
УНИИМ - филиал ФГУП "ВНИИМ им.Д.И.Менде леева", г. Екатеринбург
ООО "Энер-гоПромРе-
29.04.2025
28.04.2025

ванная ин-формацион-но-измерительная коммерческого учета электроэнергии (АИИС КУЭ) "Тей-ковская котельная"
отсутствует



ответственностью "ГАРАНТ ЭНЕРГО" (ООО "ГАРАНТ ЭНЕРГО"), г. Пенза ИНН 7709782777
ответственностью "ГАРАНТ ЭНЕРГО" (ООО "ГАРАНТ ЭНЕРГО"), г. Пенза ИНН 7709782777

13.
Система ав-томатизиро-ванная ин-формацион-но-измерительная коммерческого учета электроэнергии (АИИС КУЭ) АО "Карельский окатыш" 3-я очередь
Обозначение отсутствует

96064-25
002
Общество с ограниченной ответственностью "Энерго-ПромРесурс" (ООО "Энер-гоПромРе-сурс"), Московская обл., г. Красногорск ИНН 5024145974
Акционерное общество "Карельский окатыш" (АО "Карельский окатыш"), Республика Карелия, г. Костомукша ИНН 1004001744
ОС
"ГСИ. Система ав-томатизи-рованная информационно-измерительная коммерческого учета электроэнергии (АИИС КУЭ) "Тейков-ская котельная". Методика поверки" МП ЭПР-764-2025 "ГСИ. Система ав-томатизи-рованная информационно-измерительная коммерческого учета электроэнергии (АИИС КУЭ) АО "Карельский окатыш" 3-я очередь.
Методика поверки"

4 года
ответственностью "Агентство энергетических решений" (ООО "АЭР"), г. Москва ИНН 7722771911
Общество с ограниченной ответственностью "Энерго-ПромРесурс" (ООО "Энер-гоПромРе-сурс"), Московская обл., г. Красногорск ИНН 5024145974
сурс", Московская обл., г. Красногорск

ООО "Энер-гоПромРе-сурс", Московская обл., г. Красногорск
18.03.2025
14.
Система ав- |
Обозна- |
Е |
96065-25 |
001 |
Общество с |
Общество с |
ОС |
МП ЭПР- |
4 года |
Общество с |
ООО "Энер- |
томатизиро- |
чение |
ограниченной |
ограниченной |
780-2025 |
ограниченной |
гоПромРе- | |||||
ванная ин- |
отсут- |
ответственно- |
ответственно- |
"ГСИ. Си- |
ответственно- |
сурс", Мос- | |||||
формацион- |
ствует |
стью "РН- |
стью "Урал- |
стема ав- |
стью "РН- |
ковская обл., | |||||
но- |
Энерго" (ООО |
Сталь" (ООО |
томатизи- |
Энерго" (ООО |
г. Красно- | ||||||
измерительная коммерческого учета электроэнергии (АИИС КУЭ) ООО "УралСталь" |
"РН-Энерго"), Московская обл., г.о. Красногорск, пгт. Путилково ИНН 7706525041 |
"УралСталь"), Челябинская обл., г. Магнитогорск ИНН 7446050604 |
рованная информационно-измерительная коммерческого учета электроэнергии (АИИС КУЭ) ООО "Урал-Сталь". Методика поверки" |
"РН-Энерго"), Московская обл., г.о. Красногорск, пгт. Путилково ИНН 7706525041 |
горск |
30.04.2025

МИНИСТЕРСТВО ПРОМЫШЛЕННОСТИ И ТОРГОВЛИ РОССИЙСКОЙ ФЕДЕРАЦИИ
ФЕДЕРАЛЬНОЕ АГЕНТСТВО
ПО ТЕХНИЧЕСКОМУ РЕГУЛИРОВАНИЮ И МЕТРОЛОГИИ
(Росстандарт)
08 августа 2025 г.
1618
Москва
Об утверждении типов средств измерений
В соответствии с Административным регламентом по предоставлению Федеральным агентством по техническому регулированию и метрологии государственной услуги по утверждению типа стандартных образцов или типа средств измерений, утвержденным приказом Федерального агентства по техническому регулированию и метрологии от 12 ноября 2018 г. № 2346, п р и к а з ы в а ю:
1. Утвердить:
типы средств измерений, сведения о которых прилагаются к настоящему приказу;
описания типов к настоящему приказу.
средств
измерений,
прилагаемые
-
2. ФБУ «НИЦ ПМ - Ростест» внести сведения об утвержденных типах средств измерений согласно приложению к настоящему приказу в Федеральный информационный фонд по обеспечению единства измерений в соответствии с Порядком создания и ведения Федерального информационного фонда по обеспечению единства измерений, передачи сведений в него и внесения изменений в данные содержащихся в нем документов и сведений, Министерства промышленности и торговли от 28 августа 2020 г. № 2906.
сведения, предоставления утвержденным приказом Российской Федерации
-
3. Контроль за исполнением настоящего приказа оставляю за собой.
Заместитель руководителя
Подлинник электронного документа, подписанного ЭП, хранится в системе электронного документооборота Федерального агентства по техническому регулированию и метрологии
Сертификат: 7B1801563EA497F787EAF40A918A8D6F Кому выдан: Лазаренко Евгений Русланович Действителен: с 19.05.2025 до 12.08.2026
ч
Е.Р. Лазаренко
УТВЕРЖДЕНО приказом Федерального агентства по техническому регулированию
и метрологии
от « _^_i » 2025 г. № _^б18
Лист № 1
Всего листов 6
Регистрационный № 96052-25
ОПИСАНИЕ ТИПА СРЕДСТВА ИЗМЕРЕНИЙ
Газоанализаторы поточные ЭкоСпектр-888
Назначение средства измерений
Газоанализаторы поточные ЭкоСпектр-888 (далее - газоанализаторы) предназначены для непрерывного измерения концентраций сероводорода (H2S), диоксида серы (SO2) и их соотношения в хвостовых газах на установках производства серы, серных ямах на предприятиях нефтехимической, нефтеперерабатывающей, газоперерабатывающей и других отраслей промышленности.
Описание средства измерений
Принцип измерения основан на дифференциальной оптической абсорбционной спектрометрии в ультрафиолетовом диапазоне (DOAS) (избирательное поглощение
ультрафиолетового излучения определяемым газом в проточной камере). В качестве источника ультрафиолетового излучения используется ксеноновая лампа. Оптический сигнал передается по оптоволокну на голографическую решетку для разложения в спектр поглощения определяемого газа. Матрица диодных датчиков преобразует эти оптические сигналы в электрические. После обработки значение сигналов пересчитывается в значения концентраций компонентов.
Газоанализатор состоит из трех стальных защитных шкафов:
-
- шкаф подготовки воздуха (далее - шкаф DB1);
-
- шкаф анализаторный продуваемый (далее - шкаф DB2);
-
- шкаф горячей пробоподготовки с измерительной ячейкой (далее - шкаф DBH1).
Шкафы защитные DB1 и DBH1 выпускаются в исполнении ЭкоТерм-Ш.
Газоанализатор устанавливается непосредственно на трубопровод. Отбор пробы осуществляется погружным зондом.
Шкаф DBH1 включает в себя пробоотборное устройство и измерительную ячейку, оптический сигнал с которой передается на аналитический блок, расположенный в шкафу DB2.
Шкаф DB2 обеспечивает управление всеми системами газоанализатора в автоматическом режиме и выдачу значений концентраций компонентов и их соотношения.
Шкаф DB1 служит для подготовки сжатого воздуха для продувки газоанализатора и подачи калибровочных газов.
Шкафы DB1, DB2 и DBH1 оснащены внутренней системой поддержания заданной температуры, благодаря чему температура окружающей среды, соответствующая условиям эксплуатации, не влияет на метрологические характеристики газоанализатора.
Газоанализатор оснащен дополнительной функцией перевода значений концентрации определяемого компонента, выраженной в объемных долях (%, млн-1), в массовую концентрацию (мг/м3).
Газоанализатор оборудован кнопками управления и ЖК-дисплеем, на котором отображается значение концентраций определяемых компонентов (%, мг/м3, млн-1) и их соотношение.
На рисунке 1 приведен общий вид газоанализатора, оснащенного (опционально) стойкой для шкафа DBH1.
Газоанализаторы обеспечивают выполнение следующих функций:
-
- непрерывное измерение объемной доли определяемых компонентов;
-
- сигнализация о превышении заданных пороговых значений концентрации определяемых компонентов или их соотношения через релейные выходы;
-
- выдача унифицированных токовых сигналов от 4 до 20 мА и (или) цифровых сигналов по протоколу Modbus RTU (RS-485).
Нанесение знака поверки на газоанализаторы не предусмотрено.
Серийный номер в виде буквенно-цифрового обозначения, состоящего из букв латинского алфавита и арабских цифр, наносится методом термопечати на идентификационную табличку (рисунок 2), закрепленную на корпусе шкафа DB1, а номер наносится на идентификационную табличку каждого газоанализатора.
Пломбирование от стикер-наклейки (рисунок 1).
также идентичный серийный шкафа, входящего в состав
несанкционированного доступа
производится при помощи
Место размещения идентификационной таблички
Место нанесения пломбы

Рисунок 1 - Общий вид газоанализаторов поточных ЭкоСпектр-888
Место нанесения пломбы
О ■■■
■■■ ЭКОХИМПРИБОР ан13/1И1 и-<:Г|, :>kujiui ин. :»>31«е-ь.к i иынис i ь г □зоанолшогсв пото^#1ыи
ЭкаСпектр-88& Серийный hP S00D1
ООО -Hin ■зкохн'приБОР" гл lA'REE, НггкпЬгкгн сбл, 7.. JlijFinq ЦП. Чн1йепси'пеп1ск1, В11 cinp.
4? ?'9jO6-Tl infnCP^Fcnhiirfriborrij
OSS)©
Дошо usaiina^reHufl___________
Сшегень jouuiTib
ПР lULf li.25J.-2Ub.че кенЁЕ СшЕгень эпщриы го ГОСI IEE 60079-2-2013. нё пЁнее Робочш ШЁНтврсипурз з<|1 дзеЭы ДцЕптРЁ пциВы_____________
OennEpmiiypu прцДы___________
МиСЕЦ. № ВЗГЕЁ_____________
ПцшнЕтры 3|1&л1ррП[яания
Qliaf ш, 2D2^
IP65
Р1.Х -60,.->50 меьЕЁ 4 НЁНЁЁ 25D 'ООО
Всу
Сеэтифлсп! nranBEfrcinbjf IP ’[
N* ЕЛЗЕ RU C-^LJLWa7KD1366/2l
KZ
ZOU&. 50Гц. 73OU Ьш

Пдпр.ч-цц ^алд1мизат[а.^Сле>тго-$Ва
Рй i:jef]niLj(|>-Kai|uU'
ОС иСВЗ ООО 'НАНИО кСЭТ RARU.1IWS7
ГРЕ£5ПРЕ))!ДЕтЕ1
НЕ ОТКРЫВАТЬ, ЕСЛИ
ЧГОРСЙГТНО „
ООЦ НЛГРЯ1((ЕН1ТМ Q
Рисунок 2 - Идентификационная табличка
Программное обеспечение
ПО) обеспечивает настройку определяемых компонентами
Встроенное программное обеспечение (далее газоанализатора, обработку данных об измеренных значениях концентраций компонентов, отображение их значений на дисплее, управление внутренними газоанализатора и их диагностику.
50.2.077-2014.
Уровень защиты встроенного ПО «средний» в соответствии с Р Метрологически значимая часть ПО СИ и измеренные данные достаточно защищены с помощью специальных средств защиты от преднамеренных изменений.
Идентификационные данные ПО приведены в таблице 1.
Таблица 1 - Идентификационные данные встроенного ПО
Идентификационные данные (признаки) |
Значение |
Идентификационное наименование ПО |
- |
Номер версии (идентификационный номер) ПО, не ниже |
V03B3 |
Цифровой идентификатор ПО (контрольная сумма исполняемого кода) |
- |
Алгоритм вычисления цифрового идентификатора ПО |
- |
Метрологические и технические характеристики
Метрологические и основные технические характеристики газоанализаторов приведены в таблицах 2 - 5.
Таблица 2 - Основные
Определяемый компонент (измерительный канал) |
Диапазон измерений объемной доли определяемого компонента |
Участок диапазона, в котором нормируется основная погрешность |
Пределы допускаемой приведенной погрешности1) |
Сероводород (H2S) |
от 0 до 50000 млн-1 |
от 0 до 500 млн-1 включ. |
±10 % |
св. 500 до 1000 млн-1 включ. |
±8 % | ||
св. 1000 до 5000 млн-1 включ. |
±5 % | ||
св. 0,5 до 5 % |
±3,5 % | ||
Диоксид серы (SO2) |
от 0 до 50000 млн 1 |
от 0 до 500 млн-1 включ. |
±9 % |
св. 500 до 1000 млн-1 включ. |
±7 % | ||
св. 1000 до 5000 млн-1 включ. |
±5 % | ||
св. 0,5 до 2,5 % включ. |
±4 % | ||
св. 2,5 до 5 % |
±3,5 % | ||
1) - Приведена к нормирующему значению - верхнему пределу измерений (ВПИ) поддиапазона. Примечание - Значение верхнего предела диапазона измерений соответствует значению верхнего предела измерений любого участка диапазона таблицы и приводится в паспорте. |
Таблица 3 - Дополнительные метрологические характеристики
Наименование характеристики |
Значение |
Предел допускаемой вариации, в долях от пределов допускаемой основной погрешности |
0,5 |
Пределы допускаемой дополнительной погрешности за счет изменения расхода газа, в долях от пределов допускаемой основной погрешности |
±0,51) |
Время установления показаний (Т90), с, не более |
15 |
1) - Основная погрешность нормирована при значениях расхода газа в диапазоне от 70 до 75 л/ч, расход газа может изменяться в диапазоне от 60 до 80 л/ч. |
Таблица 4 - Основные технические характеристики
Наименование характеристики |
Значение |
Параметры электрического питания: - напряжение переменного тока, В |
230 |
- частота переменного тока, Гц |
50 |
Потребляемая мощность, кВт, не более |
7,3 |
Габаритные размеры (В^ШхД), мм, не более: - шкаф DBH1 |
1500x600x600 |
- шкаф DB1 |
2250x900x450 |
- шкаф DB2 |
2250x900x450 |
Масса, кг, не более |
1000 |
Наименование характеристики |
Значение |
Условия эксплуатации:
|
от -60 до +50 90 от 84 до 106 |
Время прогрева, мин, не более |
60 |
Маркировка взрывозащиты |
1Ex IIC T3 Gb Х / 2Ex IIC T3 Gc X / 1Ex IIB T3 Gb Х / 2Ex IIB T3 Gc Х / |
Степень защиты от внешних воздействий:
|
1Р4Х IP65 |
Категория климатического исполнения по ГОСТ 15150-69 |
1 |
Таблица 5 - Показатели надежности
Наименование характеристики |
Значение |
Средняя наработка на отказ, ч |
36000 |
Назначенный срок службы, лет |
10 |
Знак утверждения типа
наносится на идентификационную табличку методом термопереноса, а также на титульный лист руководства по эксплуатации и паспорта типографским способом.
Комплектность средства измерений
Комплектность поставки газоанализаторов приведена в таблице 6.
Таблица 6 - Комплект поставки
Наименование |
Обозначение |
Количество |
Газоанализатор поточный |
ЭкоСпектр-888 |
1 шт. |
Паспорт газоанализатора |
- |
1 экз. |
Руководство по эксплуатации |
- |
1 экз. |
Запасные части (опционально)1) |
- |
- |
1) - определяется заказом |
Сведения о методиках (методах) измерений
приведены в разделе 5 «Эксплуатация» Руководства по эксплуатации.
Нормативные и технические документы, устанавливающие требования к средству измерений
ГОСТ 12.2.007.0-75 «Система стандартов безопасности труда (ССБТ). Изделия электротехнические. Общие требования безопасности»
ГОСТ Р МЭК 61326-1-2014 «Оборудование электрическое для измерения, управления и лабораторного применения. Требования электромагнитной совместимости. Часть 1. Общие требования»
ГОСТ 31610.0-2019 (IEC 60079-0:2017) «Взрывоопасные среды. Часть 0. Оборудование. Общие требования»
ГОСТ IEC 60079-2-2013 «Взрывоопасные среды. Часть 2. Оборудование с видом взрывозащиты «оболочки под избыточным давлением «p»
ГОСТ Р 52350.29.1-2010 «Взрывоопасные среды. Часть 29-1. Газоанализаторы. Общие технические требования и методы испытаний газоанализаторов горючих газов»
ГОСТ Р 52931-2008 «Приборы контроля и регулирования технологических процессов. Общие технические условия»
ТУ 26.51.53-010-15701168-2024 «Газоанализаторы поточные ЭкоСпектр-888.
Технические условия»
Правообладатель
Общество с ограниченной ответственностью «Научно-производственное предприятие «ЭКОХИМПРИБОР»
(ООО «НПП «ЭКОХИМПРИБОР»)
ИНН 5010053321
Юридический адрес: 141980, Московская обл., г.о. Дубна, г. Дубна, ул. Университетская, д. 11, стр. 14
Изготовитель
Общество с ограниченной ответственностью «Научно-производственное предприятие «ЭКОХИМПРИБОР»
(ООО «НПП «ЭКОХИМПРИБОР»)
ИНН 5010053321
Адрес: 141980, Московская обл., г.о. Дубна, г. Дубна, ул. Университетская, д. 11, стр. 14
Испытательный центр
Общество с ограниченной ответственностью «ПРОММАШ ТЕСТ Метрология»
(ООО «ПРОММАШ ТЕСТ Метрология»)
Адрес: 119415, г. Москва, вн. тер. г. муниципальный округ Проспект Вернадского, пр-кт Вернадского, д. 41, стр. 1, помещ. 263
Телефон: +7 (495) 108 69 50
E-mail: info@metrologiya.prommashtest.ru
об аккредитации в реестре аккредитованных лиц
Уникальный номер записи
Росаккредитации RA.RU.314164

УТВЕРЖДЕНО приказом Федерального агентства по техническому регулированию
и метрологии
от « _^_i » 2025 г. № 1_18
Лист № 1
Всего листов 4
Регистрационный № 96053-25
ОПИСАНИЕ ТИПА СРЕДСТВА ИЗМЕРЕНИЙ
Дозатор весовой автоматический дискретного действия FS-T10K
Назначение средства измерений
Дозатор весовой автоматический дискретного действия FS-T10K (далее - дозатор) предназначен для автоматического дозирования жидких материалов.
Описание средства измерений
Принцип действия дозатора основан на преобразовании деформации упругого элемента тензорезисторного весоизмерительного датчика (далее - датчика), возникающей под действием силы тяжести дозируемого материала, в аналоговый электрический сигнал, с последующим аналого-цифровым преобразованием и обработкой данных с дальнейшим определением значения массы дозируемого материала и выводом результата дозирования на устройство индикации.
Конструктивно дозатор состоит из металлической рамы, П-образной грузоприемной платформы и шкафа управления. К раме крепится наливная труба с клапаном дозирующего устройства и шкаф управления. Шкаф управления состоит из весоизмерительного прибора с цифровым дисплеем, функциональной клавиатурой и кнопками управления. Дозирование осуществляется через наливную трубу в тару, устанавливаемую на грузоприемную платформу, и регулируется зазором между трубой и клапаном дозирующего устройства.
В состав грузоприемной платформы входят четыре датчика весоизмерительные SB, модели SB4 производства фирмы «Flintec GmbH», Германия (регистрационный номер в Федеральном информационном фонде по обеспечению единства измерений 63476-16).
Дозатор является двухинтервальным и имеет два интервала взвешивания.
Маркировочная табличка закреплена на лицевой панели шкафа управления и содержит следующие сведения (нанесенные методом печати):
-
- наименование и обозначение модификации;
-
- заводской номер;
-
- номинальная минимальная доза (Minfill);
-
- наибольший предел (Max);
-
- цена деления шкалы (d);
-
- наименование производителя;
-
- год изготовления.
К настоящему типу средств измерений относится дозатор весовой автоматический дискретного действия FS-T10K c заводским номером 063652.
Терминология и наименование метрологических характеристик приведены в соответствии с ГОСТ 8.610-2012 «ГСИ. Дозаторы весовые автоматические дискретного действия. Часть 1. Метрологические и технические требования. Методы испытаний».
Заводской номер в виде цифрового обозначения, состоящего из арабских цифр, наносится методом печати на маркировочную табличку в месте, указанном на рисунке 2.
Пломбирование и нанесения знака поверки на средство измерений не предусмотрено.
Общий вид дозатора представлен таблички представлено на рисунке 2.
на рисунке 1. Место нанесения маркировочной
Место нанесения заводского номера

Рисунок 2 - Общий вид шкафа
НН ■ 1 <ж | |||
*'*’Ч|И* " ‘ |
■•Г | ||
?‘Ill |
Рисунок 1 - Общий вид дозатора
управления с указанием места расположения маркировочной таблички
Программное обеспечение
ПО) дозаторов является встроенным
Программное обеспечение (далее и метрологически значимым.
Конструкция дозатора исключает возможность несанкционированного влияния на ПО и измерительную информацию без применения специализированного оборудования производителя.
Нормирование метрологических характеристик проведено с учетом применения ПО. Идентификационные данные ПО отображаются на дисплее шкафа управления и доступны для просмотра при включении дозатора.
Уровень защиты программного обеспечения от непреднамеренных и преднамеренных изменений - «высокий» в соответствии с рекомендациями Р 50.2.077-2014.
Идентификационные данные ПО приведены в таблице 1.
Таблица 1 - Идентификационные данные ПО
Идентификационные данные (признаки) |
Значение |
Идентификационное наименование ПО |
FS-T10 FILL |
Номер версии (идентификационный номер) ПО |
7.07 |
Цифровой идентификатор ПО (контрольная сумма исполняемого кода) |
- |
Метрологические и технические характеристики
Таблица 2 -
Наименование характеристики |
Значение |
Наибольший предел, (Max), кг |
600/1500 |
Номинальная минимальная доза (Minfill), кг |
160 |
Цена деления шкалы, d, кг |
0,2/0,5 |
Максимально допускаемое относительное отклонение массы каждой дозы от среднего значения, при первичной (при периодической) поверке (MPD), % |
±0,16 (±0,2) |
Максимально допускаемая относительная погрешность заданного значения дозы (погрешность установки) (MPSE), % |
±0,2 |
Таблица 3 - Технические характеристики
Наименование характеристики |
Значение |
Параметры электрического питания:
|
от 343 до 418 от 49 до 51 |
Габаритные размеры (ширина^длина^высота), мм, не более |
4000х1185х4500 |
Условия эксплуатации: - температура окружающей среды, °С |
от +15 до +30 |
Знак утверждения типа
наносится на титульный лист руководства по эксплуатации типографским способом.
Комплектность средства измерений
Таблица 4 - Комплектность средства измерений
Наименование |
Обозначение |
Количество |
Дозатор весовой автоматический дискретного действия |
FS-T10K |
1 шт. |
Руководство по эксплуатации |
- |
1 экз. |
Методика поверки |
- |
1 экз. |
Сведения о методиках (методах) измерений
приведены в п.2.5 «Использование по назначению» документа «Дозатор весовой автоматический дискретного действия FS-T10K. Руководство по эксплуатации».
Нормативные документы, устанавливающие требования к средству измерений
Приказ Федерального агентства по техническому регулированию и метрологии от 04.07.2022 г. № 1622 «Об утверждении Государственной поверочной схемы для средств измерений массы»
Правообладатель
«Feige GmbH, Abfulltechnik», Германия
Адрес: Rogen 6a D-23843 Bad Oldesloe, Germany
Телефон: +49-4531-89090
Изготовитель
«Feige GmbH, Abfulltechnik», Германия
Адрес: Rogen 6a D-23843 Bad Oldesloe, Germany
Телефон: +49-4531-89090
Испытательный центр
Общество с ограниченной ответственностью «ПРОММАШ ТЕСТ Метрология»
(ООО «ПРОММАШ ТЕСТ Метрология»)
Юридический адрес: 119415, г. Москва, пр-кт Вернадского, д. 41 стр. 1, помещ. 263 Адрес места осуществления деятельности: 142300, Россия, Московская обл., г. Чехов, Симферопольское ш., д. 2, литера А, помещ. I
Телефон: +7 (495) 108 69 50
E-mail: info@metrologiya.prommashtest.ru Уникальный номер записи
об аккредитации в реестре аккредитованных лиц
Росаккредитации RA.RU.314164

УТВЕРЖДЕНО
приказом Федерального агентства по техническому регулированию и метрологии от « __ » a^ryci^a 2025 г. № _ 18
Лист № 1
Всего листов 7
Регистрационный № 96054-25
ОПИСАНИЕ ТИПА СРЕДСТВА ИЗМЕРЕНИЙ
Системы автоматического управления газораспределительной
станцией
РИУС-ГРС
Назначение средства измерений
станцией комплексы,
Системы автоматического управления газораспределительной РИУС-ГРС (далее - РИУС-ГРС) представляют собой программно-технические предназначенные для измерений и измерительных преобразований унифицированных электрических сигналов в виде напряжения и силы постоянного тока, сигналов от термопар типа К по ГОСТ Р 8.585-2001, сигналов от термопреобразователей сопротивления (ТС) с номинальными статическими характеристиками по ГОСТ 6651-2009, а также формирования выходных сигналов в виде напряжения и силы постоянного тока.
Описание средства измерений
Принцип действия РИУС-ГРС основан на аналого-цифровом преобразовании (АЦП) входных сигналов, а также цифроаналоговом преобразовании для формирования выходных аналоговых сигналов.
РИУС-ГРС являются проектно-компонуемыми изделиями и могут содержать следующее оборудование:
-
1) электротехнические шкафы управления (ШУ), содержащие в том числе измерительные блоки:
-
- преобразователи аналоговые MACX MCR-UI-UI(-UP)(-SP)(-NC), регистрационный номер в Федеральном информационном фонде (далее - рег. №) 47644-11;
-
- преобразователи сигналов НПСИ, рег. № 43742-15;
-
- преобразователи измерительные серии MINI, рег. № 55662-13;
-
- программируемые логические контроллеры (ПЛК) с модулями аналогового ввода и вывода СН-1 «СОНЕТ», рег. № 24910-13;
-
2) шкаф бесперебойного питания;
-
3) автоматизированное рабочее место (АРМ) оператора газораспределительной станции (ГРС);
-
4) удаленный пост контроля и сигнализации ГРС (УПКС);
-
5) комплект для доработки.
В состав управляющего шкафа также может входить панель оператора, обеспечивающая визуализацию измеряемых величин, а также взаимодействие с оператором.
Заводской номер РИУС-ГРС указывается в цифровом формате Х/Y, порядковый номер, указываемый в соответствии с нумерацией изготовителя, изготовления и наносится на алюминиевую маркировочную табличку пьезоэлектрической струйной печати. Маркировочная табличка располагается верхнем углу внутренний стороны двери шкафа.
где Х -Y - год методом в правом
Нанесение знака поверки на РИУС-ГРС в обязательном порядке не предусмотрено.
Пломбирование РИУС-ГРС не предусмотрено. Защита от несанкционированного доступа осуществляется посредством ограничения физического доступа к шкафам - закрытием двери на ключ.
Общий вид маркировочной таблички с указанием мест нанесения заводского номера и знака утверждения типа представлен на рисунке 1.
Внешний вид электротехнического шкафа ШУ РИУС-ГРС представлен на рисунке 2.

Рисунок 1 - Общий вид маркировочной таблички РИУС-ГРС с указанием мест нанесения заводского номера и знака утверждения типа

Место расположения маркировочной таблички
Рисунок 2 - Внешний вид ШУ РИУС-ГРС
с указанием места расположения маркировочной таблички
Программное обеспечение
В состав РИУС-ГРС входит метрологически значимое программное обеспечение (ПО) - комплект программ «Соната», включающий в себя:
-
- прикладное ПО ПЛК, включающее в себя прикладные программы, реализующие функции контроля, управления, обмена информацией, вычислительные функции, функции диагностики;
-
- ПО АРМ оператора, реализующее функции визуализации информации, формирования команд управления;
-
- прикладное ПО панели оператора, реализующее функции визуализации информации, формирования команд управления.
Защита ПО от непреднамеренных и преднамеренных изменений соответствует уровню «высокий» по Р 50.2.077-2014.
Идентификационные данные ПО приведены в таблице 1.
Таблица 1 -
обеспечения
данные
Идентификационные данные (признаки) |
Значения |
Идентификационное наименование ПО |
Соната |
Номер версии (идентификационный номер) ПО |
не ниже 7004 |
Цифровой идентификатор ПО |
- |
Метрологические и технические характеристики
Метрологические и технические характеристики РИУС-ГРС приведены в Таблицах 2 - 4.
Таблица 2 -
РИУС-ГРС
Диапазоны преобразований аналоговых сигналов/разрядность цифровых сигналов |
Пределы допускаемой основной приведенной погрешности, % 1 |
Пределы допускаемой дополнительной приведенной погрешности в диапазоне рабочих условий эксплуатации, % 1 |
1 |
2 |
3 |
Типы и диапазоны измерений аналоговых входных сигналов: | ||
Сила постоянного тока2: от 0 до 5 мА от 0 до 20 мА от 4 до 20 мА |
±0,2 |
±0,1 |
Напряжение постоянного тока2: от -75 до 75 мВ от 0 до 75 мВ от -50 до 50 мВ от -20 до +20 мВ от 0 до 50 мВ от 0 до 20 мВ от 0 до 1 В от 0 до 10 В от -10 до +10 В |
±0,2 |
±0,1 |
Сигналы от термопреобразователей сопротивления (ТС) 50М; 100М: от -180 до +100°С от 0 до 200 °С от 0 до 100 °С |
±0,2 |
±0,1 |
Сигналы от ТС 50П; 100П: от -200 до +100 °С от 0 до 750 °С от 0 до 300 °С |
±0,2 |
±0,1 |
Сигналы от ТС Pt100: от -200 до +100°С от 0 до 750 °С от 0 до 300 °С |
±0,2 |
±0,1 |
Сигналы от термопар типа К3: от -150 до +1300 °С от -150 до +300 °С |
±0,2 |
±0,1 |
Продолжение таблицы 2
1
Типы и диапазоны формирования аналоговых выходных сигналов:
Сила постоянного тока: от 0 до 20 мА от 4 до 20 мА
±0,2
±0,1
±0,2
±0,1
Напряжение постоянного тока: от 0 до 10 В от 0 до 20 В от -10 до +10 В
Примечания:
-
1 - Нормирующим значением для расчета характеристики погрешности является значение разницы верхней и нижней границ выбранного диапазона преобразования входного (выходного) сигнала.
-
2 - Результаты измерений могут отображаться в единицах физических величин -параметров газораспределительной станции.
-
3 - Характеристики погрешности указаны без учета погрешности автоматической компенсации температуры холодного спая.
Нормальные условия эксплуатации:
от +10 до +25
от 30 до 80
от 84 до 106
-
- температура окружающей среды, °С
-
- относительная влажность, %
-
- атмосферное давление, кПа
Таблица 3 - Основные технические характеристики РИУС-ГРС
Наименование характеристики |
Значение |
Параметры основного источника питания:
|
от 187 до 242 от 46 до 65 |
Параметры резервного источника питания: - напряжение постоянного тока, В |
от 187 до 242 или от 94 до 121 |
или - напряжение переменного тока с частотой от 46 до 65 Гц, В |
от 187 до 242 |
Рабочие условия эксплуатации:
|
от +5 до +50 от 30 до 80 от 84 до 106 |
Примечание - габаритные размеры и потребляемая мощность определяются конкретным проектом. |
Таблица 4 - Показатели надежности РИУС-ГРС
Наименование характеристики |
Значение |
Средний срок службы, лет |
15 |
Средняя наработка на отказ, ч |
50000 |
Знак утверждения типа
наносится на алюминиевую маркировочную табличку методом пьезоэлектрической струйной печати согласно рисунку 1 и на титульные листы формуляра и руководства по эксплуатации типографским способом.
Комплектность средства измерений
Таблица 5 - Комплектность РИУС-ГРС
Наименование |
Обозначение |
Количество, шт. |
Система автоматического управления газораспределительной станцией |
РИУС-ГРС |
1 (в заказной комплектации) |
Комплект ЗИП |
- |
1 |
Руководство по эксплуатации |
ВСУР.421000.000-00.00 РЭ |
1 |
Формуляр |
ВСУР.421000.000-00.00 ФО |
1 |
«Системы автоматического управления газораспределительной станцией РИУС-ГРС Методика поверки» |
- |
1 |
Сведения о методиках (методах) измерений
приведены в разделе «Описание и работа составных частей» Руководства по эксплуатации ВСУР.421000.000-00.00 РЭ.
Нормативные документы, устанавливающие требования к средству измерений
ГОСТ 22261-94 Средства измерений электрических и магнитных величин. Общие технические условия
ГОСТ Р 52931-2008 Приборы контроля и регулирования технологических процессов. Общие технические условия
Приказ Федерального агентства по техническому регулированию и метрологии от 28 июля 2023 г. № 1520 «Об утверждении государственной поверочной схемы для средств измерений постоянного электрического напряжения и электродвижущей силы»
Приказ Федерального агентства по техническому регулированию и метрологии от 1 октября 2018 г. № 2091 «Об утверждении Государственной поверочной схемы для средств измерений силы постоянного электрического тока в диапазоне от 1^10-16 до 100А»
Приказ Федерального агентства по техническому регулированию и метрологии от 30 декабря 2019 г. № 3456 «Об утверждении Государственной поверочной схемы для средств измерений электрического сопротивления постоянного и переменного тока»
ТУ 28.99.39-003-47570130-2018 Система автоматического управления
газораспределительной станцией РИУС-ГРС. Технические условия
Правообладатель
Общество с ограниченной ответственностью «Вега-ГАЗ»
(ООО «Вега-ГАЗ»)
ИНН 7704173066
Юридический адрес: 117534, г. Москва, вн. тер. г. Муниципальный округ Чертаново Южное, ул. Кировоградская, д. 23А, этаж 3, помещ. 73
Телефон: (495) 995-44-74
Факс: (495) 995-44-80
Web сайт: www.vega-gaz.ru
Е-mail: info@vega-gaz.ru
Изготовитель
Общество с ограниченной ответственностью «Вега-ГАЗ»
(ООО «Вега-ГАЗ»)
ИНН 7704173066
Адрес: 117534, г. Москва, вн. тер. г. Муниципальный округ Чертаново Южное, ул. Кировоградская, д. 23А, этаж 3, помещ. 73
Телефон: (495) 995-44-74
Факс: (495) 995-44-80
Web сайт: www.vega-gaz.ru
Е-mail: info@vega-gaz.ru
Испытательный центр
Федеральное бюджетное учреждение «Научно-исследовательский центр прикладной метрологии - Ростест»
(ФБУ «НИЦ ПМ - Ростест»)
Юридический адрес: 117418, г. Москва, Нахимовский пр-кт, д. 31
Адрес места осуществления деятельности: 119361, г. Москва, ул. Озерная, д. 46
Телефон: +7 (495) 544-00-00
Web-сайт: www.rostest.ru
E-mail: info@rostest.ru
Уникальный номер записи в реестре аккредитованных лиц № 30004-13

УТВЕРЖДЕНО
приказом Федерального агентства
по техническому регулированию
и метрологии
08 августа лг 1618
от « » _ 2025 г. №
Лист № 1
Всего листов 4
Регистрационный № 96055-25
ОПИСАНИЕ ТИПА СРЕДСТВА ИЗМЕРЕНИЙ
Трансформаторы тока ТФЗМ 110Б-IVУ1
Назначение средства измерений
Трансформаторы тока ТФЗМ 110B-IVyi (далее - трансформаторы) предназначены для передачи сигнала измерительной информации приборам измерения, защиты, автоматики, сигнализации и управления в электрических цепях переменного тока частотой 50 Гц.
Описание средства измерений
Принцип действия трансформаторов основан на явлении электромагнитной индукции.
Ток первичной обмотки трансформаторов создает переменный магнитный поток в магнитопроводе, вследствие чего во вторичной обмотке создается ток, пропорциональный первичному току.
опорные, одноступенчатые,
Трансформаторы - однофазные, маслонаполненные, с фарфоровой покрышкой.
обмоток, которые собраны Вторичные обмотки в свою
Трансформаторы состоят из первичной и вторичных в единый комплект и закреплены на металлической подставке. очередь устанавливаются на цоколе. Обмотки, изолированы друг от друга при помощи бумажно-масляного материала. Они помещены в фарфоровую покрышку и заполнены трансформаторным маслом.
Для того чтобы наблюдать уровень масла в трансформаторе на его поверхности находиться специальный указатель. Для предотвращения поступления воздуха на крышке трансформатора установлен воздухосушитель, он же является влагопоглощающим фильтром.
Опорой для трансформаторов служит цоколь, на нем имеется специальный болт для заземления. На трансформаторах осуществляется механическое крепление фарфоровой крышки к цоколю.
Трансформаторы имеют 4 вторичных обмотки.
Выводы всех вторичных обмоток находятся в клеммной коробке, расположенной на основании трансформаторов.
На трансформаторах пломбируются один верхний и один нижний болт, крепящих фланцы к покрышке, для предотвращения несанкционированного доступа к внутренним элементам.
К трансформаторам данного типа относятся трансформаторы тока ТФЗМ 110B-IVyi с заводскими номерами 12681, 12682, 12714, 12716, 12728, 12729.
Нанесение знака поверки на трансформатор не предусмотрено.
Заводской номер в виде цифрового обозначения, состоящего из арабских цифр, нанесен методом гравировки на информационную табличку в месте, указанном на рисунке 1.
Рабочее положение трансформаторов в пространстве - вертикальное.
Общий вид средства
измерений, обозначение
места от несанкционированного доступа и места нанесения заводского номера на рисунке 1.
пломбировки представлены

А
Рисунок 1 - Общий вид средства измерений, обозначение места пломбировки от несанкционированного доступа (А) и места нанесения заводского номера (В)
Метрологические и технические характеристики
Таблица 1 - Метрологические характеристики
Наименование характеристики |
Значение |
Номинальное напряжение, кВ |
110 |
Номинальные первичные токи 11ном, А |
300 |
Номинальный вторичный ток I2ном, А |
5 |
Класс точности обмотки для измерений и учета по ГОСТ 7746-2015 - заводские номера 12682, 12714, 12716, 12728, 12729 |
0,5 |
- заводской номер 12681 |
0,2/0,5 |
Класс точности обмоток для защиты по ГОСТ 7746-2015 |
10Р/10Р/10Р |
Номинальная вторичная нагрузка, В^А - заводские номера 12682, 12714, 12716, 12728, 12729 |
30/20/30/30 |
- заводской номер 12681 |
20/30/20/30/30 |
Номинальная частота переменного тока, Гц |
50 |
Таблица 2 - Основные технические характеристики | |
Наименование характеристики |
Значение |
Средний срок службы, лет, не менее |
30 |
Средняя наработка на отказ, ч, не менее |
262800 |
Знак утверждения типа
нанесение знака утверждения типа на трансформаторы не предусмотрено. Знак утверждения типа наносится на титульный лист паспорта типографским способом.
Комплектность средства измерений
Таблица 3 - Комплектность средства измерений
Наименование |
Обозначение |
Количество, шт./экз. |
Трансформатор тока |
ТФЗМ 110Б-IVУ1 |
1 |
Паспорт |
- |
1 |
Сведения о методиках (методах) измерений
Приведены в разделе 1 «Общие сведения» документа «Трансформатор тока ТФЗМ II0Б-IVУI. Паспорт».
Нормативные документы, устанавливающие требования к средству измерений
Государственная поверочная схема для средств измерений коэффициентов преобразования силы электрического тока, утвержденная приказом Росстандарта от 21.07.2023 г. № 1491
Правообладатель
высоковольтной
аппаратуры»
высоковольтной
аппаратуры»
Открытое акционерное общество «Запорожский завод (ОАО «ЗЗВА»)
Адрес: 69069, г. Запорожье, Днепропетровское ш., д. 13
Изготовитель
Открытое акционерное общество «Запорожский завод (ОАО «ЗЗВА») (изготовлены в 2001 и 2002 г.)
Адрес: 69069, г. Запорожье, Днепропетровское ш., 3
Испытательный центр
Общество с ограниченной ответственностью «ЛЕММА» (ООО «ЛЕММА»)
Адрес: 620102, Свердловская обл., г. Екатеринбург, ул. Ясная, д. 28, кв. 23 Телефон: +7 (343) 372-00-57
Web-сайт: www.lemma-ekb.ru
E-mail: lemma-ekb@mail.ru
Уникальный номер записи об аккредитации в реестре аккредитованных лиц
Росаккредитации RA.RU.314006

УТВЕРЖДЕНО приказом Федерального агентства по техническому регулированию
и метрологии
от « _8 » августа 2025 г. № _
Лист № 1
Всего листов 7
Регистрационный № 96056-25
ОПИСАНИЕ ТИПА СРЕДСТВА ИЗМЕРЕНИЙ
Преобразователи давления измерительные DMF73
Назначение средства измерений
Преобразователи давления измерительные DMF73 (далее - преобразователи) предназначены для непрерывного преобразования значения измеряемого параметра -избыточного (в том числе разрежения) давления газообразных и жидких сред в унифицированный аналоговый выходной сигнал постоянного тока и в цифровой выходной сигнал HART.
Описание средства измерений
Принцип действия преобразователей основан на использовании зависимости между измеряемым давлением и упругой деформацией чувствительного элемента. Упругая деформация чувствительного элемента преобразуется в электрический сигнал, который поступает в электронный блок и преобразуется в унифицированный выходной сигнал постоянного тока и цифровой сигнал HART.
Преобразователи изготавливаются в четырех модификациях: DMF73G, DMF73P, DMF73H и DMF73X, которые отличаются конструктивным исполнением.
Преобразователи могут отличаться диапазонами измерений в зависимости от установленной измерительной ячейки, наличием LCD-дисплея и погрешностью измерений. Конкретные характеристики определяются в соответствии заказом.
Конструктивно преобразователи модификаций DMF73G, DMF73P и DMF73H состоят из цилиндрического корпуса с крышкой, в котором размещены электронный блок и чувствительный элемент в виде измерительной ячейки. По заказу преобразователи могут быть изготовлены с LCD-дисплеем, капиллярной линией и (или) фланцевым разделителем.
Преобразователь модификации DMF73X состоит из двух модулей - ведущего и ведомого, объединенных электрическим кабелем. Каждый модуль состоит из цилиндрического корпуса с крышкой, в котором размещены электронный блок и чувствительный элемент в виде измерительной ячейки. Присоединение к измеряемому процессу каждого модуля
обеспечивается резьбовым штуцером или присоединением типа «Clamp». По заказу преобразователи могут быть изготовлены с LCD-дисплеем. Ведущий и ведомый модули имеют одинаковые диапазоны измерений. Измерительный выходной сигнал поступает от ведущего модуля и является разностью измеренных значений ведущего и ведомого модуля.
Общий вид преобразователей и место нанесения заводского номера приведены на рисунках 1-4.

Рисунок 2 - Общий вид преобразователей модификации DMF73G

Рисунок 3 - Общий вид преобразователей модификации DMF73P

Рисунок 1 - Общий вид преобразователей модификации DMF73X

Рисунок 4 - Общий вид преобразователей модификации DMF73H, место нанесения заводского номера и знака утверждения типа

Рисунок 5 -Общий вид преобразователя модификации DMF73G с фланцевым присоединением

Рисунок 6 -Общий вид преобразователя модификации DMF73G с капиллярной линией и фланцевым присоединением
Заводской номер преобразователей в виде комбинации арабских цифр и латинских букв наносится методом гравировки на техническую табличку, прикрепленную к корпусу.
Пломбирование преобразователей не предусмотрено.
Конструкция не предусматривает нанесение знака поверки на преобразователи.
Программное обеспечение
Преобразователи имеют встроенное программное обеспечение (далее - ПО), которое является метрологически значимым и предназначено для преобразования и передачи измеренных значений.
Конструкция преобразователей исключает возможность несанкционированного влияния на встроенное ПО и измерительную информацию. Уровень защиты ПО от непреднамеренных и преднамеренных изменений «высокий» в соответствии с рекомендацией по метрологии Р 50.2.077-2014. Идентификационные данные встроенного ПО приведены в таблице 1.
Таблица 1 - Идентификационные данные ПО
Идентификационные данные (признаки) |
Значение |
Идентификационное наименование ПО |
XSCT-H |
Номер версии ПО, не ниже |
1.0.0 |
Цифровой идентификатор ПО |
Не отображается |
Метрологические и технические характеристики
Метрологические и основные технические характеристики приведены в таблицах 2 и 3.
Таблица 2 - Метрологические характеристики
преобразователей
Значение
Наименование характеристики
Код измерительной ячейки C
Максимальный диапазон измерений (ДИмакс), МПа 1) 2)
- DMF73G
- DMF73P
- DMF73H
- DMF73X
Пределы допускаемой основной приведенной к настроенному диапазону измерений (ДИнастр), погрешности, Yoch, %(>:. 3)
-
- DMF73G
г^10
r> 10
-
- DMF73P
г^10
r> 10
-
- DMF73H
г^10
r> 10
- DMF73X
г^10
r> 10
Пределы допускаемой дополнительной приведенной к настроенному диапазону измерений погрешности, вызванной отклонением температуры окружающего воздуха от нормальной, в диапазоне рабочих температур, ^^^о/28 °С:
- DMF73G
- DMF73P
- DMF73H
- DMF73X
от -0,1 до 0,2 от -0,1 до 0,2 от -0,1 до 0,2
от -0,1 до 1
от -0,1 до 1
от -0,1 до 1
от -0,1 до 1
от -0,1 до 10
от -0,1 до 10
от -0,1 до 40
от -0,1 до 40
от -0,1 до 70
от -0,1 до 0,42
± 0,065
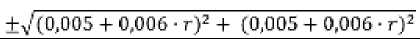
± (0,005+0,006 • r)
± 0,065
± (0,005+0,006 • r)
± 0,065
± (0,005+0,006 • r)
± 0,065
± (0,005+0,006 • r)
± 0,065
± (0,005+0,006 • r)
± 0,1
± (0,05+0,005 • r)
± 0,1
± (0,05+0,005 • r)
± (0,15+0,15 • r) ± (0,2+0,2 • r) ± (0,2+0,2 • r)
± 0,1
± (0,05+0,005 • r)
± 0,1
± (0,05+0,005 • r)
±0,1

± (0,15+0,15 • r)
± (0,2+0,2 • r) ± (0,2+0,2 • r)
± (0,15+0,15 • г)
± (0,15+0,15 • г)
± (0,15+0,15 • г)
± (0,2+0,2 • г)
± (0,15+0,15 • г)
± (0,2+0,2 • r)
Примечания:
-
1) В меню преобразователей предусмотрен выбор других единицах измерения давления, допущенных к применению в РФ;
-
2) Конкретное значение указано в паспорте на преобразователь и на технической табличке, прикрепленной к корпусу преобразователя;
3) Коэффициент перенастройки г=ДИмакс/ДИнастр..
См. B, C, D
± (0,15+0,15 • г)
Таблица 3 - Основные технические
Наименование характеристики |
Значение |
Выходной сигнал постоянного тока, мА |
от 4 до 20 (HART) |
Напряжения питания постоянного тока, В |
24 |
Масса преобразователя (модуля преобразователя давления модификации DMF73X), кг, не более: |
3,0 |
Габаритные размеры преобразователей давления (модуля преобразователя давления модификации DMF73X), мм (длина х высота х ширина), не более: |
204x105x135 |
Нормальные условия измерений:
|
от +21 до +25 от 84,0 до 106,7 от 30 до 80 |
Рабочие условия измерений:
|
от -40 до +80 1) от 84,0 до 106,7 80 |
Маркировка взрывозащиты |
1Ex db IIC T6...T4 Gb; Ex tb IIIC T80^...T130^ Db |
Примечание: 1) При значении температуры ниже минус 30 °С возможно нарушение в работе дисплея. После повышения температуры до значения минус 30°С и более работоспобность дисплея восстанавливается. |
Знак утверждения типа
наносится на титульный лист руководства по эксплуатации и (или) паспорта типографским способом, а также на техническую табличку, прикрепленную к корпусу преобразователя, методом лазерной гравировки.
Комплектность средства измерений приведена в таблице 4.
Таблица 4 - Комплектность п]
Наименование |
Обозначение |
Количество |
Преобразователь давления |
DMF73 |
1 шт. |
Руководство по эксплуатации |
- |
1 экз. на партию |
Паспорт |
- |
1 экз. |
Сведения о методиках (методах) измерений приведены в разделе 3 руководства по эксплуатации.
Нормативные и технические документы, устанавливающие требования к средству измерений
Приказ Федерального агентства по техническому регулированию и метрологии от 20 октября 2022 г. № 2653 «Об утверждении Государственной поверочной схемы для средств измерений избыточного давления до 4000 МПа»
Стандарт предприятия Chongqing Xuxin Technology Co., Ltd.
Правообладатель
Chongqing Xuxin Technology Co., Ltd, Китай
Адрес: 316 Yunfu Road, Beibei District, Chongqing, China
Телефон: +8613983802745
E-mail: zhangguoqin@jtck.com.cn
Web-сайт: www.cqxsct.com
Изготовитель
Chongqing Xuxin Technology Co., Ltd, Китай
Адрес: 316 Yunfu Road, Beibei District, Chongqing, China Телефон: +8613983802745
E-mail: zhangguoqin@jtck.com.cn
Web-сайт: www.cqxsct.com
Испытательный центр
Федеральное бюджетное учреждение «Научно-исследовательский центр прикладной метрологии - Ростест»
(ФБУ «НИЦ ПМ - Ростест»)
Юридический адрес: 117418, г. Москва, Нахимовский пр-кт, д. 31
Адрес места осуществления деятельности: 119361, г. Москва, ул. Озерная, д. 46
Телефон: +7 (495) 544-00-00
E-mail: www.rostest.ru
Web-сайт: info@rostest.ru
Уникальный номер записи об аккредитации в реестре аккредитованных лиц 30004-13

УТВЕРЖДЕНО приказом Федерального агентства по техническому регулированию
и метрологии
08 августа лг 1618
от « » _ 2025 Г. №
Лист № 1
Всего листов 9
Регистрационный № 96057-25
ОПИСАНИЕ ТИПА СРЕДСТВА ИЗМЕРЕНИЙ
коммерческого
Система автоматизированная информационно-измерительная учета электроэнергии (АИИС КУЭ) ООО «Первый Мясокомбинат»
Назначение средства измерений
Система автоматизированная информационно-измерительная коммерческого учета электроэнергии (АИИС КУЭ) ООО «Первый Мясокомбинат» (далее - АИИС КУЭ) предназначена для измерений активной и реактивной электроэнергии, сбора, обработки, хранения и передачи полученной информации.
Описание средства измерений
АИИС КУЭ представляет собой многофункциональную, двухуровневую автоматизированную систему с централизованным управлением и распределённой функцией измерений.
АИИС КУЭ включает в себя следующие уровни:
-
1- й уровень - измерительно-информационные комплексы (далее - ИИК), включающие в себя измерительные трансформаторы тока (далее - ТТ), измерительные трансформаторы напряжения (далее - ТН), счетчики активной и реактивной электроэнергии (далее - счетчики), вторичные измерительные цепи и технические средства приема-передачи данных. Метрологические и технические характеристики измерительных компонентов АИИС КУЭ приведены в таблицах 2, 3.
-
2- й уровень - информационно-вычислительный комплекс (далее - ИВК), включающий в себя сервер баз данных (далее - БД), автоматизированные рабочие места персонала (далее -АРМ), устройство синхронизации времени УСВ-3 (далее - УСВ), программное обеспечение (далее - ПО) «Пирамида 2000» и каналообразующую аппаратуру.
Первичные токи и напряжения трансформируются измерительными трансформаторами в аналоговые сигналы низкого уровня, которые по проводным линиям связи поступают на соответствующие входы электронного счетчика электрической энергии (в случае отсутствия ТТ и ТН подключение цепей счетчика производится по проводным линиям, подключенным непосредственно к первичному источнику). В счетчике мгновенные значения аналоговых сигналов преобразуются в цифровой сигнал. По мгновенным значениям силы электрического тока и напряжения в микропроцессоре счетчика вычисляются мгновенные значения активной и полной мощности, которые усредняются за период 0,02 с. Средняя за период реактивная мощность вычисляется по средним за период значениям активной и полной мощности.
Электрическая энергия, как интеграл по времени от средней за период 0,02 с мощности, вычисляется для интервалов времени 30 мин.
Средняя активная (реактивная) электрическая мощность вычисляется как среднее значение мощности на интервале времени усреднения 30 мин.
Цифровой сигнал с выходов счетчиков поступает на сервер БД, где осуществляется вычисление электроэнергии и мощности с учетом коэффициентов трансформации ТТ и ТН, хранение измерительной информации.
На верхнем - втором уровне системы выполняется дальнейшая обработка измерительной информации, в частности, формирование, хранение поступающей информации, оформление справочных и отчетных документов.
ИВК по сети Internet с использованием электронной подписи раз в сутки формирует и отправляет с помощью электронной почты по каналу связи по протоколу TCP/IP отчеты с результатами измерений в формате XML в АО «АТС», филиал АО «СО ЕЭС» РДУ и всем заинтересованным субъектам оптового рынка электрической энергии и мощности.
АИИС КУЭ имеет систему обеспечения единого времени (далее - СОЕВ), которая охватывает уровни ИИК и ИВК. АИИС КУЭ оснащена УСВ предназначенным для формирования данных о текущих значениях времени, получаемых по сигналам глобальных навигационных спутниковых систем (далее - ГНСС) ГЛОНАСС/GPS, и передачи этих данных через последовательный интерфейс в автоматизированные информационно-измерительные системы. УСВ обеспечивает автоматическую коррекцию часов сервера БД. Коррекция часов сервера БД проводится при расхождении часов сервера БД и времени УСВ более чем на ±1 с. Коррекция часов счетчиков производится сервером БД. Коррекция часов счетчиков проводится при расхождении часов счетчиков и времени сервера БД более чем на ±2 с.
Журналы событий счетчиков электроэнергии отражают время (дату, часы, минуты, секунды) коррекции часов указанных устройств.
Журналы событий сервера БД отражают время (дату, часы, минуты, секунды) коррекции часов указанных устройств и расхождение времени в секундах корректируемого и корректирующего устройств в момент, непосредственно предшествующий корректировке.
Нанесение знака поверки на средство измерений не предусмотрено.
Заводской номер (№1408) в цифровом формате указывается типографским способом в паспорте-формуляре АИИС КУЭ, а также на специальном информационном шильдике на передней дверце шкафа с сервером БД в составе уровня ИВК.
Программное обеспечение
В АИИС КУЭ используется ПО «Пирамида 2000», в состав которого входят модули, указанные в таблице 1. ПО «Пирамида 2000» обеспечивает защиту программного обеспечения и измерительной информации паролями в соответствии с правами доступа. Средством защиты данных при передаче является кодирование данных, обеспечиваемое программными средствами ПО «Пирамида 2000».
ПО «Пирамида 2000» не влияет на метрологические характеристики измерительных каналов (далее - ИК) АИИС КУЭ, указанные в таблице 2.
Таблица 1 - Идентификационные данные ПО
Идентификацио нное наименование ПО |
Номер версии (идентификацио ный номер) ПО |
Цифровой идентификатор ПО |
Алгоритм вычисления цифрового идентифика тора ПО |
1 |
2 |
3 |
4 |
CalcClients.dll |
не ниже l.O.O.O |
E55712D0B1B219065D63DA949114DAE4 |
MD5 |
CalcLeakage.dll |
не ниже l.O.O.O |
B1959FF70BE1EB17C83F7B0F6D4A132F | |
CalcLosses.dll |
не ниже l.O.O.O |
D79874D10FC2B156A0FDC27E1CA480AC | |
Metrology.dll |
не ниже l.O.O.O |
52E28D7B608799BB3CCEA41B548D2C83 | |
ParseBin.dll |
не ниже l.O.O.O |
6F557F885B737261328CD77805BD1BA7 | |
ParselEC.dll |
не ниже l.O.O.O |
48E73A9283D1E66494521F63D00B0D9F | |
ParseModbus.dll |
не ниже l.O.O.O |
C391D64271ACF4055BB2A4D3FE1F8F48 | |
ParsePiramida.dll |
не ниже l.O.O.O |
ECF532935CA1A3FD3215049AF1FD979F | |
SynchroNSI.dll |
не ниже l.O.O.O |
530D9B0126F7CDC23ECD814C4EB7CA09 | |
VerifyTime.dll |
не ниже l.O.O.O |
1EA5429B261FB0E2884F5B356A1D1E75 |
Уровень защиты ПО от непреднамеренных и преднамеренных изменений - «высокий» в соответствии с Р 50.2.077-2014.
Конструкция средства измерения исключает возможность несанкционированного влияния на программное обеспечение и измерительную информацию.
Метрологические и технические характеристики
Состав ИК АИИС КУЭ и их основные метрологические характеристики приведены в таблице 2.
Таблица 2 - Состав ИК АИИС КУЭ и их основные метрологические характеристики
о S о к |
Наименование ИК |
Измерительные компоненты |
Вид электроэнергии |
Метрологические характеристики ИК | ||||
ТТ |
ТН |
Счетчик |
УСВ |
Основная погрешность, % |
Погрешность в рабочих условиях, % | |||
1 |
2 |
3 |
4 |
5 |
6 |
7 |
8 |
9 |
1 |
РП16 6 кВ, СШ 6 кВ, яч.4, КЛ-6 кВ Ф-160 |
ТПЛ-10-М Кл. т. 0,5 Ктт 200/5 Рег. № 22192-07 |
НТМИ-6(10) Кл. т. 0,5 Ктн 6000/100 Per. № 50058-12 |
СЭТ-4ТМ.03М Кл. т. 0,2S/0,5 Рег. № 36697-17 |
УСВ-3 Per. № 84823-22 |
активная реактивная |
±1,1 ±2,6 |
±3,1 ±5,6 |
2 |
ТП-2163П 6 кВ, 1 СШ 6 кВ, яч.3 |
ТОЛ 10 Кл. т. 0,5 Ктт 800/5 Рег. № 7069-79 |
НАМИ-10 Кл. т. 0,2 Ктн 6000/100 Per. № 11094-87 |
ПСЧ-4ТМ.05МД.05 Кл. т. 0,5S/1,0 Рег. № 51593-18 |
активная реактивная |
±1,0 ±2,5 |
±4,1 ±7,1 | |
3 |
ТП-2163П 6 кВ, ГРЩ- 2 0,4 кВ, СШ 0,4 кВ, АВ №5, КЛ-0,4 кВ |
- |
- |
ПСЧ-4ТМ.05МД.21 Кл. т. 1,0/2,0 Per. № 51593-18 |
активная реактивная |
±1,0 ±2,0 |
±5,0 ±11,1 | |
4 |
СЩ 0,4 кВ КНС, СШ 0,4 кВ, КЛ-0,4 кВ в сторону ВРУ-0,4 кВ ИП Смольянинов Е.И. |
- |
- |
ПСЧ-4ТМ.05МД.21 Кл. т. 1,0/2,0 Per. № 51593-18 |
активная реактивная |
±1,0 ±2,0 |
±5,0 ±11,1 | |
Пределы допускаемой погрешности СОЕВ, с |
±5 |
Продолжение таблицы 2
1
2 |
3 |
4 |
5 |
6 |
7 |
8 |
Примечания:
-
1. Характеристики погрешности ИК даны для измерений электроэнергии и средней мощности (получасовой).
-
2. В качестве характеристик относительной погрешности указаны границы интервала, соответствующие вероятности 0,95.
-
3. Погрешность в рабочих условиях указана для созф = 0,8 инд, 1=0,05 "1ном и температуры окружающего воздуха в месте расположения счетчиков для ИК №№ 1 - 4 от -40°C до +60°C.
-
4. Кл. т. - класс точности, Ктт - коэффициент трансформации трансформаторов тока, Ктн - коэффициент трансформации трансформаторов напряжения, Per. № - регистрационный номер в Федеральном информационном фонде.
-
5. Допускается замена ТТ, ТН и счетчиков на аналогичные утвержденных типов с метрологическими характеристиками не хуже, чем у перечисленных в таблице 2, при условии, что Предприятие-владелец АИИС КУЭ не претендует на улучшение указанных в таблице 2 метрологических характеристик.
-
6. Допускается замена УСВ на аналогичное утвержденного типа.
-
7. Допускается замена сервера БД без изменения используемого ПО (при условии сохранения цифрового идентификатора ПО).
-
8. Замена оформляется техническим актом в установленном на Предприятии-владельце АИИС КУЭ порядке. Технический акт хранится совместно с эксплуатационными документами на АИИС КУЭ как их неотъемлемая часть.
Основные технические характеристики ИК АИИС КУЭ приведены в таблице 3.
Таблица 3 - Основные технические
ИК АИИС КУЭ
Наименование характеристики |
Значение |
Количество измерительных каналов |
4 |
Нормальные условия: параметры сети: - напряжение, % от Ином |
от 99 до 101 |
- ток, % от 1ном |
от 100 до 120 |
- частота, Гц |
от 49,85 до 50,15 |
- коэффициент мощности созф |
0,9 |
- температура окружающей среды, °C |
от +21 до +25 |
Условия эксплуатации: параметры сети: - напряжение, % от Ином |
от 90 до 110 |
- ток, % от 1ном |
от 5 до 120 |
- коэффициент мощности |
от 0,5инд до 0,8емк |
- частота, Гц |
от 49,5 до 50,5 |
- температура окружающей среды в месте расположения ТТ и TH, оС |
от -45 до +40 |
- температура окружающей среды в месте расположения счетчиков, оС: |
от -40 до +60 |
- температура окружающей среды в месте расположения УСВ, оС: |
от -25 до +60 |
- температура окружающей среды в месте расположения сервера БД, оС |
от +10 до +30 |
Надежность применяемых в АИИС КУЭ компонентов: Счетчики:
|
220000 |
- для счетчиков ПСЧ-4ТМ.05МД.05, ПСЧ-4ТМ.05МД.21 (рег. № 51593-18) |
165000 |
- среднее время восстановления работоспособности, ч |
2 |
УСВ: - среднее время наработки на отказ, ч, не менее: |
180000 |
- среднее время восстановления работоспособности, ч |
2 |
Сервер БД: - среднее время наработки на отказ, ч, не менее |
70000 |
- среднее время восстановления работоспособности, ч |
1 |
Глубина хранения информации Счетчики: - профиль нагрузки с получасовым интервалом, сут, не менее |
45 |
- при отключении питания, год, не менее |
5 |
Сервер БД: - хранение результатов измерений и данных о состоянии средств измерений, год, не менее |
3,5 |
Надежность системных решений:
-
- защита от кратковременных сбоев питания сервера БД с помощью источника бесперебойного питания;
-
- резервирование каналов связи: информация о результатах измерений может передаваться в организации-участники оптового рынка электроэнергии с электронной почты и сотовой связи.
помощью
В журналах событий фиксируются факты:
-
- журнал счётчика:
-
- параметрирования;
-
- пропадания напряжения;
-
- коррекции времени в счетчике;
-
- журнал сервера БД:
-
- параметрирования;
-
- пропадания напряжения;
-
- коррекции времени в счетчике и сервера БД;
-
- пропадание и восстановление связи со счетчиком.
Защищённость применяемых компонентов:
-
- механическая защита от несанкционированного доступа и пломбирование:
-
- счётчика;
-
- промежуточных клеммников вторичных цепей тока и напряжения;
-
- испытательной коробки;
-
- сервера БД;
передаче,
-
- защита на программном уровне информации при хранении, параметрировании:
-
- счетчика;
-
- сервера БД.
Возможность коррекции времени в:
-
- счетчиках (функция автоматизирована);
-
- ИВК (функция автоматизирована). Возможность сбора информации:
-
- о результатах измерений (функция автоматизирована).
Цикличность:
-
- измерений 30 мин (функция автоматизирована);
-
- сбора 30 мин (функция автоматизирована).
Знак утверждения типа
наносится на титульный лист паспорта-формуляра АИИС КУЭ типографским способом.
Комплектность средства измерений
Комплектность АИИС КУЭ представлена в таблице 4.
Таблица 4 - Комплектность АИИС КУЭ
Наименование |
Обозначение |
Количество, шт./экз. |
Трансформатор тока |
ТПЛ-10-М |
2 |
Трансформатор тока |
ТОЛ 10 |
2 |
Трансформатор напряжения |
НТМИ-6(10) |
1 |
Трансформатор напряжения |
НАМИ-10 |
1 |
Счётчик электрической энергии многофункциональный |
СЭТ-4ТМ.03М |
1 |
Счётчик электрической энергии многофункциональный |
ПСЧ-4ТМ.05МД.05 |
1 |
Счётчик электрической энергии многофункциональный |
ПСЧ-4ТМ.05МД.21 |
2 |
Устройство синхронизации времени |
УСВ-3 |
1 |
Программное обеспечение |
«Пирамида 2000» |
1 |
Паспорт-формуляр |
РЭСС.411711.АИИС. |
1 |
1408 ПФ |
Сведения о методиках (методах) измерений
приведены в документе «ГСИ. Методика измерений электрической энергии и мощности с использованием системы автоматизированной информационно-измерительной коммерческого учета электроэнергии (АИИС КУЭ) ООО «Первый Мясокомбинат», аттестованном ООО «Спецэнергопроект» г. Москва, уникальный номер записи в реестре аккредитованных лиц RA.RU.312236.
Нормативные документы, устанавливающие требования к средству измерений
ГОСТ 22261-94 «Средства измерений электрических и магнитных величин. Общие технические условия»
ГОСТ Р 8.596-2002 «ГСИ. Метрологическое обеспечение измерительных систем. Основные положения»
Правообладатель
Общество с ограниченной ответственностью «Первый Мясокомбинат»
(ООО «Первый Мясокомбинат»)
ИНН 5256050730
Юридический адрес: 603041, Нижегородская обл., г. Нижний Новгород, пр-кт Молодежный, д. 92
Изготовитель
Общество с ограниченной ответственностью «ВН-Энерготрейд»
(ООО «ВН-Энерготрейд»)
ИНН 5048024231
Адрес: 142304, Московская обл., г. Чехов, ул. Гагарина, д. 19А
Испытательный центр
Акционерное общество «РЭС Групп»
(АО «РЭС Групп»)
ИНН 3328489050
Адрес: 600029, Владимирская обл., г.о. город Владимир, г. Владимир, ул. Аграрная, д. 14А
Уникальный номер записи в реестре аккредитованных лиц RA.RU.312736

УТВЕРЖДЕНО приказом Федерального агентства по техническому регулированию
и метрологии
от « _^8 » _^ВП^СК1 2025 г. № 1618
Лист № 1
Всего листов 8
Регистрационный № 96058-25
ОПИСАНИЕ ТИПА СРЕДСТВА ИЗМЕРЕНИЙ
Система измерений количества и показателей качества нефти № 922 ПСП «Находка». Резервная схема учета
Назначение средства измерений
Система измерений количества и показателей качества нефти № 922 ПСП «Находка».
Резервная схема учета (далее - СИКН РСУ) предназначена для автоматизированных измерений массы и показателей качества нефти.
Описание средства измерений
Принцип действия СИКН РСУ основан на использовании косвенного метода динамических измерений массы брутто нефти, основанного на измерениях объема нефти с применением преобразователя объемного расхода, плотности нефти с применением преобразователя плотности или определенной в лаборатории, температуры и давления нефти с применением датчиков температуры и преобразователей избыточного давления и объемной доли воды в нефти, определенной в лаборатории.
СИКН РСУ, заводской № 922, представляет собой единичный экземпляр измерительной системы, спроектированной для конкретного объекта из компонентов серийного отечественного и импортного изготовления. Монтаж и наладка СИКН РСУ осуществлены непосредственно на объекте эксплуатации в соответствии с проектной документацией на СИКН РСУ и эксплуатационными документами на ее компоненты.
СИКН РСУ состоит из:
-
- узла резервной схемы учета (УРСУ), включающий в себя одну измерительную линию;
-
- блока измерений показателей качества нефти (далее - БИК) (из состава основной схемы учета СИКН № 922);
-
- установки трубопоршневой поверочной двунаправленной (из состава основной схемы учета СИКН № 922);
-
- системы обработки информации (СОИ).
В БИК установлен расходомер для контроля выполнения условий изокинетичности пробоотбора.
В составе СИКН РСУ применены средства измерений (СИ) утвержденных типов, которые указаны в таблице 1.
Таблица 1 - Состав СИКН РСУ
Наименование и тип СИ |
Регистрационный номер в Федеральном информационном фонде по обеспечению единства измерений |
Преобразователи расхода жидкости ультразвуковые DFX-MM, модели DFX24 (далее - УЗР) |
79419-20 |
Датчики температуры 644, 3144Р |
39539-08 |
Термопреобразователи сопротивления платиновые с унифицированным выходным сигналом ТСПУ моделей 65-244, 65-644, 65-3144, 65-3244, модели 65-644 |
27129-04 |
Преобразователи давления измерительные 3051 |
14061-15 |
Преобразователи давления измерительные 3051 |
14061-10 |
Преобразователи давления измерительные 3051 |
14061-04 |
Термопреобразователи прецизионные ПТ 0304-ВТ |
77963-20 |
Датчики давления Агат- 100МТ |
74779-19 |
Преобразователи давления измерительные АИР-20/М2, модификации АИР-20/М2-Н |
63044-16 |
Преобразователи плотности жидкости «ТН-Плотномер-25-6,3» |
77871-20* |
Преобразователи плотности жидкости измерительные (мод. 7835) (далее - ПП) |
15644-06 |
Влагомеры нефти поточные УД,ВН-1пм (далее - ВН) |
14557-10* 14557-05** |
Преобразователи плотности и вязкости жидкости измерительные (мод. 7829) (далее - ПВ) |
15642-06 |
Установка поверочная трубопоршневая двунаправленная (далее - ТПУ) |
20054-06 |
Комплексы измерительно-вычислительные ТН-01 (далее - ИВК) |
67527-17 |
* Применяется при температуре нефти от +5 до +40 °С. ** Применяется при температуре нефти от +2 до +30 °С. |
В состав СИКН РСУ входят показывающие средства измерений давления и температуры нефти утвержденных типов.
СИКН РСУ обеспечивает выполнение следующих основных функций:
-
- автоматические измерения массы брутто нефти косвенным методом динамических измерений в рабочем диапазоне расхода, температуры, давления, плотности и вязкости нефти;
-
- автоматизированное вычисление массы нетто нефти, как разности массы брутто нефти и массы балласта с использованием результатов определения массовой доли механических примесей, массовой доли хлористых солей и массовой доли воды в аккредитованной испытательной лаборатории или по результатам измерений объемной доли воды в блоке измерений показателей качества нефти с применением влагомеров;
-
- измерения давления и температуры нефти автоматическое и с помощью показывающих средств измерений давления и температуры нефти соответственно;
-
- автоматические измерения показателей качества нефти;
-
- проведение поверки и контроля метрологических характеристик (КМХ) УЗР с применением ТПУ, регистрационный номер в Федеральном информационном фонде 20054-06 и турбинных преобразователей расхода, входящих в состав основной схемы учета или передвижной ТПУ 1-го разряда;
-
- проведение КМХ преобразователей плотности, влагомеров, преобразователей вязкости на месте эксплуатации без прекращения учетных операций;
-
- автоматический и ручной отбор проб;
-
- автоматический контроль параметров измеряемого потока, их индикацию и сигнализацию нарушений установленных границ;
-
- защиту информации от несанкционированного доступа программными средствами;
-
- регистрацию и хранение результатов измерений, формирование отчетов. Пломбирование СИКН РСУ не предусмотрено.
Заводской номер СИКН РСУ нанесен типографским способом на информационную табличку, представленной на рисунке 1, закрепленную на площадке СИКН РСУ. Формат нанесения заводского номера - цифровой. Нанесение знака поверки не предусмотрено.
на СИКН РСУ

Рисунок 1 - Информационная табличка СИКН РСУ
■! Лгз|| | |
Программное обеспечение
Программное обеспечение (ПО) СИКН РСУ обеспечивает реализацию функций СИКН РСУ. Защита ПО СИКН РСУ от непреднамеренных и преднамеренных изменений и обеспечение его соответствия утвержденному типу осуществляется путем идентификации, защиты от несанкционированного доступа.
ПО СИКН РСУ защищено от несанкционированного доступа, изменения алгоритмов и установленных параметров системой идентификации пользователя.
Уровень защиты ПО «высокий» в соответствии с Р 50.2.077-2014. Идентификационные данные ПО СИКН РСУ приведены в таблице 2.
Таблица 2 -
данные ПО СИКН РСУ
Идентификационные данные (признаки) |
Значение |
Идентификационное наименование ПО |
AnalogC onverter. app |
Номер версии (идентификационный номер) ПО |
1.2.14.1 |
Цифровой идентификатор ПО |
9319307D |
Идентификационное наименование ПО |
SIKNCalc.app |
Номер версии (идентификационный номер) ПО |
1.7.14.3 |
Цифровой идентификатор ПО |
17D43552 |
Идентификационное наименование ПО |
Sarasota.app |
Номер версии (идентификационный номер) ПО |
1.1.14.18 |
Цифровой идентификатор ПО |
5FD2677A |
Идентификационное наименование ПО |
PP 78xx.app |
Номер версии (идентификационный номер) ПО |
1.1.14.20 |
Цифровой идентификатор ПО |
CB6B884C |
Идентификационное наименование ПО |
MI1974.app |
Номер версии (идентификационный номер) ПО |
1.6.14.11 |
Цифровой идентификатор ПО |
116E8FC5 |
Идентификационное наименование ПО |
MI3233.app |
Номер версии (идентификационный номер) ПО |
1.1.14.28 |
Цифровой идентификатор ПО |
3836BADF |
Идентификационное наименование ПО |
MI3265.app |
Номер версии (идентификационный номер) ПО |
1.6.14.3 |
Цифровой идентификатор ПО |
4EF156E4 |
Идентификационное наименование ПО |
MI3266.app |
Номер версии (идентификационный номер) ПО |
1.6.14.6 |
Цифровой идентификатор ПО |
4D07BD66 |
Идентификационное наименование ПО |
MI3267.app |
Номер версии (идентификационный номер) ПО |
1.6.14.5 |
Цифровой идентификатор ПО |
D19D9225 |
Идентификационное наименование ПО |
MI3287.app |
Номер версии (идентификационный номер) ПО |
1.6.14.4 |
Цифровой идентификатор ПО |
3A4CE55B |
Идентификационное наименование ПО |
MI3312.app |
Номер версии (идентификационный номер) ПО |
1.1.14.30 |
Цифровой идентификатор ПО |
E56EAB1E |
Идентификационное наименование ПО |
MI3380.app |
Номер версии (идентификационный номер) ПО |
1.6.14.12 |
Цифровой идентификатор ПО |
23F21EA1 |
Идентификационные данные (признаки) |
Значение |
Идентификационное наименование ПО |
KMH PP.app |
Номер версии (идентификационный номер) ПО |
1.1.14.17 |
Цифровой идентификатор ПО |
71C65879 |
Идентификационное наименование ПО |
KMH PP AREOM.app |
Номер версии (идентификационный номер) ПО |
1.3.14.1 |
Цифровой идентификатор ПО |
62C75A03 |
Идентификационное наименование ПО |
MI2816.app |
Номер версии (идентификационный номер) ПО |
1.1.14.5 |
Цифровой идентификатор ПО |
B8DF3368 |
Идентификационное наименование ПО |
MI3151.app |
Номер версии (идентификационный номер) ПО |
1.1.14.21 |
Цифровой идентификатор ПО |
F3B1C494 |
Идентификационное наименование ПО |
KMH MPR MPR.app |
Номер версии (идентификационный номер) ПО |
1.1.14.4 |
Цифровой идентификатор ПО |
6A8CF172 |
Идентификационное наименование ПО |
MI3272.app |
Номер версии (идентификационный номер) ПО |
1.1.14.50 |
Цифровой идентификатор ПО |
232DDC3F |
Идентификационное наименование ПО |
MI3288.app |
Номер версии (идентификационный номер) ПО |
1.1.14.14 |
Цифровой идентификатор ПО |
32D8262B |
Идентификационное наименование ПО |
MI3155.app |
Номер версии (идентификационный номер) ПО |
1.1.14.30 |
Цифровой идентификатор ПО |
F70067AC |
Идентификационное наименование ПО |
MI3189.app |
Номер версии (идентификационный номер) ПО |
1.1.14.21 |
Цифровой идентификатор ПО |
35DD379D |
Идентификационное наименование ПО |
KMH PV.app |
Номер версии (идентификационный номер) ПО |
1.1.14.1 |
Цифровой идентификатор ПО |
9F5CD8E8 |
Идентификационное наименование ПО |
KMH PW.app |
Номер версии (идентификационный номер) ПО |
1.1.14.2 |
Цифровой идентификатор ПО |
5C9E0FFE |
Идентификационное наименование ПО |
MI2974.app |
Номер версии (идентификационный номер) ПО |
1.1.14.21 |
Цифровой идентификатор ПО |
AB567359 |
Идентификационные данные (признаки) |
Значение |
Идентификационное наименование ПО |
MI3234.app |
Номер версии (идентификационный номер) ПО |
1.1.14.34 |
Цифровой идентификатор ПО |
ED6637F5 |
Идентификационное наименование ПО |
GOSTR8908.app |
Номер версии (идентификационный номер) ПО |
1.1.14.33 |
Цифровой идентификатор ПО |
8D37552D |
Примечания
|
Метрологические и технические характеристики
Таблица 3 - Метрологические характеристики СИКН РСУ
Наименование характеристики |
Значение |
Диапазон измерений расхода нефти через СИКН РСУ*, м3/ч |
от 3400 до 7700 |
Пределы допускаемой относительной погрешности измерений массы брутто нефти, % |
±0,25 |
Пределы допускаемой относительной погрешности измерений массы нетто нефти, % |
±0,35 |
*Указаны минимальное и максимальное значения диапазона измерений. Фактический диапазон измерений определяется при проведении поверки СИКН РСУ и не может выходить за пределы приведенного диапазона измерений. |
Таблица 4 - Технические
СИКН РСУ
Наименование характеристики |
Значение |
Измеряемая среда |
нефть по ГОСТ Р 51858-2002 |
«Нефть. Общие технические условия» | |
Диапазон избыточного давления нефти, МПа |
от 0,17 до 4,0 |
Физико-химические свойства измеряемой среды: - вязкость кинематическая в рабочем диапазоне темпера- | |
туры, мм2/с (сСт) |
от 5,0 до 36,0 |
- плотность нефти в рабочем диапазоне температуры, | |
кг/м3 |
от 830,0 до 860,0 |
- температура перекачиваемой нефти, °С |
от +2,0 до +40,0 |
- массовая доля воды, %, не более |
1,0 |
- массовая концентрация хлористых солей, мг/дм3, | |
не более |
900 |
- массовая доля механических примесей, %, не более |
0,05 |
Содержание свободного газа |
не допускается |
Наименование характеристики |
Значение |
Режим работы СИКН РСУ |
периодический, автоматизированный |
Параметры электрического питания:
|
380±38 (трехфазное); 220±22 (однофазное) 50±1 |
Условия эксплуатации:
а) помещение БИК; б) помещение для ЭПУ; в) помещения для размещения оборудования СОИ РСУ и системы распределения электроэнергии |
от -26,5 до +37 не ниже 5 не ниже 10 от 22 до 24 |
Таблица 5 - Показатели надежности СИКН РСУ
Наименование характеристики |
Значение |
Срок службы, лет, не менее |
10 |
Знак утверждения типа
наносится на титульный лист инструкции по эксплуатации СИКН РСУ типографским способом.
Комплектность средства измерений
Таблица 6 - Комплектность СИКН РСУ
Наименование |
Обозначение |
Количество, шт./экз. |
Система измерений количества и показателей качества нефти № 922 ПСП «Находка». Резервная схема учета |
- |
1 шт. |
Инструкция по эксплуатации |
- |
1 экз. |
Методика поверки |
- |
1 экз. |
Сведения о методиках (методах) измерений
приведены в документе «Инструкция. Масса нефти. Методика измерений резервной схемой учета системы измерений количества и показателей качества нефти № 922
ООО «Транснефть - Порт Козьмино», свидетельство об аттестации методики (метода) измерений № 521-RA.RU.312546-2025 от 08.04.2025.
Нормативные документы, устанавливающие требования к средству измерений
Постановление Правительства Российской Федерации от 16 ноября 2020 г. № 1847 «Об утверждении перечня измерений, относящихся к сфере государственного регулирования обеспечения единства измерений» пункт 6.1.1
Приказ Росстандарта от 26 сентября 2022 года № 2356 «Об утверждении Государственной поверочной схемы для средств измерений массы и объема жидкости в потоке, объема жидкости и вместимости при статических измерениях, массового и объемного расходов жидкости»
Правообладатель
Общество с ограниченной ответственностью «Транснефть - Порт Козьмино» (ООО «Транснефть - Порт Козьмино»)
ИНН 2508081814
Юридический адрес: 692941, Приморский край, г. Находка, ул. Нижне-Набережная (поселок Врангель мкр.), д. 78
Изготовитель
Общество с ограниченной ответственностью «Транснефть - Порт Козьмино»
(ООО «Транснефть - Порт Козьмино»)
ИНН 2508081814
Адрес: 692941, Приморский край, г. Находка, ул. Нижне-Набережная (поселок Врангель мкр.), д. 78
Испытательный центр
Акционерное общество «Транснефть - Автоматизация и Метрология» (АО «Транснефть - Автоматизация и Метрология»)
Адрес: 123112, г. Москва, Пресненская наб., д. 4, стр. 2
Телефон: (495) 950-87-00
Факс: (495) 950-85-97
W eb-сайт: https://metrology.transneft.ru/
E-mail: cmo@cmo.transneft.ru
об аккредитации в реестре аккредитованных лиц
Уникальный номер записи
№ RA.RU.313994

УТВЕРЖДЕНО приказом Федерального агентства по техническому регулированию
и метрологии
от « _8 » августа 2025 Г. № _
Лист № 1
Всего листов 21
коммерческого
Регистрационный № 96059-25
ОПИСАНИЕ ТИПА СРЕДСТВА ИЗМЕРЕНИЙ
Система автоматизированная информационно-измерительная учета электрической энергии (АИИС КУЭ) ООО «СВЭСКО»
Назначение средства измерений
Система автоматизированная информационно-измерительная коммерческого учета электрической энергии (АИИС КУЭ) ООО «СВЭСКО» (далее - АИИС КУЭ) предназначена для измерений активной и реактивной электрической энергии, потребленной (переданной) за установленные интервалы времени отдельными технологическими хранения и обработки полученной информации.
объектами, сбора,
Описание средства измерений
многоуровневую централизованным
АИИС КУЭ представляет собой многофункциональную, автоматизированную информационно-измерительную систему с
управлением и распределенной функцией измерений.
Измерительные каналы (ИК) состоят из двух уровней АИИС КУЭ:
Первый уровень - измерительно-информационные комплексы (ИИК), включающие в себя измерительные трансформаторы тока (ТТ), трансформаторы напряжения (ТН) и счетчики активной и реактивной электрической энергии (счетчики), вторичные измерительные цепи и технические средства приема-передачи данных.
Второй уровень - информационно-вычислительный комплекс (ИВК), включающий в себя сервер АИИС КУЭ, устройство синхронизации системного времени (УССВ) типа УСВ-3, каналообразующую аппаратуру, технические средства для организации локальной вычислительной сети и разграничения прав доступа к информации, автоматизированные рабочие места персонала (АРМ) и программное обеспечение (ПО) «Пирамида 2000».
Первичные фазные токи и напряжения трансформируются измерительными трансформаторами в аналоговые сигналы низкого уровня, которые по проводным линиям связи поступают на соответствующие входы электронного счетчика электрической энергии. В счетчике мгновенные значения аналоговых сигналов преобразуются в цифровой сигнал. По мгновенным значениям силы электрического тока и напряжения в микропроцессоре счетчика вычисляются усредненные значения активной мощности и среднеквадратические значения напряжения и тока за период 0,02 с. По вычисленным среднеквадратическим значениям тока и напряжения производится вычисление полной мощности за период. Средняя за период реактивная мощность вычисляется по средним за период значениям активной и полной мощности.
Электрическая энергия, как интеграл по времени от средней за период 0,02 с мощности, вычисляется для интервалов времени 30 мин.
Цифровой сигнал с выходов счетчиков поступает на верхний, второй уровень системы, где осуществляется дальнейшая обработка измерительной информации, в частности вычисление электрической энергии и мощности с учетом коэффициентов трансформации ТТ и ТН, хранение
измерительной информации, ее накопление и передача, оформление отчетных документов, отображение информации на мониторах АРМ и передача данных в организации - участники оптового рынка электрической энергии и мощности, в том числе в АО «АТС», АО «СО ЕЭС» и смежным субъектам, через каналы связи в виде XML-файлов, установленных форматов, в соответствии с Приложением 11.1.1 к Положению о порядке получения статуса субъекта оптового рынка и ведения реестра субъектов оптового рынка электрической энергии и мощности с использованием электронной подписи субъекта рынка. Передача результатов измерений производится со второго уровня настоящей системы.
АИИС КУЭ имеет возможность принимать измерительную информацию от смежных АИИС КУЭ, зарегистрированных в Федеральном информационном по обеспечению единства измерений.
АИИС КУЭ имеет систему обеспечения единого времени (СОЕВ).
других
фонде
СОЕВ предусматривает поддержание национальной шкалы координированного времени на всех уровнях системы (ИИК и ИВК). АИИС КУЭ оснащена УССВ, синхронизирующим собственную шкалу времени национальной шкалой координированного времени Российской Федерации UTC(SU) по сигналам глобальной навигационной системы ГЛОНАСС, получаемых от ГЛОНАСС/GPS-приемника.
Сравнение шкалы времени сервера АИИС КУЭ со шкалой времени УССВ осуществляется во время сеанса связи с УССВ. При наличии расхождения сервер АИИС КУЭ производит синхронизацию собственной шкалы времени со шкалой времени УССВ.
Сравнение шкалы времени счетчиков со шкалой времени сервера АИИС КУЭ осуществляется во время сеанса связи со счетчиками. При расхождении шкалы времени счетчика со шкалой времени сервера АИИС КУЭ ±2 си более производится синхронизация шкалы времени счетчика.
Факты синхронизации времени с обязательной фиксацией времени (дата, часы, минуты, секунды) до и после синхронизации или величины синхронизации времени, на которую были скорректированы указанные устройства, отражаются в журналах событий счетчика и сервера АИИС КУЭ.
Нанесение знака поверки на корпус АИИС КУЭ не предусмотрено. Заводской номер АИИС КУЭ 001 наносится на корпус сервера в виде наклейки и типографским способом в формуляре на систему автоматизированную информационно-измерительную коммерческого учета электрической энергии (АИИС КУЭ) ООО «СВЭСКО».
Программное обеспечение
В АИИС КУЭ используется ПО «Пирамида 2000». Уровень защиты ПО от непреднамеренных и преднамеренных изменений предусматривает ведение журналов фиксации ошибок, фиксации изменений параметров, проверку прав пользователей и входа с помощью пароля, защиту передачи данных с помощью контрольных сумм, что соответствует уровню - «средний» в соответствии с Р 50.2.077-2014. Метрологически значимая часть ПО приведена в таблице 1.
Таблица 1 - Идентификационные данные ПО
Идентификационные данные (признаки) |
Значение |
1 |
2 |
Идентиикационное наименование ПО |
«Пирамида 2000» |
Номер версии (идентификационный номер) ПО |
не ниже 3.0 |
Наименование программного модуля ПО |
CalcClients.dll |
Цифровой идентификатор ПО |
e55712d0b1b219065d63da949114dae4 |
Наименование программного модуля ПО |
CalcLeakage.dll |
1 |
2 |
Цифровой идентификатор ПО |
b1959ff70be1eb17c83f7b0f6d4a132f |
Наименование программного модуля ПО |
CalcLosses.dll |
Цифровой идентификатор ПО |
d79874d10fc2b156a0fdc27e1ca480ac |
Наименование программного модуля ПО |
Metrology.dll |
Цифровой идентификатор ПО |
52e28d7b608799bb3ccea41b548d2c83 |
Наименование программного модуля ПО |
ParseBin.dll |
Цифровой идентификатор ПО |
6f557f885b737261328cd77805bd1ba7 |
Наименование программного модуля ПО |
ParselEC.dll |
Цифровой идентификатор ПО |
48e73a9283d1e66494521f63d00b0d9f |
Наименование программного модуля ПО |
ParseModbus.dll |
Цифровой идентификатор ПО |
C391d64271acf4055bb2a4d3fe1f8f48 |
Наименование программного модуля ПО |
ParsePiramida.dll |
Цифровой идентификатор ПО |
ecf532935ca1a3fd3215049af1fd979f |
Наименование программного модуля ПО |
SynchroNSI.dll |
Цифровой идентификатор ПО |
530d9b0126f7cdc23ecd814c4eb7ca09 |
Наименование программного модуля ПО |
VerifyTime.dll |
Цифровой идентификатор ПО |
1ea5429b261fb0e2884f5b356a1d1e75 |
Алгоритм вычисления цифрового идентификатора |
MD5 |
Метрологические и технические характеристики
Состав ИК АИИС КУЭ и их основные метрологические и технические характеристики приведены в таблицах 2, 3 и 4.
Таблица 2 - Состав ИК АИИС КУЭ
S о. о S о к |
Наименование ИК |
ТТ |
ТН |
Счетчик |
УССВ/Сервер |
Вид электрической энергии и мощности |
1 |
1 |
ъ |
4 |
5 |
6 |
7 |
1 |
ГПП-50 110/6 кВ, РУ 6 кВ, 1 СШ 6 кВ, яч. 7 |
ТПОЛ10 1500/5 Кл. т. 0,5 Рег. № 1261-59 |
НАМИТ-10 6000/100 Кл. т. 0,5 Рег. № 16687-02 |
СЭТ-4ТМ.03М Кл. т. 0,2S/0,5 Рег. № 36697-08 |
УССВ: УСВ-3 Рег. № 64242-16 Сервер АИИС КУЭ: Промышленный компьютер |
активная реактивная |
2 |
ГПП-50 110/6 кВ, РУ 6 кВ, 2 СШ 6 кВ, яч. 10 |
ТПЛМ-10 150/5 Кл. т. 0,5 Рег. № 2363-68 |
НАМИТ-10 6000/100 Кл. т. 0,5 Рег. № 16687-02 |
СЭТ-4ТМ.03М Кл. т. 0,2S/0,5 Рег. № 36697-17 |
активная реактивная | |
3 |
ГПП-50 110/6 кВ, РУ 6 кВ, 2 СШ 6 кВ, яч. 12 |
ТПЛМ-10 200/5 Кл. т. 0,5 Рег. № 2363-68 |
СЭТ-4ТМ.03М Кл. т. 0,2S/0,5 Рег. № 36697-08 |
активная реактивная | ||
4 |
ГПП-50 110/6 кВ, РУ 6 кВ, 2 СШ 6 кВ, яч. 14 |
ТПЛМ-10 200/5 Кл. т. 0,5 Рег. № 2363-68 |
СЭТ-4ТМ.03М Кл. т. 0,2S/0,5 Рег. № 36697-08 |
активная реактивная | ||
5 |
ГПП-50 110/6 кВ, РУ 6 кВ, 2 СШ 6 кВ, яч. 6 |
ТПОЛ10 1500/5 Кл. т. 0,5 Рег. № 1261-59 |
СЭТ-4ТМ.03М Кл. т. 0,2S/0,5 Рег. № 36697-08 |
активная реактивная |
1 |
2 |
3 |
6 |
ГПП-50 110/6 кВ, РУ 6 кВ, 3 СШ 6 кВ, яч. 33 |
тполю 1500/5 Кл. т. 0,5 Per. № 1261-59 |
7 |
ГПП-50 110/6 кВ, РУ 6 кВ, 3 СШ 6 кВ, яч. 39 |
ТПЛМ-10 200/5 Кл. т. 0,5 Per. № 2363-68 |
8 |
ГПП-50 110/6 кВ, РУ 6 кВ, 4 СШ 6 кВ, яч. 28 |
ТПЛМ-10 200/5 Кл. т. 0,5 Per. № 2363-68 |
9 |
ГПП-50 110/6 кВ, РУ 6 кВ, 4 СШ 6 кВ, яч. 32 |
ТПОЛЮ 1500/5 Кл. т. 0,5 Per. № 1261-59 |
10 |
ГПП-50 110/6 кВ, РУ 6 кВ, 4 СШ 6 кВ, яч. 36 |
ТОЛ-10 400/5 Кл. т. 0,5 Per. № 7069-07 |
11 |
ГПП-50 110/6 кВ, РУ 6 кВ, 4 СШ 6 кВ, яч. 38Б |
ТЛК-СТ 1500/5 Кл. т. 0,58 Per. № 58720-14 |
НАМИТ-10 6000/100 Кл. т. 0,5 Per. № 16687-02
СЭТ-4ТМ.03М
Кл. т. 0,28/0,5 Per. № 36697-08
активная
реактивная
СЭТ-4ТМ.03М
Кл. т. 0,28/0,5 Per. № 36697-08
активная
реактивная
СЭТ-4ТМ.03М
Кл. т. 0,28/0,5
Per. № 36691-Q^
УССВ:
УСВ-3
Per. № 64242-16
активная
реактивная
НАМИТ-10 6000/100 Кл. т. 0,5 Per. № 16687-02
СЭТ-4ТМ.03М
Кл. т. 0,28/0,5
Per. № 36691-^%
Сервер АИИС КУЭ: Промышленный компьютер
активная
реактивная
СЭТ-4ТМ.03М
Кл. т. 0,28/0,5
Per. № 36691-^%
активная
реактивная
СЭТ-4ТМ.02М
Кл. т. 0,28/0,5 Per. № 36697-12
активная
реактивная
1
12
ГПП-50 110/6 кВ, РУ 6 кВ, 5 СШ 6 кВ, яч. 43
13
ГПП-50 110/6 кВ, РУ 6 кВ, 5 СШ 6 кВ, яч. 49
14
ГПП-50 110/6 кВ, РУ 6 кВ, 5 СШ 6 кВ, яч. 55
15
ГПП-50 110/6 кВ, РУ 6 кВ, 6 СШ 6 кВ, яч. 40А
3
ТПЛМ-10 400/5
Кл. т. 0,5 Рег. № 2363-68
ТПЛМ-10 200/5
Кл. т. 0,5 Рег. № 2363-68
ТПОЛ10 1500/5
Кл. т. 0,5 Рег. № 1261-59
ТЛК-СТ 1500/5
Кл. т. 0,5S
Рег. № 58720-14
16
ГПП-50 110/6 кВ, РУ 6 кВ, 6 СШ 6 кВ, яч. 41А
ТЛК
200/5
Кл. т. 0,5 Рег. № 42683-09
17
ГПП-50 110/6 кВ, РУ 6 кВ, 6 СШ 6 кВ, яч. 41В
ТЛО-10
1500/5
Кл. т. 0,5
Рег. № 25433-11
ГПП-50 110/6 кВ, РУ 6 кВ, 6 СШ 6 кВ, яч. 42
ТПОЛ10 1500/5
Кл. т. 0,5
Рег. № 1261-59
СЭТ-4ТМ.03М
Кл. т. 0,2S/0,5 Рег. № 36697-08
активная
реактивная
НАМИТ-10 6000/100 Кл. т. 0,5 Рег. № 16687-07
НАМИТ-10 6000/100 Кл. т. 0,5 Рег. № 16687-07
СЭТ-4ТМ.03М
Кл. т. 0,2S/0,5 Рег. № 36697-08
СЭТ-4ТМ.03М
Кл. т. 0,2S/0,5 Рег. № 36697-08
СЭТ-4ТМ.02М
Кл. т. 0,2S/0,5 Рег. № 36697-12
СЭТ-4ТМ.03М
Кл. т. 0,2S/0,5 Рег. № 36697-08
СЭТ-4ТМ.03М
Кл. т. 0,5S/1,0 Рег. № 36697-12
СЭТ-4ТМ.03М
Кл. т. 0,2S/0,5 Рег. № 36697-08
активная
реактивная
активная
УССВ:
УСВ-3
Рег. № 64242-16
Сервер АИИС КУЭ: Промышленный компьютер
реактивная
активная
реактивная
активная
реактивная
активная
реактивная
активная
1
19
ГПП-50 110/6 кВ, РУ-6 кВ, 7 СШ 6 кВ, яч. 71
20
ГПП-50 110/6 кВ, РУ 6 кВ, 8 СШ 6 кВ, яч. 62
3
ТПОЛ10 1500/5
Кл. т. 0,5 Рег. № 1261-59
ТПЛМ-10 100/5
Кл. т. 0,5
Рег. № 2363-68
21
ГПП-50 110/6 кВ, РУ 6 кВ 8 СШ 6 кВ, яч. 66
22
ГПП-50 110/6 кВ, РУ 6 кВ 8 СШ 6 кВ, яч. 68
ТПЛ-10 200/5
Кл. т. 0,5
Рег. № 1276-59
ТПОЛ10 1500/5
Кл. т. 0,5
Рег. № 1261-59
23
ГПП-50 110/6 кВ, РУ 6 кВ 8 СШ 6 кВ, яч. 72
ТПЛ-10 200/5 Кл. т. 0,5 Рег. № 1276-59
24
ГПП-50 110/6 кВ, РУ-6 кВ, 8 СШ 6 кВ, яч. 74В
ГПП-60 110/6 кВ, РУ 6 кВ, 1 СШ 6 кВ, яч. 7
ТЛО-10
1500/5
Кл. т. 0,5
Рег. № 25433-11
ТПШЛ-10 3000/5
Кл. т. 0,5
Рег. № 1423-60
НАМИТ-10 6000/100 Кл. т. 0,5 Рег. № 16687-07
НАМИТ-10 6000/100 Кл. т. 0,5 Рег. № 16687-07
НТМИ-6-66
6000/100
Кл. т. 0,5
Рег. № 2611-70
СЭТ-4ТМ.03М
Кл. т. 0,2S/0,5 Рег. № 36697-08
СЭТ-4ТМ.03М
Кл. т. 0,2S/0,5 Рег. № 36697-08
СЭТ-4ТМ.03М
Кл. т. 0,2S/0,5 Рег. № 36697-08
СЭТ-4ТМ.03М
Кл. т. 0,2S/0,5 Рег. № 36697-08
СЭТ-4ТМ.03М
Кл. т. 0,2S/0,5 Рег. № 36697-17
СЭТ-4ТМ.03М
Кл. т. 0,5S/1,0 Рег. № 36697-12
СЭТ-4ТМ.03М
Кл. т. 0,2S/0,5 Рег. № 36697-08
активная
реактивная
активная
реактивная
активная
УССВ:
УСВ-3
Рег. № 64242-16
Сервер АИИС КУЭ: Промышленный компьютер
реактивная
активная
реактивная
активная
реактивная
активная
реактивная
активная
1 |
2 |
3 |
4 |
5 |
26 |
ГПП-60 110/6 кВ, РУ 6 кВ, 2 СШ 6 кВ, яч. 10 |
ТПШЛ-10 3000/5 Кл. т. 0,5 Рег. № 1423-60 |
НТМИ-6-66 6000/100 Кл. т. 0,5 Рег. № 2611-70 |
СЭТ-4ТМ.03М Кл. т. 0,2S/0,5 Рег. № 36697-08 |
27 |
ГПП-60 110/6 кВ, РУ 6 кВ, 3 СШ 6 кВ, яч. 31 |
ТПШЛ-10 3000/5 Кл. т. 0,5 Рег. № 1423-60 |
НТМИ-6-66 6000/100 Кл. т. 0,5 Рег. № 2611-70 |
СЭТ-4ТМ.03М Кл. т. 0,2S/0,5 Рег. № 36697-08 |
28 |
ГПП-60 110/6 кВ, РУ 6 кВ, 3 СШ 6 кВ, яч. 35 |
ТПЛ-10 400/5 Кл. т. 0,5 Рег. № 1276-59 |
СЭТ-4ТМ.03М Кл. т. 0,5S/1,0 Рег. № 36697-12 | |
29 |
ГПП-60 110/6 кВ, РУ 6 кВ, 4 СШ 6 кВ, яч. 34 |
ТПШЛ-10 3000/5 Кл. т. 0,5 Рег. № 1423-60 |
НТМИ-6-66 6000/100 Кл. т. 0,5 Рег. № 2611-70 |
СЭТ-4ТМ.03М Кл. т. 0,2S/0,5 Рег. № 36697-08 |
30 |
ГПП-60 110/6 кВ, РУ 6 кВ, 5 СШ 6 кВ, яч. 45 |
ТПШЛ-10 3000/5 Кл. т. 0,5 Рег. № 1423-60 |
НТМИ-6-66 6000/100 Кл. т. 0,5 Рег. № 2611-70 |
СЭТ-4ТМ.03М Кл. т. 0,2S/0,5 Рег. № 36697-08 |
31 |
ГПП-60 110/6 кВ, РУ 6 кВ, 6 СШ 6 кВ, яч. 48 |
ТПШЛ-10 3000/5 Кл. т. 0,5 Рег. № 1423-60 |
НТМИ-6-66 6000/100 Кл. т. 0,5 Рег. № 2611-70 |
СЭТ-4ТМ.03М Кл. т. 0,2S/0,5 Рег. № 36697-08 |
32 |
ГПП-60 110/6 кВ, РУ 6 кВ, 7 СШ 6 кВ, яч. 69 |
ТПШЛ-10 3000/5 Кл. т. 0,5 Рег. № 1423-60 |
НТМИ-6-66 6000/100 Кл. т. 0,5 Рег. № 2611-70 |
СЭТ-4ТМ.03М Кл. т. 0,2S/0,5 Рег. № 36697-08 |
Сервер АИИС КУЭ: Промышленный компьютер
УССВ:
УСВ-3
Рег. № 64242-16
активная
реактивная
активная
реактивная
активная
реактивная
активная
реактивная
активная
реактивная
активная
реактивная
активная
1 |
2 |
3 |
4 |
5 |
33 |
ГПП-60 110/6 кВ, РУ 6 кВ, 8 СШ 6 кВ, яч. 72 |
ТПШЛ-10 3000/5 Кл. т. 0,5 Рег. № 1423-60 |
НТМИ-6-66 6000/100 Кл. т. 0,5 Рег. № 2611-70 |
СЭТ-4ТМ.03М Кл. т. 0,2S/0,5 Рег. № 36697-08 |
34 |
ГПП-70 110/6 кВ, Py-I 6 кВ, 1 СШ 6 кВ, яч. В1-Т1 |
ТПШЛ-10 4000/5 Кл. т. 0,5 Рег. № 1423-60 |
НАМИТ-10 6000/100 Кл. т. 0,5 Рег. № 16687-13 |
СЭТ-4ТМ.03М Кл. т. 0,2S/0,5 Рег. № 36697-08 |
35 |
ГПП-70 110/6 кВ, Py-I 6 кВ, 2 СШ 6 кВ, яч. В1-Т2 |
ТПШЛ-10 4000/5 Кл. т. 0,5 Рег. № 1423-60 |
НАМИТ-10 6000/100 Кл. т. 0,5 Рег. № 16687-13 |
СЭТ-4ТМ.03М Кл. т. 0,2S/0,5 Рег. № 36697-08 |
36 |
ГПП-70 110/6 кВ, Py-I 6кВ, 3 СШ 6 кВ, яч. В2-Т1 |
ТПШЛ-10 4000/5 Кл. т. 0,5 Рег. № 1423-60 |
НАМИТ-10 6000/100 Кл. т. 0,5 Рег. № 16687-13 |
СЭТ-4ТМ.03М Кл. т. 0,2S/0,5 Рег. № 36697-08 |
37 |
ГПП-70 110/6 кВ, Py-I 6кВ, 4 СШ 6 кВ, яч. В2-Т2 |
ТПШЛ-10 4000/5 Кл. т. 0,5 Рег. № 1423-60 |
НАМИТ-10 6000/100 Кл. т. 0,5 Рег. № 16687-13 |
СЭТ-4ТМ.03М Кл. т. 0,2S/0,5 Рег. № 36697-08 |
38 |
ГПП-70 110/6 кВ, Py-I 6 кВ, 1-3 СШ 6 кВ, яч. 33 |
ТЛК-СТ 600/5 Кл. т. 0,5 Рег. № 58720-14 |
НАМИТ-10 6000/100 Кл. т. 0,5 Рег. № 16687-13 |
СЭТ-4ТМ.03М Кл. т. 0,5S/1,0 Рег. № 36697-12 |
39 |
ГПП-70 110/6 кВ, Py-I 6 кВ, 1-3 СШ 6 кВ, яч. 39 |
ТЛК-СТ 1000/5 Кл. т. 0,5 Рег. № 58720-14 |
СЭТ-4ТМ.03М Кл. т. 0,5S/1,0 Рег. № 36697-12 |
Сервер АИИС КУЭ: Промышленный компьютер
УССВ:
УСВ-3
Рег. № 64242-16
активная
реактивная
активная
реактивная
активная
реактивная
активная
реактивная
активная
реактивная
активная
реактивная
активная
1 |
2 |
3 |
40 |
ГПП-70 110/6 кВ, РУ-1 6 кВ, 1-3 СШ 6 кВ, яч. 43 |
ТЛК-СТ 1200/5 Кл. т. 0,5 Per. № 58720-14 |
41 |
ГПП-70 110/6 кВ, РУ-1 6 кВ, 1-3 СШ 6 кВ, яч. 47 |
ТЛК-СТ 400/5 Кл. т. 0,5 Per. № 58720-14 |
42 |
ГПП-70 110/6 кВ, РУ-1 6 кВ, 2-4 СШ 6 кВ, яч. 34 |
ТЛК-СТ 600/5 Кл. т. 0,5 Per. № 58720-14 |
43 |
ГПП-70 110/6 кВ, РУ-1 6 кВ, 2-4 СШ 6 кВ, яч. 42 |
ТЛК-СТ 1200/5 Кл. т. 0,5 Per. № 58720-14 |
44 |
ГПП-70 110/6 кВ, РУ-1 6 кВ, 2-4 СШ 6 кВ, яч. 44 |
ТЛК-СТ 1000/5 Кл. т. 0,5 Per. № 58720-14 |
45 |
ГПП-70 110/6 кВ, РУ-1 6 кВ, 2-4 СШ 6 кВ, яч. 46 |
ТЛК-СТ 500/5 Кл. т. 0,5 Per. № 58720-14 |
НАМИТ-10 6000/100 Кл. т. 0,5 Per. № 16687-13
СЭТ-4ТМ.03М
Кл. т. 0,58/1,0 Per. № 36697-12
активная
реактивная
СЭТ-4ТМ.03М
Кл. т. 0,58/1,0 Per. № 36697-12
активная
реактивная
СЭТ-4ТМ.03М
Кл. т. 0,58/1,0 Per. № 36697-12
УССВ:
УСВ-3
Per. № 64242-16
активная
реактивная
НАМИТ-10 6000/100 Кл. т. 0,5
Per. № 16687-13
СЭТ-4ТМ.03М
Кл. т. 0,58/1,0 Per. № 36697-12
Сервер АИИС КУЭ: Промышленный компьютер
активная
реактивная
СЭТ-4ТМ.03М
Кл. т. 0,58/1,0 Per. № 36697-12
активная
реактивная
СЭТ-4ТМ.03М
Кл. т. 0,58/1,0 Per. № 36697-12
активная
Е |
родолжение таблицы 2 | ||
1 |
2 |
3 | |
46 |
ГПП-70 110/6 кВ, РУ-П 6 кВ, 1 СШ 6 кВ, яч. 1А |
ТОЛ-10-1 300/5 Кл. т. 0,5 Per. № 15128-07 | |
47 |
ГПП-70 110/6 кВ, РУ-П 6 кВ, 1 СШ 6 кВ, яч. 6 |
тполю 600/5 Кл. т. 0,5 Per. № 1261-59 | |
48 |
ГПП-70 110/6 кВ, РУ-П 6кВ 1 СШ 6 кВ, ЯЧ.7 |
ТПЛ-10 400/5 Кл. т. 0,5 Per. № 1276-59 | |
49 |
ГГП1-70 110/6 кВ, РУ-П 6 кВ, 2 СШ 6 кВ, яч. 16 |
ТПЛ-10 400/5 Кл. т. 0,5 Per. № 1276-59 | |
50 |
ГГП1-70 110/6 кВ, РУ-П 6 кВ, 2 СШ 6 кВ, яч. 17 |
ТПОЛЮ 600/5 Кл. т. 0,5 Per. № 1261-59 | |
51 |
ГГП1-70 110/6 кВ, РУ-П 6 кВ, 2 СШ 6 кВ, яч. 23 |
ТОЛ-10-1 300/5 Кл. т. 0,5 Per. № 15128-07 |
СЭТ-4ТМ.02М
Кл. т. 0,58/1,0 Per. № 36697-12
активная
реактивная
НАМИТ-10 6000/100 Кл. т. 0,5
Per. № 16687-13
СЭТ-4ТМ.02М
Кл. т. 0,58/1,0 Per. № 36697-12
активная
реактивная
СЭТ-4ТМ.03М
Кл. т. 0,28/0,5 Per. № 36697-08
УССВ:
УСВ-3
Per. № 64242-16
активная
реактивная
СЭТ-4ТМ.03М
Кл. т. 0,28/0,5
Per. № 36691
Сервер АИИС КУЭ: Промышленный компьютер
активная
реактивная
НАМИТ-10 6000/100 Кл. т. 0,5
Per. № 16687-13
СЭТ-4ТМ.02М
Кл. т. 0,58/1,0 Per. № 36697-12
активная
реактивная
СЭТ-4ТМ.02М
Кл. т. 0,58/1,0 Per. № 36697-12
активная
1 |
2 |
3 |
4 |
5 |
52 |
ПС-1 6 кВ, РУ 6 кВ, 1 СШ 6 кВ, яч. 3 |
ТПШЛ-10 5000/5 Кл. т. 0,5 Рег. № 1423-60 |
НАМИТ-10 6000/100 Кл. т. 0,5 Рег. № 16687-02 |
СЭТ-4ТМ.03М Кл. т. 0,2S/0,5 Рег. № 36697-08 |
53 |
ПС-1 6 кВ, РУ 6 кВ, 1 СШ 6 кВ, яч. 45 |
ТЛК-СТ 1000/5 Кл. т. 0,5 Рег. № 58720-14 |
СЭТ-4ТМ.03М Кл. т. 0,5S/1,0 Рег. № 36697-17 | |
54 |
ПС-1 6 кВ, РУ 6 кВ, 2 СШ 6 кВ, яч. 1 |
ТПШЛ-10 5000/5 Кл. т. 0,5 Рег. № 1423-60 |
НАМИТ-10 6000/100 Кл. т. 0,5 Рег. № 16687-02 |
СЭТ-4ТМ.03М Кл. т. 0,2S/0,5 Рег. № 36697-08 |
55 |
ПС-1 6 кВ, РУ 6 кВ, 2 СШ 6 кВ, яч. 85 |
ТЛК-СТ 1000/5 Кл. т. 0,5 Рег. № 58720-14 |
СЭТ-4ТМ.03М Кл. т. 0,5S/1,0 Рег. № 36697-17 | |
56 |
ПС-1 6 кВ, РУ 6 кВ, 3 СШ 6 кВ, яч. 2 |
ТПШЛ-10 5000/5 Кл. т. 0,5 Рег. № 1423-60 |
НАМИТ-10 6000/100 Кл. т. 0,5 Рег. № 16687-02 |
СЭТ-4ТМ.03М Кл. т. 0,2S/0,5 Рег. № 36697-08 |
57 |
ПС-1 6 кВ, РУ 6 кВ, 3 СШ 6 кВ, яч. 86 |
ТЛК-СТ 1000/5 Кл. т. 0,5 Рег. № 58720-14 |
СЭТ-4ТМ.03М Кл. т. 0,5S/1,0 Рег. № 36697-17 | |
58 |
ПС-1 6 кВ, РУ 6 кВ, 4 СШ 6 кВ, яч. 4 |
ТПШЛ-10 5000/5 Кл. т. 0,5 Рег. № 1423-60 |
НАМИТ-10 6000/100 Кл. т. 0,5 Рег. № 16687-02 |
СЭТ-4ТМ.03М Кл. т. 0,2S/0,5 Рег. № 36697-08 |
Сервер АИИС КУЭ: Промышленный компьютер
УССВ:
УСВ-3
Рег. № 64242-16
активная
реактивная
активная
реактивная
активная
реактивная
активная
реактивная
активная
реактивная
активная
реактивная
активная
таблицы 2
П
1 |
2 |
3 |
4 |
5 |
6 |
7 |
59 |
ПР-8 0,4 кВ, Корп. 180, РУ 0,4 кВ, КЛ 0,4 кВ в сторону РЩ 0,4 кВ ПАО «МегаФон» |
Т-0,66 У3 100/5 Кл. т. 0,5 Рег. № 71031-18 |
- |
СЭТ-4ТМ.03М Кл. т. 0,2S/0,5 Рег. № 36697-17 |
УССВ: УСВ-3 Рег. № 64242-16 Сервер АИИС КУЭ: Промышленный компьютер |
активная реактивная |
60 |
РП - 42 0,4 кВ, 2 секция 0,4 кВ, п.п.2.2 к. 709А, КЛ 0,4 кВ в сторону ПАО ООО «МТС» |
Т-0,66 У3 100/5 Кл. т. 0,5 Рег. № 71031-18 |
- |
СЭТ-4ТМ.03М Кл. т. 0,2S/0,5 Рег. № 36697-08 |
активная реактивная | |
61 |
РП 0,4 кВ, Корп. 921, ПР-1 0,4 кВ, КЛ 0,4 кВ в сторону ООО «МТС» |
Т-0,66 У3 100/5 Кл. т. 0,5 Рег. № 71031-18 |
- |
СЭТ-4ТМ.03М Кл. т. 0,2S/0,5 Рег. № 36697-17 |
активная реактивная | |
62 |
РП 0,4 кВ, Корп. 921, ПР-2 0,4 кВ, КЛ 0,4 кВ в сторону ЩУ 0,4 кВ ПАО «МегаФон» |
Т-0,66 У3 100/5 Кл. т. 0,5 Рег. № 71031-18 |
- |
СЭТ-4ТМ.03М Кл. т. 0,2S/0,5 Рег. № 36697-17 |
активная реактивная | |
63 |
ПС 40 6 кВ, РУ 6 кВ, яч.3 Т-1 КТП-3/2500 кВА 6/0,4 кВ, - КТП 3 РУ 0,4 кВ, ШУ-АВР |
ТОП М-0,66 У3 400/5 Кл. т. 0,5 Рег. № 59924-15 |
- |
СЭТ-4ТМ.03М Кл. т. 0,2S/0,5 Рег. № 36697-17 |
активная реактивная | |
64 |
ПС-10 6/0,4 кВ, РП-15 0,4 кВ, РУ 0,4 кВ гр. 1 |
Т-0,66 200/5 Кл. т. 0,5 Рег. № 22656-07 |
- |
СЭТ-4ТМ.02М Кл. т. 0,5S/1,0 Рег. № 36697-08 |
активная реактивная | |
65 |
ПС-10 6/0,4 кВ, РП-15 0,4 кВ, РУ 0,4 кВ гр. 2 |
Т-0,66 300/5 Кл. т. 0,5 Рег. № 22656-07 |
- |
СЭТ-4ТМ.03М Кл. т. 0,2S/0,5 Рег. № 36697-08 |
активная реактивная |
таблицы 2
П
1 |
2 |
3 |
4 |
5 |
6 |
7 |
66 |
ПС 16 6 кВ, РУ 0,4 кВ, ЩУ 0,4 кВ, КЛ 0,4 кВ в сторону РЩ-1 0,4 кВ ООО «Антей» |
Т-0,66 У3 100/5 Кл. т. 0,5 Рег. № 71031-18 |
- |
СЭТ-4ТМ.03М Кл. т. 0,2S/0,5 Рег. № 36697-17 |
УССВ: УСВ-3 Рег. № 64242-16 Сервер АИИС КУЭ: Промышленный компьютер |
активная реактивная |
67 |
ПС 21А 6 кВ, ЗРУ 0,4 кВ, КЛ 0,4 кВ в сторону РЩ-1 0,4 кВ ООО «АКСС-Дизайн плюс» |
Т-0,66 300/5 Кл. т. 0,5 Рег. № 22656-07 |
- |
СЭТ-4ТМ.03М Кл. т. 0,2S/0,5 Рег. № 36697-08 |
активная реактивная | |
68 |
ПС 21 6 кВ, ЗРУ 0,4 кВ, КЛ 0,4 кВ в сторону РЩ-2 0,4 кВ ООО «АКСС-Дизайн плюс» |
Т-0,66 300/5 Кл. т. 0,5 Рег. № 22656-07 |
- |
СЭТ-4ТМ.03М Кл. т. 0,2S/0,5 Рег. № 36697-08 |
активная реактивная | |
69 |
ПС-24А 6/0,4 кВ, РУ 0,4 кВ, 2 СШ 0,4 кВ, яч. 15 |
Т-0,66 200/5 Кл. т. 0,5 Рег. № 22656-07 |
- |
СЭТ-4ТМ.03М Кл. т. 0,2S/0,5 Рег. № 36697-08 |
активная реактивная | |
70 |
ПС-24А 6/0,4 кВ, РУ 0,4 кВ, 2 СШ 0,4 кВ, яч. 25 |
Т-0,66 100/5 Кл. т. 0,5 Рег. № 22656-07 |
- |
СЭТ-4ТМ.03М Кл. т. 0,2S/0,5 Рег. № 36697-08 |
активная реактивная | |
71 |
ПС-24А 6/0,4 кВ, РУ 0,4 кВ, 2 СШ 0,4 кВ, яч. 26 |
Т-0,66 150/5 Кл. т. 0,5 Рег. № 22656-07 |
- |
СЭТ-4ТМ.03М Кл. т. 0,2S/0,5 Рег. № 36697-08 |
активная реактивная | |
72 |
ПС-28 6 кВ, 1 секция ЗРУ 0,4 кВ, КЛ 0,4 кВ в сторону РУ 0,4кВ ООО «АКСС-Дизайн плюс» |
Т-0,66 300/5 Кл. т. 0,5 Рег. № 22656-07 |
- |
СЭТ-4ТМ.03М Кл. т. 0,2S/0,5 Рег. № 36697-08 |
активная реактивная |
Е |
родолжение таблицы 2 | ||
1 |
2 |
3 | |
73 |
РЩ 0,4кВ ИП «Кормильцев», КЛ 0,4 кВ от ПС-35 6/0,4 кВ, РУ 0,4кВ, 1 СП! 0,4 кВ Ф-3 |
Т-0,66 УЗ 100/5 Кл. т. 0,5 Per. №71031-18 | |
74 |
РЩ 0,4 кВ ИП Спасов Д.В., КЛ 0,4 кВ от ПС-35 6/0,4 кВ, РУ 0,4кВ, 1 СП! 0,4 кВ Ф-3 |
Т-0,66 УЗ 100/5 Кл. т. 0,5 Per. №71031-18 | |
75 |
ПС-35 6/0,4 кВ, РУ 0,4кВ, 2 СП! 0,4 кВ, ф. 2 |
Т-0,66 150/5 Кл. т. 0,5 Per. № 22656-07 | |
76 |
ПС-38 6/0,4 кВ, РУ 0,4 кВ, 2 СП! 0,4 кВ, КЛ 0,4 кВ в сторону ЗАО «Электросвет» |
Т-0,66 Т-0,66УЗ Т-0,66 150/5 Кл. т. 0,5 Per. № 22656-02 Per. № 15764-96 Per. № 22656-02 | |
77 |
ТП - 9 6/0,4 кВ, ЗРУ 0,4 кВ, 1 СП! 0,4 кВ, КЛ 0,4 кВ в сторону ООО «Автомаш» |
Т-0,66 200/5 Кл. т. 0,5 Per. № 22656-07 | |
78 |
РП ШС-1 0,4 кВ, ГЭК-23, РУ 0,4 кВ, КЛ 0,4 кВ в сторону РУ 0,4 кВ ИП Кузьмин А.В. |
Т-0,66 УЗ 100/5 Кл. т. 0,5 Per. №71031-18 |

СЭТ-4ТМ.03М
Кл. т. 0,28/0,5 Per. № 36697-17
активная
реактивная

СЭТ-4ТМ.03М
Кл. т. 0,28/0,5 Per. № 36697-17
активная
реактивная

СЭТ-4ТМ.03М
Кл. т. 0,28/0,5 Per. № 36697-08
активная

СЭТ-4ТМ.03М
Кл. т. 0,28/0,5
Per. № 36691-^%
УССВ:
УСВ-3
Per. № 64242-16
Сервер АИИС КУЭ: Промышленный компьютер
реактивная
активная
реактивная

СЭТ-4ТМ.02М
Кл. т. 0,58/1,0 Per. № 36691-^%
активная
реактивная

СЭТ-4ТМ.03М
Кл. т. 0,28/0,5
Per. №
активная
реактивная
таблицы 2
П
1 |
2 |
3 |
4 |
5 |
6 |
7 |
79 |
РП ШС-1 0,4 кВ, ГЭК-23, РУ 0,4 кВ, КЛ 0,4 кВ в сторону РУ 0,4 кВ ПЭГК №27 |
Т-0,66 У3 100/5 Кл. т. 0,5 Рег. № 71031-18 |
- |
СЭТ-4ТМ.03М Кл. т. 0,2S/0,5 Рег. № 36697-17 |
УССВ: УСВ-3 Рег. № 64242-16 Сервер АИИС КУЭ: Промышленный компьютер |
активная реактивная |
80 |
РП ШС-1 0,4 кВ, ГЭК-23, РУ 0,4 кВ, гр.3 |
Т-0,66 У3 100/5 Кл. т. 0,5 Рег. № 71031-18 |
- |
СЭТ-4ТМ.03М Кл. т. 0,2S/0,5 Рег. № 36697-17 |
активная реактивная |
П р и м е ч а н и я
-
1 Допускается замена ТТ, ТН и счетчиков на аналогичные утвержденных типов с метрологическими характеристиками не хуже, чем у перечисленных в таблице 2, при условии, что Предприятие-владелец АИИС КУЭ не претендует на улучшение указанных в таблице 3 метрологических характеристик.
-
2 Допускается замена УССВ на аналогичные утвержденного типа.
-
3 Допускается замена сервера АИИС КУЭ без изменения используемого ПО (при условии сохранения цифрового идентификатора ПО).
-
4 Допускается замена ПО на аналогичное, с версией не ниже указанной в описании типа средств измерений
-
5 Замена оформляется техническим актом в установленном на Предприятии-владельце АИИС КУЭ порядке, вносят изменения в эксплуатационные документы. Технический акт хранится совместно с эксплуатационными документами на АИИС КУЭ как их неотъемлемая часть.
Таблица 3 - Основные
ИК АИИС КУЭ
Номер ИК |
Диапазон тока |
Метрологические характеристики ИК (активная энергия и мощность) | |||||
Границы основной относительной погрешности измерений, (±5), % |
Границы относительной погрешности измерений в рабочих условиях эксплуатации, (± 5) , % | ||||||
cos ф = 1,0 |
cos ф = 0,8 |
cos ф = 0,5 |
cos ф = 1,0 |
cos ф = 0,8 |
cos ф = 0,5 | ||
1 - 10; 12 - 14; 16; 1823; 25 - 27; 29 - 37; |
11ном — I1 — 1,211ном |
0,9 |
1,2 |
2,2 |
1,0 |
1,4 |
2,3 |
48; 49; 52; 54; 56; 58 |
0,211ном — I1 11ном |
1,1 |
1,6 |
2,9 |
1,2 |
1,8 |
3,0 |
(ТТ 0,5; ТН 0,5; Счетчик 0,2S) |
0,0511ном — I1 < 0,211ном |
1,8 |
2,8 |
5,4 |
1,9 |
2,9 |
5,4 |
11ном — I1 — 1,211ном |
0,9 |
1,2 |
2,2 |
1,0 |
1,4 |
2,3 | |
11; 15 |
0,211ном — I1 < 11ном |
0,9 |
1,2 |
2,2 |
1,0 |
1,4 |
2,3 |
(ТТ 0,5S; ТН 0,5; Счетчик 0,2S) |
0,0511ном —11 < 0,211ном |
1,1 |
1,6 |
2,9 |
1,2 |
1,8 |
3,0 |
0,0111„ом —11 < 0,0511„ом |
1,8 |
2,9 |
5,4 |
2,0 |
3,0 |
5,5 | |
17; 24; 28; 38 - 47; 50; 51; 53; 55; 57 (ТТ 0,5; ТН 0,5; Счетчик 0,5S) |
11ном — I1 — 1,211ном |
1,0 |
1,4 |
2,3 |
1,6 |
2,1 |
2,7 |
0,211ном — I1 < 11ном |
1,2 |
1,7 |
3,0 |
1,7 |
2,3 |
3,4 | |
0,0511„ом —11 < 0,211„ом |
1,8 |
2,9 |
5,4 |
2,3 |
3,3 |
5,6 | |
59 - 63; 65 - 76; 78 - 80 (ТТ 0,5; Счетчик 0,2S) |
11ном — I1 — 1,211ном |
0,6 |
1,0 |
1,8 |
0,8 |
1,2 |
1,9 |
0,211ном — I1 < 11ном |
0,9 |
1,4 |
2,6 |
1,0 |
1,6 |
2,7 | |
0,0511„ом — I1 < 0,211„ом |
1,7 |
2,7 |
5,2 |
1,8 |
2,8 |
5,3 | |
64; 77 |
11ном — I1 — 1,211ном |
0,8 |
1,1 |
1,9 |
1,5 |
1,9 |
2,4 |
(ТТ 0,5; |
0,211ном — I1 < 11ном |
1,0 |
1,5 |
2,7 |
1,6 |
2,2 |
3,1 |
Счетчик 0,5S) |
0,0511„ом — I1 < 0,211„ом |
1,7 |
2,8 |
5,3 |
2,2 |
3,2 |
5,5 |
Номер ИК |
Диапазон тока |
Метрологические характеристики ИК (реактивная энергия и мощность) | |||
Границы основной относительной погрешности измерений, (±5), % |
Границы относительной погрешности измерений в рабочих условиях эксплуатации, (± 5) , % | ||||
cos ф = 0,8 |
cos ф = 0,5 |
cos ф = 0,8 |
cos ф = 0,5 | ||
1 - 10; 12 - 14; 16; 1823; 25 - 27; 29 - 37; |
11ном — I1 — 1,211ном |
1,9 |
1,2 |
2,4 |
2,0 |
48; 49; 52; 54; 56; 58 |
0,211ном — I1 < 11ном |
2,4 |
1,5 |
2,9 |
2,2 |
(ТТ 0,5; ТН 0,5; Счетчик 0,5) |
0,0511„ом —11 < 0,211„ом |
4,3 |
2,5 |
4,6 |
3,0 |
11ном — I1 — 1,211ном |
1,9 |
1,2 |
2,4 |
2,0 | |
11; 15 |
0,211ном — I1 < 11ном |
1,9 |
1,2 |
2,4 |
2,0 |
(ТТ 0,5S; ТН 0,5; Счетчик 0,5) |
0,0511ном —11 < 0,211ном |
2,4 |
1,5 |
2,9 |
2,2 |
0,0211ном —11 < 0,0511ном |
4,4 |
2,7 |
4,7 |
3,1 | |
17; 24; 28; 38 - 47; 50; 51; 53; 55; 57 (ТТ 0,5; ТН 0,5; Счетчик 1,0) |
11ном — I1 — 1,211ном |
2,1 |
1,5 |
3,9 |
3,6 |
0,211ном — I1 < 11ном |
2,6 |
1,8 |
4,2 |
3,7 | |
0,0511„ом — I1 < 0,211„ом |
4,4 |
2,7 |
5,5 |
4,2 | |
59 - 63; 65 - 76; 78 - 80 (ТТ 0,5; Счетчик 0,5) |
11ном — I1 — 1,211ном |
1,5 |
1,0 |
2,2 |
1,9 |
0,211ном — I1 < 11ном |
2,2 |
1,3 |
2,7 |
2,1 | |
0,0511„ом —11 < 0,211„ом |
4,2 |
2,4 |
4,5 |
2,9 | |
64; 77 |
11ном — I1 — 1,211ном |
1,8 |
1,3 |
3,7 |
3,5 |
(ТТ 0,5; |
0,211ном — I1 < 11ном |
2,4 |
1,6 |
4,0 |
3,6 |
Счетчик 0,5) |
0,0511„ом —11 < 0,211„ом |
4,3 |
2,6 |
5,4 |
4,2 |
Пределы допускаемых смещений шкалы времени СОЕВ АИИС КУЭ относительно национальной шкалы времени UTC(SU) не более ±5 с____________________________________
П р и м е ч а н и я
-
1 Характеристики погрешности ИК даны для измерений электрической энергии и средней мощности (получасовой).
-
2 Погрешность в рабочих условиях указана для cos ф = 1,0; 0,8; 0,5 и температуры окружающего воздуха в месте расположения счетчиков электрической энергии от +5 до +40 °С.
-
3 В качестве характеристик относительной погрешности указаны границы интервала, соответствующие вероятности Р = 0,95.
Таблица 4 - Основные технические
ИК АИИС КУЭ
Наименование характеристики |
Значение |
Количество измерительных каналов |
80 |
Нормальные условия: параметры сети: | |
- напряжение, % от Uном |
от 99 до101 |
- ток, % от Iном |
от 1 до 120 |
- частота, Гц |
от 49,85 до 50,15 |
- коэффициент мощности cos ф |
от 0,5 инд. до 0,8 емк. |
температура окружающей среды, °С |
от +21 до +25 |
Условия эксплуатации: параметры сети: | |
- напряжение, % от Uном |
от 90 до 110 |
- ток, % от Iном |
от 1 до 120 |
- частота, Гц |
от 49,5 до 50,5 |
- коэффициент мощности cosф |
от 0,5 инд. до 0,8 емк. |
температура окружающей среды для ТТ и ТН, °С |
от -45 до +40 |
температура окружающей среды в месте расположения счетчиков, | |
°С |
от +5 до +40 |
магнитная индукция внешнего происхождения, мТл, не более |
0,5 |
Надежность применяемых в АИИС КУЭ компонентов: Счетчики: | |
- среднее время наработки на отказ, ч, не менее |
165000 |
- среднее время восстановления работоспособности, сут, не более |
2 |
Сервер АИИС КУЭ: | |
- среднее время наработки на отказ, ч, не менее |
100000 |
- среднее время восстановления работоспособности, ч, не более |
1 |
УССВ: | |
- среднее время наработки на отказ, ч, не менее |
45000 |
- среднее время восстановления работоспособности, ч, не более |
2 |
Глубина хранения информации Счетчики: - тридцатиминутный профиль нагрузки в двух направлениях, сут, | |
не менее |
56 |
- при отключении питания, лет, не менее |
10 |
Сервер АИИС КУЭ: - хранение результатов измерений и информации о состоянии | |
средств измерений, лет, не менее |
3,5 |
Надежность системных решений:
-
- защита от кратковременных сбоев питания сервера с помощью источника бесперебойного питания.
В журналах событий фиксируются факты:
-
- журнал счетчика:
-
- параметрирования;
-
- пропадания напряжения (в т. ч. и пофазного);
-
- коррекции времени в счетчике;
-
- журнал сервера:
-
- параметрирования;
-
- пропадания напряжения;
-
- коррекции времени в счетчиках и сервере;
-
- пропадание и восстановление связи со счетчиком.
Защищенность применяемых компонентов:
-
- механическая защита от несанкционированного доступа и пломбирование:
-
- счетчика;
-
- промежуточных клеммников вторичных цепей тока и напряжения;
-
- испытательной коробки;
-
- сервера (серверного шкафа);
-
- защита на программном уровне информации при хранении, передаче, параметрировании:
-
- счетчика;
-
- сервера.
Возможность коррекции времени:
-
- в счетчиках (функция автоматизирована);
-
- в сервере (функция автоматизирована).
Возможность сбора информации:
-
- о результатах измерений (функция автоматизирована);
-
- о состоянии средств измерений (функция автоматизирована).
Знак утверждения типа
наносится на титульный лист формуляра типографским способом.
Комплектность средства измерений
Комплектность АИИС КУЭ представлена в таблице 5.
Таблица 5 - Комплектность АИИС КУЭ
Наименование |
Обозначение |
Количество, шт. |
1 |
2 |
3 |
Трансформатор тока |
ТПШЛ-10 |
32 |
Трансформатор тока |
ТПОЛ10 |
20 |
Трансформатор тока |
ТПЛМ-10 |
16 |
Трансформатор тока |
ТПЛ-10 |
11 |
Трансформатор тока |
ТОП М-0,66 У3 |
3 |
Трансформатор тока |
ТОЛ-10-I |
6 |
Трансформатор тока |
ТОЛ-10 |
3 |
Трансформатор тока |
ТЛО-10 |
6 |
Трансформатор тока |
ТЛК-СТ |
39 |
Трансформатор тока |
ТЛК |
3 |
Трансформатор тока |
Т-0,66У3 |
4 |
Трансформатор тока |
Т-0,66 У3 |
30 |
Трансформатор тока |
Т-0,66 |
29 |
Трансформатор напряжения |
НАМИТ-10 |
18 |
Трансформатор напряжения |
НТМИ-6-66 |
8 |
Счетчик электрической энергии |
СЭТ-4ТМ.02М |
8 |
Счетчик электрической энергии |
СЭТ-4ТМ.03М |
72 |
Устройство синхронизации системного времени |
УСВ-3 |
1 |
Сервер АИИС КУЭ |
Промышленный компьютер |
1 |
Программное обеспечение |
Пирамида 2000 |
1 |
Формуляр |
АСВЭ 538.00.000 ФО |
1 |
Сведения о методиках (методах) измерений приведены в документе «Методика измерений количества электрической энергии (мощности) с использованием системы автоматизированной информационно-измерительной коммерческого учета электрической энергии (АИИС КУЭ) ООО «СВЭСКО», аттестованном ООО «АСЭ» г. Владимир, уникальный номер записи об аккредитации в реестре аккредитованных лиц Росаккредитации № RA.RU.314933.
Нормативные документы, устанавливающие требования к средству измерений
ГОСТ 22261-94 «Средства измерений электрических и магнитных величин. Общие технические условия»
ГОСТ Р 8.596-2002 «ГСИ. Метрологическое обеспечение измерительных систем. Основные положения»
Правообладатель
Общество с ограниченной ответственностью «Автоматизированные системы в энергетике»
(ООО «АСЭ»)
ИНН 3329074523
Юридический адрес: 600031, г. Владимир, ул. Юбилейная, д. 15
Изготовитель
Общество с ограниченной ответственностью «Автоматизированные системы в энергетике»
(ООО «АСЭ»)
ИНН 3329074523
Юридический адрес: 600031, г. Владимир, ул. Юбилейная, д. 15
Адрес места осуществления деятельности: 600009, г. Владимир, ул. Почаевский Овраг, д. 1
Испытательный центр
Общество с ограниченной ответственностью «Автоматизированные системы в энергетике»
(ООО «АСЭ»)
Юридический адрес: 600031, г. Владимир, ул. Юбилейная, д. 15
Адрес места осуществления деятельности: 600009, г. Владимир, ул. Почаевский Овраг, д. 1
Уникальный номер записи
аккредитации в реестре аккредитованных лиц
Росаккредитации № RA.RU.314846
об

УТВЕРЖДЕНО приказом Федерального агентства по техническому регулированию
и метрологии
08 августа лг 1618
от « » _ 2025 г. №
Лист № 1
Всего листов 12
Регистрационный № 96060-25
ОПИСАНИЕ ТИПА СРЕДСТВА ИЗМЕРЕНИЙ
коммерческого
Система автоматизированная информационно-измерительная учета электроэнергии АИИС КУЭ ЕНЭС ПС 220 кВ Правобережная
Назначение средства измерений
Система автоматизированная информационно-измерительная коммерческого учета электроэнергии АИИС КУЭ ЕНЭС ПС 220 кВ Правобережная (далее по тексту - АИИС КУЭ) предназначена для измерений активной и реактивной электроэнергии, сбора, обработки, хранения и передачи полученной информации.
Описание средства измерений
АИИС КУЭ представляет собой многофункциональную многоуровневую автоматизированную систему с централизованным управлением и распределенной функцией измерения.
АИИС КУЭ включают в себя следующие уровни.
Первый уровень - измерительно-информационные комплексы (ИИК), включающие измерительные трансформаторы тока (ТТ), измерительные трансформаторы напряжения (ТН), счетчики активной и реактивной электроэнергии (счетчики), вторичные измерительные цепи и технические средства приема-передачи данных.
Второй уровень - информационно-вычислительный комплекс электроустановки (ИВКЭ), включающий устройство сбора и передачи данных (УСПД), технические средства приема-передачи данных, каналы связи для обеспечения информационного взаимодействия между уровнями системы, коммутационное оборудование.
Третий уровень - информационно-вычислительный комплекс (ИВК), включающий сервер сбора и сервер баз данных (ЦСОД) Исполнительного аппарата (ИА), устройство синхронизации системного времени (УССВ ИВК), автоматизированные рабочие места (АРМ), расположенные в ЦСОД ИА и в филиалах ПАО «Россети» - МЭС, ПМЭС, каналообразующую аппаратуру, средства связи и приема-передачи данных.
АИИС КУЭ обеспечивает выполнение следующих функций:
- сбор информации о результатах измерений активной и реактивной электрической энергии;
- синхронизация времени компонентов АИИС КУЭ с помощью системы обеспечения единого времени (СОЕВ), соподчиненной национальной шкале координированного времени UTC(SU);
- хранение информации по заданным критериям;
- доступ к информации и ее передача в организации-участники оптового рынка электроэнергии и мощности (ОРЭМ).
Первичные токи и напряжения преобразуются измерительными трансформаторами в аналоговые унифицированные сигналы, которые по кабельным линиям связи поступают на входы счетчика электроэнергии, где производится измерение мгновенных и средних значений активной и реактивной мощности. На основании средних значений мощности измеряются приращения электроэнергии за интервал времени 30 мин.
УСПД автоматически проводит сбор результатов измерений и состояния средств измерений со счетчиков электрической энергии (один раз в 30 минут) по линиям связи.
Сервер сбора ИВК АИИС КУЭ единой национальной (общероссийской) электрической сети (далее по тексту - ЕНЭС) автоматически опрашивает УСПД. Опрос УСПД выполняется с помощью выделенного канала (основной канал связи), присоединенного к единой цифровой сети связи электроэнергетики (ЕЦССЭ). При отказе основного канала связи опрос УСПД выполняется по резервному каналу связи.
сбора автоматически производит обработку на коэффициенты трансформации) и передает ИВК. В сервере баз данных ИВК информация
По окончании опроса сервер измерительной информации (умножение полученные данные в сервер баз данных о результатах измерений приращений потребленной электрической энергии автоматически формируется в архивы и сохраняется на глубину не менее 3,5 лет по каждому параметру.
Один раз в сутки оператор ИВК АИИС КУЭ ЕНЭС формирует файл отчета с результатами измерений, в формате XML и передает его в ПАК АО «АТС» и в АО «СО ЕЭС» и смежным субъектам ОРЭМ посредством электронной почты с использованием электронно-цифровой подписи.
Каналы связи не вносят дополнительных погрешностей в измеренные значения энергии и мощности, которые передаются от счетчиков в ИВК, поскольку используется цифровой метод передачи данных.
СОЕВ функционирует на всех уровнях АИИС КУЭ. УССВ ИВК, принимающее сигналы спутниковых навигационных систем, обеспечивает автоматическую непрерывную синхронизацию времени в ИВК с национальной шкалой координированного времени UTC(SU).
ИВК выполняет функцию источника точного времени для ИВКЭ. Коррекция часов УСПД проводится при расхождении времени в УСПД и времени национальной шкалы координированного времени UTC(SU) более чем на 2 с. Интервал проверки текущего времени в УСПД выполняется с периодичностью не менее одного раза в 60 мин.
В процессе сбора информации со счетчиков с периодичностью один раз в 30 минут УСПД автоматически выполняет проверку текущего времени в счетчиках электрической энергии, и, в случае расхождения более чем на 2 с, автоматически выполняет синхронизацию текущего времени в счетчиках электрической энергии.
Нанесение знака поверки на конструкцию средства измерений не предусмотр ено.
Нанесение заводского номера на конструкцию средства измерений не предусмотрено. АИИС КУЭ присвоен заводской номер 692. Заводской номер указывается в формуляре на АИИС КУЭ типографским способом. Место, способ и форма нанесения заводских номеров измерительных компонентов, входящих в состав измерительных каналов (ИК) АИИС КУЭ, приведены в формуляре на АИИС КУЭ.
Программное обеспечение
В АИИС КУЭ используется специализированное программное обеспечение автоматизированной информационно-измерительной системы коммерческого учета
электроэнергии ЕНЭС (Метроскоп) (далее по тексту - СПО АИИС КУЭ ЕНЭС (Метроскоп)). СПО АИИС КУЭ ЕНЭС (Метроскоп) используется при учете электрической энергии и обеспечивает обработку, организацию учета и хранения результатов измерений, а также их отображение, распечатку с помощью принтера и передачу в форматах, предусмотренных регламентом оптового рынка электроэнергии.
СПО АИИС КУЭ ЕНЭС (Метроскоп) не оказывает влияния на метрологические характеристики АИИС КУЭ.
Уровень защиты программного обеспечения «высокий» в соответствии с Рекомендацией Р 50.2.077-2014.
Метрологически значимой частью СПО АИИС КУЭ ЕНЭС (Метроскоп) являются файлы DataServer.exe, DataServer_USPD.exe.
Идентификационные данные СПО АИИС КУЭ ЕНЭС (Метроскоп), установленного в ИВК, указаны в таблице 1.
Таблица 1 - Идентификационные данные программного обеспечения
Идентификационные данные (признаки) |
Значение |
Идентификационное наименование ПО |
СПО АИИС КУЭ ЕНЭС (Метроскоп) |
Номер версии (идентификационный номер) ПО |
не ниже 1.0.0.4 |
Цифровой идентификатор ПО |
26B5C91CC43C05945AF7A39C9EBFD218 |
Другие идентификационные данные (если имеются) |
DataServer.exe, DataServer_USPD.exe |
Метрологические и технические характеристики
Состав измерительных каналов АИИС КУЭ, метрологические и основные технические характеристики приведены в таблицах 2, 3, 4.
Таблица 2 - Состав
каналов АИИС КУЭ
№ ИК |
Наименование ИК |
Состав измерительных каналов АИИС КУЭ | ||||
Трансформатор тока |
Трансформатор напряжения |
Счетчик электрической энергии |
С и |
О й и Н | ||
1 |
2 |
3 |
4 |
5 |
6 |
7 |
1 |
ВЛ 110 кВ Правобережная -Центролит II цепь |
ТРГ-110 II* кл.т 0,2S Ктт = 300/1 рег. № 26813-06 |
DDB-123 кл.т 0,2 Ктн = (110000/^3)/(100/^3) рег. № 70946-18 |
EPQS кл.т 0,2S/0,5 рег. № 25971-06 |
40 Q г 1 W 1Г) 40 N tOj < О Н |
(N 1 СЛ Д CQ Н и I-.' о Он |
2 |
ВЛ 110 кВ Новая -Правобережная II цепь с отпайками |
ТРГ-110 II* кл.т 0,2S Ктт = 300/1 рег. № 26813-06 |
DDB-123 кл.т 0,2 Ктн = (110000/^3)/(100/^3) рег. № 70946-18 |
EPQS кл.т 0,2S/0,5 рег. № 25971-06 | ||
3 |
ВЛ 110 кВ Новая - Правобережная II цепь с отпайкой на ПС Южная |
ТРГ-110 II* кл.т 0,2S Ктт = 600/1 рег. № 26813-06 |
DDB-123 кл.т 0,2 Ктн = (110000/^3)7(100/^3) рег. № 70946-18 |
EPQS кл.т 0,2S/0,5 рег. № 25971-06 | ||
4 |
ВЛ 110 кВ Правобережная -Центролит I цепь |
ТРГ-110 II* кл.т 0,2S Ктт = 300/1 рег. № 26813-06 |
DDB-123 кл.т 0,2 Ктн = (110000/^3)/(100/^3) рег. № 70946-18 |
EPQS кл.т 0,2S/0,5 рег. № 25971-06 |
1 |
2 |
3 |
4 |
5 |
5 |
ВЛ 110 кВ Новая -Правобережная I цепь с отпайками |
ТРГ-110 II* кл.т 0,2S Ктт = 300/1 рег. № 26813-06 |
DDB-123 кл.т 0,2 Ктн = (110000/^3)/(100/^3) рег. № 70946-18 |
EPQS кл.т 0,2S/0,5 рег. № 25971-06 |
6 |
ВЛ 110 кВ Новая -Правобережная I цепь с отпайкой на ПС Южная |
ТРГ-УЭТМ® кл.т 0,2S Ктт = 600/1 рег. № 53971-13 |
DDB-123 кл.т 0,2 Ктн = (110000/^3)/(100/^3) рег. № 70946-18 |
EPQS кл.т 0,2S/0,5 рег. № 25971-06 |
7 |
ВЛ 110 кВ Правобережная -Вербилово I цепь с отпайкой на ПС Хлевное |
ТРГ-110 II* кл.т 0,2S Ктт = 300/1 рег. № 26813-06 |
DDB-123 кл.т 0,2 Ктн = (110000/^3)7(100/^3) рег. № 70946-18 |
EPQS кл.т 0,2S/0,5 рег. № 25971-06 |
8 |
ВЛ 110 кВ Правобережная -Вербилово II цепь с отпайкой на ПС Хлевное |
ТРГ-110 II* кл.т 0,2S Ктт = 300/1 рег. № 26813-06 |
DDB-123 кл.т 0,2 Ктн = (110000/^3)/(100/^3) рег. № 70946-18 |
EPQS кл.т 0,2S/0,5 рег. № 25971-06 |
9 |
ВЛ 110 кВ Правобережная -Лебедянь с отпайками |
ТРГ-110 II* кл.т 0,2S Ктт = 600/1 рег. № 26813-06 |
DDB-123 кл.т 0,2 Ктн = (110000/^3)/(100/^3) рег. № 70946-18 |
EPQS кл.т 0,2S/0,5 рег. № 25971-06 |
10 |
ВЛ 110 кВ Правобережная -Сухая Лубна с отпайкой на ПС Новая Деревня |
ТРГ-110 II* кл.т 0,2S Ктт = 300/1 рег. № 26813-06 |
DDB-123 кл.т 0,2 Ктн = (110000/^3)/(100/^3) рег. № 70946-18 |
EPQS кл.т 0,2S/0,5 рег. № 25971-06 |
11 |
ВЛ 110 кВ Елецкая 220 -Правобережная I цепь с отпайками |
ТРГ-110 II* кл.т 0,2S Ктт = 300/1 рег. № 26813-06 |
DDB-123 кл.т 0,2 Ктн = (110000/^3)/(100/^3) рег. № 70946-18 |
EPQS кл.т 0,2S/0,5 рег. № 25971-06 |
12 |
ВЛ 110 кВ Елецкая 220 -Правобережная II цепь с отпайками |
ТРГ-110 II* кл.т 0,2S Ктт = 300/1 рег. № 26813-06 |
DDB-123 кл.т 0,2 Ктн = (110000/^3)/(100/^3) рег. № 70946-18 |
EPQS кл.т 0,2S/0,5 рег. № 25971-06 |

1 |
2 |
3 |
4 |
5 |
13 |
ВЛ 110 кВ Правобережная -Юго-Западная I цепь с отпайкой на ПС Университетская |
ТРГ-110 II* кл.т 0,2S Ктт = 600/1 рег. № 26813-06 |
DDB-123 кл.т 0,2 Ктн = (110000/^3)/(100/^3) рег. № 70946-18 |
EPQS кл.т 0,2S/0,5 рег. № 25971-06 |
14 |
ВЛ 110 кВ Правобережная -Юго-Западная II цепь с отпайкой на ПС Университетская |
ТРГ-110 II* кл.т 0,2S Ктт = 600/1 рег. № 26813-06 |
DDB-123 кл.т 0,2 Ктн = (110000/^3)/(100/^3) рег. № 70946-18 |
EPQS кл.т 0,2S/0,5 рег. № 25971-06 |
15 |
КВЛ 35 кВ Борино Правая (КВЛ 35 кВ Правобережная -Борино Правая с отпайками) |
KSOH кл.т 0,2S Ктт = 250/5 рег. № 35056-07 |
GBE40,5 кл.т 0,5 Ктн = (35000/^3)7(100/^3) рег. № 50639-12 |
EPQS кл.т 0,2S/0,5 рег. № 25971-06 |
16 |
КВЛ 35 кВ Мясокомбинат Левая (КВЛ 35 кВ Правобережная -Мясокомбинат Левая с отп. на ПС Хлебопродукты) |
KSOH кл.т 0,2S Ктт = 250/5 рег. № 35056-07 |
GBE40,5 кл.т 0,5 Ктн = (35000/V3)/(100/V3) рег. № 50639-12 |
EPQS кл.т 0,2S/0,5 рег. № 25971-06 |
17 |
КВЛ 35 кВ ЛОЭЗ (КВЛ 35 кВ Правобережная - ЛОЭЗ) |
KSOH кл.т 0,2S Ктт = 250/5 рег. № 35056-07 |
GBE40,5 кл.т 0,5 Ктн = (35000/V3)/(100/V3) рег. № 50639-12 |
EPQS кл.т 0,2S/0,5 рег. № 25971-06 |
18 |
КВЛ 35 кВ Борино Левая (КВЛ 35 кВ Правобережная -Борино Левая с отпайками) |
KSOH кл.т 0,2S Ктт = 250/5 рег. № 35056-07 |
GBE40,5 кл.т 0,5 Ктн = (35000/V3)/(100/V3) рег. № 50639-12 |
EPQS кл.т 0,2S/0,5 рег. № 25971-06 |
19 |
КВЛ 35 кВ Мясокомбинат Правая (КВЛ 35 кВ Правобережная - Мясокомбинат Правая с отп. на ПС Хлебопродукты) |
KSOH кл.т 0,2S Ктт = 250/5 рег. № 35056-07 |
GBE40,5 кл.т 0,5 Ктн = (35000/V3)/(100/V3) рег. № 50639-12 |
EPQS кл.т 0,2S/0,5 рег. № 25971-06 |
20 |
КВЛ 10 кВ КТП-307 |
ТОЛ-10-1М кл.т 0,2S Ктт = 200/5 рег. № 36307-07 |
ЗНОЛ-СЭЩ-10-1 У2 кл.т 0,5 Ктн = (10000/V3)/(100/V3) рег. № 79488-20 |
EPQS кл.т 0,2S/0,5 рег. № 25971-06 |

1 |
2 |
3 |
4 |
5 |
21 |
КВЛ 10 кВ МСУ-14 |
ТОЛ-10-1М-34 УХЛ2 кл.т 0,2S Ктт = 100/5 рег. № 79103-20 |
ЗНОЛ-СЭЩ-10-1 У2 кл.т 0,5 Ктн = (10000/V3)/(100/V3) рег. № 79488-20 |
EPQS кл.т 0,2S/0,5 рег. № 25971-06 |
22 |
КВЛ 10 кВ РП-17 №1 |
ТОЛ-10-1М-34 УХЛ2 кл.т 0,2S Ктт = 100/5 рег. № 79103-20 |
ЗНОЛ-СЭЩ-10-1 У2 кл.т 0,5 Ктн = (10000/V3)/(100/V3) рег. № 79488-20 |
EPQS кл.т 0,2S/0,5 рег. № 25971-06 |
23 |
КВЛ 10 кВ Брикетная |
ТОЛ кл.т 0,2S Ктт = 100/5 рег. № 83532-21 |
ЗНОЛ-СЭЩ-10-1 У2 кл.т 0,5 Ктн = (10000/V3)/(100/V3) рег. № 79488-20 |
EPQS кл.т 0,2S/0,5 рег. № 25971-06 |
24 |
КВЛ 10 кВ База ПСМК |
ТОЛ-10-1М кл.т 0,2S Ктт = 200/5 рег. № 36307-07 |
ЗНОЛ-СЭЩ-10-1 У2 кл.т 0,5 Ктн = (10000/V3)/(100/V3) рег. № 79488-20 |
EPQS кл.т 0,2S/0,5 рег. № 25971-06 |
25 |
КВЛ 10 кВ Телецентр |
ТОЛ-10-1М-34 УХЛ2 кл.т 0,2S Ктт = 100/5 рег. № 79103-20 |
ЗНОЛ-СЭЩ-10-1 У2 кл.т 0,5 Ктн = (10000/V3)/(100/V3) рег. № 79488-20 |
EPQS кл.т 0,2S/0,5 рег. № 25971-06 |
26 |
КВЛ 10 кВ Сырское |
ТОЛ кл.т 0,2S Ктт = 100/5 рег. № 83532-21 |
ЗНОЛ-СЭЩ-10-1 У2 кл.т 0,5 Ктн = (10000/V3)/(100/V3) рег. № 79488-20 |
EPQS кл.т 0,2S/0,5 рег. № 25971-06 |
27 |
КВЛ 10 кВ ГРС-1 |
ТОЛ-10-1М кл.т 0,2S Ктт = 200/5 рег. № 36307-07 |
ЗНОЛ-СЭЩ-10-1 У2 кл.т 0,5 Ктн = (10000/V3)/(100/V3) рег. № 79488-20 |
EPQS кл.т 0,2S/0,5 рег. № 25971-06 |
28 |
КВЛ 10 кВ РП-17 №2 |
ТОЛ кл.т 0,2S Ктт = 100/5 рег. № 83532-21 |
ЗНОЛ-СЭЩ-10-1 У2 кл.т 0,5 Ктн = (10000/V3)/(100/V3) рег. № 79488-20 |
EPQS кл.т 0,2S/0,5 рег. № 25971-06 |
29 |
КВЛ 10 кВ ГРС-2 |
ТОЛ-10-1М кл.т 0,2S Ктт = 200/5 рег. № 36307-07 |
ЗНОЛ-СЭЩ-10-1 У2 кл.т 0,5 Ктн = (10000/V3)/(100/V3) рег. № 79488-20 |
EPQS кл.т 0,2S/0,5 рег. № 25971-06 |

1 |
2 |
3 |
4 |
5 |
30 |
КВЛ 10 кВ Совхоз 50 лет Октября |
ТОЛ-10-IМ-34 УХЛ2 кл.т 0,2S Ктт = 100/5 рег. № 79103-20 |
ЗНОЛ-СЭЩ-10-1 У2 кл.т 0,5 Ктн = (10000/^3)/(100/^3) рег. № 79488-20 |
EPQS кл.т 0,2S/0,5 рег. № 25971-06 |
31 |
КВЛ 10 кВ Подгорное |
ТОЛ-10-IМ-34 УХЛ2 кл.т 0,2S Ктт = 100/5 рег. № 79103-20 |
ЗНОЛ-СЭЩ-10-1 У2 кл.т 0,5 Ктн = (10000/^3)/(100/^3) рег. № 79488-20 |
EPQS кл.т 0,2S/0,5 рег. № 25971-06 |
32 |
КВЛ 10 кВ Рошен |
ТОЛ-10-1М кл.т 0,2S Ктт = 200/5 рег. № 36307-07 |
ЗНОЛ-СЭЩ-10-1 У2 кл.т 0,5 Ктн = (10000/^3)7(100/^3) рег. № 79488-20 |
EPQS кл.т 0,2S/0,5 рег. № 25971-06 |

Пр имечания
-
1 Допускается замена измерительных трансформаторов, счетчиков, УСПД, УССВ на аналогичные утвержденных типов с метрологическими характеристиками не хуже, чем у перечисленных в таблице 2, при условии, что владелец АИИС КУЭ не претендует на улучшение указанных в таблице 3 метрологических характеристик. Замена оформляется техническим актом в установленном владельцем порядке с внесением изменений в эксплуатационные документы. Технический акт хранится совместно с эксплуатационными документами на АИИС КУЭ как их неотъемлемая часть.
-
2 Виды измеряемой электроэнергии для всех ИК, перечисленных в таблице 2, -активная, реактивная.
Таблица 3 - Метрологические характеристики
Номер ИК |
cosф |
Границы интервала допускаемой относительной погрешности ИК при измерении активной электрической энергии в нормальных условиях (±5), %, при доверительной вероятности, равной 0,95 | |||
51(2)%, |
55 %, |
520 %, |
5100 %, | ||
I1(2)% < I изм< I 5 % |
I5 %<I изм<1 20 Чс |
I20 %<1изм<1100% |
I100 %<1изм<1120% | ||
1-14 (Счетчик 0,2S; ТТ 0,2S; ТН 0,2) |
1,0 |
1,0 |
06 |
0,5 |
0,5 |
0,8 |
1,1 |
0,8 |
0,6 |
0,6 | |
0,5 |
1,8 |
1,3 |
0,9 |
0,9 | |
15-32 (Счетчик 0,2S; ТТ 0,2S; ТН 0,5) |
1,0 |
1,1 |
0,8 |
0,7 |
0,7 |
0,8 |
1,3 |
1,0 |
0,9 |
0,9 | |
0,5 |
2,1 |
1,7 |
1,4 |
1,4 |
Номер ИК |
COSф |
Границы интервала допускаемой относительной погрешности ИК при измерении реактивной электрической энергии в нормальных условиях (±5), %, при доверительной вероятности, равной 0,95 | |||
52%, |
55 %, |
520 %, |
5100 %, | ||
I2% < I изм< I 5 % |
I5 %<I изм<I 20 % |
I20 %<Iизм<I100% |
I100 %<Iизм<I120% | ||
1-14 (Счетчик 0,5; ТТ 0,2S; ТН 0,2) |
0,8 |
1,8 |
1,4 |
1,0 |
1,0 |
0,5 |
1,5 |
0,9 |
0,8 |
0,8 | |
15-32 (Счетчик 0,5; ТТ 0,2S; ТН 0,5) |
0,8 |
2,0 |
1,6 |
1,3 |
1,3 |
0,5 |
1,6 |
1,1 |
1,0 |
1,0 | |
Номер ИК |
COSф |
Границы интервала допускаемой относительной погрешности ИК при измерении активной электрической энергии в рабочих условиях (±5), %, при доверительной вероятности, равной 0,95 | |||
51(2)%, |
55 %, |
520 %, |
5100 %, | ||
I1(2)% < I изм< I 5 % |
I5 %<I изм<I 20 Чс |
I20 %<Iизм<I100% |
I100 %<Iизм<I120% | ||
1-14 (Счетчик 0,2S; ТТ 0,2S; ТН 0,2) |
1,0 |
1,2 |
0,8 |
0,7 |
0,7 |
0,8 |
1,3 |
1,0 |
0,9 |
0,9 | |
0,5 |
1,9 |
1,4 |
1,1 |
1,1 | |
15-32 (Счетчик 0,2S; ТТ 0,2S; ТН 0,5) |
1,0 |
1,3 |
1,0 |
0,9 |
0,9 |
0,8 |
1,5 |
1,2 |
1,1 |
1,1 | |
0,5 |
2,2 |
1,8 |
1,6 |
1,6 | |
Номер ИК |
COSф |
Границы интервала допускаемой относительной погрешности ИК при измерении реактивной электрической энергии в рабочих условиях (±5), %, при доверительной вероятности, равной 0,95 | |||
52%, |
55 %, |
520 %, |
5100 %, | ||
I2% < I изм< I 5 % |
I5 %<I изм<I 20 |
I20 %<Iизм<I100% |
I100 %<Iизм<I120% | ||
1-14 (Счетчик 0,5; ТТ 0,2S; ТН 0,2) |
0,8 |
22 |
1,9 |
1,6 |
1,6 |
0,5 |
1,9 |
1,5 |
1,4 |
1,4 | |
15-32 (Счетчик 0,5; ТТ 0,2S; ТН 0,5) |
0,8 |
2,4 |
2,1 |
1,9 |
1,9 |
0,5 |
2,0 |
1,7 |
1,6 |
1,6 |

Пределы допускаемой абсолютной погрешности смещения шкалы времени компонентов АИИС КУЭ, входящих в состав СОЕВ, относительно шкалы времени UTC(SU), (±А), с Пр имечания
-
1 Границы интервала допускаемой относительной погрешности Si(2)%p для coso=l,0 нормируются от Ii%, границы интервала допускаемой относительной погрешности 5i(2)%p и 52%Q для COSO' 1.0 нормируются от I2%.
-
2 Метрологические характеристики ИК даны для измерений электроэнергии и средней мощности (получасовой).
Таблица 4 - Основные технические характеристики
Наименование характеристики |
Значение |
1 |
2 |
Нормальные условия: параметры сети: - напряжение, % от Uном |
от 99 до 101 |
- ток, % от Iном |
от 1 до 120 |
- коэффициент мощности |
0,87 |
- частота, Гц |
от 49,85 до 50,15 |
температура окружающей среды, °C: - для счетчиков электроэнергии |
от +21 до +25 |
Рабочие условия: параметры сети: - напряжение, % от Uном |
от 90 до 110 |
- ток, % от Iном |
от 1 до 120 |
- коэффициент мощности, не менее |
0,5 |
- частота, Гц |
от 49,6 до 50,4 |
диапазон рабочих температур окружающей среды, °C: - для ТТ и ТН |
от -45 до +40 |
- для счетчиков |
от +10 до +30 |
- для УСПД |
от +10 до +30 |
- для сервера, УССВ |
от +18 до +24 |
Надежность применяемых в АИИС КУЭ компонентов: счетчики электроэнергии EPQS: - средняя наработка до отказа, ч, не менее |
70000 |
- среднее время восстановления работоспособности, ч |
72 |
УСПД TOPAZ IEC DAS: - средняя наработка на отказ, ч, не менее |
140000 |
комплекс измерительно-вычислительный СТВ-01: - средняя наработка на отказ, ч, не менее |
10000 |
Глубина хранения информации счетчики электроэнергии: - тридцатиминутный профиль нагрузки в двух направлениях, сут, не менее |
45 |
УСПД: - суточные данные о тридцатиминутных приращениях электроэнергии по каждому каналу и электроэнергии, потребленной за месяц, сут, не менее |
45 |
при отключенном питании, лет, не менее |
3 |
ИВК: - результаты измерений, состояние объектов и средств измерений, лет, не менее |
3,5 |
Надежность системных решений:
с помощью источника бесперебойного питания
-
- резервирование питания УСПД и устройства АВР;
информация о результатах измерений может
-
- резервирование каналов связи: передаваться с помощью электронной почты и сотовой связи;
-
- в журналах событий счетчиков и УСПД фиксируются факты:
-
- параметрирования;
-
- пропадания напряжения;
-
- коррекция шкалы времени. Защищенность применяемых компонентов:
пломбирование:
-
- наличие механической защиты от несанкционированного доступа и
-
- счетчиков электроэнергии;
-
- промежуточных клеммников вторичных цепей напряжения;
-
- испытательной коробки;
-
- УСПД.
-
- наличие защиты на программном уровне:
-
- пароль на счетчиках электроэнергии;
-
- пароль на УСПД;
-
- пароли на сервере, предусматривающие разграничение прав доступа к измерительным данным для различных групп пользователей.
Возможность коррекции шкалы времени в:
-
- счетчиках электроэнергии (функция автоматизирована);
-
- УСПД (функция автоматизирована).
Знак утверждения типа
наносится на титульный лист формуляра АИИС КУЭ типографским способом. Нанесение знака утверждения типа на средство измерений не предусмотрено.
Комплектность средства измерений
Комплектность АИИС КУЭ приведена в таблице 5.
Таблица 5 - Комплектность
Наименование |
Обозначение |
Количество шт./экз. |
1 |
2 |
3 |
Трансформатор тока элегазовый |
ТРГ-110 п* |
39 |
Трансформатор тока элегазовый |
ТРГ-УЭТМ® |
3 |
Трансформатор тока |
KSOH |
15 |
Трансформатор тока |
ТОЛ |
9 |
Трансформатор тока |
ТОЛ-Ю-ТМ |
15 |
Трансформатор тока |
ТОЛ-10-IМ-34 УХЛ2 |
15 |
Трансформатор напряжения емкостной |
DDB-123 |
12 |
Трансформатор напряжения |
GBE40,5 |
6 |
Трансформатор напряжения |
ЗНОЛ-СЭЩ-10-1 У2 |
6 |
Счетчик электрической энергии многофункциональный |
EPQS |
32 |
Устройство сбора и передачи данных |
TOPAZ IEC DAS |
1 |
Комплекс измерительновычислительный |
СТВ-01 |
1 |
Формуляр |
АУВП.411711.ФСК.ОРЭМ.Ц.П2200034.ФО |
1 |
Сведения о методиках (методах) измерений
приведены в документе «Методика измерений электрической энергии и мощности с использованием системы автоматизированной информационно-измерительной коммерческого учета электроэнергии АИИС КУЭ ЕНЭС ПС 220 кВ Правобережная», аттестованном ООО «ИЦ ЭАК», г. Москва уникальный номер записи об аккредитации в реестре аккредитованных лиц RA.RU.311298.
Нормативные документы, устанавливающие требования к средству измерений
Постановление Правительства РФ от 16.11.2020 N 1847 «Об утверждении перечня измерений, относящихся к сфере государственного регулирования обеспечения единства измерений» (п. 6.12; п. 6.13)
ГОСТ 22261-94 «Средства измерений электрических и магнитных величин. Общие технические условия»
ГОСТ Р 59793-2021 «Информационные технологии. Комплекс стандартов на автоматизированные системы. Автоматизированные системы. Стадии создания»
ГОСТ Р 8.596-2002 «ГСИ. Метрологическое обеспечение измерительных систем. Основные положения»
Правообладатель
Публичное акционерное общество «Федеральная сетевая компания - Россети»
(ПАО «Россети»)
ИНН 4716016979
Юридический адрес: 121353, г. Москва, вн.тер.г. муниципальный округ Можайский, ул. Беловежская, д. 4
Телефон: +7 (800) 200-18-81
E-mail: info@rosseti.ru
Web-сайт: www.rosseti.ru
Изготовитель
Публичное акционерное общество «Федеральная сетевая компания - Россети» (ПАО «Россети»)
ИНН 4716016979
Адрес: 121353, г. Москва, вн.тер.г. муниципальный округ Можайский, ул. Беловежская, д. 4
Телефон: +7 (800) 200-18-81
E-mail: info@rosseti.ru
Web-сайт: www.rosseti.ru
Испытательный центр
Общество с ограниченной ответственностью «ЭнерТест» (ООО «ЭнерТест»)
Адрес: 141401, Московская обл., г. Химки, ул. Рабочая, д. 2А, к. 22А, офис 207 Телефон: +7 (495) 109-09-22
Web-сайт: www.enertest.ru
E-mail: info@enertest.ru
об аккредитации в реестре аккредитованных лиц
Уникальный номер записи
RA.RU.314754

УТВЕРЖДЕНО приказом Федерального агентства по техническому регулированию
и метрологии
08 августа лг 1618
от « » _ 2025 г. №
Лист № 1
Всего листов 9
Регистрационный № 96061-25
ОПИСАНИЕ ТИПА СРЕДСТВА ИЗМЕРЕНИЙ
Комплекс обнаружения начальной стадии подземных пожаров КОНСПП
Назначение средства измерений
Комплекс обнаружения начальной стадии подземных пожаров КОНСПП (далее - комплекс, КОНСПП) предназначен для автоматических непрерывных измерений объёмной доли оксида углерода в рудничном воздухе, скорости воздушного потока и отображения температуры окружающей среды в подземных горных выработках и надшахтных зданиях и сооружениях АО «Кольская ГМК», рудник «Северный-Глубокий», передачи измерительной информации диспетчеру рудника, ее обработки, хранения и отображения.
Описание средства измерений
Принцип действия КОНСПП основан на преобразовании измеряемых первичными измерительными преобразователями и отображаемых извещателями пожарными тепловыми рудничными особовзрывобезопасными автоматической системы противопожарной защиты подземных рудников ИП 101-2-PR-485 (РО АСПЗ) (далее - ИП 101-2-PR-485 (РО АСПЗ)) аналоговых величин в цифровой код, передачи измерительной информации по RS-485 (Modbus RTU) на шкафы прибора приемно-контрольного и управления пожарного рудничного особовзрывобезопасного автоматической системы противопожарной защиты подземных рудников (далее - шкаф ППКУП (РО АСПЗ)) и далее по каналам связи Ethernet на прибор объектовый оконечный автоматической системы противопожарной защиты подземных рудников (далее - ПОО АСПЗ) системы передачи извещений о пожаре автоматической системы противопожарной защиты подземных рудников далее - (СПИ АСПЗ), ее обработки, хранения и отображения на соответствующих автоматизированных рабочих местах ППКУП (далее - АРМ ППКУП) и автоматизированных рабочих местах КОНСПП (далее - АРМ КОНСПП) для диспетчера рудника, которые при соединении образуют ряд измерительных каналов (далее - ИК): измерительный канал объёмной доли оксида углерода, измерительный канал скорости воздушного потока и измерительный канал температуры.
Конструктивно комплекс представлен двумя функциональными уровнями:
-
- нижний уровень в составе:
первичные измерительные преобразователи (далее - ПИП) - средства измерений утверждённого типа (датчики горючих и токсичных газов интеллектуальные стационарные ИТС2, модификация ИТС2-СО-11, рег. № 51279-12 в Федеральном информационном фонде по обеспечению единства измерений (далее - ФИФ ОЕИ); измерители скорости воздушного потока СДСВ 01, ФИФ ОЕИ № 22814-18);
средства измерений не утверждённого типа - ИП 101-2-PR-485 (РО АСПЗ);
шкафы ППКУП (РО АСПЗ);
-
- верхний уровень в составе:
СПИ АСПЗ, состоящей из ПОО АСПЗ, содержащего шкаф основной ПОО-ШО и шкаф связи ПОО-ШС;
АРМ КОНСПП.
Нижний уровень - уровень программно-технических устройств, устанавливаемых в подземных горных выработках, основным устройством которого является шкаф ППКУП (РО АСПЗ). ППКУП (РО АСПЗ) является блочно-модульным проектно-компонуемым изделием и обеспечивает средствами шкафа ППКУП (РО АСПЗ) приём цифрового кода от ПИП и ИП 101-2-PR-485 (РО АСПЗ) по интерфейсным линиям связи RS-485 и дальнейшей передачи измерительной информации по интерфейсу Ethernet.
Верхний уровень - уровень централизации контроля и управления оборудования автоматической системы противопожарной защиты подземных рудников (далее - АСПЗ), предназначен для приема измерительной информации от ППКУП (РО АСПЗ) и её дальнейшей передачи по линиям связи Ethernet напрямую или через СПИ АСПЗ на АРМ КОНСПП. Данный уровень представляет собой программно-аппаратный комплекс, предназначенный для централизованного оперативного диспетчерского контроля и управления КОНСПП, обработки, архивирования, хранения данных, получаемых от ПИП и ИП 101-2-PR-485 (РО АСПЗ), вывод информации на мониторы АРМ. Реализация данного уровня КОНСПП осуществляется на основе ПОО АСПЗ, имеющего в своем составе шкаф основной ПОО-ШО со встроенным программным обеспечением Сервиса метрологического SM(DM)160.BASE.MEAS.030 программного комплекса SmartMine Platform и шкафы связи ПОО-ШС, выполняющие функцию связующего компонента комплекса с использованием сетевого коммутатора Ethernet.
В целях предотвращения несанкционированной настройки и вмешательства в работу КОНСПП производится пломбирование ПИП из состава КОНСПП. Способ защиты и места пломбирования ПИП приведены в их описаниях типа и эксплуатационной документации на ПИП. Пломбирование ИП 101-2-PR-485 (РО АСПЗ) из состава КОНСПП не предусмотрено.
Общий вид основных компонентов КОНСПП приведен на рисунке 1. Общий вид, цвет корпусов ПИП из состава КОНСПП приведён в их описаниях типа. Корпус ИП 101-2-PR-485 (РО АСПЗ) из состава КОНСПП пластиковый с передней и задней металлическими крышками; корпус и крышки окрашиваются в цвета, которые определяет изготовитель. Шкаф основной ПОО-ШО окрашен в черный цвет, шкаф связи ПОО-ШС и шкафы ППКУП - в синий цвет.
КОНСПП имеет заводской номер 02-14-07-000-02-АК, который указан на информационной табличке, закрепленной на передней дверце шкафа ПОО-ШО, а также указан в паспорте КОНСПП. Общий вид информационной таблички с указанием места нанесения заводского номера КОНСПП приведен на рисунке 2. Способ нанесения маркировки - лазерная гравировка на стальной пластине.
Нанесение знака поверки на КОНСПП не предусмотрено.

ж)
Рисунок 1 - Общий вид основных компонентов КОНСП^!:
а) АРМ КОНСПП; б) шкаф основной ПОО-ШО; в) шкаф связи ПОО-ШС;
г) шкаф ППКУП (РО АСПЗ);
д) датчик горючих и токсичных газов интеллектуальный стационарный ИТС2; е) ИП 101-2-PR-485 (РО АСПЗ);
ж) измеритель скорости воздушного потока СДСВ 01.
®5М* TECH
КОМПЛЕКС ОБНАРУЖЕНИЯ НАЧАЛЬНОЙ СТАДИИ ПОДЗЕМНЫХ ПОЖАРОВ КОНСПП

Зав. №;
02-14-07-000-02-АКРисунок 2 - Информационная табличка КОНСИИ с указанием знака утверждения типа и заводского номера
Программное обеспечение
КОНСИИ имеет встроенное программное обеспечение (далее - ИО), разделённое на метрологически значимые и незначимые части.
Метрологически значимые части ИО предназначены для сбора, хранения и обработки результатов измерений, полученных от ИИИ и ИИ 101-2-PR-485 (РО АСИЗ). На нижнем уровне на базе аппаратной части шкафа ИИКУИ реализовано ИО NAP.100.MSys с распределенной архитектурой формирования запросов к ИИИ и ИИ 101-2-PR-485 (РО АСИЗ), переупаковкой и дополнением данных для дальнейшей передачи их на верхний уровень. На верхнем уровне в составе шкафа основного ИОО-ШО Сервис метрологический SM(DM)160.BASE.MEAS.030 программного комплекса SmartMine Platform (SMP, Свидетельство о государственной регистрации программ для ЭВМ № 2022616684, регистрационный номер 13983) осуществляет обработку полученных данных, их хранение, а также форматирование для дальнейшего отображения на АРМ КОНСИИ.
К метрологически незначимым частям относятся встроенное ИО коммутаторов в составе шкафов связи ИОО-ШС, выполняющих функцию связующего компонента комплекса между ИИКУИ и ИОО-ШО; ИО ServerPPKUP в составе ИОО-ШО, осуществляющее последовательный опрос ИИКУИ (определенный в конфигурационном файле) и передачу данных на Сервис метрологический SM(DM)160.BASE.MEAS.030; а также ИО АРМ КОНСИИ, реализованное на выделенном отдельно стоящем персональном компьютере и обеспечивающее непосредственное взаимодействие оператора АРМ с КОНСИИ, а также отображение измерительной информации с указанием ИК.
Идентификационные данные ИО приведены в таблице 1.
Влияние встроенного ИО учтено при нормировании метрологических характеристик КОНСИИ.
Уровень защиты ИО «высокий» в соответствии с Р 50.2.077-2014.
Таблица 1 -
данные ПО
Идентификационные данные (признаки) |
Значение | |
ПО верхнего уровня (ПОО-ШО) |
ПО нижнего уровня (ППКУП) | |
Идентификационное наименование ПО |
SM(DM)160.BASE.MEAS.030 |
NAPlOO.MSys |
Номер версии (идентификационный номер) ПО |
3.0.ХХ1) |
1.2.ХХ1) |
Цифровой идентификатор ПО |
- |
- |
Производитель |
SPBEC-Mining LTD |
SPBEC-Mining LTD |
1) «ХУ» относится к метрологически незначимой части ПО и может принимать значения от 01 до 99.
Метрологические и технические характеристики
Метрологические характеристики ИК КОНСПП приведены в таблицах 2-6.
Таблица 2 - Диапазон измерений, пределы допускаемой основной погрешности, время установления выходного сигнала для измерительного канала объёмной доли оксида углерода
Определяемый компонент |
Диапазон измерений объемной доли определяемого компонента, млн-1 |
Пределы допускаемой основной погрешности |
Время установления выходного сигнала Т0,9, с, не более | |
абсолютной, млн-1 |
относительной, % | |||
Оксид углерода (CO) |
от 0 до 50 млн-1 включ. |
±5 |
- |
45 |
св. 50 до 500 млн-1 |
- |
±10 |
Таблица 3 - Метрологические характеристики измерительного канала объёмной доли оксида углерода
Наименование характеристики |
Значение |
Предел допускаемой вариации выходного сигнала, в долях от пределов допускаемой основной погрешности |
0,5 |
Пределы допускаемой дополнительной погрешности от изменения температуры окружающей среды на каждые 10 °С в пределах рабочих условий эксплуатации, в долях от пределов допускаемой основной погрешности |
±0,4 |
Пределы допускаемой дополнительной погрешности от изменения атмосферного давления в пределах рабочих условий эксплуатации на каждые 30 мм рт.ст., в долях от пределов допускаемой основной погрешности |
±0,2 |
Пределы допускаемой дополнительной погрешности от изменения относительной влажности анализируемой среды в пределах рабочих условий эксплуатации на каждые 15 %, в долях от пределов допускаемой основной погрешности |
±0,4 |
Таблица 4 - Диапазон измерений и пределы допускаемой основной абсолютной погрешности измерительного канала скорости воздушного потока
Наименование характеристики |
Значение |
Диапазон измерений скорости воздушного потока, м/с |
от 0,2 до 30 |
Пределы допускаемой основной абсолютной погрешности при измерении скорости воздушного потока, м/с |
±(0,1+0,03^V)1) |
1) V - значение скорости воздушного потока, м/с |
Таблица 5 - Метрологические характеристики измерительного канала скорости воздушного потока
Наименование характеристики |
Значение |
Пределы допускаемой дополнительной погрешности от изменения температуры окружающей и контролируемой сред в рабочих условиях эксплуатации, в долях от пределов допускаемой основной погрешности |
±0,5 |
Пределы допускаемой дополнительной погрешности от изменения относительной влажности контролируемой среды в диапазоне рабочих значений относительной влажности, в долях от пределов допускаемой основной погрешности |
±0,5 |
Таблица 6 - Основные технические
КОНСПП
Наименование характеристики |
Значение |
Диапазон показаний температуры, °С |
от -30 до +95 |
Диапазон напряжения питания, В: - ПИП |
В соответствии с |
- ИП 101-2-PR-485 (РО АСПЗ) |
эксплуатационной документацией на ПИП от 7 до 20 |
Прибор объектовый оконечный ПОО АСПЗ Системы передачи извещений о пожаре СПИ АСПЗ в составе: - Шкаф основной прибора объектового оконечного ПОО-ШО |
от 187 до 242 |
- Шкаф связи ПОО-ШС |
от 10 до 14 |
Прибор приемно-контрольный и управления пожарный П^ХКУП (РО АСПз), в составе: - Шкаф ППКУП (РО АСПЗ) |
от 10 до 14 |
Номинальное искробезопасное напряжение питания постоянного тока, В |
12 |
Габаритные размеры (высота^ширина^глубина), мм, не более: - ПИП |
В соответствии с |
- ИП 101-2-PR-485 (РО АСПЗ) |
эксплуатационной документацией на ПИП 240x140x55 |
Прибор объектовый оконечный ПОО АСПЗ Системы передачи извещений о пожаре СПИ АСПЗ в составе: - Шкаф основной прибора объектового оконечного ПОО-ШО |
1648x600x1000 |
- Шкаф связи ПОО-ШС |
670x420x300 |
Прибор приемно-контрольный и управления пожарный П^ХКУП (РО АСПз), в составе: - Шкаф ППКУП (РО АСПЗ) |
600x568x160 |
Наименование характеристики |
Значение |
Масса, кг, не более: - ПИП |
В соответствии с |
- ИП 101-2-PR-485 (РО АСПЗ) |
эксплуатационной документацией на ПИП 1 |
Прибор объектовый оконечный ПОО АСПЗ Системы передачи извещений о пожаре СПИ АСПЗ в составе: - Шкаф основной прибора объектового оконечного ПОО-ШО |
130 |
- Шкаф связи ПОО-ШС |
34 |
Прибор приемно-контрольный и управления пожарный П^ХКУП (РО АСПЗ), в составе: - Шкаф ППКУП (РО АСПЗ) |
24 |
Степень защиты от внешних воздействий оболочки по ГОСТ 14254-2015, не ниже: - ПИП |
В соответствии с |
- ИП 101-2-PR-485 (РО АСПЗ) |
эксплуатационной документацией на ПИП IP65 |
Прибор объектовый оконечный ПОО АСПЗ Системы передачи извещений о пожаре СПИ АСПЗ в составе: - Шкаф основной прибора объектового оконечного ПОО-ШО |
IP20 |
- Шкаф связи ПОО-ШС |
IP65 |
Прибор приемно-контрольный и управления пожарный П^ХКУП (РО АСПз), в составе: - Шкаф ППКУП (РО АСПЗ) |
IP65 |
Маркировка взрывозащиты: - ПИП2) |
В соответствии с |
- ИП 101-2-PR-485 (РО АСПЗ) |
эксплуатационной документацией на ПИП РО Ех ia I Ма |
Прибор объектовый оконечный ПОО АСПЗ Системы передачи извещений о пожаре СПИ АСПЗ в составе: - Шкаф основной прибора объектового оконечного ПОО-ШО2) |
[Ex op is Ma] I |
- Шкаф связи ПОО-ШС |
РО Ex ia op is I Ma Х |
Прибор приемно-контрольный и управления пожарный ППКУП (РО АСПЗ), в составе: - Шкаф ППКУП (РО АСПЗ) 2) |
РО Ex ia op is I Ma Х |
Наименование характеристики |
Значение |
Условия эксплуатации: Температура окружающей среды при эксплуатации, °С - ПИП |
В соответствии с |
- ИП 101-2-PR-485 (РО АСПЗ) |
эксплуатационной документацией на ПИП от -20 до +85 |
Прибор объектовый оконечный ПОО АСПЗ Системы передачи извещений о пожаре СПИ АСПЗ в составе: - Шкаф основной прибора объектового оконечного ПОО-ШО; |
от 0 до +40 |
- Шкаф связи ПОО-ШС. |
от -20 до +40 |
Прибор приемно-контрольный и управления пожарный П^ХКУП (РО АСПз), в составе: - Шкаф ППКУП (РО АСПЗ) |
от -20 до +40 |
- АРМ КОНСПП1) |
- |
Относительная влажность окружающей среды, %: - ПИП |
В соответствии с |
- ИП 101-2-PR-485 (РО АСПЗ) |
эксплуатационной документацией на ПИП до 98 |
Прибор объектовый оконечный ПОО АСПЗ Системы передачи извещений о пожаре СПИ АСПЗ в составе: - Шкаф основной прибора объектового оконечного ПОО-ШО; |
от 30 до 95 |
- Шкаф связи ПОО-ШС. |
от 30 до 95 |
Прибор приемно-контрольный и управления пожарный П^ХКУП (РО АСПз), в составе: - Шкаф ППКУП (РО АСПЗ) |
до 98 |
1) Персональный компьютер (ПК) с установленным программным комплектом. ПК | |
должен быть выбран по степени защиты от внешних воздействий исходя из условий размещения | |
при эксплуатации. 2) Размещается в подземных горных выработках, в том числе опасных по газу. |
Знак утверждения типа
наносится на информационную табличку, закрепленную на передней дверце шкафа ПОО-ШО, способом лазерной гравировки на стальной пластине, и на титульный лист паспорта и руководства по эксплуатации типографским способом.
Комплектность средства измерений
Таблица 7 - Комплектность средства измерений
Наименование |
Обозначение |
Количество |
Комплекс обнаружения начальной стадии подземных пожаров |
КОНСПП |
1 шт. |
Руководство по эксплуатации |
02-14-07-000-02-АК РЭ |
1 экз. |
Паспорт |
02-14-07-000-02-АК ПС |
1 экз. |
Комплект эксплуатационных документов на составные части |
- |
согласно комплекту на поставку составных частей |
Сведения о методиках (методах) измерений
приведены в разделе «Описание и работа» документа 02-14-07-000-02-АК РЭ «Комплекс обнаружения начальной стадии подземных пожаров КОНСПП. Руководство по эксплуатации».
Нормативные документы, устанавливающие требования к средству измерений 2315 Об утверждении государственной содержания компонентов в газовых
Приказ Росстандарта от 31.12.2020 № поверочной схемы для средств измерений и газоконденсатных средах
Приказ Росстандарта от 25.11.2019 №
2815 Об утверждении Государственной поверочной схемы для средств измерений скорости воздушного потока
ГОСТ Р 8.596-2002 Государственная система обеспечения единства измерений. Метрологическое обеспечение измерительных систем. Основные положения
Правообладатель
Общество с ограниченной ответственностью «СПбЭК-Майнинг» (ООО «СПбЭК-Майнинг»)
Юридический адрес: 196605, г. Санкт-Петербург, вн.тер. г. поселок Шушары, тер. Пулковское, ул. Кокколевская, д. 1, стр. 1, помещ. 45-Н
ИНН 7820326027
Изготовитель
Общество с ограниченной ответственностью «СПбЭК-Майнинг» (ООО «СПбЭК-Майнинг»)
Адрес: 196605, г. Санкт-Петербург, вн.тер. г. поселок Шушары, тер. Пулковское, ул. Кокколевская, д. 1, стр. 1, помещ. 45-Н
ИНН 7820326027
Испытательный центр
Уральский научно-исследовательский институт метрологии - филиал Федерального государственного унитарного предприятия «Всероссийский научно-исследовательский институт метрологии им. Д.И. Менделеева»
Адрес: 620075, г. Екатеринбург, ул. Красноармейская, д. 4
Уникальный номер записи об аккредитации в реестре аккредитованных лиц по проведению испытаний средств измерений в целях утверждения типа № RA.RU.311373

УТВЕРЖДЕНО приказом Федерального агентства по техническому регулированию
и метрологии
08 августа лг 1618
от « » _ 2025 г. №
Лист № 1
Всего листов 4
Регистрационный № 96062-25
ОПИСАНИЕ ТИПА СРЕДСТВА ИЗМЕРЕНИЙ
Извещатели пожарные тепловые рудничные особовзрывобезопасные ИП 101-2-PR-485 (РО АСПЗ)
Назначение средства измерений
Извещатели пожарные тепловые рудничные особовзрывобезопасные ИП 101-2-PR-485 (РО АСПЗ) (далее - извещатели) предназначены для автоматических и непрерывных измерений и преобразований температуры газовоздушной среды во взрывоопасных зонах предприятий горнодобывающей и нефтегазовой промышленности в цифровой сигнал на базе интерфейса RS-485.
Описание средства измерений
Конструктивно извещатели представляют собой печатную плату, встроенную в пластиковый корпус с передней и задней металлическими крышками на кронштейне. Датчик из состава извещателя измеряет температуру окружающей среды и передает информацию о превышении установленного порогового значения.
Принцип действия основан на зависимости изменения электрического сопротивления датчика из состава извещателя от изменения температуры. Извещатели передают информацию о текущем измеренном значении температуры окружающей среды, пожарного признака и диагностическую информацию по проводному интерфейсу на приемно-контрольные приборы пожарной сигнализации.
Корпус извещателей пластиковый с передней и задней металлическими крышками. Корпус и крышки окрашиваются в цвета, которые определяет изготовитель.
Серийный номер имеет цифровой формат и наносится на передней металлической крышке извещателя гравированием или иным пригодным способом, обеспечивающим идентификацию каждого экземпляра извещателя, возможность прочтения и сохранность номера в процессе эксплуатации. Конструкцией извещателей не предусмотрена возможность нанесения знака поверки.
Пломбирование извещателей не предусмотрено. Конструкция обеспечивает ограничение доступа к частям извещателя, несущим первичную измерительную информацию.
Общий вид извещателей с указанием места нанесения серийного номера приведен на рисунке 1.
Место нанесения серийного номера

Рисунок 1 - Общий вид извещателей с указанием места нанесения серийного номера
Программное обеспечение
Извещатели оснащены
встроенным метрологически значимым программным обеспечением, предназначенным для обработки и отображения результатов измерений (далее - ПО).
Уровень защиты ПО от непреднамеренных и преднамеренных изменений соответствует уровню «Средний» по Р 50.2.077-2014.
Влияние ПО извещателей учтено при нормировании метрологических характеристик. Идентификационные данные ПО представлены в таблице 1.
Таблица 1 -
данные ПО
Идентификационные данные (признаки) |
Значение |
Идентификационное наименование ПО |
Fi 485 IPT |
Номер версии (идентификационный номер) ПО |
300XX1) |
1) «XX» относится к метрологически незначимой части ПО и может принимать значения | |
от 1 до 99 |
Метрологические и технические характеристики
Таблица 2 -
Наименование характеристики |
Значение |
Диапазон измерений температуры, °C |
от -20 до +85 |
Пределы допускаемой абсолютной погрешности измерений температуры, °C |
± 0,5 |
Таблица 3 - Основные технические характеристики
Наименование характеристики |
Значение |
Диапазон показаний температуры, °C |
от -30 до +95 |
Габаритные размеры без учета компьютера, мм, не более
|
140 240 55 |
Масса, кг, не более |
1 |
Напряжение питания постоянного тока, В |
от 7 до 20 |
Номинальное напряжение питания, В |
12 |
Потребляемая мощность, мВт, не более |
0,5 |
Максимальная мощность потребления, мВт |
100 |
Условия эксплуатации:
|
от -20 до +85 98 |
Степень защиты оболочки от проникновения пыли и воды по ГОСТ 14254-2015 |
IP 65 |
Климатическое исполнение и категория по ГОСТ 15150-69 |
УХЛ5 |
Маркировка взрывозащиты по ГОСТ 31610.0-2012 (IEC60079 0:2004) |
РО Ex ia I Ma |
Проводной интерфейс |
RS-485 (1 канал) |
Таблица 4 - Показатели надежности
Наименование характеристики |
Значение |
Средняя наработка на отказ, ч |
60 000 |
Знак утверждения типа
наносится на титульный лист паспорта типографским способом.
Комплектность средства измерений
Таблица 5 - Комплектность средства измерений
Наименование |
Обозначение |
Количество |
Извещатели пожарные тепловые рудничные особовзрывобезопасные |
ИП 101-2-PR-485 (РО АСПЗ) |
1 шт. |
Руководство по эксплуатации |
SM(АСПЗ)097.000.000.000РЭ |
1 экз.* |
Методика поверки |
- | |
Паспорт |
SM(АСПЗ)097.000.000.000ПС |
1 экз. |
* по требованию или в электронном виде
Сведения о методиках (методах) измерений
приведены в пункте 1.3.2 «Принцип действия ИТП» руководства по эксплуатации SM(АСПЗ)097.000.000.000РЭ «Извещатели пожарные тепловые рудничные особовзрывобезопасные. Руководство по эксплуатации».
Нормативные и технические документы, устанавливающие требования к средству измерений
Приказ Росстандарта № 2712 от 19.11.2024 Об утверждении Государственной поверочной схемы для средств измерений температуры
SM(АСПЗ)097.000.000.000ТУ Извещатели пожарные тепловые рудничные особовзрывобезопасные. Технические условия
Правообладатель
Общество с ограниченной ответственностью «СПбЭК-Майнинг» (ООО «СПбЭК-Майнинг»)
Юридический адрес: 196605, г. Санкт-Петербург, вн. тер. г. поселок Шушары, тер. Пулковское, ул. Кокколевская, д. 1, стр. 1, помещ. 45-н
ИНН 7820326027
Изготовитель
Общество с ограниченной ответственностью «СПбЭК-Майнинг» (ООО «СПбЭК-Майнинг»)
Адрес: 196605, г. Санкт-Петербург, вн. тер. г. поселок Шушары, тер. Пулковское, ул. Кокколевская, д. 1, стр. 1, помещ. 45-н
ИНН 7820326027
Испытательный центр
Уральский научно-исследовательский институт метрологии - филиал Федерального государственного унитарного предприятия «Всероссийский научно-исследовательский институт метрологии им. Д.И.Менделеева»
Адрес: 620075, г. Екатеринбург, ул. Красноармейская, д. 4
Уникальный номер записи об аккредитации в реестре аккредитованных лиц по проведению испытаний средств измерений в целях утверждения типа № RA.RU.311373

УТВЕРЖДЕНО приказом Федерального агентства по техническому регулированию
и метрологии
08 августа лг 1618
от « » _ 2025 г. №
Лист № 1
Всего листов 7
коммерческого
Регистрационный № 96063-25
ОПИСАНИЕ ТИПА СРЕДСТВА ИЗМЕРЕНИЙ
Система автоматизированная информационно-измерительная учета электроэнергии (АИИС КУЭ) «Тейковская котельная»
Назначение средства измерений
Система автоматизированная информационно-измерительная коммерческого учета электроэнергии (АИИС КУЭ) «Тейковская котельная» (далее - АИИС КУЭ) предназначена для измерений активной и реактивной электроэнергии, автоматизированного сбора, обработки, хранения, формирования отчетных документов и передачи полученной информации заинтересованным организациям в рамках согласованного регламента.
Описание средства измерений
АИИС КУЭ представляет собой многофункциональную двухуровневую автоматизированную систему с централизованным управлением и распределенной функцией измерений.
АИИС КУЭ включает в себя следующие уровни:
-
1- й уровень - измерительно-информационные комплексы (ИИК), включающие в себя измерительные трансформаторы тока (ТТ), измерительные трансформаторы напряжения (ТН) и счетчики активной и реактивной электрической энергии (счетчики), вторичные измерительные цепи и технические средства приема-передачи данных.
-
2- й уровень - информационно-вычислительный комплекс (ИВК), включающий в себя сервер баз данных (сервер БД) с программным обеспечением (ПО) «АльфаЦЕНТР», устройство синхронизации времени (УСВ), автоматизированные рабочие места (АРМ), каналообразующую аппаратуру, технические средства для организации локальной вычислительной сети и разграничения прав доступа к информации.
Первичные токи и напряжения преобразуются измерительными трансформаторами в аналоговые сигналы низкого уровня, которые по проводным линиям связи поступают на соответствующие входы электронного счетчика электрической энергии. В счетчике мгновенные значения аналоговых сигналов преобразуются в цифровой сигнал. По мгновенным значениям силы электрического тока и напряжения в микропроцессоре счетчика вычисляются мгновенные значения активной и полной мощности, которые усредняются за период 0,02 с. Средняя за период реактивная мощность вычисляется по средним за период значениям активной и полной мощности.
Электрическая энергия, как интеграл по времени от средней за период 0,02 с мощности, вычисляется для интервалов времени 30 мин.
Средняя активная (реактивная) электрическая мощность вычисляется как среднее значение мгновенных значений мощности на интервале времени усреднения 30 мин.
Цифровой сигнал с выходов счетчиков при помощи технических средств приема-передачи поступает на сервер БД, где осуществляется обработка измерительной информации, в частности вычисление электрической энергии и мощности с учетом коэффициентов трансформации ТТ и ТН, формирование и хранение поступающей информации,
оформление отчетных документов.
Дополнительно сервер БД может принимать измерительную информацию в виде xml-файлов установленных форматов от ИВК прочих АИИС КУЭ, зарегистрированных в Федеральном информационном фонде, и передавать всем заинтересованным субъектам оптового рынка электроэнергии и мощности (ОРЭМ).
Передача информации от сервера БД или АРМ в программно-аппаратный комплекс АО «АТС» с электронной цифровой подписью субъекта ОРЭМ, в филиал АО «СО ЕЭС» и в другие смежные субъекты ОРЭМ производится по каналу связи с протоколом TCP/IP сети Internet в виде xml-файлов установленных форматов в соответствии с приложением 11.1.1 «Регламент предоставления результатов измерений и состояний объектов измерений» к Положению о порядке получения статуса субъекта оптового рынка и ведения реестра субъектов оптового рынка электрической энергии и мощности.
АИИС КУЭ имеет систему обеспечения единого времени (СОЕВ), которая включает в себя часы счетчиков, часы сервера БД и УСВ. УСВ обеспечивает передачу шкалы времени, синхронизированной по сигналам глобальных навигационных спутниковых систем с национальной шкалой координированного времени РФ UTC(SU).
Сравнение показаний часов сервера БД с УCВ осуществляется не реже 1 раза в час. Корректировка часов сервера БД производится при расхождении показаний часов сервера БД с УCВ более ±1 с.
Сравнение показаний часов счетчиков с часами сервера БД осуществляется при каждом сеансе связи, но не реже 1 раза в сутки. Корректировка часов счетчиков производится при расхождении показаний часов счетчиков с часами сервера БД более ±1 с.
Журналы событий счетчиков и сервера БД отображают факты коррекции времени с обязательной фиксацией времени до и после коррекции или величины коррекции времени, на которую было скорректировано устройство.
Нанесение знака поверки на средство измерений не предусмотрено. Маркировка заводского номера АИИС КУЭ «Тейковская котельная» наносится на этикетку, расположенную на тыльной стороне сервера БД, типографским способом. Дополнительно заводской номер 01/2025 указывается в формуляре-паспорте.
Программное обеспечение
В АИИС КУЭ используется ПО «АльфаЦЕНТР». ПО «АльфаЦЕНТР» обеспечивает защиту измерительной информации паролями в соответствии с правами доступа. Метрологически значимая часть ПО и данные достаточно защищены с помощью специальных средств защиты от преднамеренных изменений. Уровень защиты ПО «АльфаЦЕНТР» от непреднамеренных и преднамеренных изменений - «высокий» в соответствии с Р 50.2.077-2014. Метрологически значимая часть ПО «АльфаЦЕНТР» указана в таблице 1.
Таблица 1 - Идентификационные данные ПО «АльфаЦЕН |
[ТР» |
Идентификационные данные (признаки) |
Значение |
Идентификационное наименование ПО |
ac metrology.dU |
Номер версии (идентификационный номер) ПО |
не ниже 12.1 |
Цифровой идентификатор ПО |
3e736b7f380863f44cc8e6f7bd211c54 |
Алгоритм вычисления цифрового идентификатора ПО |
MD5 |
Метрологические и технические характеристики
Состав измерительных каналов (ИК) и их основные метрологические и технические характеристики приведены в таблицах 2, 3.
Таблица 2 - Состав ИК АИИС КУЭ и их метрологические характеристики
Но мер ИК |
Наименование точки измерений |
Измерительные компоненты |
Сервер |
Вид электрической энергии |
Метрологические характеристики ИК | ||||
ТТ |
ТН |
Счетчик |
УСВ |
Границы допускаемой основной относительной погрешности (±5), % |
Границы допускаемой относительной погрешности в рабочих условиях (±5), % | ||||
1 |
ПС 110 кВ Тейков-ский ХБК, РУ-6 кВ, 1 СШ 6 кВ, Ввод-1 6 кВ |
ТПОЛ-10 Кл.т. 0,5 1500/5 Рег. № 1261-59 Фазы: А; С |
НТМИ-6-66 Кл.т. 0,5 6000/100 Рег. № 2611-70 Фазы: А^С |
СЭТ- 4ТМ.03М.01 Кл.т. 0,5S/1,0 Рег. № 36697-17 |
Активная Реактивная |
1,3 2,5 |
3,3 5,6 | ||
2 |
ПС 110 кВ Тейков-ский ХБК, РУ-6 кВ, 2 СШ 6 кВ, Ввод-2 6 кВ |
ТПОЛ-10 Кл.т. 0,5 1500/5 Рег. № 1261-59 Фазы: А; С |
НТМИ-6-66 Кл.т. 0,5 6000/100 Рег. № 2611-70 Фазы: А^С |
СЭТ- 4ТМ.03М.01 Кл.т. 0,5S/1,0 Рег. № 36697-17 |
УСВ-3 |
Активная Реактивная |
1,3 2,5 |
3,3 5,6 | |
3 |
ПС 110 кВ Тейков-ский ХБК, Ввод 0,4 кВ ТСН-1, ТСН-2 |
ТОП-0,66 Кл.т. 0,5 100/5 Рег. № 75076-19 Фазы: А; В; С |
— |
ПСЧ- 4ТМ.05МК.04 Кл.т. 0,5S/1,0 Рег. № 50460-18 |
Рег. № 84823-22 |
Сервер БД |
Активная Реактивная |
1,0 2,1 |
3,2 5,5 |
4 |
ТП-15 6 кВ Котельная, РУ-0,4 кВ, 2 СШ 0,4 кВ, КЛ-0,4 кВ в сторону РУ-0,4 кВ Иваново-облгаз |
— |
— |
Меркурий 230 ART-02 PQRSIN Кл.т. 1,0/2,0 Рег. № 80590-20 |
Активная Реактивная |
1,0 2,0 |
3,2 5,9 |
±5 с
Пределы допускаемой абсолютной погрешности часов компонентов АИИС КУЭ в рабочих условиях относительно шкалы времени UTC(SU)
Примечания:
-
1 В качестве характеристик погрешности ИК установлены границы допускаемой относительной погрешности ИК при доверительной вероятности, равной 0,95.
-
2 Характеристики погрешности ИК указаны для измерений активной и реактивной электроэнергии на интервале времени 30 мин.
-
3 Погрешность в рабочих условиях указана для тока силы 5 % от 1ном; cosф = 0,8инд.
-
4 Допускается замена ТТ, ТН и счетчиков на аналогичные утвержденных типов с метрологическими характеристиками не хуже, чем у перечисленных в таблице 2, при условии, что предприятие-владелец АИИС КУЭ не претендует на улучшение указанных в таблице 2 метрологических характеристик. Допускается замена УСВ на аналогичное утвержденного типа, а также замена сервера БД без изменения используемого ПО (при условии сохранения цифрового идентификатора ПО). Замена оформляется техническим актом в установленном собственником АИИС КУЭ порядке. Технический акт хранится совместно с настоящим описанием типа АИИС КУЭ как его неотъемлемая часть.
Таблица 3 - Основные технические характеристики ИК
Наименование характеристики |
Значение |
1 |
2 |
Количество ИК |
4 |
Нормальные условия: параметры сети: | |
напряжение, % от ином |
от 95 до 105 |
сила тока, % от 1ном |
от 5 до 120 |
коэффициент мощности cosф |
0,9 |
частота, Гц |
от 49,8 до 50,2 |
температура окружающей среды, °С |
от +15 до +25 |
Условия эксплуатации: параметры сети: | |
напряжение, % от ином |
от 90 до 110 |
сила тока, % от 1ном |
от 5 до 120 |
коэффициент мощности cosф |
от 0,5 до 1,0 |
частота, Гц |
от 49,6 до 50,4 |
температура окружающей среды в месте расположения ТТ и ТН, °С |
от +5 до +35 |
температура окружающей среды в месте расположения счетчиков, °С |
от +5 до +35 |
температура окружающей среды в месте расположения сервера БД, °С |
от +15 до +25 |
Надежность применяемых в АИИС КУЭ компонентов: для счетчиков типа СЭТ-4ТМ.03М: | |
среднее время наработки на отказ, ч, не менее |
220000 |
среднее время восстановления работоспособности, ч |
2 |
для счетчиков типа ПСЧ-4ТМ.05МК: | |
среднее время наработки на отказ, ч, не менее |
165000 |
среднее время восстановления работоспособности, ч |
2 |
для счетчиков типа Меркурий 230: | |
среднее время наработки на отказ, ч, не менее |
210000 |
среднее время восстановления работоспособности, ч |
2 |
для УСВ: | |
среднее время наработки на отказ, ч, не менее |
180000 |
среднее время восстановления работоспособности, ч |
2 |
для сервера БД: | |
среднее время наработки на отказ, ч, не менее |
50000 |
среднее время восстановления работоспособности, ч |
1 |
таблицы 3
1 |
2 |
Глубина хранения информации: | |
для счетчиков типов СЭТ-4ТМ.03М, ПСЧ-4ТМ.05МК: | |
тридцатиминутный профиль нагрузки в двух направлениях, сут, | |
не менее |
113 |
при отключении питания, лет, не менее |
40 |
для счетчиков типа Меркурий 230: | |
тридцатиминутный профиль нагрузки в двух направлениях, сут, | |
не менее |
85 |
при отключении питания, лет, не менее |
2 |
для сервера БД: | |
хранение результатов измерений и информации состояний | |
средств измерений, лет, не менее |
3,5 |
Надежность системных решений:
защита от кратковременных сбоев питания сервера БД с помощью источника бесперебойного питания;
резервирование каналов связи: информация о результатах измерений может передаваться в организации-участники оптового рынка электроэнергии по электронной почте.
В журналах событий фиксируются факты:
-
- журнал счетчиков: параметрирования; пропадания напряжения; коррекции времени в счетчиках.
-
- журнал сервера БД: параметрирования; пропадания напряжения;
коррекции времени в счетчиках и сервере БД; пропадание и восстановление связи со счетчиками.
Защищенность применяемых компонентов:
-
- механическая защита от несанкционированного доступа и пломбирование: счетчиков электрической энергии;
промежуточных клеммников вторичных цепей напряжения; испытательной коробки;
сервера БД.
-
- защита на программном уровне информации при хранении, передаче, параметрировании:
счетчиков электрической энергии;
сервера БД.
Возможность коррекции времени в: счетчиках электрической энергии (функция автоматизирована); сервере БД (функция автоматизирована).
Возможность сбора информации: о состоянии средств измерений;
о результатах измерений (функция автоматизирована).
Цикличность: измерений 30 мин (функция автоматизирована); сбора не реже одного раза в сутки (функция автоматизирована).
Знак утверждения типа
наносится на титульные листы эксплуатационной документации на АИИС КУЭ типографским способом.
Комплектность средства измерений
Комплектность АИИС КУЭ представлена в таблице 4.
Таблица 4 - Комплектность АИИС КУЭ
Наименование |
Обозначение |
Количество, шт./экз. |
Трансформаторы тока |
ТПОЛ-10 |
4 |
Трансформаторы тока |
ТОП-0,66 |
3 |
Трансформаторы напряжения |
НТМИ-6-66 |
2 |
Счетчики электрической энергии многофункциональные |
СЭТ-4ТМ.03М |
2 |
Счетчики электрической энергии многофункциональные |
ПСЧ-4ТМ.05МК |
1 |
Счетчики электрической энергии трехфазные статические |
Меркурий 230 |
1 |
Устройство синхронизации времени |
УСВ-3 |
1 |
Сервер БД |
— |
1 |
Методика поверки |
— |
1 |
Формуляр-паспорт |
АИИС.ТК-01-25.ПФ |
1 |
Сведения о методиках (методах) измерений
приведены в документе «Методика измерений электрической энергии с использованием АИИС КУЭ «Тейковская котельная», аттестованном ООО «ЭнергоПромРесурс», уникальный номер записи об аккредитации в реестре аккредитованных лиц RA.RU.312078.
Нормативные документы, устанавливающие требования к средству измерений
ГОСТ 22261-94 Средства измерений электрических и магнитных величин. Общие технические условия
ГОСТ Р 8.596-2002 ГСИ. Метрологическое обеспечение измерительных систем. Основные положения
Правообладатель
Общество с ограниченной ответственностью «ГАРАНТ ЭНЕРГО»
(ООО «ГАРАНТ ЭНЕРГО»)
ИНН 7709782777
Юридический адрес: 440039, Пензенская обл., г. Пенза, ул. Гагарина, стр. 11Б, к. 526 Телефон: (495) 134-43-21
Web-сайт: garant-energo.pro
E-mail: info@garant-energo.pro
Изготовитель
Общество с ограниченной ответственностью «ГАРАНТ ЭНЕРГО»
(ООО «ГАРАНТ ЭНЕРГО»)
ИНН 7709782777
Адрес: 440039, Пензенская обл., г. Пенза, ул. Гагарина, стр. 11Б, к. 526
Телефон: (495) 134-43-21
Web-сайт: garant-energo.pro
E-mail: info@garant-energo.pro
Испытательный центр
Общество с ограниченной ответственностью «ЭнергоПромРесурс»
(ООО «ЭнергоПромРесурс»)
Адрес: 143443, Московская обл., г. Красногорск, мкр. Опалиха, ул. Ново-Никольская, д. 57, офис 19
Телефон: (495) 380-37-61
E-mail: energopromresurs2016@gmail.com
об аккредитации в реестре аккредитованных лиц
Уникальный номер записи RA.RU.312047

УТВЕРЖДЕНО приказом Федерального агентства по техническому регулированию
и метрологии
08 августа лг 1618
от « » _ 2025 г. №____
Лист № 1
Всего листов 12
Регистрационный № 96064-25
ОПИСАНИЕ ТИПА СРЕДСТВА ИЗМЕРЕНИЙ
коммерческого
Система автоматизированная информационно-измерительная учета электроэнергии (АИИС КУЭ) АО «Карельский окатыш» 3-я очередь
Назначение средства измерений
Система автоматизированная информационно-измерительная коммерческого учета электроэнергии (АИИС КУЭ) АО «Карельский окатыш» 3-я очередь (далее - АИИС КУЭ) предназначена для измерений активной и реактивной электроэнергии, автоматизированного сбора, обработки, хранения, формирования отчетных документов и передачи полученной информации заинтересованным организациям в рамках согласованного регламента.
Описание средства измерений
АИИС КУЭ представляет собой многофункциональную двухуровневую автоматизированную систему с централизованным управлением и распределенной функцией измерений.
АИИС КУЭ включает в себя следующие уровни:
-
1- й уровень - измерительно-информационные комплексы (ИИК), включающие в себя измерительные трансформаторы тока (ТТ), измерительные трансформаторы напряжения (ТН), счетчики активной и реактивной электрической энергии (счетчики), вторичные измерительные цепи и технические средства приема-передачи данных.
-
2- й уровень - информационно-вычислительный комплекс (ИВК), включающий в себя сервер баз данных (БД) с программным обеспечением (ПО) «АльфаЦЕНТР», устройство синхронизации системного времени (УССВ), каналообразующую аппаратуру, автоматизированные рабочие места (АРМ), технические средства для организации локальной вычислительной сети и разграничения прав доступа к информации.
Первичные токи и напряжения трансформируются измерительными трансформаторами в аналоговые сигналы низкого уровня, которые по проводным линиям связи поступают на соответствующие входы электронного счетчика электрической энергии. В счетчике мгновенные значения аналоговых сигналов преобразуются в цифровой сигнал. По мгновенным значениям силы электрического тока и напряжения в микропроцессоре счетчика вычисляются мгновенные значения активной и полной мощности, которые усредняются за период 0,02 с. Средняя за период реактивная мощность вычисляется по средним за период значениям активной и полной мощности.
Электрическая энергия, как интеграл по времени от средней за период 0,02 с мощности, вычисляется для интервалов времени 30 мин.
Средняя активная (реактивная) электрическая мощность вычисляется как среднее значение мгновенных значений мощности на интервале времени усреднения 30 мин.
Цифровой сигнал с выходов счетчиков при помощи технических средств приема-передачи данных поступает на сервер БД, где осуществляется обработка измерительной информации, в частности вычисление электрической энергии и мощности с учетом коэффициентов трансформации ТТ и ТН, формирование и хранение поступающей информации, оформление отчетных документов.
Дополнительно сервер БД может принимать измерительную информацию в виде xml-файлов установленных форматов от ИВК прочих АИИС КУЭ, зарегистрированных в Федеральном информационном фонде, и передавать всем заинтересованным субъектам оптового рынка электроэнергии (ОРЭ), в том числе в программно-аппаратный комплекс АО «АТС» с электронной цифровой подписью субъекта ОРЭ.
Передача информации от сервера БД в программно-аппаратный комплекс АО «АТС» с электронной цифровой подписью субъекта ОРЭ, в филиал АО «СО ЕЭС» и в другие смежные субъекты ОРЭ производится по каналу связи с протоколом TCP/IP сети Internet в виде xml-файлов установленных форматов в соответствии с приложением 11.1.1 «Формат и регламент предоставления результатов измерений, состояний объектов измерений в АО «АТС», АО «СО ЕЭС» и смежным субъектам» к Положению о порядке получения статуса субъекта оптового рынка и ведения реестра субъектов оптового рынка электрической энергии и мощности.
АИИС КУЭ имеет систему обеспечения единого времени (СОЕВ), которая включает в себя часы счетчиков, часы сервера БД и УССВ. УССВ обеспечивает передачу шкалы времени, синхронизированной по сигналам глобальных навигационных спутниковых систем с национальной шкалой координированного времени РФ UTC(SU).
Сравнение показаний часов сервера БД с УCСВ осуществляется с периодичностью 1 раз в 30 мин. Корректировка часов сервера БД производится при расхождении показаний часов сервера БД с УCСВ более ±1 с.
Сравнение показаний часов счетчиков с часами сервера БД осуществляется с периодичностью 1 раз в 30 мин. Корректировка часов счетчиков производится при расхождении показаний часов счетчиков с часами сервера БД более ±2 с.
Журналы событий счетчиков и сервера БД отображают факты коррекции времени с обязательной фиксацией времени до и после коррекции или величины коррекции времени, на которую было скорректировано устройство.
Нанесение знака поверки на средство измерений не предусмотрено. Маркировка заводского номера АИИС КУЭ АО «Карельский окатыш» 3-я очередь наносится на этикетку, расположенную на тыльной стороне сервера БД, типографским способом. Дополнительно заводской номер 002 указывается в формуляре.
Программное обеспечение
В АИИС КУЭ используется программное обеспечение (ПО) «АльфаЦЕНТР». ПО «АльфаЦЕНТР» обеспечивает защиту измерительной информации паролями в соответствии с правами доступа. Метрологически значимая часть ПО и данные достаточно защищены с помощью специальных средств защиты от преднамеренных изменений. Уровень защиты ПО «АльфаЦЕНТР» от непреднамеренных и преднамеренных изменений - «высокий» в соответствии с Р 50.2.077-2014. Метрологически значимая часть ПО «АльфаЦЕНТР» указана в таблице 1.
Таблица 1 - Идентификационные данные ПО «АльфаЦ |
ЕНТР» |
Идентификационные данные (признаки) |
Значение |
Идентификационное наименование ПО |
ac metrology.dU |
Номер версии (идентификационный номер) ПО |
не ниже 12.01 |
Цифровой идентификатор ПО |
3e736b7f380863f44cc8e6f7bd211c54 |
Алгоритм вычисления цифрового идентификатора ПО |
MD5 |
Метрологические и технические характеристики
Состав измерительных каналов (ИК) и их основные метрологические и технические характеристики приведены в таблицах 2, 3.
Таблица 2 - Состав ИК АИИС КУЭ и их метрологические характеристики
Но мер ИК |
Наименование точки измерений |
Измерительные компоненты |
Сервер |
Вид электро-энергии |
Метрологические характеристики ИК | ||||
ТТ |
ТН |
Счетчик |
УССВ |
Границы допускаемой основной относительной погрешности (±5), % |
Границы допускаемой относительной погрешности в рабочих условиях (±5), % | ||||
1 |
2 |
3 |
4 |
5 |
6 |
7 |
8 |
9 |
10 |
1 |
КТП-2-26 6кВ, ввод 0,4 кВ, Т-1 |
ТТЭ-С-85 Кл.т. 0,5S 1000/5 Рег. № 54205-13 Фазы: А; В; С |
- |
AS3500-533-RAL-PB3- BD-GP Кл.т. 0,5S/1,0 Рег. № 58697-14 |
УССВ-2 Рег. № 54074-13 |
Сервер АО «Карельский окатыш» |
Активная Реак тивная |
1,0 2,1 |
3,3 5,6 |
2 |
КТП-2-30 6кВ, ввод 0,4 кВ, Т-1 ИП Шилов М. В. |
- |
- |
AS3500-134-RLM- PB2K-BD-GP Кл.т. 1,0/2,0 Рег. № 58697-14 |
Активная Реактивная |
1,0 2,0 |
3,3 6,2 | ||
3 |
КТП-2-37 6кВ, ввод 0,4 кВ, Т-1 ИП Шилов М. В. |
ТТИ-30 Кл.т. 0,5 150/5 Рег. № 81837-21 Фазы: А; В; С |
- |
AS3500-533-RAL-PB3- BD-GP Кл.т. 0,5S/1,0 Рег. № 58697-14 |
Активная Реактивная |
1,0 2,1 |
3,2 5,6 | ||
4 |
РП-14 10 кВ, РУ-10кВ, 1 СШ 10кВ, яч. 5 |
ТПЛ-10-М У2 Кл.т. 0,5S 300/5 Рег. № 47958-16 Фазы: А; С |
НТМК-10 Кл.т. 0,5 10000/100 Рег. № 355-49 Фазы: А^С |
Меркурий 230 ART-00 PQRSIDN Кл.т. 0,5S/1,0 Рег. № 23345-07 |
Активная Реактивная |
1,3 2,5 |
3,4 5,7 |
1 |
2 |
3 |
4 |
5 |
5 |
РП-14 10 кВ, РУ- 10кВ, 2 СШ 10кВ, яч. 10 |
ТПЛ-10 У3 Кл.т. 0,5 300/5 Рег. № 1276-59 Фазы: А; С |
НТМК-10 Кл.т. 0,5 10000/100 Рег. № 355-49 Фазы: АВС |
Меркурий 230 ART-00 PQRSIDN Кл.т. 0,5S/1,0 Рег. № 23345-07 |
6 |
РЩ-0,4 кВ АЗС АО «Карелиянефтепродукт», КЛ-0,4 кВ от яч. 2, РУ-0,4 кВ, КТП-1-20 10кВ |
Т-0,66 У3 Кл.т. 0,5S 100/5 Рег. № 52667-13 Фазы: А; В; С |
- |
AS3500-533-RAL-PB3- BD-GP Кл.т. 0,5S/1,0 Рег. № 58697-14 |
7 |
РЩ-0,4 кВ мойка АО «Карелиянефтепродукт», КЛ-0,4 кВ от яч. 2, РУ-0,4 кВ, КТП-1-20 10кВ |
Т-0,66 У3 Кл.т. 0,5S 100/5 Рег. № 52667-13 Фазы: А; В; С |
- |
AS3500-533-RAL-PB3- BD-GP Кл.т. 0,5S/1,0 Рег. № 58697-14 |
8 |
КТП-1-24 10кВ, ввод 0,4 кВ, Т-1 ИП Козлов А. И. |
ТТК-30 Кл.т. 0,5 200/5 Рег. № 56994-14 Фазы: А; В; С |
- |
Меркурий 230 ART-03 PQRSIDN Кл.т. 0,5S/1,0 Рег. № 23345-07 |
9 |
КТП-1-35 10кВ, ввод 0,4 кВ, Т-1 ГК «Трасса» |
Т-0,66 Кл.т. 0,5S 200/5 Рег. № 22656-07 Фазы: А; В; С |
- |
AS3500-533-RAL-PB3- BD-GP Кл.т. 0,5S/1,0 Рег. № 58697-14 |
10 |
ШР-1 0,4 кВ ООО «Кала я марь-япоят», КЛ-0,4 кВ от яч. 4, РУ-0,4 кВ, КТП-1-20 10кВ |
ТТИ-А Кл.т. 0,5 100/5 Рег. № 28139-12 Фазы: А; В; С |
- |
AS3500-533-RAL-PB3- BD-GP Кл.т. 0,5S/1,0 Рег. № 58697-14 |
6
УССВ-2
Рег. № 54074-13
Сервер АО «Карельский окатыш»
8 |
9 |
10 |
Актив- | ||
ная |
1,3 |
3,3 |
Реак- |
2,5 |
5,7 |
тивная | ||
Актив- | ||
ная |
1,0 |
3,3 |
Реак- |
2,1 |
5,6 |
тивная | ||
Актив- | ||
ная |
1,0 |
3,3 |
Реак- |
2,1 |
5,6 |
тивная | ||
Актив- | ||
ная |
1,0 |
3,2 |
Реак- |
2,1 |
5,6 |
тивная | ||
Актив- | ||
ная |
1,0 |
3,3 |
Реак- |
2,1 |
5,6 |
тивная | ||
Актив- | ||
ная |
1,0 |
3,2 |
Реак- |
2,1 |
5,6 |
тивная |
1 |
2 |
3 |
4 |
5 |
6 |
7 |
8 |
9 |
10 |
11 |
ШР-3 0,4 кВ ООО «Кала я марь-япоят», КЛ-0,4 кВ от яч. 6, РУ-0,4 кВ, КТП-1-20 10кВ |
ТТИ-А Кл.т. 0,5 200/5 Рег. № 28139-12 Фазы: А; В; С |
- |
AS3500-533-RAL-PB3- BD-GP Кл.т. 0,5S/1,0 Рег. № 58697-14 |
Актив ная Реактивная |
1,0 2,1 |
3,2 5,6 | ||
12 |
ШР-4 0,4 кВ ООО «Кала я марь-япоят», КЛ-0,4 кВ от яч.7, яч.8, РУ-0,4 кВ, КТП-1-20 10кВ |
Т-0,66 У3 Кл.т. 0,5S 400/5 Рег. № 52667-13 Фазы: А; В; С |
- |
AS3500-533-RAL-PB3- BD-GP Кл.т. 0,5S/1,0 Рег. № 58697-14 |
Актив ная Реактивная |
1,0 2,1 |
3,3 5,6 | ||
13 |
КТП-1-26-1 10кВ, РУ-0,4 кВ, 1 СШ 0,4 кВ, Ф.13, КЛ-0,4 кВ Костомукшский ОВО - филиал ФГКУ «ОВО войск национальной гвардии России по РК» |
ТТЕ-А Кл.т. 0,5S 50/5 Рег. № 73808-19 Фазы: А; В; С |
- |
AS3500-533-RAL-PB3- BD-GP Кл.т. 0,5S/1,0 Рег. № 58697-14 |
УССВ-2 Рег. № 54074-13 |
Сервер АО «Карельский окатыш» |
Актив ная Реактивная |
1,0 2,1 |
3,3 5,6 |
14 |
щит 0,4 кВ ИП Леушин А. А., КЛ-0,4 кВ от яч.12, РУ-0,4 кВ, КТП-1-20 10кВ |
Т-0,66 У3 Кл.т. 0,5 50/5 Рег. № 71031-18 Фазы: А; В; С |
- |
AS3500-533-RAL-PB3- BD-GP Кл.т. 0,5S/1,0 Рег. № 58697-14 |
Актив ная Реак тивная |
1,0 2,1 |
3,2 5,6 | ||
15 |
КТП-1-26-1 10кВ, РУ-0,4 кВ, 2 СШ 0,4 кВ, яч. 16, КЛ-0,4 кВ Пискарев А. С. |
ТТИ-А Кл.т. 0,5 50/5 Рег. № 28139-12 Фазы: А; В; С |
- |
AS3500-533-RAL-PB3- BD-GP Кл.т. 0,5S/1,0 Рег. № 58697-14 |
Активная Реактивная |
1,0 2,1 |
3,2 5,6 |
1 |
2 |
3 |
4 |
5 |
16 |
КТП-1-39 10кВ, ввод 0,4 кВ, Т-1 |
Т-0,66 У3 Кл.т. 0,5S 600/5 Рег. № 52667-13 Фазы: А; В; С |
- |
AS3500-533-RAL-PB3- BD-GP Кл.т. 0,5S/1,0 Рег. № 58697-14 |
17 |
ПС 6кВ, ввод 0,4 кВ, Т-1 теплоузел филиала ОАО «РЖД» |
- |
- |
AS220D-RML-KI-GP Кл.т. 1,0 Рег. № 56948-14 |
18 |
КТП-1-22 10кВ, ввод 0,4 кВ, Т-1 |
Т-0,66 Кл.т. 0,5 200/5 Рег. № 22656-07 Фазы: А; В; С |
- |
AS3500-533-RAL-PB3- BD-GP Кл.т. 0,5S/1,0 Рег. № 58697-14 |
19 |
щит 0,4 кВ физ. лицо Петошин Ю. Н., КЛ-0,4 кВ от яч.10, КТП-1-20 10кВ |
- |
- |
AS3500-134-RLM- PB2K-BD-GP Кл.т. 1,0/2,0 Рег. № 58697-14 |
20 |
щит 0,4 кВ физ. лицо Леушин А. А., КЛ-0,4 кВ от яч.11, КТП-1-20 10кВ |
- |
- |
AS3500-134-RLM- PB2K-BD-GP Кл.т. 1,0/2,0 Рег. № 58697-14 |
21 |
КТП-57-2 6кВ, РУ-0,4 кВ, 1 СШ 0,4 кВ, яч.13, КЛ-0,4 кВ ИП Ахтямов В.П. |
ТТИ-30 Кл.т. 0,5 200/5 Рег. № 28139-12 Фазы: А; В; С |
- |
Меркурий 230 ART-03 PQCSIDN Кл.т. 0,5S/1,0 Рег. № 23345-07 |
6
УССВ-2
Рег. № 54074-13
Сервер АО «Карельский окатыш»
8 |
9 |
10 |
Актив- | ||
ная |
1,0 |
3,3 |
Реак- |
2,1 |
5,6 |
тивная | ||
Актив- |
1,0 |
3,3 |
ная | ||
Актив- | ||
ная |
1,0 |
3,2 |
Реак- |
2,1 |
5,6 |
тивная | ||
Актив- | ||
ная |
1,0 |
3,3 |
Реак- |
2,0 |
6,2 |
тивная | ||
Актив- | ||
ная |
1,0 |
3,3 |
Реак- |
2,0 |
6,2 |
тивная | ||
Актив- | ||
ная |
1,0 |
3,2 |
Реак- |
2,1 |
5,6 |
тивная |
1 |
2 |
3 |
4 |
5 |
22 |
ВРУ-0,4 кВ АЗС, КЛ-0,4 кВ |
- |
- |
AS3500-134-RLM- PB2K-BD-GP Кл.т. 1,0/2,0 Рег. № 58697-14 |
23 |
КТП-1-40 10 кВ, ввод 0,4 кВ Т-1 ф.л. Козлов А. И. |
- |
- |
AS3500-134-RLM- PB2K-BD-GP Кл.т. 1,0/2,0 Рег. № 58697-14 |
24 |
КТП-1-44 10кВ, ввод 0,4 кВ, Т-1 ИП Габучков Р. С. |
- |
- |
AS3500-134-RLM- PB1K-BD-GP Кл.т. 1,0/2,0 Рег. № 58697-14 |
25 |
КТП-2-36 6кВ, ввод 0,4 кВ, Т-1 физ. лицо Шведов А.А. |
ТТЕ-30 Кл.т. 0,5 100/5 Рег. № 73808-19 Фазы: А; В; С |
- |
AS3500-533-RLM- PB3-BD-GP Кл.т. 0,5S/1,0 Рег. № 58697-14 |
26 |
КТП-1-26-3 10 кВ, РУ-0,4 кВ, яч.6, КЛ-0,4 кВ - ООО «Теком Проф» |
ТТК-А Кл.т. 0,5S 300/5 Рег. № 76349-19 Фазы: А; В; С |
- |
AS3500-533-RLM- PB3-BD-GP Кл.т. 0,5S/1,0 Рег. № 58697-14 |
27 |
КТП-1-26-1 10 кВ, РУ-0,4 кВ, 2 СШ 0,4 кВ, Ф.8, КЛ-0,4 кВ - ИП Михайлов Е. В. |
ТТЕ-А Кл.т. 0,5S 50/5 Рег. № 73808-19 Фазы: А; В; С |
- |
AS3500-533-RAL-PB3- BD-GP Кл.т. 0,5S/1,0 Рег. № 58697-14 |
6
УССВ-2
Рег. № 54074-13
Сервер АО «Карельский окатыш»
8 |
9 |
10 |
Актив ная |
1,0 |
3,3 |
Реак- |
2,0 |
6,2 |
тивная | ||
Активная |
1,0 |
3,3 |
Реак- |
2,0 |
6,2 |
тивная | ||
Активная |
1,0 |
3,3 |
Реак- |
2,0 |
6,2 |
тивная | ||
Активная |
1,0 |
3,2 |
Реак- |
2,1 |
5,6 |
тивная | ||
Активная |
1,0 |
3,3 |
Реак- |
2,1 |
5,6 |
тивная | ||
Активная |
1,0 |
3,3 |
Реак- |
2,1 |
5,6 |
тивная |
1 |
2 |
3 |
4 |
5 |
28 |
КТП-400 6 кВ, ввод 0,4 кВ Т-1 - ООО «СТК - Арктика» |
ТТИ-40 Кл.т. 0,5S 600/5 Рег. № 28139-12 Фазы: А; В; С |
- |
A1802RL-P4GB-DW- GP-4 Кл.т. 0,2S/0,5 Рег. № 31857-11 |
29 |
ГПП-1 110 кВ, ЗРУ-10 кВ, 2 СШ 10 кВ, яч.40, КЛ- 10 кВ КЛ-1-40 ООО «Надежда» |
ТПЛ-10-М У2 Кл.т. 0,5S 150/5 Ре г. № 47958-16 Фазы: А; С |
НАМИТ-10-2 Кл.т. 0,5 10000/100 Рег. № 16687-02 Фазы: А; С |
A1802RL-P4GB-DW- GP-4 Кл.т. 0,2S/0,5 Рег. № 31857-11 |
30 |
КТП-1-26-1 10 кВ, РУ-0,4 кВ, 2 СШ, Ф.9, КЛ-0,4 кВ ИП Козин А.В. |
ТТЕ-30 Кл.т. 0,5S 250/5 Рег. № 73808-19 Фазы: А; В; С |
- |
AS3500-533-RAL-PB3- BD-GP Кл.т. 0,5S/1,0 Рег. № 58697-14 |
6
УССВ-2
Рег. № 54074-13
Пределы допускаемой абсолютной погрешности часов компонентов АИИС КУЭ в рабочих условиях времени UTC(SU)
Сервер АО «Карельский окатыш»
8 |
9 |
10 |
Активная |
0,9 |
2,9 |
Реактивная |
1,9 |
4,6 |
Активная |
1,1 |
3,0 |
Реактивная |
2,3 |
4,7 |
Активная |
1,0 |
3,3 |
Реактивная |
2,1 |
5,6 |
относительно шкалы |
±5 с |
Примечания:
-
1. В качестве характеристик погрешности ИК установлены границы допускаемой относительной погрешности ИК при доверительной вероятности, равной 0,95.
-
2. Характеристики погрешности ИК указаны для измерений активной и реактивной электроэнергии на интервале времени 30 мин.
-
3. Погрешность в рабочих условиях указана для ИК №№ 1, 4, 6, 7, 9, 12, 13, 16, 26-30 для силы тока 2 % от Iном, для остальных ИК - для силы тока 5 % от 1ном; cos9 = 0,8инд.
-
4. Допускается замена ТТ, ТН и счетчиков на аналогичные утвержденных типов с метрологическими характеристиками не хуже, чем у перечисленных в таблице 2, при условии, что предприятие-владелец АИИС КУЭ не претендует на улучшение указанных в таблице 2 метрологических характеристик. Допускается замена УССВ на аналогичное утвержденного типа, а также замена сервера без изменения используемого ПО (при условии сохранения цифрового идентификатора ПО). Замена оформляется техническим актом в установленном собственником АИИС КУЭ порядке. Технический акт хранится совместно с настоящим описанием типа АИИС КУЭ как его неотъемлемая часть.
Таблица 3 - Основные технические
ИК
Наименование характеристики |
Значение |
1 |
2 |
Количество ИК |
30 |
Нормальные условия: параметры сети: | |
напряжение, % от ином |
от 95 до 105 |
сила тока, % от 1ном | |
для ИК № 1, 4, 6, 7, 9, 12, 13, 16, 26-30 |
от 1 до 120 |
для остальных ИК |
от 5 до 120 |
коэффициент мощности cosф |
0,9 |
частота, Гц |
от 49,8 до 50,2 |
температура окружающей среды, °С |
от +21 до +25 |
Условия эксплуатации: параметры сети: | |
напряжение, % от ином |
от 90 до 110 |
сила тока, % от 1ном | |
для ИК № 1, 4, 6, 7, 9, 12, 13, 16, 26-30 |
от 1 до 120 |
для остальных ИК |
от 5 до 120 |
коэффициент мощности cosф |
от 0,5 до 1,0 |
частота, Гц |
от 49,6 до 50,4 |
температура окружающей среды в месте расположения ТТ и ТН, °С |
от -45 до +40 |
температура окружающей среды в месте расположения счетчиков, °С |
от 0 до +40 |
температура окружающей среды в месте расположения сервера, °С |
от +15 до +25 |
Надежность применяемых в АИИС КУЭ компонентов: для счетчиков типов Альфа А1800, Альфа AS3500: | |
среднее время наработки на отказ, ч, не менее |
120000 |
среднее время восстановления работоспособности, ч |
2 |
для счетчиков типа Меркурий 230, Альфа AS220: | |
среднее время наработки на отказ, ч, не менее |
150000 |
среднее время восстановления работоспособности, ч |
2 |
для УССВ: | |
среднее время наработки на отказ, ч, не менее |
74500 |
среднее время восстановления работоспособности, ч |
2 |
для сервера: | |
среднее время наработки на отказ, ч, не менее |
70000 |
среднее время восстановления работоспособности, ч |
1 |
Глубина хранения информации: для счетчиков типа Альфа AS220: | |
тридцатиминутный профиль нагрузки, сут, не менее |
560 |
при отключении питания, лет, не менее |
30 |
для счетчиков типа Альфа AS3500: | |
тридцатиминутный профиль нагрузки, сут, не менее |
300 |
при отключении питания, лет, не менее |
30 |
для счетчиков типа Меркурий 230: | |
тридцатиминутный профиль нагрузки, сут, не менее |
85 |
при отключении питания, лет, не менее |
10 |
для счетчиков типа Альфа A1800: | |
тридцатиминутный профиль нагрузки, сут, не менее |
180 |
при отключении питания, лет, не менее |
30 |
Продолжение таблицы 3
для сервера: хранение результатов измерений и информации состояний средств измерений, лет, не менее

Надежность системных решений:
защита от кратковременных сбоев питания сервера с помощью источника бесперебойного питания;
резервирование каналов связи: информация о результатах измерений может передаваться в организации-участники оптового рынка электроэнергии по электронной почте.
В журналах событий фиксируются факты:
-
- журнал счетчиков: параметрирования; пропадания напряжения; коррекции времени в счетчиках.
-
- журнал сервера: параметрирования; пропадания напряжения;
коррекции времени в счетчиках и сервере; пропадание и восстановление связи со счетчиками.
Защищенность применяемых компонентов:
-
- механическая защита от несанкционированного доступа и пломбирование: счетчиков электрической энергии;
промежуточных клеммников вторичных цепей напряжения; испытательной коробки;
сервера.
-
- защита на программном уровне информации при хранении, передаче, параметрировании:
счетчиков электрической энергии; сервера.
Возможность коррекции времени в: счетчиках электрической энергии (функция автоматизирована); сервере (функция автоматизирована).
Возможность сбора информации:
о состоянии средств измерений;
о результатах измерений (функция автоматизирована).
Цикличность: измерений 30 мин (функция автоматизирована);
сбора 30 мин (функция автоматизирована).
Знак утверждения типа
наносится на титульные листы эксплуатационной документации на АИИС КУЭ типографским способом.
Комплектность средства измерений
Комплектность АИИС КУЭ представлена в таблице 4.
Таблица 4 - Комплектность АИИС КУЭ
Наименование |
Обозначение |
Количество, шт./экз. |
Трансформаторы тока измерительные 0,66 кВ |
ТТЭ-С-85 |
3 |
Трансформаторы тока измерительные |
ТТИ-30 |
3 |
Трансформаторы тока проходные |
ТПЛ-10-М У2 |
4 |
Трансформаторы тока проходные с литой изоляцией |
ТПЛ-10 У3 |
2 |
Трансформаторы тока |
Т-0,66 У3 |
15 |
Трансформаторы тока |
ТТК-30 |
3 |
Трансформаторы тока |
Т-0,66 |
6 |
Трансформаторы тока измерительные на номинальное напряжение 0,66 кВ |
ТТИ-А |
9 |
Трансформаторы тока измерительные на номинальное напряжение 0,66 кВ |
ТТИ-30 |
3 |
Трансформаторы тока измерительные на номинальное напряжение 0,66 кВ |
ТТИ-40 |
3 |
Трансформаторы тока измерительные |
ТТЕ-А |
6 |
Трансформаторы тока измерительные |
ТТЕ-30 |
6 |
Трансформаторы тока |
ТТК-А |
3 |
Трансформаторы напряжения |
НТМК-10 |
2 |
Трансформаторы напряжения |
НАМИТ-10-2 |
2 |
Счетчики электрической энергии трехфазные |
Альфа AS3500 |
23 |
Счетчики электрической энергии однофазные |
Альфа AS220 |
1 |
Счетчики электрической энергии трехфазные многофункциональные |
Альфа А1800 |
2 |
Счетчики электрической энергии трехфазные статические |
Меркурий 230 |
4 |
Устройства синхронизации системного времени |
УССВ-2 |
1 |
Сервер БД |
Сервер АО «Карельский окатыш» |
1 |
Методика поверки |
— |
1 |
Формуляр |
ЭНПР.411711.219.ФО |
1 |
Сведения о методиках (методах) измерений
приведены в документе «Методика измерений электрической энергии с использованием АИИС КУЭ АО «Карельский окатыш» 3-я очередь», аттестованном ООО «ЭнергоПромРесурс», уникальный номер записи об аккредитации в реестре аккредитованных лиц RA.RU.312078.
Нормативные документы, устанавливающие требования к средству измерений
ГОСТ 22261-94 Средства измерений электрических и магнитных величин. Общие технические условия
ГОСТ Р 8.596-2002 ГСИ. Метрологическое обеспечение измерительных систем. Основные положения
Правообладатель
Акционерное общество «Карельский окатыш»
(АО «Карельский окатыш»)
ИНН 1004001744
Юридический адрес: 186931, респ. Карелия, г. Костомукша, ш. Горняков, стр. 284 Телефон: (814) 593-55-35
W eb-сайт: karelskyokaty sh.severstal.com
E-mail: post@kostomuksha.ru
Изготовитель
Общество с ограниченной ответственностью «ЭнергоПромРесурс»
(ООО «ЭнергоПромРесурс»)
ИНН 5024145974
Адрес: 143443, Московская обл., г. Красногорск, мкр. Опалиха, ул. Ново-Никольская, д. 57, офис 19
Телефон: (495) 380-37-61
E-mail: energopromresurs2016@gmail.com
Испытательный центр
Общество с ограниченной ответственностью «ЭнергоПромРесурс»
(ООО «ЭнергоПромРесурс»)
Адрес: 143443, Московская обл., г. Красногорск, мкр. Опалиха, ул. Ново-Никольская, д. 57, офис 19
Телефон: (495) 380-37-61
E-mail: energopromresurs2016@gmail.com
Уникальный номер записи об аккредитации в реестре аккредитованных лиц RA.RU.312047

УТВЕРЖДЕНО приказом Федерального агентства по техническому регулированию
и метрологии
от « _^8 » 2025 г. №
Лист № 1
Всего листов 8
коммерческого
Регистрационный № 96065-25
ОПИСАНИЕ ТИПА СРЕДСТВА ИЗМЕРЕНИЙ
Система автоматизированная информационно-измерительная учета электроэнергии (АИИС КУЭ) ООО «УралСталь»
Назначение средства измерений
Система автоматизированная информационно-измерительная коммерческого учета электроэнергии (АИИС КУЭ) ООО «УралСталь» (далее - АИИС КУЭ) предназначена для измерений активной и реактивной электроэнергии, автоматизированного сбора, обработки, хранения, формирования отчетных документов и передачи полученной информации заинтересованным организациям в рамках согласованного регламента.
Описание средства измерений
АИИС КУЭ представляет собой многофункциональную двухуровневую автоматизированную систему с централизованным управлением и распределенной функцией измерений.
АИИС КУЭ включает в себя следующие уровни:
-
1- й уровень - измерительно-информационные комплексы (ИИК), включающие в себя измерительные трансформаторы тока (ТТ), измерительные трансформаторы напряжения (ТН), счетчики активной и реактивной электрической энергии (счетчики), вторичные измерительные цепи и технические средства приема-передачи данных.
-
2- й уровень - информационно-вычислительный комплекс (ИВК), включающий в себя сервер с программным комплексом (ПК) «Энергосфера», устройство синхронизации времени (УСВ), каналообразующую аппаратуру, автоматизированные рабочие места (АРМ), технические средства для организации локальной вычислительной сети
и разграничения прав доступа к информации.
Первичные токи и напряжения трансформируются измерительными трансформаторами в аналоговые сигналы низкого уровня, которые по проводным линиям связи поступают на соответствующие входы электронного счетчика электрической энергии. В счетчике мгновенные значения аналоговых сигналов преобразуются в цифровой сигнал. По мгновенным значениям силы электрического тока и напряжения в микропроцессоре счетчика вычисляются мгновенные значения активной и полной мощности, которые усредняются за период 0,02 с. Средняя за период реактивная мощность вычисляется по средним за период значениям активной и полной мощности.
Электрическая энергия, как интеграл по времени от средней за период 0,02 с мощности, вычисляется для интервалов времени 30 мин.
Средняя активная (реактивная) электрическая мощность вычисляется как среднее значение мгновенных значений мощности на интервале времени усреднения 30 мин.
Цифровой сигнал с выхода счетчика при помощи технических средств приема-передачи данных поступает на сервер, где осуществляется обработка измерительной информации, в частности вычисление электрической энергии и мощности с учетом коэффициентов трансформации ТТ и ТН, формирование и хранение поступающей информации, оформление отчетных документов.
Дополнительно сервер может принимать измерительную информацию в виде xml-файлов установленных форматов от ИВК прочих АИИС КУЭ, зарегистрированных в Федеральном информационном фонде, и передавать всем заинтересованным субъектам оптового рынка электроэнергии (ОРЭ), в том числе в программно-аппаратный комплекс АО «АТС» с электронной цифровой подписью субъекта ОРЭ.
Передача информации от сервера в программно-аппаратный комплекс АО «АТС» с электронной цифровой подписью субъекта ОРЭ, в филиал АО «СО ЕЭС» и в другие смежные субъекты ОРЭ производится по каналу связи с протоколом TCP/IP сети Internet в виде xml-файлов установленных форматов в соответствии с приложением 11.1.1 «Формат и регламент предоставления результатов измерений, состояний объектов измерений в АО «АТС», АО «СО ЕЭС» и смежным субъектам» к Положению о порядке получения статуса субъекта оптового рынка и ведения реестра субъектов оптового рынка электрической энергии и мощности.
АИИС КУЭ имеет систему обеспечения единого времени (СОЕВ), которая включает в себя часы счетчиков, часы сервера и УСВ. УСВ обеспечивает передачу шкалы времени, синхронизированной по сигналам глобальных навигационных спутниковых систем с национальной шкалой координированного времени РФ UTC(SU).
Сравнение показаний часов сервера с УСВ осуществляется не реже 1 раза в сутки. Корректировка часов сервера производится при расхождении показаний часов сервера с УСВ более ±1 с.
Сравнение показаний часов счетчиков с часами сервера осуществляется не реже 1 раза в сутки. Корректировка часов счетчиков производится при расхождении с часами сервера более ±1 с.
Журналы событий счетчиков и сервера отображают факты коррекции времени с обязательной фиксацией времени до и после коррекции или величины коррекции времени, на которую было скорректировано устройство.
Нанесение знака поверки на средство измерений не предусмотрено. Маркировка заводского номера АИИС КУЭ ООО «УралСталь» наносится на этикетку, расположенную на тыльной стороне сервера, типографским способом. Дополнительно заводской номер 001 указывается в формуляре.
Программное обеспечение
В АИИС КУЭ используется программный комплекс (ПК) «Энергосфера». ПК «Энергосфера» обеспечивает защиту измерительной информации паролями в соответствии с правами доступа. Метрологически значимая часть ПО и данные достаточно защищены с помощью специальных средств защиты от преднамеренных изменений. Уровень защиты ПК «Энергосфера» от непреднамеренных и преднамеренных изменений - «высокий» в соответствии с Р 50.2.077-2014. Метрологически значимая часть ПК «Энергосфера» указана в таблице 1.
Таблица 1 - Идентификационные данные ПК «Энергосфера»
Идентификационные данные (признаки) |
Значение |
Идентификационное наименование ПО |
Библиотека pso metr.dll |
Номер версии (идентификационный номер) ПО |
не ниже 1.1.1.1 |
Цифровой идентификатор ПО |
CBEB6F6CA69318BED976E08A2BB7814B |
Алгоритм вычисления цифрового идентификатора ПО |
MD5 |
Метрологические и технические характеристики
Состав измерительных каналов (ИК) и их основные метрологические и технические характеристики приведены в таблицах 2, 3.
Таблица 2 - Состав ИК АИИС КУЭ и их метрологические характеристики
Но мер ИК |
Наименование точки измерений |
Измерительные компоненты |
Сервер |
Вид электро-энергии |
Метрологические характеристики ИК | ||||
ТТ |
ТН |
Счетчик |
УСВ |
Границы допускаемой основной относительной погрешности (±5), % |
Границы допускаемой относительной погрешности в рабочих условиях (±5), % | ||||
1 |
2 |
3 |
4 |
5 |
6 |
7 |
8 |
9 |
10 |
1 |
КТП 6 кВ № 153, РУ-0,4 кВ, СШ 0,4 кВ, ВЛ-0,4 кВ в сторону ВРУ-0,4 кВ Офисного здания |
ТОП-М-0,66 Кл.т. 0,5 100/5 Рег. № 86760-22 Фазы: А; В; С |
- |
Меркурий 234 ARTMX2-03 DPBR.R Кл.т. 0,5S/1,0 Рег. № 75755-19 |
УСВ-3 Рег. № 64242-16 |
Сервер ООО «РН-Энерго» |
Активная Реак тивная |
1,0 2,1 |
3,2 5,6 |
2 |
КТП 6 кВ № 49, РУ-0,4 кВ, СШ 0,4 кВ, руб. 5, ВЛ-0,4 кВ в сторону ВРУ-0,4 кВ Производственного цеха |
ТОП-М-0,66 Кл.т. 0,5 200/5 Рег. № 71205-18 Фазы: А; В; С |
- |
Меркурий 234 ARTMX2-03 DPBR.R Кл.т. 0,5S/1,0 Рег. № 75755-19 |
Активная Реак тивная |
1,0 2,1 |
3,2 5,6 | ||
3 |
ПС 110 кВ Белорецк-110, РУ-6 кВ, 2 СШ 6 кВ, ВЛ-6 кВ ф. 45302 |
ТЛК-СТ-10 Кл.т. 0,5S 600/5 Рег. № 58720-14 Фазы: А; С |
НАМИ-10 Кл.т. 0,2 6000/100 Рег. № 11094-87 Фазы: А^С |
Меркурий 234 ARTM2-00 DPBR.R Кл.т. 0,5S/1,0 Рег. № 75755-19 |
Активная Реак тивная |
1,1 2,2 |
3,3 5,6 |
1 |
2 |
3 |
4 |
5 |
4 |
ПС 110 кВ Инструментальная, РУ-6 кВ, 2 СШ 6 кВ, яч. 15, КЛ-6 кВ |
ТЛК-СТ-10 Кл.т. 0,2S 300/5 Рег. № 58720-14 Фазы: А; С |
НТМИ-6-66 Кл.т. 0,5 6000/100 Рег. № 2611-70 Фазы: АВС |
Меркурий 234 ARTM2-00 DPBR.R Кл.т. 0,5S/1,0 Рег. № 75755-19 |
5 |
ПС 110 кВ Инструментальная, РУ-6 кВ, 2 СШ 6 кВ, яч. 16, КЛ-6 кВ |
ТЛК-СТ-10 Кл.т. 0,2S 150/5 Рег. № 58720-14 Фазы: А; С |
НТМИ-6-66 Кл.т. 0,5 6000/100 Рег. № 2611-70 Фазы: АВС |
Меркурий 234 ARTM2-00 DPBR.R Кл.т. 0,5S/1,0 Рег. № 75755-19 |
6 |
ПС 110 кВ Инструментальная, РУ-6 кВ, 2 СШ 6 кВ, яч. 5, КЛ-6 кВ |
ТЛК-СТ-10 Кл.т. 0,2S 300/5 Рег. № 58720-14 Фазы: А; С |
НТМИ-6-66 Кл.т. 0,5 6000/100 Рег. № 2611-70 Фазы: АВС |
Меркурий 234 ARTM2-00 DPBR.R Кл.т. 0,5S/1,0 Рег. № 75755-19 |
7 |
ПС 110 кВ Инструментальная, РУ-6 кВ, 1 СШ 6 кВ, яч. 29, КЛ-6 кВ |
ТЛК-СТ-10 Кл.т. 0,2S 200/5 Рег. № 58720-14 Фазы: А; С |
НТМИ-6-66 Кл.т. 0,5 6000/100 Рег. № 2611-70 Фазы: АВС |
Меркурий 234 ARTM2-00 DPBR.R Кл.т. 0,5S/1,0 Рег. № 75755-19 |
8 |
ПС 110 кВ Инструментальная, РУ-6 кВ, 1 СШ 6 кВ, яч. 33, КЛ-6 кВ |
ТЛК-СТ-10 Кл.т. 0,2S 300/5 Рег. № 58720-14 Фазы: А; С |
НТМИ-6-66 Кл.т. 0,5 6000/100 Рег. № 2611-70 Фазы: АВС |
Меркурий 234 ARTM2-00 DPBR.R Кл.т. 0,5S/1,0 Рег. № 75755-19 |
УСВ-3 Рег. № 64242-16
Сервер
ООО «РН-Энерго»
8 |
9 |
10 |
Активная |
1,0 |
2,3 |
Реак- |
1,8 |
4,2 |
тивная | ||
Активная |
1,0 |
2,3 |
Реак- |
1,8 |
4,2 |
тивная | ||
Активная |
1,0 |
2,3 |
Реак- |
1,8 |
4,2 |
тивная | ||
Активная |
1,0 |
2,3 |
Реак- |
1,8 |
4,2 |
тивная | ||
Активная |
1,0 |
2,3 |
Реак- |
1,8 |
4,2 |
тивная |
Пределы допускаемой абсолютной погрешности часов компонентов АИИС КУЭ в рабочих условиях относительно шкалы времени UTC(SU)
±5 с
Примечания:
-
1. В качестве характеристик погрешности ИК установлены границы допускаемой относительной погрешности ИК при доверительной вероятности, равной 0,95.
-
2. Характеристики погрешности ИК указаны для измерений активной и реактивной электроэнергии на интервале времени 30 мин.
-
3. Погрешность в рабочих условиях указана ИК №№ 1, 2 для силы тока 5 % от 1ном, для остальных ИК - для силы тока 2 % от 1ном; cos ф = 0,8инд.
-
4. Допускается замена ТТ, ТН и счетчиков на аналогичные утвержденных типов с метрологическими характеристиками не хуже, чем у перечисленных в таблице 2, при условии, что предприятие-владелец АИИС КУЭ не претендует на улучшение указанных в таблице 2 метрологических характеристик. Допускается замена УСВ на аналогичное утвержденного типа, а также замена сервера без изменения используемого ПО (при условии сохранения цифрового идентификатора ПО). Замена оформляется техническим актом в установленном собственником АИИС КУЭ порядке. Технический акт хранится совместно с настоящим описанием типа АИИС КУЭ как его неотъемлемая часть.
Таблица 3 - Основные технические
ИК
Наименование характеристики |
Значение |
1 |
2 |
Количество ИК |
8 |
Нормальные условия: параметры сети: | |
напряжение, % от ином |
от 95 до 105 |
сила тока, % от 1ном | |
для ИК №№ 1, 2 |
от 5 до 120 |
для остальных ИК |
от 1 до 120 |
коэффициент мощности cosф |
0,9 |
частота, Гц |
от 49,8 до 50,2 |
температура окружающей среды, °С |
от +15 до +25 |
Условия эксплуатации: параметры сети: | |
напряжение, % от ином |
от 90 до 110 |
сила тока, % от 1ном | |
для ИК №№ 1, 2 |
от 5 до 120 |
для остальных ИК |
от 1 до 120 |
коэффициент мощности cosф |
от 0,5 до 1,0 |
частота, Гц |
от 49,6 до 50,4 |
температура окружающей среды в месте расположения ТТ и ТН, °С |
от -45 до +40 |
температура окружающей среды в месте расположения счетчиков, °С |
от 0 до +40 |
температура окружающей среды в месте расположения сервера, °С |
от +15 до +25 |
Надежность применяемых в АИИС КУЭ компонентов: для счетчиков: | |
среднее время наработки на отказ, ч, не менее |
320000 |
среднее время восстановления работоспособности, ч |
2 |
для УСВ: | |
среднее время наработки на отказ, ч, не менее |
45000 |
среднее время восстановления работоспособности, ч |
2 |
для сервера: | |
среднее время наработки на отказ, ч, не менее |
50000 |
среднее время восстановления работоспособности, ч |
1 |
таблицы 3
1 |
2 |
Глубина хранения информации: | |
для счетчиков: | |
тридцатиминутный профиль нагрузки, сут, не менее |
170 |
при отключении питания, лет, не менее |
5 |
для сервера: | |
хранение результатов измерений и информации состояний | |
средств измерений, лет, не менее |
3,5 |
Надежность системных решений: защита от кратковременных сбоев питания сервера с помощью источника бесперебойного питания;
резервирование каналов связи: информация о результатах измерений может передаваться в организации-участники оптового рынка электроэнергии по электронной почте.
В журналах событий фиксируются факты:
-
- журнал счетчиков: параметрирования; пропадания напряжения; коррекции времени в счетчиках.
-
- журнал сервера: параметрирования; пропадания напряжения;
коррекции времени в счетчиках и сервере; пропадание и восстановление связи со счетчиками.
Защищенность применяемых компонентов:
-
- механическая защита от несанкционированного доступа и пломбирование: счетчиков электрической энергии;
промежуточных клеммников вторичных цепей напряжения; испытательной коробки;
сервера.
-
- защита на программном уровне информации при хранении, передаче, параметрировании:
счетчиков электрической энергии; сервера.
Возможность коррекции времени в: счетчиках электрической энергии (функция автоматизирована); сервере (функция автоматизирована).
Возможность сбора информации: о состоянии средств измерений; о результатах измерений (функция автоматизирована).
Цикличность: измерений 30 мин (функция автоматизирована); сбора не реже одного раза в сутки (функция автоматизирована).
Знак утверждения типа
наносится на титульные листы эксплуатационной документации на АИИС КУЭ типографским способом.
Комплектность средства измерений
Комплектность АИИС КУЭ представлена в таблице 4.
Таблица 4 - Комплектность АИИС КУЭ
Наименование |
Обозначение |
Количество, шт./экз. |
Трансформаторы тока |
ТОП-М-0,66 |
3 |
Трансформаторы тока |
ТОП-М-0,66 |
3 |
Трансформаторы тока |
ТЛК-СТ-10 |
12 |
Трансформаторы напряжения |
НАМИ-10 |
1 |
Трансформаторы напряжения |
НТМИ-6-66 |
2 |
Счетчики электрической энергии статические |
Меркурий 234 |
8 |
Устройства синхронизации времени |
УСВ-3 |
1 |
Сервер ООО «РН-Энерго» |
— |
1 |
Методика поверки |
— |
1 |
Формуляр |
ЭНПР.411711.225.ФО |
1 |
Сведения о методиках (методах) измерений
приведены в документе «Методика измерений электрической энергии с использованием АИИС КУЭ ООО «УралСталь», аттестованном ООО «ЭнергоПромРесурс», уникальный номер записи об аккредитации в реестре аккредитованных лиц RA.RU.312078.
Нормативные документы, устанавливающие требования к средству измерений
ГОСТ 22261-94 Средства измерений электрических и магнитных величин. Общие технические условия
ГОСТ Р 8.596-2002 ГСИ. Метрологическое обеспечение измерительных систем. Основные положения
Правообладатель
Общество с ограниченной ответственностью «УралСталь» (ООО «УралСталь»)
ИНН 7446050604
Юридический адрес: 455037, Челябинская обл., г. Магнитогорск, пр-кт Ленина, д. 89, офис 610
Телефон: (347) 924-13-00
E-mail: usteel@usteel.ru
Изготовитель
Общество с ограниченной ответственностью «РН-Энерго»
(ООО «РН-Энерго»)
ИНН 7706525041
Адрес: 143440, Московская обл., г.о. Красногорск, пгт. Путилково, территория Гринвуд, стр. 23, эт. 2, помещ. 129
Телефон: (495) 777-47-42
Факс: (499) 777-47-42
Web-сайт: www.m-energo.ru
E-mail: rn-energo@rn-energo.ru
Испытательный центр
Общество с ограниченной ответственностью «ЭнергоПромРесурс»
(ООО «ЭнергоПромРесурс»)
Адрес: 143443, Московская обл., г. Красногорск, мкр. Опалиха, ул. Ново-Никольская, д. 57, офис 19
Телефон: (495) 380-37-61
E-mail: energopromresurs2016@gmail.com
аккредитации в реестре аккредитованных лиц
об
Уникальный номер записи RA.RU.312047
