Методика поверки «Счетчики газа объемные диафрагменные RSE» (МП 208-052-2017)
Заместитель директора по производственной метрологии ФГУП «ВНИИМС»
Счетчики газа объемные диафрагменные RSE
Методика поверки
МП 208-052-2017 г. Москва
2017
1 Область примененияНастоящая методика распространяется на счетчики газа объемные диафрагменные RSE (далее - счетчики) и устанавливает методы и средства их первичной и периодической поверки.
Интервал между поверками 6 лет.
2 Нормативные ссылкиВ настоящей методике использованы ссылки на следующие нормативные документы:
ГОСТ 8.324 -2002 ГСИ. Счетчики газа. Методика поверки
ГОСТ 12.0.004-90 Система стандартов безопасности труда. Организация обучения безопасности труда. Общие положения
ГОСТ 12.1.005-88 Система стандартов безопасности труда. Общие санитарно-гигиенические требования к воздуху рабочей зоны
ГОСТ 2939-63 Газы. Условия для определения объема
Приказ Минпромторга России №1815 от 02 июля 2015 года «Порядок проведения поверки средств измерений, требования к знаку поверки и содержанию свидетельства о поверке»
РМГ 29-2013 ГСИ. Метрология. Основные термины и определения
Примечание - При пользовании настоящей методикой целесообразно проверить действие ссылочных нормативных документов в информационной системе общего пользования - на официальном сайте Федерального агентства по техническому регулированию и метрологии в сети Интернет или по ежегодно издаваемому информационному указателю «Национальные стандарты», который опубликован по состоянию на 1 января текущего года, и по соответствующим ежемесячно издаваемым информационным указателям, опубликованным в текущем году. Если ссылочный документ заменен (изменен), то при пользовании настоящим стандартом следует руководствоваться заменяющим (измененным) документом. Если ссылочный документ отменен без замены, то положение, в котором дана ссылка на него, применяется в части, не затрагивающей эту ссылку.
3 Термины, определения и обозначенияВ настоящей методике применены термины по ГОСТ 8.324 и РМГ 29.
4 Операции поверки-
4.1 При проведении поверки должны быть выполнены операции, указанные в таблице 1.
Таблица 1 - Операции, выполняемые при поверке
|
Операции поверки |
Вид поверки | |
|
первичная |
периодическая | |
|
Внешний осмотр |
Да |
Да |
|
Опробование |
Да |
Да |
|
Определение порога чувствительности |
Нет |
Да |
|
Определение относительной погрешности измерений объема газа |
Да |
Да |
|
Определение дополнительной погрешности счетчика, вызванной отклонением температуры измеряемого газа от нормальной |
Нет |
Да |
|
Проверка на воздействие постоянного магнитного поля |
Нет |
Да |
-
4.2 При проведении первичной поверки до ввода в эксплуатацию допускается проведение поверки на основании выборки. К счетчикам применим общий уровень контроля II при использовании AQL 1% по ГОСТ Р ИСО 2859-1-2007.
-
4.3 Каждая партия должна состоять из единиц продукции одного вида, класса, типоразмера и состава, произведенных в практически одинаковых условиях в один и тот же период времени.
-
4.4 Выбор единиц продукции для составления выборки проводят методом отбора простой случайной выборки после того, как все единицы продукции сформированы в партию.
-
4.5 Объемы партий и выборки, а также соответствующее им допустимое количество счетчиков не прошедших поверку, приведены в таблице 2.
Таблица 2
|
Объем партии, шт |
Объем выборки, шт |
Приемочное число, шт |
Браковочное число, шт |
|
51-90 |
13 |
0 |
1 |
|
91-150 |
20 |
0 |
1 |
|
151-280 |
32 |
1 |
2 |
|
281-500 |
50 |
1 |
2 |
|
501-1200 |
80 |
2 |
3 |
При поверке счетчиков применяют следующие средства поверки:
Рабочий эталон 1-го разряда по ГОСТ Р 8.618-2014 с пределами допускаемой относительной погрешности ±0,5% и диапазоном измерений от 0,016 до 10 м3/ч.
Поверочные установки любого принципа действия должны удовлетворять следующим требованиям:
избыточное давление (или разряжение), создаваемое установкой, должно превышать потери давления в средствах поверки, счетчике и соединительной арматуре;
установки должны иметь в своем составе средства измерений температуры и давления для приведения значений измеряемого объема установкой к стандартным условиям по ГОСТ 2939.
При отсутствии в составе установки средств измерений для контроля параметров окружающей среды применяют:
гигрометр психрометрический типа ВИТ-1, диапазон измерения относительной влажности от 20 до 90 %, погрешность ±7 %; диапазон измерений температуры от 0 до 25 °C, абсолютная погрешность ±0,2 °C;
барометр-анероид М 67, диапазон измерений от 81130 до 105320 Па (от 610 до 790 мм рт. ст.), абсолютная погрешность ±106 Па (±0,8 мм рт.ст.);
Все средства поверки должны поверены и (или) иметь свидетельства об аттестации.
Допускается применение аналогичных средств поверки, обеспечивающих определение метрологических характеристик поверяемых средств измерений с требуемой точностью.
6 Требования безопасности и требования к квалификации поверителейПри проведении поверки должны быть соблюдены требования безопасности, приведенные в эксплуатационной документации на средства поверки и поверяемый счетчик. Лица, проводящие поверку должны пройти инструктаж по технике безопасности согласно ГОСТ 12.0.004.
Все работы по монтажу и демонтажу счетчиков выполняют при неработающей поверочной установке. Перед монтажом должна быть проверена исправность заземления, разъемных соединений, кабелей связи и питания.
Конструкция соединительных элементов счетчика и поверочной установки должна обеспечивать надежность крепления счетчика и фиксацию его положения в течение всего цикла поверки.
Поверку должны осуществлять специалисты организаций, аккредитованных на право поверки, изучившие эксплуатационную документацию на поверяемый счетчик и инструкцию по технике безопасности. К проведению измерений при поверке и обработке результатов измерений допускают лиц изучивших настоящую методику.
7 Условия проведения поверкиПри проведении поверки соблюдают следующие условия:
воздух,
-
- поверочная среда природный газ
-
- температура окружающего воздуха и поверочной
среды, °C от 15 до 25
-
- относительная влажность воздуха, %
от 30 до 80 от 84,0 до 106,7
1
1
1
-
- атмосферное давление, кПа
-
- разность температур окружающего воздуха и поверочной среды, не более, °C
-
- скорость изменения температуры окружающего воздуха и поверочной среды, не более, °С/ч
-
- время выдержки счетчика до начала поверки при условиях проведения поверки, не менее, ч
Подготовка к работе средств поверки и поверяемого счетчика проводится в соответствии с прилагаемой к ним эксплуатационной документации.
-
9 Проведение поверки
При внешнем осмотре устанавливают соответствие счетчика следующим требованиям:
надписи и обозначения на счетчике должны быть четкими и соответствовать требованиям эксплуатационной документации на счетчик;
должны отсутствовать повреждения, влияющие на метрологические характеристики;
пломбы должны находиться на местах, определенных в технической документации на счетчик;
на маркировочной табличке счетчика должны быть нанесены товарный знак предприятия-изготовителя, знак утверждения типа, заводской номер, год изготовления, наибольшее избыточное давление, максимальный и минимальный расход.
-
9.2 Опробование
Для проверки герметичности присоединения счетчика к поверочной установке необходимо создать в системе избыточное давление, либо давление разряжения при перекрытой запорной арматуре после чего, выдержать в таком состоянии счетчик в течение 1 минуты. При этом показания датчика давления, который контролирует давление в системе, не должны изменяться.
9.2.2 Подтверждение соответствия программного обеспеченияОперация «Подтверждение соответствия программного обеспечения» включает:
определение идентификационного наименования программного обеспечения;
- определение номера версии (идентификационного номера) программного обеспечения.
Переключением функциональной кнопки на электронном отсчетном устройстве выбирают отображение информации о ПО. Результат подтверждения соответствия ПО считается положительным, если отображаемые на экране идентификационные данные ПО счетчика (идентификационное наименование ПО, номер версии (идентификационный номер) ПО соответствуют идентификационным данным, указанным в подразделе «Программное обеспечение» раздела «Описание средства измерений» описания типа счетчика представленные в таблице 3.
Таблица 3
|
Идентификационные данные (признаки) |
Значение | |
|
Интерфейс RF 169 МГц |
Интерфейс GSM/GPRS | |
|
Идентификационное наименование ПО |
RSE 169 |
RSE GSM |
|
Номер версии (идентификационный номер) ПО |
02.ХХ |
02.ХХ |
Проверку функционирования счетчика проводят, пропуская через него поток измеряемой среды со значением расхода не менее 10% от максимального. При этом показания отсчетного устройства должны равномерно увеличиваться. Данную операцию повторяют при максимальном значении расхода.
9.2.4 Определение потери давленияПотери давления на поверяемом счетчике определяют при максимальном значении расхода счетчика с помощью U-образного мановакуумметра или других средств измерений перепада давления, входящих в состав поверочной установки.
Потери давления на счетчике допускается определять одновременно при определении относительной погрешности как разность давлений на входе и выходе счетчика.
Результаты поверки считают положительными, если потери давления не превышают допускаемых значений указанных в РЭ или паспорте на счетчик определенного типоразмера.
9.3 Определение порога чувствительностиПри определении основной относительной погрешности счетчика определяют порог чувствительности, т. е. наименьший расход, при котором счетчик регистрирует непрерывные показания.
9.4 Определение относительной погрешности измерений объема газа-
9.4.1 Перед проведением поверки счетчики переводят в режим «Поверка» путем выбора соответствующего пункта в меню электронного отсчетного устройства.
-
9.4.2 Относительная погрешность счетчика при измерении объема газа осуществляется методом сравнения объема воздуха (газа), измеренного счетчиком и поверочной установкой на расходах в соответствии с таблицей 4.
Таблица 4 - Значения расходов для типоразмеров счетчиков при определении относительной погрешности измерений
|
Типоразмер |
Расход, м /ч | |||
|
Qmin |
0,1 Qhom |
Qhom |
Qmax | |
|
Gl,6 |
0,016 |
0,16 |
1,6 |
2,5 |
|
G2,5 |
0,025 |
0,25 |
2,5 |
4 |
|
G4 |
0,04 |
0,4 |
4 |
6 |
|
G6 |
0,06 |
0,6 |
6 |
10 |
При определении относительной погрешности на каждом из расходов необходимо выполнить одновременно два условия: значение контрольного объема измеряемой среды должно быть не менее 0,01 м3, а значение времени накопления объема должно быть не менее 100 с.
Отклонение расходов, задаваемых эталонной установкой от вышеприведенных значений, не должны превышать:
-
- для Q тах - минус 5 %;
-
- для Q min - плюс 5 %;
-
- для остальных расходов ± 3 %.
-
9.4.3 При каждом значении расхода поверку проводят до трех раз. Если по результатам первого измерения основная относительная погрешность счетчика не превышает предела допускаемой относительной погрешности, повторные измерения не проводят. В противном случае измерения повторяют и за результат принимают среднее арифметическое из полученных значений.
-
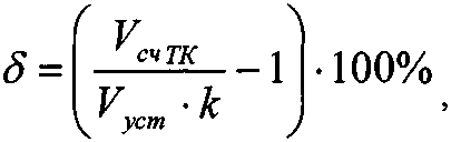
9.4.4 Основную относительную погрешность измерений объема газа для счетчиков, установленных в режим коррекции объема газа к плюс 20 °C, вычисляют по формуле 1:

(1)
где VC4tk - объем газа, измеренный счетчиком, приведенный к температуре +20 °C, м3;
VyCT - объем газа, измеренный эталонной установкой, м3;
к - поправочный коэффициент приведения к температуре Тк - +20 °C,
7к + 273,15 ~ Тп +273,15’ ®где Тп - температура окружающего воздуха в условиях поверки, °C
-
9.4.5 Результаты поверки счетчика считают положительным, если относительная погрешность измерений объема газа в диапазонах расхода не превышает:
Qmhh < Q < 0,1 Qhom ± 3 %
0,lQHOM<Q<QMaKC ±1,5%
-
9.5 Определение дополнительной относительной погрешности счетчика, вызванной отклонением температуры измеряемого газа от нормальной
-
9.5.1 Для определения основной относительной погрешности счетчиков газа применяют эталонные установки с возможностью подключения системы автоматического регулирования температуры (далее — САРТ) потока газа на входе в испытуемый счетчик для охлаждения и подогрева рабочей среды, обеспечивающей поддержание заданной температуры потока газа ±3,0 °C на расходе (?ном в диапазоне значений температуры газа от минус 25 до 50 °C.
-
9.5.2 Основную относительную погрешность счетчика определяют методом сличения объема, измеренного эталонной установкой при нормальных условиях измерения, приведенного к условиям измерения испытуемого счетчика и объема, измеренного испытуемым счетчиком при отклонении рабочей температуры потока газа от нормальной.
-
9.5.3 Счетчик подключают к эталонной установке через САРТ, обеспечивающий регулирование температуры потока газа. Устанавливают расход воздуха через счетчик газа в соответствии со значениями расхода (?ном с допускаемым отклонением значения расхода ± 5 % от номинального значения. Устанавливают с помощью САРТ температуру потока газа минус 25 °C.
Производят измерение объема газа эталонной установкой и счетчиком, температуры газа в условиях измерения эталонной установки и счетчика. Определяют относительную погрешность 5.25 по формуле 1.
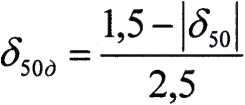
Определяют дополнительную погрешность счетчика, вызванную отклонением температуры измеряемого газа от нормальной на каждые 10 °C по формуле 3.
, 1.5-К25|-25д ” 4 О)
-
9.5.4 Повторяют процедуру по п. 9.5.3 для температуры потока газа 50 °C.
Определяют дополнительную погрешность счетчика, вызванную отклонением температуры измеряемого газа от нормальной на каждые 10 °C по формуле 4.

(4)
Если значения [5.25] и [§50] не превышают 1,5 %, то значение дополнительной погрешности считают равным 0.
Значения максимальной дополнительной погрешности счетчика газа, вызванной отклонением температуры измеряемого газа от нормальной на каждые 10 °C, не должны превышать ±0,4 %.
9.6 Проверка на воздействие постоянного магнитного поляПроверку работоспособности счетчика при воздействии на корпус магнитного поля проводят для нескольких мест установки на корпус счетчика постоянного магнита. Места для установки магнита выбирают:
-
- в районе расположения показывающего устройства счетчика газа;
-
- на верхнем кожухе между соединительными штуцерами;
-
- на нижнем кожухе произвольно.
Для проверки используют магнит цилиндрической формы с раскрепляющим рым-болтом. Рекомендуют использовать постоянный магнит с остаточной магнитной индукцией Вг = 1,14 Тл.
Проверку работоспособности счетчика с воздействием на корпус магнитного поля проводят, пропуская через него поток газа со значением расхода (10 ± 5) % от номинального. При этом счетчик должен работать устойчиво, без заеданий. Показания счетного устройства должны равномерно увеличиваться.
10 Оформление результатов поверки-
10.1 Результаты поверки оформляют протоколом поверки, форма которого приведена в Приложении А, или распечатывают протокол поверки из архива памяти поверочной установки.
-
10.2 Положительные результаты первичной поверки оформляют записью в паспорте на счетчик в соответствии с Приказом Минпромторга России №1815. Положительные результаты периодической поверки оформляют записью в паспорте, и/или свидетельством о поверке в соответствии с Приказом Минпромторга России № 1815.
Знак поверки наносится на пломбы, ограничивающие доступ к передней панели электронного отсчетного устройства в соответствии с Приложением Б, и в паспорт на счетчик или на свидетельство о поверке
9.3. При отрицательных результатах первичной поверки счетчик считают непригодным к применению и в эксплуатацию не допускают. При отрицательных результатах периодической поверки счетчик считают непригодным к применению, знак поверки гасят и оформляют извещение о непригодности счетчика с указанием причин в соответствии с Приказом Минпромторга России №1815. Л
Начальник отдела ФГУП «ВНИИМС»
Заместитель начальник отдела ФГУП «ВНИИМС»
Иполитов
М. Шаронов
Приложение А (рекомендуемое)
Форма протокола поверки
Протокол поверки счетчиков газа_______________
Наименование и номер СИ:_________________
-
1 Внешний осмотр:_____________________
-
2 Опробование:
-
2.1 Проверка герметичности________________
-
2.2 Подтверждение соответствия программного обеспечения
-
Таблица 1
|
Идентификационные данные (признаки) |
Значение |
|
Идентификационное наименование ПО | |
|
Номер версии (идентификационный номер) ПО | |
|
Цифровой идентификатор ПО | |
|
Другие идентификационные данные |
2.3 Проверка функционирования:____________________
2.4 Проверка потери давления:_____________________
3. Определение дополнительной погрешности счетчика, вызванной отклонением
температуры измеряемого газа от нормальной
|
VyCT, м |
VC4, м |
5у, %/Ю°С | |
|
-25 °C | |||
|
50 °C |
4 Определение относительной погрешности измерений объема газа
|
QyCT> м3/ч |
Тэт, °C |
Y, % |
p 1 атм, кПа |
АР, кПа |
V ’ уст, м3 |
vC4, м3 |
Sv, % | |
|
Qmin | ||||||||
|
0,1 Qhom | ||||||||
|
Qhom | ||||||||
|
Qmax |
Результат поверки:________________
Поверитель__________________________/________________________________________I
(подпись)
Приложение Б (обязательное)

Рисунок Б.1 - Обозначение мест для нанесения знака поверки
11
