Методика поверки «КОМПАРАТОРЫ МАССЫ МСМ» (МП 2301-0157-2015)
УТВЕРЖДАЮ
Д.И. Менделеева»

2015 г.
КОМПАРАТОРЫ МАССЫ МСМ
Методика поверки
МП №2301-0157-2015
4г.Ь. (ЬЪ*3'Руководитель лаборатории госэталонов и научных исследований в области измерений массы и силы ФГУП «ВНИИМ им. Д.И. Менделеева»
__ А.Ф. Остривной « // » 2015г.
г. С.-Петербург 2015 г.
СОДЕРЖАНИЕ
Приложение А. Форма протокола поверки компаратора
Настоящая методика поверки распространяется на компараторы массы МСМ фирмы «Sartorius Lab Instruments GmbH & Co.KG », Германия, и устанавливает методы и средства их первичной поверки при ввозе в страну, после ремонта и периодической поверки в процессе эксплуатации.
Интервал между поверками - 1 год.
1 Операции и средства поверки-
1.1 При проведении поверки должны быть выполнены следующие операции и применены средства измерений с характеристиками, указанными в таблице 1.
Таблица 1
Наименование операции |
Номер пункта методики поверки |
Средства поверки и их технические характеристики |
Обязательность проведения операций при первичной и периодической поверке |
1. Внешний осмотр |
6.1 |
- |
да |
2. Опробование |
6.2 |
В соответствии с Руководством по эксплуатации |
да |
3. Проверка соответствия программного обеспечения |
6.3 |
- |
да |
4. Определение СКО результата измерений разности масс |
6.4 |
Гири 1-го разряда по ГОСТ 8.021-2015, номинальная масса гирь выбирается по таблице 2 |
да |
Для контроля параметров окружающего воздуха должны быть применены следующие средства:
|
Примечание - Средства поверки, на которые дана ссылка в таблице 1, могут быть заменены аналогичными, обеспечивающими требуемую точность и пределы измерений.
-
1.2 Значения СКО результата измерений разности масс, номинальные значения массы нагрузки, применяемых при поверке, приведены в таблице 2.
Таблица 2
Обозначение модификации компаратора |
Наибольшая допускаемая нагрузка, г |
Дискретность отсчета, d, мг |
Допускаемое значение СКО, не более, при нагрузках |
Номинальное значение массы нагрузки при определении СКО, г | |
МСМ6.7, MCM6.7-DAkkS |
6,1 |
0,0001 |
цо 2 г свыше 2 г |
0,2 мкг 0,3 мкг |
2 5 |
МСМ36, МСМЗб-DAkkS |
31 |
0,001 |
цо 3,1 г свыше 3,1 г |
0,7 мкг 1,5 мкг |
2 20 |
МСМ66, МСМбб-DAkkS |
61 |
0,001 |
цо 6,1 г свыше 6,1 г |
0,7 мкг 2 мкг |
5 50 |
МСМ106, МСМЮб-DAkkS |
111 |
0,001 |
цо 11 г свыше 11 г |
0,7 мкг 2 мкг |
10 100 |
МСМ605, MCM605-DAkkS |
610 |
0,01 |
цо 61 г от 61 до 203 г свыше 203 г |
10 мкг 15 мкг 20 мкг |
50 200 500 |
МСМ1005, MCM1005-DAkkS |
1110 |
0,01 |
цо 111 г свыше 111 г |
15 мкг 20 мкг |
100 1000 |
МСМ1004, MCM1004-DAkkS |
1110 |
0,1 |
до 111 г свыше 111 г |
0,05 мг 0,07 мг |
100 1000 |
MCM2004, MCM2004-DAkkS |
2500 |
0,1 |
до 250 г свыше 250 г |
0,07 мг 0,1 мг |
200 2000 |
MCM5004, MCM5004-DAkkS |
5100 |
0,1 |
до 510 г свыше 510 г |
0,3 мг 0,5 мг |
500 5000 |
MCM5003, MCM5003-DAkkS |
5100 |
1 |
до 510 г свыше 510 г |
0,5 мг 0,8 мг |
500 5000 |
MCM10K3, МСМЮКЗ-DAkkS |
11000 |
1 |
до 1,1 кг свыше 1,1 кг |
0,8 мг 1 мг |
1000 10000 |
MCM40K3, MCM40K3-DAkkS |
41000 |
1 |
до 4,1 кг свыше 4,1 кг |
|
2000 20000 |
MCM60K3, MCM60K3-DAkkS |
64000 |
2 |
до 6,4 кг свыше 6,4 кг |
4 мг 6 мг |
5000 50000 |
MCM60K2, MCM60K2-DAkkS |
64000 |
10 |
10 мг |
50000 |
-
2.1 Обслуживающий персонал, допущенный к работе с компаратором, должен изучить «Руководство по эксплуатации компаратора» и знать правила работы с электрооборудованием напряжением до 1000 В.
-
2.2 Не допускается эксплуатировать компаратор в помещениях, где есть опасность взрыва от электрической искры.
-
2.3 Компаратор подключаются к электросети через блок питания. Сначала следует подсоединить блок питания к компаратору и после подключить его к электросети.
-
2.4 Запрещается при включенном компараторе присоединять (отсоединять) блок весовой к блоку электронному, а также присоединять (отсоединять) периферийные устройства к разъему интерфейса.
-
3.1 При проведении поверки должны быть соблюдены следующие условия:
-
- температура окружающего воздуха (20 ± 5)0 С;
-
- изменение температуры в помещении в течение 1 часа не должно превышать ± 0,3 °C;
-
- относительная влажность воздуха 40 70 %;
-
- отсутствие воздушных потоков и вибраций;
-
- отсутствие воздействия прямых солнечных лучей, осветительных приборов или нагревателей;
-
- отсутствие воздействия агрессивных химических паров;
-
- наличие виброустойчивого изолированного фундамента для установки компараторов.
-
4.1 При подготовке к проведению поверки должны быть выполнены следующие операции:
-
- время выдержки распакованных компараторов в помещении перед подключением в сеть должно быть менее 12 часов;
-
- компараторы должны быть включены в сеть и выдержаны во включенном состоянии не менее 12 часов.
-
6.1 Внешний осмотр
-
6.1.1 При внешнем осмотре должно быть установлено соответствие компараторов следующим требованиям:
-
- обеспечение сохранности лакокрасочных покрытий;
-
- наличие маркировки и комплектующих изделий согласно комплекту поставки.
6.2 Опробование
При опробовании компараторы приводят в рабочее состояние. Индикация показаний на дисплее должна быть четкой и исправной.
Калибровка / юстировка компараторов должна быть выполнена в соответствии с Руководством по эксплуатации компараторов.
-
6.3 Подтверждение соответствия программного обеспечения.
Для подтверждения соответствия программного обеспечения на этапе поверки для однозначной идентификации ПО достаточно определения только номера версии (идентификационного номера) ПО.
Версия ПО взвешивающего модуля (Версия весов) и ПО модуля терминала (Версия устройства индикации) высвечиваются при обращении к одноименному подпункту меню (Меню—^Информация о приборе—^Версия).

Рисунок - Версия ПО взвешивающего модуля (Версия весов) и ПО модуля терминала (Версия устройства индикации)
Номер версии программного обеспечения должен быть не ниже, указанного в таблице 1
Таблица!.
Идентификационные данные (признаки) |
Значение | |
ПО взвешивающего модуля |
ПО модуля терминала | |
Идентификационное наименование ПО |
Версия весов |
Версия устройства индикации |
Номер версии (идентификационный номер ПО) |
00-55-ХХ |
01-60-ХХ |
Цифровой идентификатор ПО |
- |
- |
Алгоритм вычисления цифрового идентификатора ПО |
- |
- |
Примечание - XX - это специальный символ модификаций, связанный с внесением дополнений в метрологически незначимую часть ПО. |
Результаты подтверждения соответствия программного обеспечения заносят в Протокол.
-
6.4 Определение СКО результата измерений разности масс
-
6.4.1 СКО результата измерений разности масс определяют нагрузками, номинальные значения масс которых указаны в таблице 2, в следующей последовательности:
-
- установить нулевые показания нажатием клавиши «ТАРА»;
-
- поместить в центр платформы компаратора нагрузку;
-
- после стабилизации показаний обнулить показания нажатием клавиши «ТАРА»;
-
- снять нагрузку и после стабилизации показаний снова поставить в центр платформы, закрыть дверцы ветрозащитной витрины;
-
- после стабилизации показаний по истечении оптимального времени для считывания результата снять показание (рекомендуется сделать несколько предварительных циклов сличений) и записать в графу А / протокола (приложение А);
-
- продолжать снимать показания, нагружая и разгружая компаратор через равные промежутки времени, по схеме АВА (в качестве эталонной гири А и поверяемой гири В используется одна и та же гиря).
Количество циклов сличений АВА п=6. Всего 11 нагружений. Циклы АВА взаимозависимые.
-
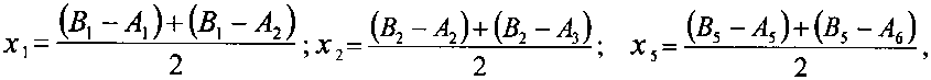
6.4.2 Вычисляют и записывают в протокол значение первых разностей:
(BI-A1), (Bi-A^),.............(Bj-AJ, (Bi-Ai+1)
где i=1....5
Вычисляют вторые разности хп по формулам:

полученные значения записывают в протокол.
-
6.4.3 Вычисляют среднее арифметическое значение из 6 разностей хп по формуле:
5
-
6.4.4 Вычисляют СКО по формуле:
-х„)2
СКО результата измерений разности масс S не должно превышать значений, указанных в таблице 2.
-
6.4.5 Для компараторов имеющих два значения СКО выполнить операции по п.п. 6.4.1 - 6.4.4 для второй нагрузки.
7. Оформление результатов поверки
7.1 Положительные результаты поверки должны оформляться свидетельством о поверке в установленном порядке. Знак поверки в виде наклейки наносят на боковую поверх-

Рисунок - Место нанесения знака поверки
В свидетельстве о поверке указывают значение среднего квадратического отклонения СКО результата измерений разности масс.
7.2 В случае отрицательных результатов компаратор к применению не допускается и выдается извещение о непригодности. Выданное ранее свидетельство должно быть аннулиро
вано.
ПРИЛОЖЕНИЕ А
(обязательное)
Форма протокола поверки компаратора массы
Протокол №________от« »_________20 г
поверки компаратора массы МСМ
Заказчик |
№ свид компаратора |
t,°C | ||||
Модель компар; |
Зав. № |
h, % | ||||
Изготовитель |
фирма «Sartorius Lab Instruments GmbH & Co.KG», Германия |
Значение массы нагрузки: | ||||
Методика поверки: МП №2301-0157-2014 |
Допускаемое значение СКО: |
1. Подтверждение соответствия программного обеспечения:
- проверка пломбировки компаратора (соотв/ не соотв):_____________
-
- номер версии ПО взвешивающего модуля:_____________(соотв/ не соотв)_____________
-
- номер версии ПО терминала:______________(соотв/ не соотв)_____________
2. Определение СКО компаратора
j | соотв.
Поверитель:_________
(подпись)

______________ «___»
(фамилия)
__________20 г.
№ цикла |
Показания компаратора при нагрузке, кг |
Первая разность, г 10), кг |
Вторая разность х„, г (д-4)+(Д-4.,) 2 ’ | |
1 |
А | |||
В | ||||
А | ||||
2 | ||||
В | ||||
А | ||||
3 | ||||
В | ||||
А | ||||
4 | ||||
В | ||||
А | ||||
5 | ||||
В | ||||
А | ||||
Среднее арифметическое значение из 5 разностей: х = "~} = | ||||
1^(х; -хл)2 СКО результата измерений разности масс S =] —---------= I 4 |
не соотв
8