Методика поверки «Комплексы фиксации нарушений ПДД "Астра-Трафик"» (651-18-005 МП)
УТВЕРЖДАЮ
Первый заместитель генерального директора -аместитель по научной работе
Г? '*■ fT а =? * * " 5 * г
, % Q г
А.Н. Щипунов
ФГУП «ВНИИФТРИ»
<S.S У>^сг2018 г.
Комплексы фиксации нарушений ПДД «Астра-Трафик»
Методика поверки
651-18-005 МП
2018 г.
ОГЛАВЛЕНИЕ
1. ОБЩИЕ ПОЛОЖЕНИЯ
-
1.1. Настоящая методика распространяется на комплексы фиксации нарушений ПДД «Астра-Трафик» (далее по тексту комплексы), изготавливаемые ООО «Служба Мониторинга Юг», г. Ставрополь, и устанавливает объем и методы первичной и периодической поверок.
-
1.2. Интервал между поверками - два года.
2. ОПЕРАЦИИ ПОВЕРКИ
-
2.1. При проведении поверки должны быть выполнены операции, указанные в таблице 1.
-
2.2. В случае получения отрицательных результатов по пунктам таблицы 1 комплекс бракуется и направляется в ремонт.
Таблица 1
|
№ |
Наименование операций |
Номер пункта методики поверки |
Проведение операции при: | |
|
первичной поверке или поверке после ремонта |
периодической поверке | |||
|
1 |
Внешний осмотр |
8.1 |
+ |
+ |
|
Определение метрологических характеристик: | ||||
|
2 |
Определение абсолютной погрешности измерений интервалов времени |
8.3.1 | ||
|
3 |
Определение диапазона и погрешности измерений скорости безрадарным методом (по видеокадрам) |
8.3.2 |
+ |
+ |
|
4 |
Определение погрешности измерений скорости на протяженном участке дороги |
8.3.3 |
+ |
+ |
|
5 |
Определение абсолютной инструментальной погрешности определений координат |
8.3.4 |
+ |
+ |
2.3 Допускается проводить поверку СИ на пункты из таблицы 1 не в полном объеме. Определение пунктов проведения поверки определяется поставкой Комплекса Заказчику.
3. СРЕДСТВА ПОВЕРКИ
-
3.1. При проведении поверки должны применяться средства поверки, указанные в таблице 2.
Таблица 2
|
№ пунктов методики поверки |
Наименование рабочих эталонов или вспомогательных средств поверки; номер документа регламентирующего технические требования к рабочим эталонам или вспомогательным средствам; разряд по государственной поверочной схеме и (или) метрологические и основные технические характеристики средства поверки |
|
8.3.1 |
Источник первичного точного времени УКУС-ПИ 02ДМ (per. № 60738-15): пределы допускаемой погрешности синхронизации шкалы времени выходного сигнала частотой 1 Гц (1 PPS) относительно шкалы времени UTC(SU) в режиме синхронизации по сигналам ГНСС ГЛОНАСС/GPS ± 1мкс; Осциллограф цифровой АКИП-4115/1A (per. № 51561-12):
|
|
мВ/дел | |
|
8.3.2 |
Лазерный дальномер LEICA DISTO D510 (per. № 41142-09):
пределы допускаемой погрешности измерения расстояний ± (от 1,0 до 8,0) мм Частотомер электронно-счетный 43-63/1 (per. № 9084-90):
|
|
8.3.3, 8.3.4 |
Аппаратура навигационно-временная потребителей глобальных навигационных спутниковых систем ГЛОНАСС/GPS/GALILEO/SBAS NV08C-CSM-DR (per. № 52614-13):
|
3.2. Применяемые при поверке средства измерений должны быть поверены, исправны и иметь свидетельства о поверке.
-
3.3. Допускается применение других средств измерений, обеспечивающих проведение измерений с требуемой точностью.
4. ТРЕБОВАНИЯ К КВАЛИФИКАЦИИ ПОВЕРИТЕЛЕЙ
-
4.1. К проведению поверки могут быть допущены лица, имеющие высшее или среднее техническое образование, аттестованные в качестве поверителей в области радиотехнических измерений установленным порядком.
5. ТРЕБОВАНИЯ БЕЗОПАСНОСТИ
-
5.1. Во время подготовки к поверке и при ее проведении необходимо соблюдать правила техники безопасности и производственной санитарии, правила техники безопасности при эксплуатации электроустановок и требования, установленные технической документацией на используемые при поверке образцовые и вспомогательные средства поверки.
6. УСЛОВИЯ ПОВЕРКИ
-
6.1. При проведении поверки должны соблюдаться следующие условия: температура окружающего воздуха от минус 10 до 35 °C;
относительная влажность от 30 до 80 %;
атмосферное давление от 84 до 106 кПа.
7. ПОДГОТОВКА К ПОВЕРКЕ
-
7.1. Поверитель должен изучить руководство по эксплуатации поверяемого комплекса и используемых средств поверки.
8. ПРОВЕДЕНИЕ ПОВЕРКИ
-
8.1. Внешний осмотр
При проведении внешнего осмотра проверяют соответствие комплекса следующим требованиям:
- отсутствие механических повреждений и ослабление элементов, четкость фиксации их положения;
-
- чёткость обозначений, чистоту и исправность разъёмов и гнёзд, наличие и целостность печатей и пломб;
-
- наличие маркировки согласно требованиям эксплуатационной документации;
-
- соответствие идентификационных признаков ПО приведенным в описании типа СИ.
-
8.1.1. Результаты поверки считать положительными, если комплекс удовлетворяет выше перечисленным требованиям.
-
8.2. Идентификация программного обеспечения
-
8.2.1. Проверку соответствия заявленных идентификационных данных программного обеспечения (ПО) комплекса проводить в следующей последовательности:
-
-
- проверить идентификационное наименование ПО в соответствии с руководством по эксплуатации;
-
- проверить номер версии (идентификационный номер) ПО в соответствии с руководством по эксплуатации.
8.2.2. Результаты поверки считать положительными, если идентификационные данные ПО соответствуют идентификационным данным, приведенным в таблице 3.
Таблица 3
|
Идентификационное данные (признаки) |
Значение |
|
Идентификационное наименование ПО |
Астра-Трафик |
|
Номер версии (идентификационный номер ПО) |
Не ниже v.1.01 beta |
8.3. Определение метрологических характеристик
-
8.3.1. Определение абсолютной погрешности измерений интервалов времени.
-
8.3.1.1. Собрать измерительную схему согласно рисунку 1.
Рисунок 1
-
8.3.1.2. Убедиться, что эталонный источник первичного точного времени УКУС-ПИ 02ДМ синхронизирован со шкалой времени UTC (SU).
-
8.3.1.3. Настроить двухканальный осциллограф:
-
8.3.1.4. Установить коэффициенты горизонтального отклонения 1 вольт/ деление для обоих каналов осциллографа.
-
8.3.1.5. Установить типы входов «постоянный ток» (DC).
-
8.3.1.6. Установить развертку 500 мкс/деление.
-
8.3.1.7. Установить тип синхронизации «автоматическая», «по заднему фронту», «источник канал 1».
-
8.3.1.8. По изображению на экране осциллографа определить разность задних фронтов секундных импульсов.
-
8.3.1.9. Результаты поверки считать положительными, если разность задних фронтов секундных импульсов не превышает ±10 мс.
-
-
При получении отрицательных результатов дальнейшее проведение поверки прекращают, комплекс бракуют и направляют в ремонт.
-
8.3.2. Определение погрешности измерений скорости безрадарным методом (по видеокадрам)
-
8.3.2.1. Определение абсолютной погрешности формирования интервалов между кадрами при измерении скорости.
-
8.3.2.1.1. Собрать измерительную схему согласно рисунку 2.

-
-
Рисунок 2
-
8.3.2.1.2. Включить видеодатчик из состава комплекса.
-
8.3.2.1.3. Включить частотомер и селектор синхроимпульсов и выждать 10 минут. Установить параметры вывода результатов измерений в микросекундах. Регулируя чувствительность на входе частотомера, добиться устойчивого измерения периода следования кадровых синхроимпульсов.
-
8.3.2.1.4. Произвести три измерения интервала между кадрами. Для каждого измерения рассчитать абсолютную погрешность формирования интервалов между кадрами по формуле (1).
ДТ=Т^-ТИЗЛ1, (1)
где Тф - формируемое комплексом значение интервала между кадрами;
Тим - измеренное значение интервала между кадрами.
-
8.3.2.2. Результаты поверки считать положительными, если для всех проведенных измерений значения абсолютной погрешности формирования интервалов между кадрами находится в пределах ±10 мкс.
-
8.3.2.3. Определение погрешности измерений скорости движения транспортных средств
-
8.3.2.3.1. Для скоростей ТС в диапазоне от 100 до 310 км/ч определяется относительная погрешность измерений скорости по видеокадрам как сумма относительной погрешности формирования интервалов между кадрами и относительной погрешности измерений пройденного пути. Для скоростей от 10 до 100 км/ч определяется абсолютная погрешность измерений скорости по видеокадрам.
-
8.3.2.3.1.1. Рассчитать время, за которое ТС проходит зону контроля минимальной протяженности по формуле (2):
-
-
Tj = UWH/Vj, (2)
где LMHH - минимальная протяженность зоны контроля (12 м);
Vj - скорость движения ТС от 10 до 310 км/ч в зоне контроля, выраженная в м/с.
-
8.3.2.3.1.2. Относительную погрешность измерений времени прохождения ТС зоны контроля рассчитать по формуле (3):
5tj- 100% х ДТ/Tj, (3)
где ДТ - абсолютная погрешность формирования интервалов между кадрами, определенная в п.8.3.2.1.4;
Tj - интервал времени, за который ТС проходит зону контроля минимальной протяженности, определенный в п. 8.3.2.3.1.1.
-
8.3.2.3.1.3. Расположить метку с ГРЗ в зоне контроля (ближе к началу зоны) по направлению к видеокамере (согласно схеме, приведенной на рисунке 3):
Комплекс



|
Li |
Lsi2 |
|
Lsil | |
Рисунок 3
-
8.3.2.3.1.4. Установить дальномер на штативе к направлению пластины ГРЗ вне кадра видеоизображения. В ПО комплекса нажать кнопку измерения пройденного пути.
-
8.3.2.3.1.5. Провести измерение расстояния L3ii дальномером до пластины ГРЗ.
-
8.3.2.3.1.6. Переместить метку с ГРЗ в зоне контроля (ближе к концу зоны). В ПО комплекса нажать кнопку измерения пройденного пути и получить значение расстояния Li между метками, рассчитанное комплексом.
-
8.3.2.3.1.7. Провести измерение расстояния Loi2 дальномером до пластины ГРЗ.
-
8.3.2.3.1.8. Повторить измерения расстояний Li и La, не менее двух раз (п. 8.3.2.3.1.2-8.3.2.3.1.7).
-
8.3.2.3.1.9. Рассчитать относительную погрешность измерений расстояния между метками для каждого измерения по формуле (4):
5L, = 100%x(L3i - L,)/L3i, (4)
где Li - расстояния между метками, измеренное комплексом;
L3i. расстояния между метками, измеренное дальномером, равное La, j-La,2;
L3,i, Lo.2 - расстояния от дальномера до первой и второй метки.
-
8.3.2.3.1.10. Рассчитать относительную погрешность измерений скорости для значений скорости Vj = 120, 250, 310 км/ч по формуле (5):
8Vj = 5т, +8Li, (5)
где 5т - относительная погрешность формирования интервалов между кадрами, определяемая по п.8.3.2.3.1.2.
-
8.3.2.3.1.11. Рассчитать значение абсолютной погрешности измерений скорости для значений скорости Vj = 10, 60, 100 км/ч по формуле (6):
AVj = VjxSVj/100%,
(6)
где Vj- скорость ТС в зоне контроля, выраженная в м/с.
-
8.3.2.3.2. Результаты поверки считать положительными, если значения абсолютной погрешности измерений скорости от 10 до 100 км/ч находятся в пределах ± 1 км/ч, а значения относительной погрешности измерений скорости для скоростей свыше 100 км/ч до 310 км/ч находятся в пределах ± 1 %.
При получении отрицательных результатов дальнейшее проведение поверки прекращают, комплекс бракуют и направляют в ремонт.
8.3.3. Определение погрешности измерений скорости на протяженном участке дороги
-
8.3.3.1. Определение погрешности измерений скорости на протяженном участке дороги проводится сравнением значения скорости измеренной комплексом и значения скорости с эталонного навигационного приемника. Для скоростей ТС от 10 до 100 км/ч определяется абсолютная погрешность измерения скорости, для скоростей ТС от 100 до 310 км/ч определяется относительная погрешность.
-
8.3.3.2. Подключить эталонный навигационный приемник к персональному компьютеру с установленным программным обеспечением для записи данных в файл с эталонного навигационного приемника, и разместить их в автомобиле.
-
8.3.3.3. Установить частоту выдачи данных эталонным навигационным приемником (темп решения) 10 Гц. Начать запись данных с эталонного навигационного приемника.
-
8.3.3.4. Проехать на автомобиле контролируемый участок дороги не менее 3 раз с разными скоростями, при этом две скорости должны быть минимально и максимально возможными на данном участке дороги.
Рекомендуется выбирать минимально и максимально возможные скорости движения автомобиля основываясь, в первую очередь, на обеспечении безопасности участников движения на контролируемом участке дороги во время поверки.
-
8.3.3.5. Остановить запись данных с эталонного навигационного приемника.
-
8.3.3.6. По данным с комплекса определить время фиксации автомобиля на въезде и выезде с контролируемого участка дороги для всех проездов.
-
8.3.3.7. Выбрать из записанных данных с эталонного навигационного приемника данные, соответствующие интервалам времени нахождения автомобиля на контролируемом участке дороги для всех проездов.
-
8.3.3.8. Определить среднюю скорость движения автомобиля на контролируемом участке дороги по данным с эталонного навигационного приемника по формуле (7):

(7)
где КЭ/ - значение скорости на контролируемом участке дороги по данным с эталонного навигационного приемника для /-го проезда, выраженное в км/ч;
Vj(i) - значение мгновенной скорости по данным с эталонного навигационного приемника для /-го проезда, выраженное в км/ч;
N - количество значений мгновенной скорости по данным с эталонного навигационного приемника для /-го проезда.
-
8.3.3.9. Рассчитать значение абсолютной погрешности измерений скорости на контролируемом участке дороги по формуле (8):


(8)
где - значение скорости на контролируемом участке дороги, измеренное комплексом для z-ro проезда, выраженное в км/ч;
-
8.3.3.10. Рассчитать относительную погрешность измерений скорости на контролируемом участке дороги по формуле (9):
ЛК
(9)
-
8.3.3.11. Результаты поверки считать положительными, если значения абсолютной погрешности измерений скорости от 10 до 100 км/ч находятся в пределах ± 1 км/ч, а значения относительной погрешности измерений скорости для скоростей свыше 100 км/ч до 310 км/ч находятся в пределах ± 1 %.
При получении отрицательных результатов дальнейшее проведение поверки прекращают, комплекс бракуют и направляют в ремонт.
8.3.4. Определение абсолютной инструментальной погрешности определений координат
-
8.3.4.1. Подключить эталонный навигационный приемник к персональному компьютеру с предварительно установленным программным обеспечением для записи текущих навигационных параметров, полученных от эталонного навигационного приемника. Включить эталонный навигационный приемник в соответствии с его инструкцией по эксплуатации и добиться появления на экране значения UTC (SU) времени и координат, соответствующих ретранслируемому сигналу.
-
8.3.4.2. Осуществить запись NMEA сообщений с частотой 1 сообщение в 1 с для эталонного приемника и поверяемого измерителя в течение 5 минут.
-
8.3.4.3. Определить систематическую составляющую погрешности определения координат для строк, в которых значение PDOP < 3, по формулам (10) - (14):


(Ю)
(Н)
(12)
(13)
где В - широта, L - долгота;
B(j)3n , Ь(/)Эи - значение координаты в j-ом измерении, определенное эталонным приемником;
B(/J, L(// - значение координаты в j-ом измерении, определенное измерителем;
kB(j), Л Л (/9- погрешность измерения координаты в j-ом измерении;
8В, 6L - систематическую составляющую погрешности определения координат;
N - количество измерений;
j - номер измерения.
-
8.3.4.4. Определить среднее квадратическое отклонение (СКО) случайной составляющей погрешности определения координат по формулам (14), (15):
(14)
Х(ДТ(7-)-&)
7=1
(15)
-
8.3.4.5. Перевести значения погрешностей определения координат в плане (широты и долготы) из угловых секунд в метры по формулам (16). (17):
- для широты:

(16)
- для долготы:
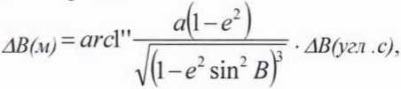
,,, а(1-е2 (cos5
ДЦм)= arc\ —*-----
(17)
где a - большая полуось эллипсоида, м:
е - первый эксцентриситет эллипсоида:
1" = 0.000004848136811095359933 радиан (arc 1").
-
8.3.4.6. Определить погрешность (по уровню вероятности 0.95) определения координат. для широты и долготы по формулам (18), (19):
(18)
(19)
-
8.3.4.7. Результаты поверки считать положительными, если значения погрешности (с доверительной вероятностью 0.95) определения координат находятся в пределах ±5 м. В противном случае комплекс дальнейшей поверке не подвергается, бракуется и направляется в ремонт.
9. ОФОРМЛЕНИЕ РЕЗУЛЬТАТОВ ПОВЕРКИ
-
9.1. На комплекс, прошедший поверку с положительными результатами, выдается свидетельство о поверке установленной формы.
-
9.2. При отрицательных результатах поверки комплекс к применению не допускается. свидетельство о поверке аннулируется и на комплекс выдается извещение о непригодности с указанием причины непригодности.
Начальник НИО-6

В.И. Добровольский
10
