Методика поверки «Государственная система обеспечения единства измерений Установки для измерения объёмной активности радиоактивных газов УДАС-04А» (MП 1500.63-21)
СОГЛАСОВАНО
Главный метролог - начальник ЦМИ
А.В. Журавлев
МЕТРОЛОГИИ и
ИСПЫТАНИЙ „/§
„ « Зс » Сисц'‘/у\с\ 2021 г.
л -
.7^9 и du
Государственная система обеспечения единства измерений
Установки для измерения объёмной активности радиоактивных газов УДАС-04А
Методика поверки
МП 1500.63-21
г. Москва
2021 г.
1 ОБЩИЕ ПОЛОЖЕНИЯНастоящая методика поверки распространяется на установки для измерения объемной активности радиоактивных газов УДАС-04А (далее - УДАС-04А), изготовленные обществом с ограниченной ответственностью «НТЦ Амплитуда», г. Москва, Зеленоград, и устанавливает методы и средства, обеспечивающие реализацию методики поверки (первичной при выпуске из производства и после ремонта и периодической поверки в процессе эксплуатации).
При поверке обеспечивается прослеживаемость поверяемых УДАС-04А к Государственному первичному эталону единиц активности и объемной активности нуклидов в бета-активных газах ГЭТ 20-2014 методом прямых измерений с применением рабочего эталона - радиометра газов в соответствии с Государственной поверочной схемой для средств измерений активности и объемной активности бета-активных газов, утвержденной приказом Росстандарта от 29.12.2018 № 2827, и к Государственному первичному эталону единиц активности радионуклидов, удельной активности, потока альфа-, бета-частиц и фотонов радионуклидных источников ГЭТ 6-2016 методом косвенных измерений в соответствии с Государственной поверочной схемой для средств измерений активности и объемной активности бета-активных газов, утвержденной приказом Росстандарта от 29.12.2018 № 2827, с применением радионуклидных источников альфа- и бета-излучения - рабочих эталонов 2 разряда по Государственной поверочной схеме, утвержденной приказом Росстандарта от 29.12.2018 № 2841.
Интервал между поверками составляет 2 года.
2 ПЕРЕЧЕНЬ ОПЕРАЦИЙ ПОВЕРКИ-
2.1 При проведении поверки должны выполняться операции, указанные в таблице 1.
Таблица 1 - Перечень операций при проведении поверки
|
Наименование операций |
Номер пункта методики поверки |
Операции, выполняемые при поверке: | |
|
первичной |
периодической | ||
|
Внешний осмотр средства измерений |
7 |
Да |
Да |
|
Подготовка к поверке и опробование средства измерений |
8 |
Да |
Да |
|
Проверка программного обеспечения |
9 |
Да |
Да |
|
Определение метрологических характеристик средства измерений: Проверка диапазона измерений объёмной активности бета-излучающих газов и |
10.1.1 |
Да |
Нет |
|
определение основной относительной погрешности измерений с применением рабочего эталона - радиометра газа Проверка диапазона измерений объёмной активности бета-излучающих газов и определение основной относительной |
10.1.2 |
Нет |
Да |
|
погрешности измерений с применением источников типа 1 СО |
. . л | ||
|
Подтверждение соответствия средства измерений метрологическим требованиям при проведении поверки с применением рабочего эталона - радиометра газа |
11.1 |
Да |
Нет |
|
Подтверждение соответствия средства измерений метрологическим требованиям при проведении поверки с применением источников типа 1С0 |
11.2 |
Нет |
Да |
|
Оформление результатов поверки |
12 - |
Да |
Да |
-
2.2 По заявлению владельца УДАС-04А или лица, представившего ее на поверку, допускается проводить поверку на любом из поддиапазонов измерений, указанных в таблице 2.
Таблица 2 - Поддиапазоны измерений УДАС-04А
|
Параметр |
Значение параметра | |||
|
Номер поддиапазона измерений, к |
1 |
2 |
3 |
4 |
|
Поддиапазоны измерения объемной активности бета-излучающих радионуклидов, Бк/м3 |
От Г104 до |
От Г102 до 1-Ю4 |
От Г104 до 11O10 |
От 1 -1010 до 3-Ю10 |
-
3.1 Поверка должна проводиться при нормальных условиях по ГОСТ 8.395-80 Государственная система обеспечения единства измерений. Нормальные условия измерений при поверке. Общие требования:
-
- температура окружающего воздуха, °C от 15 до 25;
-
- относительная влажность воздуха при 35 °C и более
низких температурах без конденсации влаги, %, не более от 30 до 80;
-
- атмосферное давление, кПа (мм рт. ст.) от 84 до 106 (от 630 до 795).
-
4.1 Поверку могут проводить сотрудники (поверители) организаций, аккредитованных на право поверки средств измерений характеристик ионизирующих излучений и ядерных констант, ознакомленные с руководством по эксплуатации УДАС-04А и допущенные к работам с закрытыми источниками ионизирующих излучений в установленном порядке.
-
4.2 Поверка проводится одним (и более) поверителем.
Таблица 3 - Основные и вспомогательные средства поверки
|
Номер пункта методики поверки |
Наименование и тип (условное обозначение) основного или вспомогательного средства поверки; обозначение нормативного документа, регламентирующего технические требования, и (или) метрологические и основные технические характеристики средства поверки |
|
10.1.1 |
Рабочий эталон в соответствии с Государственной поверочной схемой для средств измерений активности и объемной активности бета-активных газов, утвержденной приказом Росстандарта от 29.12.2018 № 2827 - радиометр газов; диапазон измерений объемной активности бета-активных газов от 5 103 до 5 • 1012 Бк/м3, пределы допускаемой относительной погрешности ±10 % |
|
10.1.1 |
Газ 85Кг, 1 ампула типа Г-1, ГОСТ 25057-81, активность не менее 105 6 7 8 Бк |
|
10.1.2 |
Рабочие эталоны не ниже 2-го разряда по Государственной поверочной схеме, утвержденной приказом Росстандарта от 29.12.2018 № 2841 - радионуклидные радиометрические источники бета-излучения 1С0 активностью от 10 до 5,6-Ю5 Бк:
|
|
8 |
Термогигрометр ИВА-6Н (регистрационный номер в Федеральном информационном фонде по обеспечению единства измерений 46434-11) |
5.2 Допускается применение аналогичных средств поверки (основных и вспомогательных), с метрологическими и техническими характеристиками, обеспечивающими требуемую точность передачи единиц величин поверяемым УДАС-04А.
-
5.3 Используемые эталонные средства измерений должны быть поверены или аттестованы в установленном порядке.
-
7.1 При проведении внешнего осмотра устанавливают:
-
- подтверждение соответствия внешнего вида УДАС-04А согласно описанию типа;
-
- наличие маркировки (наименование или товарный знак предприятия-изготовителя, тип и заводской номер УДАС-04А) и исправных пломб на корпусе УДАС-04А;
-
- отсутствие механических повреждений корпуса, органов управления и соединительных кабелей;
-
- наличие клеммы заземления.
-
7.2 Результаты операции поверки считать положительными, если УДАС-04А соответствует требованиям, приведенным в пункте 7.1 методики поверки.
-
7.3 При нарушении требований п. 7.1 УДАС-04А к дальнейшей поверке не допускается.
-
8.1 При подготовке к поверке необходимо выполнить следующие подготовительные работы:
изучить эксплуатационную документацию на УДАС-04А;
изучить эксплуатационную документацию на средства поверки;
провести измерения температуры, относительной влажности, давления воздуха в месте проведения поверки УДАС-04А. Результаты измерений занести в протокол поверки;
-
- подготовить УДАС-04А в соответствии с п. 2.2 Руководства по эксплуатации АЖНС.412123.009РЭ (далее-РЭ);
-
- подготовить к работе все средства измерений в соответствии с технической документацией на них;
-
- заземлить все приборы и оборудование, применяемые при поверке, путем соединения клеммы заземления с шиной защитного заземления помещения.
-
8.2 При опробовании провести проверку работоспособности УДАС-04А, для этого необходимо в соответствии с п. 2.2.1 РЭ включить УДАС-04А. При включении УДАС-04А происходит самотестирование.
-
8.3 Результаты операции поверки считать положительными, если автоматическое самотестирование при включении установки не выявило неисправностей УДАС-04А.
-
9.1 Для подтверждения соответствия программного обеспечения (далее - ПО) УДАС-04А требованиям, указанным в описании типа, необходимо провести проверку идентификационных данных встроенного ПО. Для этого провести следующие операции:
-
- включить УДАС-04А, дождаться установления рабочего режима;
-
- считать с дисплея УДАС-04А идентификационное наименование и версию ПО.
-
9.2 Результаты операции поверки считать положительными, если идентификационные
данные ПО УДАС-04А соответствуют данным, приведенным в таблице 4.
Таблица 4 - Идентификационные данные программного обеспечения
|
Идентификационные данные (признаки) |
Значение |
|
Идентификационное наименование ПО |
УДАС-04А |
|
Номер версии (идентификационный номер) ПО |
V1.X.Y* |
|
* 1 - метрологически значимая часть; X.Y - метрологически незначимая часть. | |
-
10 ОПРЕДЕЛЕНИЕ МЕТРОЛОГИЧЕСКИХ ХАРАКТЕРИСТИК
Проверку проводят двумя способами:
-
- с применением рабочего эталона - радиометра газа (далее - рабочий эталон) - при первичной поверке;
-
- с применением рабочих эталонов не ниже 2-го разряда - источников радионуклидных радиометрических бета-излучения 1С0 (далее - источник 1С0) - при периодической поверке.
-
10.1.1 Проверка диапазона измерений объёмной активности бета-излучающих газов и определение основной относительной погрешности измерений с применением рабочего эталона - радиометра газа
-
10.1.1.1 Соединить рабочий эталон объемной активности бета-излучающих газов и поверяемый УДАС-04А в соответствии со схемой подключения, показанной на рисунке 1.
Примечание - Соединение с линией с 85Кг может быть изменено в соответствии конструкцией рабочего эталона.
|
/---------- |
X | |||
|
Выход |
Вход | |||
|
УДАС-04А |
Вход |
..........................-......г................ |
Выход |
Рабочий эталон -радиометр газов |
|
V |
Г—.——1; |
__________________J | ||
|
L____ |
Тройник с перекрывающим краном
К линии с 85Кг
Г
Рисунок 1 - Схема подключения УДАС-04А к рабочему эталону объемной активности бета-излучающих газов
-
10.1.1.2 Включить рабочий эталон и УДАС-04А.
-
10.1.1.3 Заполнить измерительные камеры рабочего эталона и УДАС-04А газом 85Кг с объемной активностью, советующей первому значению из таблицы 5, из резервуара, подключенного в кольцевую схему через тройник с перекрывающим краном.
Таблица 5 - Значения объемной активности бета-излучающего газа 85Кг
|
Параметр |
Значение параметра | |||
|
Номер поддиапазона измерений, к |
1 |
2 |
3 |
4 |
|
Объемная активность бета-излучающего газа 85Кг, Бк/м3 |
От Г104 до 1-Ю6 |
От 1 • 106 до 1-Ю8 |
От 1 ■ 108 до 1-Ю10 |
От Г1О10 до 3-1О10 |
|
Время измерения Д с, не менее |
1000 |
600 |
100 |
100 |
-
10.1.1.4 Прокачать объёмы измерительных камер рабочего эталона и УДАС-04А с помощью насоса рабочего эталона в течение не менее 5 минут.
-
10.1.1.5 Зафиксировать по 10 показаний значений объёмной активности 85Кг, измеренных рабочим эталоном Q3mi и УДАС-04А Qxl, Бк/м3.
-
10.1.1.6 Повторить операции по п. 10.1.1.3 - 10.1.1.5 для остальных поддиапазонов измерений объемной активности из таблицы 5.
-
10.1.2 Проверка диапазона измерений объёмной активности бета-излучающих газов и определение основной относительной погрешности измерений с применением источников типа 1С0
-
10.1.2.1 Включить УДАС-04А.
-
10.1.2.2 Установить 1-й источник 1С0 с активностью, советующей первому значению из таблицы 6, в УДАС-04А в соответствии с указаниями п.3.3.7 РЭ.
Таблица 6 - Значения активности источников 1С0
|
Параметр |
Значение параметра | |||
|
Номер поддиапазона измерений, к |
1 |
2 |
3 |
4 |
|
Активность источника 1С0, Бк |
От 10 до 100 |
От 1 • 102 до 1-103 |
От 1 • 103 до 1-Ю4 |
От Г104 до 5,6105 |
|
Время измерения Д с, не менее |
300 |
100 |
50 |
50 |
-
10.1.2.3 Зафиксировать 10 показаний значений объёмной активности, измеренных УД АС-04 A Qyi, Бк/м3.
-
10.1.2.4 Извлечь источник из УДАС-04 в соответствии с п. 3.3.7 РЭ
-
10.1.2.5 Повторить операции по п. 10.1.2.2 - 10.1.2.4 для 2 - 4-го источников 1С0 с активностью, соответствующей второму - четвертому значению таблицы 6.
-
11.1 Для подтверждения соответствия УДАС-04А установленным при утверждении типа метрологическим требованиям к относительной погрешности измерений объемной активности бета-излучающих газов для измерений, выполненных с применением рабочего эталона (по. п. 10.1.1), провести следующие расчеты для всех поверяемых поддиапазонов объемной активности (к~).
-
11.1.1 Вычислить среднее арифметическое значение объемной активности, измеренное рабочим эталоном в &-ом поддиапазоне в соответствии с таблицей 5 Q^., Бк/м3, по формуле

т
(1)
-
где Q^i - объемная активность, зарегистрированная рабочим эталоном при i - ом измерении в &-ом поддиапазоне, Бк/м3
т - количество измерений, равное 10.
-
11.1.2 Вычислить среднее арифметическое значение объемной активности, измеренное УДАС-04А в А>ом поддиапазоне Q* Бк/м3, по формуле


где Qxt - объемная активность, зарегистрированная УДАС-04А при z - ом измерении в &-ом поддиапазоне, Бк/м3;
т - количество измерений, равное 10.
-
11.1.3 Вычислить оценку среднего квадратического отклонения случайной составляющей погрешности измерений в /с-ом поддиапазоне <5^,%, по формуле
Ш .
J т — 1
# = -----51--юо. (з)-
11.1.4 Вычислить оценку систематической составляющей погрешности измерений в &-ом поддиапазоне 0* %, по формуле
■ 100
(4)
-
11.1.5 Вычислить границы относительной погрешности измерений при доверительной вероятности 0,95 в А>ом поддиапазоне % по формуле
« = + «„)2 + (1,96 ■ of)2 (5)
где 5ЭТ - относительная основная погрешность рабочего эталона, %
-
11.1.6 Результаты операции поверки считать положительными, если для каждого к-го поверяемого поддиапазона измерений объемной активности границы относительной погрешности измерений при доверительной вероятности 0,95 не превышают ±20 %.
-
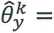
11.2 Для подтверждения соответствия УДАС-04А установленным при утверждении типа метрологическим требованиям к относительной погрешности измерений объемной активности бета-излучающих газов для всех измерений, выполненных с применением к источников типа 1С0 (по п. 10.1.2), провести следующие расчеты:
-
11.2.1 Рассчитать опорное значение объемной активности для каждого Аэго источника из таблицы 6 Qq, Бк/м3 по формуле
-
Qo = К ’ Ак (6)
где К - коэффициент, приведенный в паспорте на УДАС-04А, 1/м3,
Ак - активность к-го источника, скорректированная на дату измерений, Бк.
-
11.2.2 Вычислить среднее арифметическое значение объемной активности, измеренное УДАС-04А при установленном £-ом источнике Qk, Бк/м3, по формуле

(7)
где Qyi - объемная активность, зарегистрированная УДАС-04А в z - ом измерении при установленном А>ом источнике, Бк/м3;
т - количество измерений, равное 10.
-
11.2.3 Вычислить оценку среднего квадратического отклонения случайной составляющей погрешности измерений при установленном Ус-ом источнике ак, % по формуле
Д т-1 ак = --100,
где т - количество измерений;
-
11.2.4 Вычислить оценку систематической составляющей погрешности измерений при установленном А-ом источнике 0к, % по формуле


(9)
-
11.2.5 Вычислить границы относительной основной погрешности измерений при доверительной вероятности 0,95 при установленном &-ом источнике бу, % по формуле
5* = ±J(0* + <5к)2 + (1,96 ■ <тк)2 (10)
где 5кт - доверительные границы погрешности к-го источника - рабочего эталона, %
-
11.2.6 Результаты поверки считать положительными, если для каждого к-го значения объемной активности границы основной относительной погрешности измерений при доверительной вероятности 0,95 не превышают ± 20 %.
-
12.1 По результатам поверки оформляется протокол поверки. Форма протокола поверки произвольная. В протоколе должны быть указаны следующие данные:
-
- наименование документа «Протокол поверки»;
-
- наименование поверяемого средства измерений;
-
- наименование организации, проводящей поверку;
-
- наименование организации, которой принадлежит средство измерений;
-
- наименование изготовителя средства измерений;
-
- дата и место проведения поверки;
-
- условия проведения поверки по п. 8.1
-
- эталоны и вспомогательное оборудование;
-
- результаты проверки внешнего вида, опробования, подтверждения соответствия программного обеспечения (ПО) СИ;
-
- результаты проверки метрологических характеристик.
-
12.2 Знак поверки наносится на свидетельство о поверке (в случае его оформления).
-
12.3 Положительные и отрицательные результаты поверки оформляются в соответствии с действующим порядком.
9
МЕТРОЛОГИЧЕСКИЕ И ТЕХНИЧЕСКИЕ ТРЕБОВАНИЯ К СРЕДСТВАМ
ПОВЕРКИ
-
5.1 При проведении поверки применяются основные и вспомогательные средства,
приведенные в таблице 3.
ТРЕБОВАНИЯ (УСЛОВИЯ) ПО ОБЕСПЕЧЕНИЮ БЕЗОПАСНОСТИ ПРОВЕДЕНИЯ ПОВЕРКИ
-
6.1 При проведении поверки должны выполняться требования безопасности, предусмотренные документами:
-
- СанПиН 2.6.1.2523-09 «Нормы радиационной безопасности (НРБ-99/2009)»;
-
- СП 2.6.1.2612-10 «Основные санитарные правила обеспечения радиационной безопасности (ОСПОРБ-99/20Ю);
-
- «Правила по охране труда при эксплуатации электроустановок» (утвержденные Приказом Минтруда России № 328н от 24.07.2013г.);
-
- «Правила технической эксплуатации электроустановок потребителей», утвержденные приказом № 6 Министерства энергетики Российской федерации от 13.01.2003,
-
- действующие на предприятии инструкций по радиационной безопасности.
Примечание - При использовании настоящей методики поверки целесообразно проверить действие ссылочных нормативных документов в информационной системе общего пользования - на официальном сайте Федерального агентства по техническому регулированию и метрологии в сети Интернет. Если заменен ссылочный нормативный документ, то рекомендуется использовать действующую версию этого документа с учетом всех внесенных в данную версию изменений.
