Методика поверки «Государственная система обеспечения единства измерений УСТАНОВКА ПОВЕРОЧНАЯ ПЕРЕДВИЖНАЯ НА БАЗЕ ПРЕОБРАЗОВАТЕЛЯ МАССОВОГО РАСХОДА» (MП 1299-14-2021)
ВСЕРОССИЙСКИЙ НАУЧНО-ИССЛЕДОВАТЕЛЬСКИЙ ИНСТИТУТ РАСХОДОМЕТРИИ -ФИЛИАЛ ФЕДЕРАЛЬНОГО ГОСУДАРСТВЕННОГО УНИТАРНОГО ПРЕДПРИЯТИЯ «ВСЕРОССИЙСКИЙ НАУЧНО-ИССЛЕДОВАТЕЛЬСКИЙ ИНСТИТУТ МЕТРОЛОГИИ ИМ.Д.И.МЕНДЕЛЕЕВА»
ВНИИР - филиал ФГУП «ВНИИМ им.Д.И.Менделеева»

Государственная система обеспечения единства измерений
УСТАНОВКА ПОВЕРОЧНАЯ ПЕРЕДВИЖНАЯ НА БАЗЕ ПРЕОБРАЗОВАТЕЛЯ МАССОВОГО РАСХОДА
Методика поверки
МП 1299-14-2021
Заместитель начальника отдела НИО-14
Р.Н. Груздев
/
Тел. отдела: (843) 299-72-00
Казань
2021
|
РАЗРАБОТАНА |
ВНИИР - филиал ФГУП «ВНИИМ им.Д.И.Менделеева» |
|
ИСПОЛНИТЕЛИ |
Загидуллин Р.И. |
|
УТВЕРЖДЕНА |
ВНИИР - филиал ФГУП «ВНИИМ им.Д.И.Менделеева» |
Настоящая методика поверки распространяется на установку поверочную передвижную на базе преобразователя массового расхода (далее - ППУ) и устанавливает объем, порядок и методику проведения первичной и периодической поверок ППУ.
Поверка ППУ осуществляется непосредственным сличением в соответствии с требованиями части 2 Государственной поверочной схемы для средств измерений массы и объема жидкости в потоке, объема жидкости и вместимости при статических измерениях, массового и объемного расходов жидкости (далее - ГПС), утвержденной приказом Госстандарта от 07 февраля 2018 г. № 256, обеспечивающим передачу единиц массового и объемного расхода жидкости, массы и объема жидкости в потоке от Государственного первичного эталона единиц массы и объема жидкости в потоке, массового и объемного расходов жидкости ГЭТ 63-2019.
Если очередной срок поверки средств измерений (СИ) (измерительного компонента) из состава ППУ наступает до очередного срока поверки ППУ, или появилась необходимость проведения периодической или внеочередной поверки СИ (измерительного компонента), то поверяют только этот измерительный компонент, при этом внеочередную поверку ППУ не проводят.
Допускается проводить периодическую поверку ППУ в сокращенном объеме (на меньшем числе измеряемых величин).
Интервал между поверками - 12 месяцев.
2 Перечень операций поверки средства измерений-
2.1 При проведении поверки выполняют операции, приведенные в таблице 1.
Таблица 1 - Перечень операций поверки
|
Наименование операции |
Номер раздела (подраздела) методики поверки |
Проведение операции при | |
|
первичной поверке |
периодической поверке | ||
|
Внешний осмотр СИ |
6 |
Да |
Да |
|
Опробование СИ |
7.2 |
Да |
Да |
|
Проверка программного обеспечения СИ |
8 |
Да |
Да |
|
Определение метрологических характеристик СИ |
9 |
Да |
Да |
|
Подтверждение соответствия СИ метрологическим требованиям |
10 |
Ж |
Да |
2.2 Если при проведении какой-либо операции поверки получен отрицательный результат, дальнейшую поверку не проводят до устранения выявленных несоответствий.
3 Требования к условиям проведения поверки-
3.1 Поверку ППУ проводят в диапазоне измерений, указанном в описании типа, или в фактически обеспечивающимся при поверке диапазоне измерений с обязательным указанием информации об объеме проведенной поверки. Фактический диапазон измерений не может превышать диапазона измерений, указанного в описании типа ППУ.
-
3.2 При проведении поверки ППУ должны соблюдаться следующие условия:
-
- измеряемая среда вода питьевая, нефтепродукты;
-
- температура измеряемой среды, °C 20±10;
-
- температура окружающего воздуха, °C 20±10.
-
4.1 При проведении поверки применяют средства поверки, приведенные в таблице 2.
Таблица 2 - Перечень средств поверки
|
Средства поверки |
Метрологические и технические требования |
|
Государственный первичный специальный эталон единиц массы и объема жидкости в потоке, массового и объемного расходов жидкости ГЭТ 63-2019 |
Расширенная неопределенность при коэффициенте охвата к=2 при воспроизведении единицы:
|
|
Рабочий эталон 1 разряда по части 2 Государственной поверочной схемы для средств измерений массы и объема жидкости в потоке, объема жидкости и вместимости при статических измерениях, массового и объемного расходов жидкости (установка поверочная), утвержденной Приказом Федерального агентства по техническому регулированию и метрологии от 07 февраля 2018 г. № 256 |
Пределы допускаемой относительной погрешности (доверительные границы суммарной погрешности) ±0,06 % |
|
Измеритель влажности и температуры ИВТМ-7 модификации ИВТМ-7 М, (регистрационный номер в Федеральном информационном фонде по обеспечению единства измерений 15500-12) |
Диапазон измерений температуры от минус 20 до 60 °C; Пределы допускаемой абсолютной погрешности измерений температуры ±0,2 °C |
-
4.2 Допускается применение аналогичных средств поверки, обеспечивающих определение метрологических характеристик поверяемых СИ с требуемой точностью.
При проведении поверки соблюдают требования, определяемые:
-
- в области охраны труда - Трудовой кодекс Российской Федерации;
-
- в области пожарной безопасности - Федеральный закон Российской Федерации от 22 июля 2008 г. № 123-ФЗ «Технический регламент о требованиях пожарной безопасности», Постановление Правительства Российской Федерации от 16.09.2020 № 1479 «Об утверждении Правил противопожарного режима»;
-
- в области соблюдения правильной и безопасной эксплуатации электроустановок -Правила технической эксплуатации электроустановок потребителей;
-
- в области охраны окружающей среды - Федеральный закон Российской Федерации от 10 января 2002 г. № 7-ФЗ «Об охране окружающей среды» и другими действующими законодательными актами на территории РФ.
-
6.1 При внешнем осмотре проверяют комплектность и внешний вид ППУ.
-
6.1.1 Комплектность ППУ должна соответствовать ее описанию типа и эксплуатационной документации.
-
6.1.2 При проверке внешнего вида должно быть установлено соответствие ППУ следующим требованиям:
-
-
- на компонентах ППУ не должно быть видимых дефектов, способных оказать влияние на безопасность проведения поверки или результаты поверки;
-
- маркировка ППУ должна быть четкой, разборчивой и должна соответствовать требованиям эксплуатационной документации;
-
- надписи и обозначения на компонентах ППУ должны быть четкими и должны соответствовать эксплуатационной документации.
-
6.2 ППУ. непрошедшая внешний осмотр, к дальнейшей поверке не допускается до устранения выявленных дефектов.
-
7.1 Подготовка к поверке
-
7.1.1 При подготовке к поверке проводят работы в соответствии с эксплуатационной документацией на ППУ.
-
7.1.2 Проверяют наличие действующих свидетельств об аттестации эталонов и/или наличие сведений о результатах поверки СИ, включенных в Федеральный информационный фонд по обеспечению единства измерений, и/или знаков поверки, нанесенных на СИ, и (или) свидетельств о поверке, и (или) записей о проведенной поверке в паспортах (формулярах) СИ, заверенных подписью поверителя и знаком поверки с указанием даты поверки, применяемых при проведении поверки.
-
7.1.3 Проводят монтаж и подключение ППУ к средствам поверки (эталону) согласно рисунка 1.
-
7.1.3.1 Устанавливают ППУ на твердой горизонтальной ровной площадке.
-
7.1.3.2 Подключают технологические трубопроводы ППУ посредством гибких рукавов 7 и 8 с эталоном, в фланцевых соединениях применяют уплотнительные прокладки, соответствующие типу уплотнительной поверхности фланцев.
-
7.1.3.3 Проверяют надежность и затяжку гаек фланцевых соединений ППУ.
-
7.1.3.4 При помощи гибкого кабеля подключают контур заземления ППУ к контуру заземления эталона.
-
7.1.3.5 Подключают ППУ к источнику питания и сигнальным цепям эталона.
-
7.1.3.6 Проверяют правильность подключения электрических кабелей, наблюдая за работой электрооборудования ППУ.
-
7.1.3.7 Открывая запорную арматуру ППУ 1 и 2 и запорную арматуру эталона 3 и 5 осуществляют заполнение ППУ измеряемой средой.
-
7.1.3.8 При заполнении ППУ измеряемой средой дренируют воздух ППУ через дренажные краны 6 и дренажные вентили блоков манометров и преобразователя давления.
-
-
7.1.4 Проверяют герметичность ППУ.
-
На элементах и компонентах ППУ не должно быть следов протечек измеряемой среды.
Рисунок 1 - Схема подключения ППУ
-
7.2 Опробование
-
7.2.1 Устанавливают расход измеряемой среды в пределах рабочего диапазона измерений ППУ.
-
7.2.2 Наблюдают на дисплее комплекса измерительно-вычислительного расхода и количества жидкостей и газов «АБАК+» (далее - ИВК) или компьютера значения следующих параметров:
-
-
- массового (объемного) расхода измеряемой среды;
-
- частоты выходного сигнала расходомера массового Promass модификации Promass 300 (далее - РМ), входящего в состав ППУ;
-
- температуры и давления измеряемой среды.
-
8.1 Проверяют соответствие идентификационных данных программного обеспечения (ПО) ИВК, входящего в состав ППУ, сведениям, приведенным в описании типа ППУ.
-
8.2 Определение идентификационных данных ПО ИВК проводят в соответствии с эксплуатационной документацией ИВК.
-
8.3 Результат подтверждения соответствия ПО считается положительным, если полученные идентификационные данные ПО (идентификационное наименование, номер версии (идентификационный номер) и цифровой идентификатор) соответствуют идентификационным данным, указанным в описании типа ППУ.
-
9.1 Проверяют наличие сведений о результатах поверки, включенных в Федеральный информационный фонд по обеспечению единства измерений и/или знаков поверки, нанесенных на СИ, и (или) свидетельств о поверке, и (или) записей о проведенной поверке в паспортах (формулярах) СИ, заверенных подписью поверителя и знаком поверки с указанием даты поверки, следующих СИ, входящих в состав ППУ: преобразователя давления измерительного Cerabar М РМР 51 (регистрационный номер 71892-18), датчика температуры TMT142R (регистрационный номер 63821-16), ИВК (регистрационный номер 52866-13), манометров МП показывающих (регистрационный номер 59554-14), термометров ртутных стеклянных лабораторных ТЛ-4 (регистрационный номер 303-91).
Вышеприведенные СИ на момент проведения поверки ППУ должны быть поверены в соответствии с документами на поверку, указанными в свидетельствах (сертификатах) об утверждении типа (описаниях типа) данных СИ.
-
9.2 Определение относительной погрешности ППУ при измерении (воспроизведении) единицы массового расхода и массы жидкости в потоке.
Проводят измерения массы измеряемой среды не менее, чем в трех точках расхода, находящихся в рабочем диапазоне измерений ППУ. В каждой точке расхода выполняют не менее 11 измерений массы измеряемой среды. При каждом измерении массы измеряемой среды отклонение расхода от заданного значения не должно превышать ±3 %.
-
9.2.1 Вычисляют коэффициент преобразования для f-го измерения в у-ой точке диапазона измерений расхода KFtj9 имп/кг, по формуле



(1)
где - количество импульсов, поступивших от РМ и измеренных ИВК, входящих в состав ППУ, имп.;
- масса измеряемой среды, измеренная эталоном (средством поверки), кг.
-
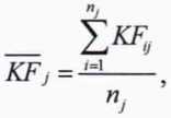
9.2.2 Вычисляют среднее арифметическое значение коэффициента преобразования в j-ой точке диапазона измерений расхода расхода KFj, имп/кг, по формуле

(2)
где nt - количество измерений в у-ой точке диапазона измерений расхода, поступивших от РМ и измеренных ИВК, входящих в состав ППУ, имп.
-
9.2.3 Вычисляют среднее квадратическое отклонение (СКО) результатов определений значений коэффициента преобразования в у-ой точке диапазона измерений расхода , %, по
формуле

Щ-KF,
KFj
9.2.4 Проверяют выполнение условия
£,<0,03%.
= •100
KF,
-
(3)
-
(4)
В случае невыполнения условия (4) в какой-либо точке расхода дальнейшую обработку результатов измерений прекращают, выясняют и устраняют причины, вызвавшие невыполнение условия (4). Повторно проводят серию измерений. При выполнении условия (4) проводят дальнейшую обработку результатов измерений.
-
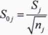
9.2.5 СКО среднего значения результатов измерений в у-ой точке рабочего диапазона
измерений расхода, SOj, %, вычисляют по формуле

(5)
-
9.2.6 Границу случайной погрешности ППУ при доверительной вероятности Р=0,95 при реализации градуировочной характеристики в ИВК, входящим в состав ППУ, в виде кусочно-линейной аппроксимации в £-ом поддиапазоне измерений расхода, £пдк, %, вычисляют по формуле
(6)
где £\к->£1к - границы случайной погрешности в первой и второй точках £-го поддиапазона измерений расхода, %, вычисляют по формуле

(7)
где /0 95у - квантиль распределения Стьюдента для количества измерений в j-ой точке диапазона измерений расхода.
-
9.2.7 Границу неисключенной систематической погрешности ППУ в &-ом поддиапазоне измерений расхода, , %, вычисляют по формуле


(8)
где ©ду эт - пределы допускаемой относительной погрешности эталона при воспроизведении единицы массового расхода и массы жидкости в потоке (берут наибольшее значение), %;
^дпдк ~ граница неисключенной систематической погрешности, обусловленной погрешностью аппроксимации градуировочной характеристики для к-го поддиапазона измерений расхода, %, вычисляют по формуле


(9)
0//ВА. - пределы допускаемой относительной погрешности ИВК при вычислениях коэффициента преобразования (берут из описания типа, свидетельства о поверке или протокола поверки ИВК), %.
-
9.2.8 Границу относительной погрешности ППУ в к-ом поддиапазоне измерений расхода, Ьпдк, %, вычисляют по формуле
(Ю)
^ПДк ~ ^1ПДк ' $£ПДк >
где 1ищк ~ коэффициент, зависящий от соотношения случайной и неисключенной систематической погрешностей, в к-ом поддиапазоне измерений расхода вычисляют по формуле

(Н)
где *5олда - СКО среднего значения результатов измерений в £-ом поддиапазоне измерений расхода, %, принимают равным значению СКО среднего значения результатов измерений SOj в точке рабочего диапазона измерений расхода с максимальным значением границы случайной погрешности £пдк;
SQ - СКО суммы неисключенных систематических погрешностей, %, вычисляют по формуле
[q2 + 02 + 02
$ _ I ЭТ ^АПДк ^ИВК (12)
^дк - суммарное СКО результатов измерений в £-ом поддиапазоне измерений расхода, %, вычисляют по формуле


(13)
-
9.2.9 Оценивание относительной погрешности
Относительная погрешность при измерении (воспроизведении) единицы массового расхода и массы жидкости в потоке не должна превышать ±0,10 %.
-
9.3 Определение относительной погрешности ППУ при измерении (воспроизведении) единицы объемного расхода и объема жидкости в потоке.
Проводят измерения объема измеряемой среды не менее, чем в трех точках расхода, находящихся в рабочем диапазоне измерений ППУ. В каждой точке расхода выполняют не менее 11 измерений объема измеряемой среды. При каждом измерении объема измеряемой среды отклонение расхода от заданного значения не должно превышать ±3 %.
-
9.3.1 Вычисляют коэффициент преобразования для i-ro измерения в /-ой точке диапазона измерений расхода KFtJ9 имп/м3, по формуле
(]4> 'J
где N™' - количество импульсов, поступивших от РМ и измеренных ИВК, входящих в состав ППУ, имп.;
VfjT - объем измеряемой среды, измеренный эталоном (средством поверки), м3.
-
9.3.2 Вычисляют среднее арифметическое значение коэффициента преобразования в j-ой точке диапазона измерений расхода расхода KFj, имп/м3, по формуле

(15)
где л, - количество измерений в /-ой точке диапазона измерений расхода, поступивших от РМ и измеренных ИВК, входящих в состав ППУ, имп.
-
9.3.3 Вычисляют среднее квадратическое отклонение (СКО) результатов определений значений коэффициента преобразования в /-ой точке диапазона измерений расхода 5у, %, по
формуле
=L-100
KFj
(16)
-
9.3.4 Проверяют выполнение условия
5. <0,03%. (17)
В случае невыполнения условия (17) в какой-либо точке расхода дальнейшую обработку результатов измерений прекращают, выясняют и устраняют причины, вызвавшие невыполнение условия (17). Повторно проводят серию измерений. При выполнении условия (17) проводят дальнейшую обработку результатов измерений.
-
9.3.5 СКО среднего значения результатов измерений в /-ой точке рабочего диапазона измерений расхода, SOj, %, вычисляют по формуле
^о/- г~. (18)
Л
-
9.3.6 Границу случайной погрешности ППУ при доверительной вероятности Р=0,95 при реализации градуировочной характеристики в ИВК, входящим в состав ППУ, в виде кусочно-линейной аппроксимации в £-ом поддиапазоне измерений расхода, £пдк, %,
вычисляют по формуле
(19)
£ПДк ~ тЗХ ( ’ ^2* ) ’
где £}к, £2к - границы случайной погрешности в первой и второй точках к-го поддиапазона измерений расхода, %, вычисляют по формуле
(20)
где tQ95j - квантиль распределения Стьюдента для количества измерений nj в j-ой точке диапазона измерений расхода.
-
9.3.7 Границу неисключенной систематической погрешности ППУ в Zr-ом поддиапазоне измерений расхода, Оудда, вычисляют по формуле


(21)
где ®иэг - пределы допускаемой относительной погрешности эталона при воспроизведении единицы объемного расхода и объема жидкости в потоке (берут наибольшее значение), %;
®Алдк ~ граница неисключенной систематической погрешности, обусловленной погрешностью аппроксимации градуировочной характеристики для к-го поддиапазона измерений расхода, %, вычисляют по формуле
® АПДк — 0, •

(22)
0//ЙА. - пределы допускаемой относительной погрешности ИВК при вычислениях коэффициента преобразования (берут из описания типа, свидетельства о поверке или протокола поверки ИВК), %.
-
9.3.8 Границу относительной погрешности ППУ в к-ом поддиапазоне измерений расхода, &ПДк, %. вычисляют по формуле
(23)
^ПДк ~ {1ПДк ‘ ^1ПДк >
где - коэффициент, зависящий от соотношения случайной и неисключенной
систематической погрешностей, в £-ом поддиапазоне измерений расхода вычисляют по формуле где $ьпдк ~ СКО среднего значения результатов измерений в £-ом поддиапазоне измерений расхода, %, принимают равным значению СКО среднего значения результатов измерений SOj в точке рабочего диапазона измерений расхода с максимальным значением границы случайной погрешности ;
SQ - СКО суммы неисключенных систематических погрешностей, %, вычисляют по формуле
& + 02 +02
g _ I ЭГ АПДк ИВК (25)
- суммарное СКО результатов измерений в &-ом поддиапазоне измерений расхода, %, вычисляют по формуле


(26)
-
9.3.9 Оценивание относительной погрешности
Относительная погрешность при измерении (воспроизведении) единицы объемного расхода и объема жидкости в потоке не должна превышать ±0,10 %.
10 Подтверждение соответствия средства измерений метрологическим требованиямРезультаты поверки ППУ считают положительными, если относительная погрешность при измерении (воспроизведении) единицы массового (объемного) расхода и массы (объема) жидкости в потоке, определенная в соответствии с разделом 9 настоящей методики поверки, не выходит за пределы допускаемой относительной погрешности (доверительных границ суммарной погрешности) при измерениях (воспроизведении) массового (объемного) расхода и массы (объема) измеряемой среды в потоке ±0,10 %.
При положительных результатах поверки ППУ соответствует рабочему эталону 2 разряда в соответствии с частью 2 ГПС, утвержденной Приказом Госстандарта от 7 февраля 2018 г. № 256.
11 Оформление результатов поверки-
11.1 Результаты поверки оформляют протоколом поверки, рекомендуемая форма которого приведена в Приложении А. Допускается оформлять протокол поверки в измененном виде.
-
11.2 По заявлению владельца ППУ или лица, предоставившего ППУ на поверку, в случае положительных результатах поверки выдают свидетельство о поверке ППУ в соответствии с требованиями к содержанию свидетельства о поверке, утвержденными Приказом Минпромторга России от 31 июля 2020 г. № 2510 «Об утверждении порядка проведения поверки средств измерений, требований к знаку поверки и содержанию свидетельства о поверке».
На оборотной стороне свидетельства о поверке ППУ указывают диапазон измерений массового и объемного расхода измеряемой среды и пределы допускаемой относительной погрешности при измерении (воспроизведении) единицы массового (объемного) расхода и массы (объема) жидкости в потоке.
Знак поверки наносится на свидетельство о поверке ППУ и (или) на свинцовые (пластмассовые) пломбы, установленные на контровочных проволоках, пропущенных через отверстия в шпильках, расположенных на диаметрально противоположных фланцах РМ, входящего в состав ППУ.
Вводят в память ИВК значения частоты и коэффициентов преобразования, вычисленных по результатам поверки для каждой точки диапазона измерений расхода.
При положительных результатах поверки ППУ признается пригодной к применению в качестве рабочего эталона 2 разряда в соответствии с частью 2 ГПС, утвержденной Приказом Росстандарта от 7 февраля 2018 г. № 256.
-
11.3 По заявлению владельца ППУ или лица, предоставившего ППУ на поверку, в случае отрицательных результатов поверки выдают извещение о непригодности к применению.
Приложение А (рекомендуемое)
Форма протокола поверки
ПРОТОКОЛ ПОВЕРКИ №___________
Стр. _ из
Наименование средства измерений:__
Тип, модель, изготовитель:________________________________________________________________
Заводской номер:__
Владелец:________________________________________
Наименование и адрес заказчика:_____________________________________________________
Методика поверки:_____________________________________
Место проведения поверки:___________________________________________________________
Поверка выполнена с применением:__________________________________________________
РЕЗУЛЬТАТЫ ПОВЕРКИ
-
1. Внешний осмотр
соответствует/не соответствует требованиям раздела 6
-
2. Опробование средства измерений
соответствует/не соответствует требованиям подраздела 7.2
-
3. Проверка программного обеспечения средства измерений соответствует/не соответствует требованиям раздела 8
-
4. Определение метрологических характеристик
-
4.1 Определение относительной погрешности ППУ при измерении (воспроизведении) единицы массового расхода и массы жидкости в потоке.
-
Таблица 1 - Исходные данные
|
®м гэт, % |
Оивк, % |
Таблица 2 - Результаты измерений и вычислений
|
№ точ./ № изм. |
Результаты измерений по ППУ |
Результаты измерений по эталону |
KFij, имп/т | |||||||||
|
Qij, т/ч |
Ту, с |
tij, °C |
Ру, МПа |
Nij, имп. |
fij, Гц |
Qij эт, т/ч |
Tjj эт, С |
tij эт, °C |
Р ij эт, МП а |
Му эт, кг | ||
Таблица 3 - Результаты поверки в точках рабочего диапазона
|
№ точ. |
Qj,T/4 |
fj, Гц |
КТ), имп/т |
Sj, % |
Soj, % |
to,95 |
£j, % |
Таблица 4 - Результаты поверки в поддиапазонах
|
№ ПДк |
Qmin к, т/ч |
Qmax к, т/ч |
Ецд к, % |
ОАПД к, % |
®Е11Дк, % |
S©, % |
вопд к, % |
tsnД к, % |
Sznfl к, % |
бпдк, % |
Относительная погрешность при измерении (воспроизведении) единицы массового расхода и массы жидкости в потоке не превышает ±0,10 %.
-
4.2 Определение относительной погрешности ППУ при измерении (воспроизведении) единицы объемного расхода и объема жидкости в потоке.
Таблица 1 - Исходные данные
|
®v гэт, % |
Оивк, % |
Таблица 2 - Результаты измерений и вычислений
|
№ точ./ № изм. |
Результаты измерений по ППУ |
Результаты измерений по эталону |
KFy, имп/м3 | |||||||||
|
Qij, м3/ч |
Tij, С |
tij, °C |
Pij, МПа |
Nij, имп. |
fij, Гц |
Qij эт, М3/ч |
Tjj эт, С |
tij эт, °C |
Pij эт, МПа |
Ууэт, м3 | ||
Таблица 3 - Результаты поверки в точках рабочего диапазона
|
№ точ. |
Qj, м3/ч |
fj, Гц |
KFj, имп/м3 |
Sj, % |
Soj, % |
to,95 |
£j, % |
Таблица 4 - Результаты поверки в поддиапазонах
|
№ ПДк |
Qmin к, м3/ч |
Qmax к, м3/ч |
епд к, % |
Олпд к, % |
®ЕГ1Д к, % |
S©, % |
8опд к, % |
Ь:пд к, % |
$1Г1Д к, % |
бпд к, % |
Относительная погрешность при измерении (воспроизведении) единицы объемного расхода и объема жидкости в потоке не превышает ±0,10 %.
-
5. Подтверждение соответствия средства измерений метрологическим требованиям
Пределы допускаемой относительной погрешности при измерении (воспроизведении) единицы массового (объемного) расхода и массы (объема) жидкости в потоке не превышают ±0,10 %.
должность лица, проводившего поверку
подпись
Ф.И.О.
Дата поверки
15
