Методика поверки «ГСИ. Резервуары (танки) стальные прямоугольные с криволинейными днищами речных наливных судов, номинальной вместимостью от 270 до 470 м3» (МП 0922-7-2018)
ФЕДЕРАЛЬНОЕ АГЕНТСТВО ПО ТЕХНИЧЕСКОМУ РЕГУЛИРОВАНИЮ И МЕТРОЛОГИИ
Федеральное государственное унитарное предприятие «Всероссийский научно-исследовательский институт расходометрии» Государственный научный метрологический центр
ФГУП «ВНИИР»

ИНСТРУКЦИЯ
ГОСУДАРСТВЕННАЯ СИСТЕМА ОБЕСПЕЧЕНИЯ ЕДИНСТВА ИЗМЕРЕНИЙ
Резервуары (танки) стальные прямоугольные с криволинейными днищами речных наливных судов, номинальной вместимостью от 270 до 470 м3
МП 0922-7-2018
Кондаков А.В.
272-62-75; 272-54-55
Казань 2018 г.
Предисловие | |
1 РАЗРАБОТАНА |
Федеральным государственным унитарным предприятием Всероссийским научно-исследовательским институтом расходометрии Государственным научным метрологическим центром (ФГУП «ВНИИР») |
ИСПОЛНИТЕЛИ: |
А.В. Кондаков, В. М. Мигранов |
2 УТВЕРЖДЕНА |
ФГУП «ВНИИР» 23 июля 2018 г. |
3 ВВЕДЕНА ВПЕРВЫЕ
Содержание
Стр.
-
-
5.2 Требования по применению рабочих эталонов и вспомогательных средств поверки ...6
-
7 Требования к квалификации поверителей и требования безопасности
-
-
11.5 Измерение параметров верхнего скоса носовых и кормовых танков
-
11.6 Измерения координаты точки измерений базовой высоты и уровня жидкости
-
11.7 Измерения высоты превышения точки касания дна измерительной трубы грузом
Государственная система обеспечения единства измерений
Резервуары (танки) стальные прямоугольные с криволинейными днищами речных наливных судов, номинальной вместимостью от 270 до 470 м1 2 3. Методика поверки МП 0922-7-2018
-
3 ОПРЕДЕЛЕНИЯ
В настоящей инструкции применяют следующие термины с соответствующими определениями:
-
3.1 резервуар (танк) прямоугольный речного наливного судна: Стальной сосуд прямоугольной формы с вертикальными, непроницаемыми продольными и поперечными переборками (стенками), и криволинейным днищем, с индивидуальной градуировочной таблицей, предназначенный для хранения нефти и нефтепродуктов и измерений их объема (массы) совместно со средствами измерений уровня, плотности и температуры.
Переборки представляют собой обшивку из листовой стали, подкрепленную силовым набором.
Днище представляет поверхность, образованную вогнутой и выпуклой цилиндрическими поверхностями (рисунок А. 1).
-
3.2 поверка танка наливного судна (далее - танк): Совокупность операций, выполняемых организациями, аккредитованными на право поверки с целью определения вместимости и градуировки танка, составления и утверждения градуировочной таблицы, установления пригодности танка к применению.
-
3.3 градуировочная таблица: Зависимость вместимости от уровня наполнения тан-ка при нормированном значении температуры, равной 20 °C. Таблицу прилагают к свидетельству о поверке танка и применяют для определения объема жидкости в нем.
-
3.4 градуировка танка : Операция поверки по установлению зависимости вместимости танка от уровня его наполнения с целью составления градуировочной таблицы.
-
3.5 вместимость танка: Внутренний объем танка, который может быть наполнен жидкостью до определенного уровня.
-
3.6 номинальная вместимость танка: Вместимость танка, соответствующая предельному уровню наполнения его, установленная нормативным документом для конкретного типа.
-
3.7 действительная (фактическая) полная вместимость танка: Вместимость танка, соответствующая предельному уровню его наполнения, полученная по результатам измерений параметров танка при поверке.
-
3.8 посантиметровая вместимость танка: Объем жидкости в танке, соответствующий уровню налитых в него доз жидкости, приходящихся на 1 см высоты наполнения.
-
3.9 коэффициент вместимости: Вместимость, приходящаяся на 1 мм высоты наполнения.
-
3.10 точка касания дна измерительной трубы грузом рулетки: Точка на дне измерительной трубы танка, которой касается груз измерительной рулетки при измерениях базовой высоты танка и от которой проводят измерения уровня нефти и нефтепродуктов и воды при эксплуатации танка.
-
3.11 базовая высота танка : Расстояние от точки касания дна измерительной трубы грузом рулетки до верхнего края измерительной трубы.
3 12 уровень жидкости (высота наполнения) : Расстояние по вертикали между свободной поверхностью жидкости и точкой касания дна измерительной трубы грузом рулетки.
-
3.13 рабочая зона: Пространство, ограниченное по высоте 2 м над уровнем площадки, на которой находятся места постоянного или непостоянного (временного) пребывания специалистов при поверке танка - по ГОСТ 12.1.005.
-
3.14 геометрический метод поверки танка: Метод поверки танка, заключающийся в определении вместимости танка по результатам измерений его геометрических параметров.
-
4 МЕТОД ПОВЕРКИ
-
4.1 Поверку танка проводят геометрическим методом
-
4.1.1 Вместимость танка определяют по результатам измерений длины, ширины и высоты стенки танка и параметров днища (рисунок А.2). При этом по поперечным переборкам измеряют только ширину поясов.
-
4.1.2 При поверке танка со скошенной частью (рисунок А.З) вместимость его определяют суммированием вместимостей прямолинейной и скошенной частей танка по результатам измерений длины, ширины и высоты поясов и параметров днища, образованных в прямолинейной и скошенной частях танка.
-
4.1.3 Измерения параметров проводят изнутри танка.
-
-
-
5 ТЕХНИЧЕСКИЕ ТРЕБОВАНИЯ
5.1.1 Пределы допускаемой погрешности измерений параметров танка приведены в таблице 1.
Таблица!
Наименование параметра |
Пределы допускаемой погрешности измерений параметра танка номинальной вместимостью, м3 | |
270-370 |
470 | |
Длина переборки, мм |
±6,0 |
±6,5 |
Ширина переборки, мм |
±6,0 |
±6,5 |
Высота переборки, мм |
±6,0 |
±6,5 |
Объем внутренних деталей, м3 |
± 0,020 |
±0,025 |
-
5.1.2 При соблюдении указанных в таблице 1 пределов допускаемой погрешности измерений погрешность определения вместимости танка будет находиться в пределах :
± 0,25 % 270 м3,370 м3 ;
± 0,20 % —470 м3.
-
5.1.3 Значение погрешности измерения вместимости танка приводят на титульном листе градуировочной таблицы.
-
5.2 Требования по применению рабочих эталонов и вспомогательных средств поверки
-
5.2.1 При поверке танка применяют рабочие эталоны и вспомогательные средства поверки.
-
5.2.1.1 Рулетку измерительную 2-го класса точности с верхними пределами измерений 10; 20 и 30 м по ГОСТ 7502.
-
5.2.1.2 Рулетку измерительную с грузом 2-го класса точности с верхними пределами измерений 5; 10 м.
-
5.2.1.3 Нивелир по ГОСТ 10528 с двумя телескопическими рейками, длиной не менее 3000 мм, оборудованными круглыми уровнями, с приспособлениями, обеспечивающих позиционирование в вертикальной и горизонтальной плоскостях.
-
5.2.1.4 Линейку измерительную металлическую с диапазоном измерений 0-1000 мм по ГОСТ 427.
-
5.2.1.5 Термометр с ценой деления 1° С и диапазоном измерений от 0 до 50° С по ГОСТ 28498.
-
5.2.1.6 Газоанализатор типа АНТ-2М по [2].
-
5.2.1.7 Динамометр с диапазоном измерений 0-100 Н по ГОСТ 13837.
-
-
5.2.2 Вспомогательные средства поверки: мел, щетки (металлические), лестницы переносные две штуки длиной не менее 3 метров и шириной не более 500 мм, микрокалькулятор.
-
5.2.3 Рабочие эталоны должны быть аттестованы в соответствующем порядке.
-
5.2.4 Допускается применение других, вновь разработанных или находящихся в эксплуатации средств поверки, удовлетворяющих по точности и пределам измерений требованиям настоящей инструкции.
-
-
6 ТРЕБОВАНИЯ К ОРГАНИЗАЦИИ ПРОВЕДЕНИЯ ПОВЕРКИ
-
6.1 Танки подлежат поверке организациями, аккредитованными на право поверки.
-
6.2 Устанавливают следующие виды поверок танка:
-
-
- первичную, которую проводят после строительства танка перед его вводом в эксплуатацию и капитального ремонта;
-
- периодическую, которую проводят по истечении срока действия градуировочной таблицы и при внесении в танк конструктивных изменений, влияющих на его вместимость;
-
- внеочередную, которую проводят при изменении значения базовой высоты при её ежегодных измерениях более чем на 0,1%.
Первичную поверку танков проводят после их гидравлических испытаний.
-
7 ТРЕБОВАНИЯ К КВАЛИФИКАЦИИ ПОВЕРИТЕЛЕЙ И ТРЕБОВАНИЯ БЕЗОПАСНОСТИ
-
7.1 Поверку танка проводит физическое лицо, прошедшее курсы повышения квалификации и аттестованное в качестве поверителя в установленном порядке.
-
7.2 К поверке танка допускают лиц, изучивших настоящую инструкцию, техническую документацию на танк и наливного судна и их конструкцию, средства поверки танка и прошедших обучение по 7.1 и инструктаж по безопасности труда в соответствии с ГОСТ 12.0.004.
-
7.3 Лица, проводящие измерения, надевают спецодежду по ГОСТ 12.4.310, спецобувь по ГОСТ 12.4.137, строительную каску по ГОСТ 12.4.087, рукавицы по ГОСТ 12.4.010.
-
7.4 Содержание вредных паров и газов в воздухе внутри танка на высоте до 2000 мм не должно превышать санитарных норм, установленных ГОСТ 12.1.005.
-
7.5 Измерения параметров танка во время грозы категорически запрещены.
-
7.6 Для освещения в темное время суток или при необходимости в дневное время суток при проведении измерений применяют светильники во взрывозащищенном исполнении.
-
7.7 Применяемые лестницы должны быть оббиты резиновой лентой в нижней части лаг, для предотвращения скольжения по днищу танка.
-
-
7.7 Перед началом поверки танка проверяют исправность:
-
- лестниц с поручнями и подножками;
-
- помостов с ограждениями.
-
7.8 При измерениях параметров танка с применением лестницы, необходима фиксация лестницы привязью в верхней части к силовому элементу танка, в нижней части лестницы, фиксацию обеспечивает специалист, входящих в группу лиц.
-
7.9 В процессе измерений параметров танка обеспечивают двух или трех кратный обмен воздуха внутри танка. При этом анализ воздуха на содержание вредных паров и газов проводят через каждый час.
-
7.10 Продолжительность работы внутри танка не более 4-х часов, после каждой четырехчасовой работы - перерыв на один час.
-
7.11 Измерения параметров при поверке танка проводят группой лиц не менее четырех человек, включающая одного поверителя, прошедших курсы повышения квалификации в соответствии с 7.1.
-
8 УСЛОВИЯ ПОВЕРКИ
-
8.1 При поверке соблюдают следующие условия.
-
8.1.1 Измерения параметров танка проводят изнутри его.
-
8.1.2 Для проведения измерений параметров танка его освобождают от остатков нефти и нефтепродуктов, зачищают, пропаривают (при необходимости), промывают и вентилируют.
-
8.1.3 Температура окружающего воздуха и воздуха внутри танка: (20 ± 15)°С.
-
-
-
9 ПОДГОТОВКА К ПОВЕРКЕ
-
9.1 При подготовке к поверке проводят следующие работы.
-
9.1.1 Изучают техническую документацию на танк, наливное судно и средства поверки.
-
9.1.2 Подготавливают средства поверки к работе согласно технической документации на них, утвержденной в установленном порядке.
-
-
9.2 Подготавливают танки к проведению необходимых измерений.
-
9.2.1 Подготавливают точки измерений на днище и на боковой переборке в следующей последовательности (рисунки А.5, А.6):
-
-
а) на стенке бортовой переборки мелом отмечают точку А2 с координатами:
-
- в горизонтальной плоскости, отсчитываемой от поперечной переборки, находя-щейся ближе к носовой части судна) (/g j равной в пределах 500 мм;
-
- в вертикальной плоскости, отсчитываемой от сварного шва равной в пределах 50-100 мм от горизонтального сварного шва в месте примыкания бортовой стенки и вогнутой цилиндрической поверхности (поз. 2-3 рисунок А. 1);
б) на стенке бортовой переборки мелом отмечают точку А5 с координатами:
-
- в горизонтальной плоскости, отсчитываемой от поперечной переборки, находящейся ближе к кормовой части судна) [Iq ) равной в пределах 500 мм;
-
- в вертикальной плоскости, отсчитываемой от сварного шва равными в пределах 50-100 мм от горизонтальной сварного шва в месте примыкания бортовой стенки и вогнутой цилиндрической поверхности (поз. 2-3 рисунок А.1);
в) на стенке бортовой переборки мелом отмечают точку с координатами:
-
- в горизонтальной плоскости, отсчитываемой от поперечной переборки, находящейся ближе к носовой части судна) (/£ ) равной в пределах 500 мм;
-
- в вертикальной плоскости, отсчитываемой от сварного шва равной в пределах 1500 мм от горизонтального сварного шва в месте примыкания бортовой стенки и вогнутой цилиндрической поверхности (поз. 2-3 рисунок А. 1);
г) на стенке бортовой переборки мелом отмечают точку Ag с координатами:
-
- в горизонтальной плоскости, отсчитываемой от поперечной переборки, находящейся ближе к кормовой части судна) (/£ ] равной в пределах 500 мм;
-
- в вертикальной плоскости, отсчитываемой от сварного шва равными в пределах 1500 мм от горизонтальной сварного шва в месте примыкания бортовой стенки и вогнутой цилиндрической поверхности (поз. 2-3 рисунок А.1);
д) на днище левого танка (поз. 2-3 рисунок А.1) мелом отмечают точку Д (рисунок А.5, А.6) с координатами:
-
- в горизонтальной плоскости, отсчитываемой от поперечной переборки, находящейся ближе к носовой части судна) (/£ ) равной в пределах 500 мм;
-
- в вертикальной плоскости, как приближенное расположение точки на нижней образующей цилиндрической поверхности;
е) на центральной части днища левого танка (поз. 3-4) мелом отмечают точку А4 (рисунок А.5, А.6) с координатами:
-
- в горизонтальной плоскости, отсчитываемой от поперечной переборки, находящейся ближе к кормовой части судна) (/£ j равной в пределах 500 мм;
-
- в вертикальной плоскости - в точке, расположенной на горизонтальной сварном шве в месте примыкания поверхности центральной части днища и диаметральной продольной переборки;
ж) на центральной части днища левого танка отмечают точку А7 с координатами:
-
- в горизонтальной плоскости, отсчитываемой от поперечной переборки, находящейся ближе к носовой части судна) (/£| равной в пределах 500 мм;
-
- в вертикальной плоскости, на сварном шве сопряжения вогнутой поверхности (поз. 2-3 рисунок А.1) и выпуклой поверхности (поз. 3-7 рисунок А.1);
и) на центральной части днища левого танка отмечают точку Аб с координатами:
-
- в горизонтальной плоскости, отсчитываемой от поперечной переборки, находящейся ближе к кормовой части судна) (/£ ) равной в пределах 500 мм;
-
- в вертикальной плоскости, на сварном шве сопряжения вогнутой поверхности (поз. 2-3 рисунок А.1) и выпуклой поверхности (поз. 3-7 рисунок А.1).
к) на диаметральной переборке левого танка отмечают точку Ад с координатами:
-
- в горизонтальной плоскости, отсчитываемой от поперечной переборки, находящейся ближе к носовой части судна) (/g ) равной в пределах 500 мм;
-
- в вертикальной плоскости, на сварном шве сопряжения выпуклой поверхности (поз. 3-7 рисунок А.1) и диаметральной переборкой;
л) на диаметральной переборке левого танка отмечают точку До с координатами:
-
- в горизонтальной плоскости, отсчитываемой от поперечной переборки, находящейся ближе к кормовой части судна) I/q \ равной в пределах 500 мм;
- в вертикальной плоскости, на сварном шве сопряжения выпуклой поверхности (поз. 3-7 рисунок А.1) и диаметральной переборкой.
Обозначения «к» и «н» соответствуют терминам: «корма» и «нос».
-
9.2.2 Выполняя аналогичные операции по 9.2.1 проводят подготовку танков правого борта с учетом зеркальной симметрии конструкции.
-
10 ОПЕРАЦИИ ПОВЕРКИ
-
10.1 При проведении поверки танка выполняют операции, указанные в таблице 2.
-
Таблица 2
Наименование операции |
Номер пункта, подпункта Инструкции |
Внешний осмотр |
11.1 |
Измерения высот параметров танка: |
11.2 |
- измерение высоты танка по борту |
11.2.1 |
- измерение высоты днища |
11.2.2 |
- измерение высоты диаметральной переборки танка |
11.2.3 |
- измерение высоты центральной части днища |
11.2.4 |
Измерения ширин параметров танка: |
11.3 |
- измерение ширины днища |
11.3.1 |
- измерение ширины центральной части днища |
11.3.2 |
- измерение длины дуги центральной части днища |
11.3.3 |
- измерение ширины носового скоса в нижней части днища |
11.3.4 |
Измерения длин параметров танка: |
11.4 |
- измерение длины борта танка |
11.4.1 |
- измерение длины днища танка |
11.4.2 |
- измерение центральной части днища |
11.4.3 |
- измерение длины диаметральной переборки |
11.4.4 |
- измерение длины нижнего скоса кормовых танков |
11.4.5 |
Измерения параметров верхнего скоса носовых и кормовых танков |
11.5 |
Измерения координаты точки измерений базовой высоты и уровня жидкости |
11.6 |
Измерение высоты превышения точки касания дна измерительной трубы грузом рулетки |
11.7 |
Определение объемов внутренних деталей |
11.8 |
Измерение базовой высоты танка |
11.9 |
-
- соответствие конструкции и внутренних деталей танка технической документации (паспорту) на него;
-
- наличие необходимой арматуры и оборудования;
-
- исправность лестниц (трапов) и помостов;
-чистоту внутренней поверхности танка;
- отсутствие деформаций стенок поясов, препятствующих проведению измерений линейных размеров (параметров) танка.
-
11.1.2 По результатам внешнего осмотра устанавливают возможность применения геометрического метода поверки танка в соответствии со схемой измерений.
Измерения высот параметров танка проводят с применением нивелира с рейкой и измерительной рулеткой с грузом.
-
11.2.1 Измерение высоты танка по борту.
Измерения высоты танка по борту НЛБ (рисунок А.8) проводят с применением лестницы и измерительной рулетки с грузом.
Схема расположения лестницы приведена на рисунке А.4.
Измерения проводят в носовой части танка и кормовой части танка.
Измерение высоты по борту НЛБ проводят измерительной рулеткой с грузом от точки до точки А2 - для кормовой части танка и от точки С2 до точки Ag - для носовой части танка.
Примечание - В обозначениях точек измерений на рисунках вида, например Aj(A4), первый символ указывает точку в кормовой части танка, второй символ в скобках указывает точку в носовой части танка
Измерения проводят не менее двух раз, расхождение между результатами измерений не должно превышать более 1 мм. Результаты измерений вносят в протокол измерений, форма которого приведена в приложении Б (таблица Б.З).
-
11.2.2 Измерение высоты днища.
Измерение высоты днища НЛБ левого танка и высоты НЛБ правого танка (рисунок А.8) проводят с применением вертикально-ориентированной и горизонтальноориентированной реек.
Измерения проводят два специалиста.
-
11.2.2.1 Первый специалист располагается на лестнице (поз.1 рисунок А.8), совмещает конец рейки (поз. 2 рисунок А.8) с точкой А2( Ag) ■ размеченной по перечислению б) или г) пункта 9.2.1, и горизонтирует рейку по круговому уровню.
-
11.2.2.2 Второй специалист обеспечивает вертикальность второй рейки (поз.З рисунок А.8) по круговому уровню и параллельно перемещая рейку определяет расположение нижней точки А-^Ад), предварительно размеченной по перечислению д) или е) пункта 9.2.1, как максимальное расстояние НЛБ или НЛБ, отмечают мелом положение точки и снимает показания с вертикальной рейки.
Измерения проводят не менее двух раз, расхождение между результатами измерений не должно превышать более 1 мм.
Результаты измерений вносят в протокол измерений, форма которого приведена в приложении Б (таблица Б.З).
-
11.2.3 Измерение высоты диаметральной переборки танка.
Измерение высоты диаметральной переборки (поз. 4-8 рисунок А.1) танка Ндп проводят с применением измерительной рулетки с грузом. Измерения проводят с лестницы в носовой и кормовой части танка.
Совмещая ленту рулетки с точкой С3 (С4) опускают груз рулетки то точки Ад (А,о) и считывают показания с ленты, как вертикальное расстояние НдП (рисунок А.8).
Измерения проводят не менее двух раз, расхождение между результатами измерений не должно превышать более 1 мм.
Результаты измерений вносят в протокол измерений, форма которого приведена в приложении Б (таблица Б.З).
-
11.2.4 Измерение высоты центральной части днища.
-
11.2.4.1 Измерения высоты центральной части днища проводят с применением нивелира и вертикально-ориентированной рейки.
-
11.2.4.2 Нивелир устанавливают на днище танка в центральной его части. Проводят горизонтирование нивелира и подготовительные операции перед проведением измерений в соответствии руководством по эксплуатации прибора.
-
11.2.4.3 Устанавливают рейку в уточненную точку А|(А4), контроль вертикального позиционирования проводят по круговому уровню. Проводят измерение высоты превышения Нд°Б, мм. Измерения проводят не менее двух раз, расхождение между результатами измерений не должно превышать более 1 мм.
-
Результаты измерений вносят в протокол измерений, форма которого приведена в приложении Б (таблица Б.З).
-
11.2.4.4 Устанавливают рейку в точку А7(А8), контроль вертикального позиционирования проводят по круговому уровню. Проводят измерение высоты превышения
мм. Измерения проводят не менее двух раз, расхождение между результатами измерений не должно превышать более 1 мм.
Результаты измерений вносят в протокол измерений, форма которого приведена в приложении Б (таблица Б.З).
-
11.2.4.5 Устанавливают рейку в точку А9(А10), контроль вертикального позициони
рования проводят по круговому уровню. Проводят измерение высоты превышения /-/лб > мм- Измерения проводят не менее двух раз, расхождение между результатами
измерений не должно превышать более 1 мм.
Результаты измерений вносят в протокол измерений, форма которого приведена в приложении Б (таблица Б.З).
Измерения ширин параметров танка проводят с применением вертикальноориентированной и горизонтально-ориентированной реек. Измерения (рисунок А.8) проводят с применением лестниц. Схема расположения лестниц приведена на рисунке А.4.
-
11.3.1 Измерение ширины днища.
Измерение ширины днища ВдБ, левого танка и ширины днища В^Б, правого танка (рисунок А.9) проводят с применением вертикально-ориентированной и горизонтально-ориентированной реек.
Измерения проводят два специалиста.
-
11.3.1.1 Первый специалист располагается на лестнице, совмещает конец рейки с точкой A2(Aq) , размеченной по перечислению б) или г) пункта 9.2.1, и горизонтирует рейку по круговому уровню.
Примечание - В обозначениях точек измерений на рисунках вида, например Д1(Д4), первый символ указывает точку в кормовой части танка, второй символ в скобках указывает точку в носовой части танка
-
11.3.1.2 Второй специалист устанавливает рейку в точку Aj(A4) обеспечивает вертикальность второй рейки по круговому уровню и снимает показания с горизонтальной рейки.
Измерения проводят не менее двух раз, расхождение между результатами измерений не должно превышать более 1 мм.
Результаты измерений В^Б[В^Б] вносят в протокол измерений, форма которого приведена в приложении Б (таблица Б.4).
-
11.3.1.3 Первый специалист располагается на лестнице, совмещает конец рейки с точкой Д7( Д8) и горизонтирует рейку по круговому уровню.
-
11.3.1.4 Второй специалист устанавливает рейку в точку А, (Д4) обеспечивает вертикальность второй рейки по круговому уровню и снимает показания с горизонтальной рейки.
Измерения проводят не менее двух раз, расхождение между результатами измерений не должно превышать более 1 мм.
Результаты измерений В^ (Вп^) вносят в протокол измерений, форма которого приведена в приложении Б (таблица Б.4).
-
11.3.2 Измерение ширины центральной части днища.
Измерение ширины центральной части днища Вд6 левого танка и ширины днища В^Б правого танка (рисунок А.9) проводят с применением вертикально-ориентированной и горизонтально-ориентированной реек.
Измерения проводят два специалиста.
-
11.3.2.1 Первый специалист располагается на лестнице, совмещает конец рейки с точкой Ад (До) и горизонтирует рейку по круговому уровню.
-
11.3.2.2 Второй специалист устанавливает рейку в точку Д7 (Д8) обеспечивает вертикальность второй рейки по круговому уровню и снимает показания с горизонтальной рейки.
Измерения проводят не менее двух раз, расхождение между результатами измерений не должно превышать более 1 мм.
Результаты измерений В^Б^ВрБ^ вносят в протокол измерений, форма которого приведена в приложении Б (таблица Б.4).
-
11.3.3 Измерение длины дуги центральной части днища.
Измерение длины дуги центральной части днища L^B ) проводят измерительной рулеткой в носовой и кормовой части днища (рисунок А.8). Измерения проводят не менее двух раз, расхождение между результатами измерений не должно превышать более 1 мм.
Результаты измерений вносят в протокол измерений, форма которого при
ведена в приложении Б (таблица Б.4).
-
11.3.4 Измерение ширины носового скоса в нижней части.
Измерение ширины носового скоса в нижней части ВЛБ{ВЛБ^ проводят измерительной рулеткой в носовой днища (рисунок А.З). Измерения проводят не менее двух раз, расхождение между результатами измерений не должно превышать более 1 мм.
Результаты измерений Вслб(Впб) вносят в протокол измерений, форма которого приведена в приложении Б (таблица Б.6).
Измерения длин параметров танка проводят с применением линейки (пункт 5.2.1.4) и рулетки измерительной (пункт 5.2.1.2). Измерения проводят не менее двух специалистов с применением лестниц. Схема расположения лестниц приведена на рисунке А.4.
-
11.4.1 Измерение длины борта танка.
Измерение длины борта танка проводят в двух сечениях проходящих через точки А3 - А& и точки А2 - А5, размеченных по 9.2.1.
-
11.4.1.1 Измерение длины борта танка в сечении А3 -А6 проводят в следующей последовательности (рисунки А.5, А.6):
-линейкой измеряют расстояние (/q) . мм> от стенки поперечной переборки в носовой части танка до точки А3;
-
- линейкой измеряют расстояние (/3 ) , мм, от стенки поперечной переборки в кормовой части танка до точки Ад;
-
- измерительной рулеткой измеряют расстояние /3, мм, между точками А3 - Ад.
Измерения каждого параметра проводят не менее двух раз. Расхождение между результатами измерений не должно быть более 1 мм.
Результаты измерений вносят в протокол измерений, форма которого приведена в приложении Б (таблица Б.5).
-
11.4.1.2 Измерение длины борта танка в сечении А2-А5 проводят аналогично 11.4.1.1.
Результаты измерений вносят в протокол измерений, форма которого приведена в приложении Б (таблица Б.5).
-
11.4.2 Измерение длины днища танка.
Измерение длины днища танка в сечении А, - А4 проводят в следующей последовательности (рисунки А.5, А.6):
-
- линейкой измеряют расстояние (/3 ) , мм, от стенки поперечной переборки в носовой части танка до точки А,;
мм, от стенки поперечной переборки в кор
- линейкой измеряют расстояние I /£ мовой части танка до точки А4;
- измерительной рулеткой измеряют расстояние /1 , мм, между точками А1 - А4.
Измерения каждого параметра проводят не менее двух раз. Расхождение между результатами измерений не должно быть более 1 мм.
Результаты измерений вносят в протокол измерений, форма которого приведена в приложении Б (таблица Б.5).
-
11.4.3 Измерение длины центральной части днища.
Измерение длины центральной части днища проводят в сечении А7 - Д8 (рисунки А.5, А.6) проводя аналогичные операции по 11.4.1.
Измерения каждого параметра проводят не менее двух раз. Расхождение между результатами измерений не должно быть более 1 мм.
Результаты измерений вносят в протокол измерений, форма которого приведена в приложении Б (таблица Б.5).
-
11.4.4 Измерение длины диаметральной переборки.
Измерение длины диаметральной переборки проводят в сечении ^-Ajq (рисунки А.5, А.6) проводя аналогичные операции по 11.4.1.
Измерения каждого параметра проводят не менее двух раз. Расхождение между результатами измерений не должно быть более 1 мм.
Результаты измерений вносят в протокол измерений, форма которого приведена в приложении Б (таблица Б.5).
-
11.4.5 Измерение длины нижнего скоса кормовых танков.
Измерение длины (рисунок А.З) нижнего скоса носовых танков левого борта 1?ПБ и правого борта 1?ПБ проводят измерительной рулеткой. Измерения проводят не менее двух раз. Расхождение между результатами измерений не должно быть более 1 мм.
Результаты измерений вносят в протокол измерений, форма которого приведена в приложении Б (таблица Б.6).
Измерение параметров верхнего скоса носовых и кормовых танков проводят с применением вертикально-ориентированной и горизонтально-ориентированной реек. Измерения (рисунок А.7) проводят с применением лестницы. Схема расположения лестницы приведена на рисунке А.7.
Измерения проводят два специалиста.
Первый специалист располагается на лестнице. Совмещает конец рейки с началом скоса. Горизонтально ориентирует рейку по круговому уровню.
Второй специалист совмещает конец рейки с концом скоса.
Первый специалист снимает показания со шкал реек - параметры Нск, LCK , мм.
Измерения проводят не менее двух раз. Расхождение между результатами измерений не должно быть более 1 мм.
Результаты измерений вносят в протокол измерений, форма которого приведена в приложении Б (таблица Б.6).
-
11.6 Измерения координаты точки измерений базовой высоты и уровня жидкости
-
11.6.1 Координату точки измерений базовой высоты и уровня жидкости (расстояния от торца танка, находящегося ближе к носу судна до центра измерительной трубы) /3, 1_Т мм, (рисунок А. 10), измеряют по палубе судна измерительной рулеткой не менее двух раз. Показания шкалы рулетки отсчитывают погрешностью: 1 мм. Расхождение между результатами двух измерений должно быть: не более 5 мм.
-
-
11.6.2 Результаты измерений l3, L-j- вносят в протокол, форма которого приведена в приложении Б (таблица Б.7).
-
11.7.1 Высоту превышения (рисунок А. 10) точки касания дна измерительной трубы грузом рулетки fn , мм, измеряют линейкой не менее двух раз. Показания шкалы штангенциркуля отсчитывают с погрешностью 1 мм. Расхождение между результатами двух измерений должно быть: не более 1 мм.
-
11.7.2 Результаты измерений fn вносят в протокол, форма которого приведена в приложении Б (таблица Б.7).
К внутренним деталям относят рамные шпангоуты таврового профиля (рисунок А. 11).
-
11.8.1 Линейными размерами элемента силового набора, подлежащими определениям, являются длина Ьп и толщина <5Л полки, высота hT, толщина tc стенки, т (число шпангоутов).
-
11.8.2 Толщину стенки таврового профиля tc определяют по результатам измерений (рисунок А.11) расстояний от торцов полки до стенки профиля Ь„, Ь" .
-
11.8.3 Высоту таврового профиля hT , мм, (рисунок А.11) измеряют измерительной линейкой. Показания шкалы линейки отсчитывают с погрешностью: ± 1 мм.
-
11.8.4 Величины ЬП,ЬП,Ь„,Ь„ , мм , измеряют штангенциркулем. Показания шкалы штангенциркуля отсчитывают с погрешностью: ± 0,2 мм.
-
11.8.5 Нижние и верхние границы расположения силовых элементов таврового профиля hH,hB, мм, измеряют измерительной рулеткой с грузом. Показания рулетки отсчитывают с погрешностью: ± 1 мм.
-
11.8.6 Результаты измерений величин bn, 5n, b„, b^, hH, hB вносят в протокол, форма которого приведена в приложении Б (таблица Б.8).
-
11.9 Измерения базовой высоты танка
-
11.9.1 Базовую высоту НБ, мм, измеряют рулеткой с грузом не менее двух раз. Показания шкалы рулетки отсчитывают с погрешностью: ± 1 мм. Расхождение между результатами двух измерений не должно превышать 2 мм.
-
Значение базовой высоты наносят на табличку, прикрепленной к измерительной трубе.
-
11.9.2 Результаты измерений НБ вносят в протокол, форма которого приведена в приложении Б (таблица Б.7).
-
11.9.3 Базовую высоту измеряют ежегодно. При изменении базовой высоты по сравнению с её значением, установленном при поверке танка, более чем на 0,1 % проводят внеочередную поверку танка.
Результаты ежегодных измерений базовой высоты оформляют актом, форма которого приведена в приложении Д.
-
12 ОБРАБОТКА РЕЗУЛЬТАТОВ ИЗМЕРЕНИЙ
-
12.1 Обработку результатов измерений при поверке проводят в соответствии с приложением В.
-
-
13 СОСТАВЛЕНИЕ ГРАДУИРОВОЧНОЙ ТАБЛИЦЫ
-
13.1 Градуировочную таблицу составляют, начиная от точки касания дна измерительной трубы грузом рулетки до предельного уровня Нпр , вычисляя посантиметровую вместимость танка (вместимость на 10 мм уровня наполнения). Данные представляют в см.
-
13.1.1 При составлении градуировочной таблицы определяют:
-
-
-
- вместимость неизмеряемого объема (остатка) танка Vq, м3 по формуле (В.25);
-
- для танков кроме носовых вместимость V м3/мм при наполнении от 0 до уровня Н< по формуле (В.27);
-
- для носовых танков вместимость Vм3/мм при наполнении от 0 до уровня по формуле (В.29);
-
- для танков кроме носовых вместимость 1/(/-/2) м3/мм при наполнении от до уровня Н2 по формуле (В.37);
-для носовых танков вместимость У(Н2)н м3/мм при наполнении от Ц до уровня Н2 по формуле (В.39);
-
- для танков кроме носовых вместимость У(/73) м3/мм при наполнении от Н2 до уровня Н3 по формуле (В.42);
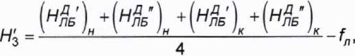
-
- для носовых танков вместимость V[H3)H м3/мм при наполнении от Н2 до уровня Н3 по формуле (В.43);
S- - для танков кроме кормовых и носовых вместимость V (Н4) м3/мм при наполнении
от Н3 до уровня Н4 по формуле (В.46);
-
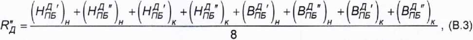
- для кормовых танков вместимость V (Н3)к м3/мм при наполнении от Н3 до уровня Н4 по формуле (В.47);
-для носовых танков вместимость У(/-/3)н м3/мм при наполнении от Н3 до уровня Н4 по формуле (В.50).
-
13.2 В пределах предельного уровня Нпр вычисляют коэффициент вместимости, равный вместимости, приходящейся на 1 мм высоты наполнения.
-
13.3 При составлении градуировочной таблицы значения вместимости танка округляют до 0,001 м3.
-
13.4 Значения посантиметровой вместимости танка, указанные в градуировочной таблице, соответствуют температуре 20° С.
-
13.5 Результаты расчетов при составлении градуировочной таблицы вносят в журнал, форма которого приведена в приложении Г.
-
13.6 Обработка результатов измерений может быть проведена ручным способом или с использованием компьютера.
-
13.7 Результаты измерений должны быть оформлены протоколом поверки танка, форма которого приведена в приложении Б.
-
13.8 Протокол поверки является входным документом при расчете градуировочной таблицы на компьютере.
-
14 ОФОРМЛЕНИЕ РЕЗУЛЬТАТОВ ПОВЕРКИ
-
14.1 Результаты поверки танка оформляют свидетельством о поверке в соответствии с [4].
-
14.2 К свидетельству о поверке прилагают:
-
а) градуировочную таблицу;
б) протокол поверки (оригинал прикладывают к первому экземпляру градуировочной таблицы).
-
14.3 Форма титульного листа градуировочной таблицы и форма градуировочной таблицы приведены в приложении Г. Форма акта ежегодных измерений базовой высоты танка приведена в приложении Д.
Протокол поверки, титульного листа и последнюю страницу градуировочной таблицы подписывает поверитель. Подпись заверяют знаком поверки.
-
14.4 Градуировочную таблицу утверждает руководитель организации (уполномоченное лицо), аккредитованной на право поверки танков наливных судов.
ПРИЛОЖЕНИЕ А
(обязательное)





РГС-27О/31 PTC-W21 РГС-37О/11




1 -2 - борт левого танка; 2-3 - днище левого танка; 3-4 - центральная часть днища левого танка; 4-5 - центральная часть днища правого танка; 5-6 - днище правого танка;
6-7 - борт правого танка; 4-8 - диаметральная переборка
Рисунок А.1 - Схема размещения танков на танкере проекта 1754 БМ
и составных частей танка
Схемы оборудования и измерений параметров танка без носового скоса при поверке






а) - танк левого борта (левый танк); б) - танк правого борта (правый танк); 1 - днище левого борта; 2 - центральная часть днища левого борта; 3, 6 - измерительные трубы; 4 - днище правого борта; 5 - центральная часть днища правого борта; 7,8-люк лаз левого и правого танка, соответственно; НЛБ,НПБ - высота левого и правого танка по борту, соответственно; Ндп - высота по диаметральной переборке;
НЛБ' НЛБ - высота днища левого и правого танка, соответственно; 1_ЛБ, LnB - длина левого и правого танка, соответственно; ВЛБ, ВПБ - ширина левого и правого танка, соответственно; ВЛБ, ВЛБ - ширина центральной части днища левого и правого танка, соответственно.
Схемы оборудования и измерений параметров танка с носовым скосом при поверке

а) - танк левого борта (левый танк); б) - танк правого борта (правый танк); 1 - днище левого борта; 2 - центральная часть днища левого борта; 3, 6 - измерительные трубы; 4 - днище правого борта; 5 - центральная часть днища правого борта; 7,8 — люк лаз левого и правого танка, соответственно; НПБ\ НПБ - высота левого и правого танка по борту, соответственно; Ндп - высота по диаметральной переборке;
Нлб'< ^ПБ - высота днища левого и правого танка, соответственно; 1_ЛБ', 1_ПБ - длина левого и правого танка, соответственно; бЛ5; ВПБ - ширина левого и правого танка, соответственно; ВЛЁ; В^Б - ширина центральной части днища левого и правого танка, соответственно; ВЛБ; В^Б - ширина носовой части левого и правого танка, соответственно; £Л6; 1_СПБ - длина скоса левого и правого танка, соответственно;

левый танк
правый танк


Д, Д,...,Д, Д,...,А7, До -точки измерений.
Рисунок А.5 - Схема измерений линейных расстояний (длин) параметров танка с носовым скосом

Рисунок А.6 - Схема измерений линейных расстояний (длин) параметров танка без носового скоса

1 - вертикально-ориентированная рейка; 2 - горизонтально-ориентированная рейка, 3 -лестница


1 - лестница; 2 - горизонтально-ориентированная рейка; 3 - вертикальноориентированная рейка; 4 - нивелир; До, Д.....Ао-^1’ С2,С3, С4 -точки измерений
Рисунок А.8 - Схема измерений высот параметров танка


1 - вертикально-ориентированная рейка; 2 - горизонтально-ориентированная рейка;
3- лестница; Со, С^-.-.Сд - точки измерений
Рисунок А.9 - Схема измерений ширин параметров танка



1, 2 - измерительная труба; 3 - продольная диаметральная переборка;
координата точки измерений базовой высоты левого и правого танка, соответственно, и уровня жидкости; Ц- _ рассояние от продольной диаметральной переборки до образующей измерительной трубы; Нпр- предельный уровень градуировки танка; /д - расстояние от днища левого и правого танка, соответственно, до дна измерительной трубы.
Рисунок А. 10 - Схема измерений параметров танка
ьп

’’ | ||
777777/ |
7777777. | |
V, |
I |

1 - полка профиля; 2 - стенка профиля; 3 - стенки танка (борта); Ьп - ширина полки профиля; tc - толщина стенки профиля; hT - высота стенки профиля; 5П - толщина полки профиля.
Рисунок А. 11 - Схема измерений параметров таврового профиля.
ПРИЛОЖЕНИЕ Б
(обязательное)
Форма протокола поверки танка
ПРОТОКОЛ
поверки танка
Таблица Б.1 - Общие данные
Код документа |
Регистрационный номер |
Дата |
Основание для проведения поверки | ||
число |
месяц |
год | |||

Продолжение таблицы Б.1
Место проведения поверки |
Средство измерения |
1 |
2 |
Окончание таблицы Б.1
Танк | |||
Номер |
Тип |
Назначение |
Погрешность определения вместимости, % |
3 |
4 |
5 |
6 |
Таблица Б.2- Условия проведения измерений
Температура воздуха , °C |
Загазованность, мг/м3 |
Таблица Б.3 - Высота параметров танка В миллиметрах
Наименование параметра |
Место измерений | |
корма |
нос | |
Высота танка по борту НЛБ (НПБ) | ||
Высота днища НЛБ \ НЛБ ^ | ||
Высота диаметральной переборки танка Ндп | ||
Высота центральной части днища НЛ°Б ^НЛБ^ | ||
Высоты превышения НЛ7^А^ | ||
Высоты превышения |
Таблица Б.4- Ширина параметров танка
В миллиметрах
Наименование параметра |
Место измерений | |
корма |
нос | |
Ширина днища ВДБ | ||
Ширина днища В'^ (B^j | ||
Ширина центральной части днища ВЛБ (вЛБ^ | ||
Ширина носовой части танка ВЛБ | ||
Длина дуги центральной части днища |
Таблица Б.6- Параметры скоса носовых и кормовых танков В миллиметрах
Наименование параметра |
Значение параметра при номере измерении | |
первое |
второе | |
Длина нижнего скоса 1_СЛБ , 1_СПБ | ||
Длина верхнего скоса LCK | ||
Высота верхнего скоса Нск |
Таблица Б.7- Параметры танка
Измеряемый параметр |
Номер измерения |
Показание рулетки, линейки, мм |
Координата точки измерений базовой высоты и уров-ня жидкости /з |
1 | |
2 | ||
Координата точки измерений базовой высоты и уров-ня жидкости /у |
1 | |
2 | ||
Высота превышения точки касания дна измеритель-ной трубы грузом рулетки f„ |
1 | |
2 | ||
Базовая высота танка НБ |
1 | |
2 |
Таблица Б, 8 - Рамный шпангоут (тавровый профиль)
№ п/п |
Размеры профиля, мм |
Размеры полки профиля, мм | |||||
высота h т |
положение |
длина Ьп |
толщина <?п |
расстояние | |||
нижнее ьи |
верхнее hB |
Ь' |
Ьп | ||||
1 |
2 |
3 |
4 |
5 |
6 |
7 |
8 |
Инициалы, фамилии

Таблица Б.5- Длина параметров танка
В миллиметрах
Плоскость измерений через точки |
Расстояние | ||
от поперечной переборки до вертикальной линии |
между точками измерений / | ||
(«) |
('о) | ||
Аз А | |||
А а5 | |||
А А | |||
А А8 | |||
А Ао | |||
Подписи и знак поверки
Должности
ПРИЛОЖЕНИЕ В (обязательное)
ОБРАБОТКА РЕЗУЛЬТАТОВ ИЗМЕРЕНИЙ
В. 1 Вычисление площадей поперечных сечений поясов танка
В. 1.1 Площадь поперечного сечения So, м2, неизмеряемого объема 1/0 (рисунок В.1) вычисляют по формуле
д ■ arccos

(В.1)
где Кд - радиус днища, мм;
fn - высота превышения точки касания дна измерительной трубы грузом рулетки, принимаемая по таблице Б.7, мм.

Рисунок В.1 - Схема расположения объемов в поперечном сечении танка
Радиус днища Кд, мм:
-для левого танка вычисляют по формуле измерении в носовой и кормовой части танка, принимаемые по таблице Б.З, мм;

I

I > н


| - высоты днища, измеренные при первом, к
втором
(вДБ | , [В$Б) , _ ширины днища измеренные при первом, втором
измерении в носовой и кормовой части танка, принимаемые по таблице Б.4, мм;
- для правого танка вычисляют по формуле

где

- высоты днища, измеренные при первом,
втором
измерении в носовой и кормовой части танка, принимаемые по таблице Б.З, мм;
, [Впб^ > ) > (&пб ) ~ ширины днища измеренные при первом, втором
измерении в носовой и кормовой части танка, принимаемые по таблице Б.4, мм.
В. 1.2 Площадь поперечного сечения (рисунок В.2) м2, объема Ц (рисунок
В.1) в пределах уровня от 0 до уровня Ц вычисляют по формуле

где Яд - радиус днища, вычисляемый по формуле (В.2) или (В.З), мм;

fn - высота превышения точки касания дна измерительной трубы грузом рулетки, принимаемая по таблице Б.7, мм;
Н - уровень жидкости отсчитываемый от точки начала отсчета, в пределах уровня от 0 до уровня Н-,, мм (рисунок В.2).

Рисунок В.2 - Схема параметров измерений в объеме Ц
В.1.2.1 Уровень Hv мм:
- для левого танка, вычисляют по формуле

+
к


■)-


')
(В.5)
4

шения измеренные при первом, втором измерении в носовой и кормовой части танка, принимаемые по таблице Б.З, мм;
fn - высота превышения точки касания дна измерительной трубы грузом рулетки, принимаемая по таблице Б.7, мм;
- для правого танка, вычисляют по формуле

шения измеренные при первом, втором измерении в носовой и кормовой части танка, принимаемые по таблице Б.З, мм;
/д - высота превышения точки касания дна измерительной трубы грузом рулетки, принимаемая по таблице Б.7, мм.
В. 1.3 Площадь поперечного сечения (рисунок В.З) S(H2), м2, объема У2 (рисунок В.1) в пределах уровня от до Н2 вычисляют по формуле
s(h2) = s(h’)+s(h22)-s(h4). (В.7)
Уровень Н2, мм:
- для левого танка, вычисляют по формуле

измеренные при первом, втором измерении в носовой и кормовой части танка, принимаемые по таблице Б.З, мм;
fn - высота превышения точки касания дна измерительной трубы грузом рулетки, принимаемая по таблице Б.7, мм;
-для правого танка, вычисляют по формуле

измеренные при первом, втором измерении в носовой и кормовой части танка, принимаемые по таблице Б.З, мм;
fn - высота превышения точки касания дна измерительной трубы грузом рулетки, принимаемая по таблице Б.7, мм;
В. 1.3.1 Площадь сечения , м2, вычисляют по формуле

arccos

206
S1 (В.10)
2’
где - радиус днища, вычисляемый по формуле (В.2) или (В.З), мм;
fn - высота превышения точки касания дна измерительной трубы грузом рулетки, принимаемая по таблице Б.7, мм;
/7 - уровень жидкости отсчитываемый от точки начала отсчета в пределах уровня от до уровня Н2 , мм, (рисунок В.З);
S1 - площадь сечения на уровне /7^ вычисляемая по формуле (В.4), м2.

Рисунок В.З - Схема параметров измерений в объеме 1/2
В.1.3.2 Площадь сечения S^HJ^.m2:
- для левого танка вычисляют по формуле ренные при первом, втором измерении в носовой и кормовой части танка, принимаемые по таблице Б.4, мм;

') -(б/в") >(6лб') .te'j - ширины днищ, изме-


fn - высота превышения точки касания дна измерительной трубы грузом рулетки,
принимаемая по таблице Б.7, мм;
Н - уровень жидкости отсчитываемый от точки начала отсчета в пределах уровня от до уровня Н2 , мм, (рисунок В.З);
Н-^ - уровень вычисляемый по формуле (В.5) или (В.6), мм;
- для правого танка вычисляют по формуле

I 806 J
((<) |
+( | ||||
\ /н |
'н X |
'к |
/ |
к | |
,+(й™\ |
ь |
и |
(В.12)
где

- ширины днищ, изме
ренные при первом, втором измерении в носовой и кормовой части танка, принимаемые по таблице Б.4, мм;
fn - высота превышения точки касания дна измерительной трубы грузом рулетки,

принимаемая по таблице Б.7, мм;
Н - уровень жидкости отсчитываемый от точки начала отсчета в пределах уровня от Н] до уровня Н2 , мм, (рисунок В.З);
- уровень вычисляемый по формуле (В.5) или (В.6), мм;
В.1.3.3 Площадь сечения м2, вычисляют по формуле
s(4<) = 10"e< (R4)2arccos
-10 6 j(RM)2arccos
_ (н2 - ^)]^(H2_Hi)_(H2_Hi)2,_
-(Н-Н,
Г-
(В.13)

Радиус центральной части днища , мм, вычисляют по формуле

(В.14)
где Н - уровень жидкости в пределах от уровня вычисляемого по формуле (В.5) или (В.6), до уровня Н2, вычисляемого по формуле (В.8) или (В.9), мм;
£.ц - длина дуги , принимаемая по таблице Б.4, мм.
В. 1.4 Площадь поперечного сечения (рисунок В.4) S(H3), м2, объема \/3
(рисунок В.1) в пределах уровня от Н2 до Н3 вычисляют по формуле
(В.15)
Уровень Н3, мм:
- для левого танка, вычисляют по формуле

(В. 16)
где

- высоты превышения измеренные при первом, вто
ром измерении в носовой и кормовой части танка, принимаемые по таблице Б.З, мм; fn - высота превышения точки касания дна измерительной трубы грузом рулетки,
принимаемая по таблице Б.7, мм;
- для правого танка, вычисляют по формуле

*--f
*Л'
(В.17)
где
• высоты превышения измеренные при первом, вто-к
ром измерении в носовой и кормовой части танка, принимаемые по таблице Б.З, мм; fn - высота превышения точки касания дна измерительной трубы грузом рулетки, принимаемая по таблице Б.7, мм;


Рисунок В.4 - Схема параметров измерений в объеме
В.1.4.1 Площадь сечения , м2, вычисляют по формуле
Rjj arccos
V J_________
20е
(В.18)
2 2 ’
где Кд - радиус днища, вычисляемый по формуле (В.2) или (В.З), мм;
f„ - высота превышения точки касания дна измерительной трубы грузом рулетки, принимаемая по таблице Б.7, мм;
Н - уровень жидкости отсчитываемый от точки начала отсчета в пределах уровня от Н2 до уровня Н3 , мм, (рисунок В.4);
S-| - площадь сечения на уровне Hv вычисляемая по формуле (В.4), м2;
S2 - площадь сечения в пределах уровня от до Н2, вычисляемая по формуле (В.7), м2.
В. 1.4.2 Площадь сечения S^H3 j , м2:
- для левого танка, вычисляют по формуле

где

- ширины днищ, изме
ренные при первом, втором измерении в носовой и кормовой части танка, принимаемые по таблице Б.4, мм;
fn - высота превышения точки касания дна измерительной трубы грузом рулетки,
принимаемая по таблице Б.7, мм;
Н - уровень жидкости отсчитываемый от точки начала отсчета в пределах уровня от /72, вычисляемого по формуле (В.8) до уровня А73 , вычисляемого по формуле
(В.16), мм, (рисунок В.4);
- для правого танка, вычисляют по формуле ренные при первом, втором измерении в носовой и кормовой части танка, принимаемые по таблице Б.4, мм;


(В.20)
где

- ширины днищ, изме
- высота превышения точки касания дна измерительной трубы грузом рулетки,
принимаемая по таблице Б.7, мм;
Н - уровень жидкости отсчитываемый от точки начала отсчета в пределах уровня от Н2, вычисляемого по формуле (В.9) до уровня Н3 , вычисляемого по формуле
(В.17), мм, (рисунок В.4).
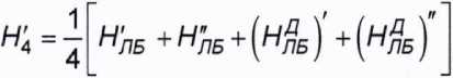
В.1.5 Площадь поперечного сечения (рисунок В.5) S4, м2, объема У4 (рисунок В.1) в пределах уровня от /-/3 до уровня НА вычисляют:
- для левого танка, вычисляют по формуле


(В.21)
где

- ширины днищ, изме
ренные при первом, втором измерении в носовой и кормовой части танка, принимаемые по таблице Б.4, мм;
- высота превышения точки касания дна измерительной трубы грузом рулетки,

принимаемая по таблице Б.7, мм;
Н - уровень жидкости отсчитываемый от точки начала отсчета в пределах уровня от уровня Н3 , вычисляемого по формуле (В. 16), до уровня Н4, вычисляемого по
формуле (В.23), мм, (рисунок В.5);

Рисунок В.5 - Схема параметров измерений в объеме V4
-для правого танка, вычисляют по формуле

(В.22)
где


J к

к^Пб[\ВПб)н’(ВПб[\ВПб[- ШИРИНЫ ДНИЩ, ИЗ-
меренные при первом, втором измерении в носовой и кормовой части танка, принимаемые по таблице Б.4, мм;
- высота превышения точки касания дна измерительной трубы грузом рулетки,
принимаемая по таблице Б.7, мм;
Н - уровень жидкости отсчитываемый от точки начала отсчета в пределах уровня от уровня Н3 , вычисляемого по формуле (В. 16), до уровня Н4, вычисляемого по
формуле (В.23), мм, (рисунок В.5).
В. 1.5.1 Высоту Н4, мм:
-для левого танка, вычисляют по формуле

(В.23)
где Н'ЛБ ,НЛБ,[НЛБ} ,(НЛБ]
- высоты, измеренные при первом, втором измерении в но
совой и кормовой части танка, принимаемые по таблице Б.З, мм. -для правого танка, вычисляют по формуле

(В.24)
где Н'ПБ ,Нпб<(^пб) <(Нпб)
- высоты, измеренные при первом, втором измерении в но
совой и кормовой части танка, принимаемые по таблице Б.З, мм.
В.2 Вычисление посантиметровой вместимости танка
В.2.1 Вместимость неизмеряемого объема танка Vq, м3, вычисляют по формуле
Vo = So-/_o-1O“3, (В.25)
где So - площадь поперечного сечения, вычисляемая по формуле (В. 1), м2;
Lq - длина днища танка, мм.
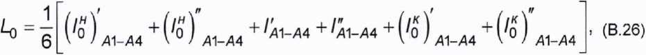
В.2.1.1 Длину днища танка Lq вычисляют по формуле

гяе — длины в плоскости
измерений A|-At при первом и втором измерений в носовой и кормовой части танки, приведенные в таблице Б.5.
В.2.2 Посантиметровую вместимость танка, за исключением носового танка, V (Н^, м3, в пределах уровня наполнения от 0 до уровня вычисляют по формуле
\/(H1) = V'0 + S1L1-1O-3,
(В.27)

где Vo - вместимость неизмеряемого объема, вычисляемая по формуле (В.25), м3;
Sd - площадь поперечного сечения, в пределах изменения уровня от 0 до уровня Н., вычисляемая по формуле (В.4), м2;
- длина днища танка в пределах высоты наполнения Нь вычисляемая по формуле (В.28), мм.
В.2.2.1 Длину днища танка в пределах высоты наполнения вычисляют по форму
ле

ГДе ('о)д7.Л8'(/о") Д7-ЛЗ,/;’7-Л8,/д7-Л8'('“)а7-Л8’(/°) А7-А8 ’ ДЛ‘1НЫ В пл<х:|<ОСТИ измерений Д7-Д8 при первом и втором измерений в носовой и кормовой части танки, приведенные в таблице Б.5.
В.2.3 Посантиметровую вместимость носового танка, , м3, в пределах уровня
наполнения от 0 до уровня вычисляют по формуле
l/(H,)" = V(H,)c-V(H,),
(В.29)
где V (Н^ - посантиметровая вместимость танка, в пределах уровня наполнения от 0 до уровня Н-\ , вычисляемая по формуле (В.27), м3;
У (/-/., )с “ посантиметровая вместимость танка неисключенного объема скоса танка, в пределах уровня наполнения от 0 до уровня , м3.
В.2.3.1 Посантиметровую вместимость танка неисключенного объема скоса танка V (Н^с, м3, в пределах уровня наполнения от 0 до уровня вычисляют по формуле

(В.ЗО)
где - площадь скоса, вычисляемая по формуле (В.31), м2;
1СК- длина скоса по диаметральной переборке, вычисляемая по формуле (В.32), мм.
В.2.3.2 Площадь скоса S{H1)C, м2, вычисляют по формуле

(В.31)
где Кд - радиус днища, вычисляемый по формуле (В.2) или (В.З), мм;
f„ - высота превышения точки касания дна измерительной трубы грузом рулетки, принимаемая по таблице Б.7, мм;
Н - уровень жидкости отсчитываемый от точки начала отсчета, в пределах уровня от 0 до уровня , мм (рисунок В.2).
В.2.3.3 Длину скоса по диаметральной переборке 1СК , мм, вычисляют по формуле

1ск 1-ск ' а ,
(В.32)
-для левого танка параметры вычисляют по формулам:

где ’(влб') >(влб) {влб'| ^влб") - ширины днищ, измеренные при первом,
втором измерении в кормовой части танка, принимаемые по таблице Б.4, мм;
п
табли-
| -длина скоса при первом, втором измерении, принимаемые по

1
(В.35)

(В.36)
где

I - ширины днищ, измеренные при к
первом, втором измерении в кормовой части танка, принимаемые по таблице Б.4, мм;
[1-пб) \^-пб) -Длина скоса при первом, втором измерении, принимаемые по таблице Б.6, мм.
В.2.4 Посантиметровую вместимость танка V(H2), м3, в пределах уровня наполнения от до уровня Н2 вычисляют по формуле
V(H2) = V^ + S2-L2-W-3, (В.37)
где Ц - вместимость объема на уровне Н,, вычисляемая по формуле (В.25), м3;
S2 - площадь поперечного сечения, в пределах изменения уровня от Ц до уровня
Н2, вычисляемая по формуле (В.4), м2;
L2 - длина днища танка в пределах высоты наполнения Н2, вычисляемая по формуле (В.38), мм.
В.2.4.1 Длину днища танка в пределах высоты наполнения Н2 вычисляют по форму
ле кости измерений Ag-Д^ при первом и втором измерений в носовой и кормовой части танки, приведенные в таблице Б.5.

(В 38)

- длины в плос
В.2.5 Посантиметровую вместимость носового танка, \/(Н^ , м3, в пределах уровня
наполнения от до уровня Н2 вычисляют по формуле
l/(H2)"=V(H2)c-V(H2), (В.39)
где V(/-/2) - посантиметровая вместимость танка, в пределах уровня наполнения отН^ до уровня Н2 , вычисляемая по формуле (В.37), м3;
\/(/-/2)С - посантиметровая вместимость танка неискпюченного объема скоса танка, в пределах уровня наполнения от до уровня Н2 , м3.
В.2.5.1 Посантиметровую вместимость танка неисключенного объема скоса танка V(Н2 )с, м3, в пределах уровня наполнения от 0 до уровня Ну вычисляют по формуле
m)MH + ^S(H2)C./„.1O-3
(В.40)
где S(H2)C - площадь скоса, вычисляемая по формуле (В.41), м2;
У” - посантиметровая вместимость носового танка на уровне Ну, вычисляемая по формуле (В.29), м3;
1СК - длина скоса по диаметральной переборке, вычисляемая по формуле (В.36), мм.
В.2.5.2 Площадь скоса S(/-/2)c , м2, вычисляют по формуле



(В.41)
где Яд - радиус днища, вычисляемый по формуле (В.2) или (В.З), мм;
fn - высота превышения точки касания дна измерительной трубы грузом рулетки, принимаемая по таблице Б.7, мм;
Н - уровень жидкости отсчитываемый от точки начала отсчета, в пределах уровня от до уровня Н2, мм (рисунок В.З);
S1 - площадь сечения на уровне Ц , вычисляемая по формуле (В.4), м2.
В.2.6 Посантиметровую вместимость танка, за исключением носового, \/(Н3), м3, в пределах уровня наполнения от Н2 до уровня Н3 вычисляют по формуле

(В.42)
где 1/2 - вместимость объема на уровне Н2, вычисляемая по формуле (В.37), м3;
S2 - площадь поперечного сечения, в пределах изменения уровня от Н2 до уровня
Н3, вычисляемая по формуле (В. 15), м2;
/_з - длина днища танка в пределах высоты наполнения Н3, вычисляемая по формуле (В.38), мм.
В.2.7 Посантиметровую вместимость носового танка У(/-/3)н, м3, в пределах уровня наполнения от Н2 до уровня Н3 вычисляют по формуле где V(Н3) - посантиметровая вместимость танка в пределах уровня наполнения от Н2 до уровня Н3, вычисляемая по формуле (В.42), м3;
V(H3)“ = V(H3)C-V(H3),
(В.43)
У(/-/2)с - посантиметровую вместимость танка неискпюченного объема скоса танка пределах уровня наполнения от Н2 до уровня Н3, м3.
В.2.7.1 Посантиметровую вместимость танка неисключенного объема скоса танка V(Н3)с, м3, в пределах уровня наполнения от 0 до уровня Ц вычисляют по формуле
V(H3)‘ = V2" +[s(H3)C /я -10-3]. (В.44)
где $(Н3)С - площадь скоса, вычисляемая по формуле (В.45), м2;
Ц” - посантиметровая вместимость носового танка на уровне Hv вычисляемая по формуле (В.29), м3;
1СК- длина скоса по диаметральной переборке, вычисляемая по формуле (В.36), мм.
В.2.7.2 Площадь скоса S(H2)C , м2, вычисляют по формуле где /?д - радиус днища, вычисляемый по формуле (В.2) или (В.З), мм;

(В.45)
fp - высота превышения точки касания дна измерительной трубы грузом рулетки, принимаемая по таблице Б.7, мм;
Н - уровень жидкости отсчитываемый от точки начала отсчета, в пределах уровня от Н2 до уровня Н3, мм (рисунок В.З);
S2 - площадь сечения на уровне Н2 , вычисляемая по формуле (В.7), м2.
В.2.8 Посантиметровую вместимость танка, за исключением кормового и носового, V(HA), м3, в пределах уровня наполнения от Н3 до уровня НА вычисляют по формуле
У(Н4) = У3+S4-IO-3, (В.46)
где У3 - вместимость объема на уровне Н3, вычисляемая по формуле (В.42), м3;
S4 - площадь поперечного сечения, в пределах изменения уровня от Н3 до уровня
НА, вычисляемая по формуле (В.21) или (В.22), м2;
1_2 - длина днища танка в пределах высоты наполнения Н3, вычисляемая по формуле (В.38), мм.
В.2.9 Посантиметровую вместимость кормового танка, V(HA)K , м3, в пределах уров
ня наполнения от Н3 до уровня НА вычисляют по формуле
V (Н4)" = V, + S„ • ■ 10'3 - V(Н„) - ДУцд. (В.47)
где У3 - вместимость объема на уровне Н3, вычисляемая по формуле (В.42), м3;
S3 - площадь поперечного сечения, в пределах изменения уровня от Н3 до уровня
НА, вычисляемая по формуле (В. 15), м2;
L2 - длина днища танка в пределах высоты наполнения Н3, вычисляемая по формуле (В.38), мм;
- объем внутренних деталей, находящихся в пределах изменения уровня от А73 до уровня Н4, вычисляемый по формуле (В.54), м3.
V(HCK) - объем верхнего скоса танка в пределах изменения уровня от Нск до Н4, м3.
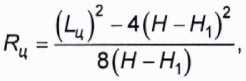
В.2.9.1 Объем верхнего скоса танка V(HW), м3, в пределах изменения уровня от
^всп ^4 •
- для левого танка вычисляют по формуле
V(Hj =(H + f„-HnB+HCK)\^-\L2-W-3,
(В.48)
- для правого танка вычисляют по формуле


(В.49)
В.2.10 Посантиметровую вместимость носового танка V(H4)H, м3, в пределах уровня наполнения от Н3 до уровня Н4 вычисляют по формуле
V(H4)"=V(H4)c-\/(H4), (В.50)
где V(H4) - посантиметровая вместимость танка в пределах уровня наполнения от Н3 до уровня Н4, вычисляемая по формуле (В.47), м3;
У(Н4)С - посантиметровую вместимость танка неискпюченного объема скоса танка пределах уровня наполнения от Н3 до уровня Н4, м3.
В.2.10.1 Посантиметровую вместимость танка неисключенного объема скоса танка 1/(Н4)с, м3, в пределах уровня наполнения от Н3 до уровня Н4 вычисляют по формуле где S(H4)C - площадь скоса, вычисляемая по формуле (В.52), м2;

(В.51)
У3Н - посантиметровая вместимость носового танка на уровне Н3, вычисляемая по формуле (В.42), м3;
1СК- длина скоса по диаметральной переборке, вычисляемая по формуле (В.36), мм.
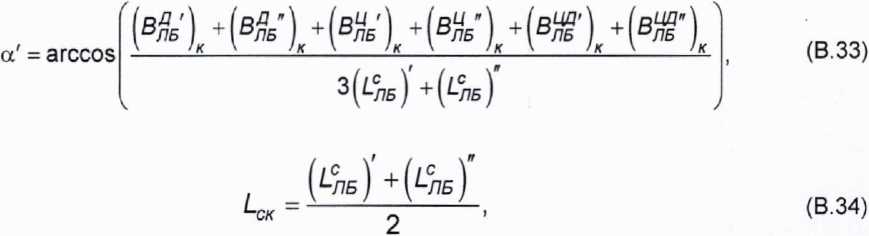
В.2.10.2 Площадь скоса S(H4)C, м2, в пределах уровня от Н3 до уровня НА вычисляют по формуле

(В.52)
где Н - уровень в пределах от Н3 до уровня Н4, мм;
Вск - ширина скоса, вычисляемая по формулам X, мм.
В.2.10.3 Ширину скоса Вск, мм, вычисляют по формуле
(В.53)
вск = 1~ск-sina
где LCK - длина скоса, вычисляемая по формуле (В.34) или (В.36), мм;
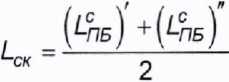
ос - угол, вычисляемый по формуле (В.33) или (В.35), рад.
В.З Вычисление объема внутренних деталей
К внутренним деталям относят рамные шпангоуты таврового профиля (рисунок А. 11).
В.3.1 Объем рамных шпангоутов, приходящийся на 1 мм высоты и/ш, м3/мм, вычисляют по формуле
106
(В.54)
где hT - высота стенки профиля, мм;
Ьп - ширина полки профиля, мм;
5П -толщина полки профиля, мм;
b^,b^j - ширина левой и правой стороны полки, мм; т - число шпангоутов.
ПРИЛОЖЕНИЕ Г (обязательное)
Форма титульного листа градуировочной таблицы и форма градуировочной таблицы
Г.1 Форма титульного листа градуировочной таблицы
УТВЕРЖДАЮ
«_____»_______________________г.
ГРАДУИРОВОЧНАЯ ТАБЛИЦА на стальной прямоугольный танк
№_________________ танкера типа_________________________________

Организация_________________________________________________________
Погрешность определения вместимости :________’
Программа расчета градуировочной таблицы на ПЭВМ утверждена ФГУП ВНИИР-ГНМЦ
«____»__________________________________г
Срок очередной поверки____________________________

Поверитель
ПОДПИСЬ
должность, инициалы,фамилия
Указывают в зависимости от номинальной вместимости танка.
Г.2 Форма градуировочной таблицы танка с негофрированными переборками
Организация______________________________________
Танк №__________________________
Таблица Г.1- Посантиметровая вместимость пояса танка
Уровень наполнения, см |
Вместимость,м3 |
Коэффициент вместимости м3/мм |
0 | ||
1 | ||
2 | ||
* • * | ||
ПРИЛОЖЕНИЕ Д
(обязательное)
Форма акта ежегодных измерений базовой высоты танка
УТВЕРЖДАЮ Руководитель предприятия владельца танкера (директор, гл. инженер)
АКТ измерений базовой высоты танка от «_____» _________________201__г.
Составлен в том, что комиссия, назначенная приказом по______________________
наименование предприятия-
____________________________________________ , и членов:___________________________
- владельца танкера инициалы , фамилии
провела по_________контрольные измерения базовой высоты танка танкера типа______
номинальной вместимостью_______м3 при температуре окружающего воздуха °C_____.
Результаты измерения представлены в таблице 1.
Таблица 1
В миллиметрах
Базовая высота танка | |
Среднее арифметическое значение результатов двух измерений (Нб)к |
Значение базовой высоты, установленное при поверке танка (Нд)п ,мм |
1 |
2 |
Относительное изменение базовой высоты танка 3$вычисляют по формуле
/тт \ _ /тт \
_ 6 к-------П-. ЮО, где значения величин (Нб)к , (Нб)п приведены в 1-й , 2-й графах.
(нб)п
Вывод: требуется (не требуется) внеочередная поверка танка
Председатель комиссии
ПОДПИСЬ |
инициалы, фамилия |
Члены : | |
ПОДПИСЬ |
инициалы, фамилия |
подпись |
инициалы, фамилия |
подпись |
инициалы, фамилия |
Указывают при заполнении.
БИБЛИОГРАФИЯ
-
[1] Приказ Минпромторга России от 30.11.2009 Ns 1081 (ред. от 25.06.2013) «Об утверждении Порядка проведения испытаний стандартных образцов или средств измерений в целях утверждения типа, Порядка утверждения типа стандартных образцов или типа средств измерений, Порядка выдачи свидетельств об утверждении типа стандартных образцов или типа средств измерений, установления и изменения срока действия указанных свидетельств и интервала между поверками средств измерений, требований к знакам утверждения типа стандартных образцов или типа средств измерений и порядка их нанесения» (Зарегистрировано в Минюсте России 25.12.2009 № 15866);
-
[2] ТУ 257761.007-87 Толщиномер ультразвуковой УТ-93П;
-
[3] ТУ ДКТЦ 413441.102 Анализатор - течеискатель АНТ-2М;
-
[4] Приказ Минпромторга России от 02.07.2015 Ns 1815 «Об утверждении Порядка проведения поверки средств измерений, требования к знаку поверки и содержанию свидетельства о поверке» (Зарегистрировано в Минюсте России 04.09.2015 Ns 38822).
УДК 53.089.6: 621.642.2/3.001.4:531.73:006.354 ОКС 17.020 Т88.3ОКСТУ 0008
Ключевые слова : танк, танкер, вместимость, уровень, поверка, градуировка, высота, поверитель, измерение, погрешность, температура, наливное судно.
50
ОБЛАСТЬ ПРИМЕНЕНИЯ
Настоящая инструкция распространяется на стальные прямоугольные резервуары (танки) с криволинейными днищами, номинальной вместимостью 270 м3 (РГС-270), номинальной вместимостью 370 м3 (РГС-370), номинальной вместимостью 470 м3 (РГС-470) речных наливных судов (танкеров) проекта 1754БМ, предназначенных для измерения объема нефти и нефтепродуктов, а также их приема, отпуска и транспортировки в составе наливного судна проекта 1754БМ.
Межповерочный интервал не более 5 лет.
НОРМАТИВНЫЕ ССЫЛКИ
В настоящей инструкции использованы ссылки на следующие стандарты:
ГОСТ 8.009-84 Государственная система обеспечения единства измерений. Нормируемые метрологические характеристики средства измерений;
ГОСТ 12.0.004-2015 Система стандартов безопасности труда. Организация обучения рабочих безопасности труда;
ГОСТ 12.1.005-88 Система стандартов безопасности труда. Общие санитарногигиенические требования к воздуху рабочей зоны;
ГОСТ 12.4.010-75 Система стандартов безопасности труда. Средства индивидуальной защиты. Рукавицы специальные. Технические условия;
ГОСТ 12.4.087-84 Система стандартов безопасности труда. Строительство. Каски строительные. Технические условия;
ГОСТ 12.4.137-2001 Обувь специальная с верхом из кожи для защиты от нефти, нефтепродуктов, кислот, щелочей, нетоксичной и взрывоопасной пыли. Технические условия;
ГОСТ 12.4.310-2016 Система стандартов безопасности труда. Одежда специальная для защиты работающих от воздействия нефти, нефтепродуктов. Технические требования;
ГОСТ 427-75 Линейки измерительные металлические. Технические условия;
ГОСТ 7502-98 Рулетки измерительные металлические. Технические условия;
ГОСТ 10528-90 Нивелиры. Общие технические условия;
ГОСТ 13837-79 Динамометры общего назначения. Технические условия.