Методика поверки «Системы измерений длительности соединений СИДС MangoSwitch» (МП 425760-001 -70165346-2018)
УТВЕРЖДАЮ
Директор Испытательного центра
СОГЛАСОВАНО
Генеральный директор
ООО «МАНГО ТЕЛЕКОМ»

сертификации и метрологии

г.
Трухин
СИСТЕМЫ ИЗМЕРЕНИЙ ДЛИТЕЛЬНОСТИ СОЕДИНЕНИЙ
СИДС MangoSwitch
Методика поверки
МП 425760-001-70165346-2018
СОДЕРЖАНИЕ
8 Оформление результатов поверки
ПРИЛОЖЕНИЕ А (справочное) Формирователь телефонных соединений Призма-М
А. 2 Математическая модель процесса испытаний
А. 4 Вероятности ошибок и исход испытаний СИДС.
ПРИЛОЖЕНИЕ Б (справочное) Таблицы результатов поверки
ПРИЛОЖЕНИЕ В (справочное) Описание формата файла подробного учета тарифной информации
Настоящая методика поверки (МП) устанавливает методы и средства первичной, периодической, инспекционной и экспертной поверки систем измерений длительности соединений СИДС MangoSwitch (далее по тексту - СИДС).
СИДС является виртуальной (функциональной) системой измерения длительности телефонных соединений оборудования с измерительными функциями - программно-аппаратного комплекса «MangoSwitch», версия ПО 1.2, далее КАТС «MangoSwitch», производства ООО «МАНГО ТЕЛЕКОМ», Москва, предназначенного для применения на сети связи общего пользования в качестве комбинированной станции с технологией коммутации пакетов информации, используемой одновременно в составе узла связи сети местной телефонной связи и узла связи сети фиксированной зоновой телефонной связи.
Методика разработана в соответствии с рекомендацией РМГ 51-2002 ГСП Документы на методики поверки средств измерений. Основные положения.
Объектом метрологического контроля при поверке является система измерений длительности соединений, входящая в состав вышеназванного оборудования.
Цель поверки - определение действительных значений метрологических характеристик (MX) СИДС и предоставление документа о возможности ее эксплуатации.
Поверку СИДС осуществляют один раз в два года метрологические службы, которые аккредитованы в системе Госстандарта на данные виды работ.
Требования настоящей методики поверки обязательны для метрологических служб юридических лиц независимо от форм собственности.
1 Операции поверки
При проведении поверки должны производиться операции, указанные в таблице 1.
Таблица 1.
Наименование операции |
Номер пункта документа по поверке |
Проведение операции при | |
первичной поверке |
периодической поверке | ||
1.1 Опробование |
7.1 |
+ |
+ |
1.2 Определение метрологических характеристик СИДС:
|
7.2 |
+ |
+ |
2 Средства поверки
2.1 При проведении поверки должны применяться рабочие эталоны, указанные в таблице 2.
Таблица 2
Наименование СИ |
Предел измерений, с |
Основная погрешность, с |
Тип СИ |
Примечание |
1 Формирователь телефонных соединений |
1 - 3600 3601 - 10800 |
±0,25 ±0,5 |
Призма-М |
4а2.770.070ТУ |
Примечания
3 В приложении А приведены характеристики прибора ПРИЗМА-М и математический аппарат, положенный в основу обработки результатов поверки (испытаний). |
3 Требования к квалификации поверителей
-
3.1 К проведению поверки допускаются лица:
-
- аттестованные в качестве поверителей радиотехнических СИ времени и частоты;
-
- изучившие эксплуатационную документацию СИДС и рабочих эталонов;
-
- имеющие навык работы на персональном компьютере (ПК) в операционной среде WINDOWS и имеющие знания в области IP-технологий;
-
- имеющие квалификационную группу по технике безопасности не ниже III.
4 Требования безопасности
-
4.1 Корпус ПК должен быть заземлен.
-
4.2 Рабочее место должно иметь соответствующее освещение.
-
4.3 При проведении поверки запрещается:
-
- проводить работы по монтажу и демонтажу применяемого в поверке оборудования;
-
- производить работы по подключению соединительных кабелей при включенном питании Призма-М и ПК.
5 Условия поверки
5.1 При проведении поверки должны соблюдаться следующие условия:
|
25 ± 10; 45 - 80; |
-
- атмосферное давление, кПа (мм рт.ст.) 84,0 - 105,7 (630 - 800).
6 Подготовка к проведению поверки
-
6.1 Перед проведением поверки необходимо провести следующие подготовительные работы:
-
- проверить (экран монитора PC) версию программного обеспечения прибора Призма-М (она должна быть 1.0 или выше);
-
- проверить срок действия свидетельства о поверке прибора Призма-М;
-
- разместить на рабочем столе персональный компьютер (PC), прибор Призма-М и принтер;
-
- установить удлинитель с тремя розетками типа «Евро» и подвести к рабочему месту однофазное переменное напряжение 220 В;
-
- собрать схему измерений в соответствии с рисунком 1 и руководством по эксплуатации на прибор Призма-М;
-
- ПК должен быть оснащен операционной системой WINDOWS-98/2000Pro/XP;
-
- откорректировать часы ПК прибора Призма-М по часам поверяемого оборудования;
-
- подключить прибор «Призма-М» к поверяемому оборудованию, в соответствии с рисунками 1, 2 или 3; подключить абонентов «АА» и «АО» «Призма» к свободным абонентским линиям поверяемого оборудования, через аналоговый абонентский доступ (рисунок 1), через шлюз SIP (рисунок 2) или через АТС (УПАТС) в соответствии с рисунком 3 - по аналоговым абонентским линиям, с образованием до 8-ми каналов связи «АА - АО».
Призма

Рисунок 1 - Схема поверки СИДС

Рисунок 2 - Схема поверки СИДС через абонентский SIP-шлюз
Призма

При использовании схемы 3 оборудование MangoSwitch соединяется с промежуточной АТС по тракту Е1. Оператор оборудования MangoSwitch должен переадресовать вызовы на номера промежуточной АТС, которые соединены с комплектами «АО» Призма.
-
6.2 При проведении поверки запрещается:
-
- проводить работы по монтажу и демонтажу применяемого в поверке оборудования;
-
- производить работы по подключению соединительных кабелей при включенном питании Призма и PC.
7 Проведение поверки
-
7.1 Опробование
Опробование производят по схеме в соответствии с рисунками 1,2 или 3.
-
7.1.1 Выполнить подготовительные операции:
-
- включить питание PC и прибора Призма-М;
-
- осуществить инсталляцию программного обеспечения, для этого вставить диск в CD-ROM дисковод. На экране появится диалоговое окно ’’ПРОГРАММА УСТАНОВКИ”. Дважды щелкнуть мышью по пункту ’’программа", расположенном в левой части окна. Это приведет к инициализации мастера инсталляции, в дальнейшем необходимо следовать его указаниям;
-
- после окончания инсталляции на жестком диске PC будет создан каталог PRIZMA-M с программами для управления работой прибора Призма-М;
-
- откорректировать машинное время PC по машинным часам поверяемого оборудования, допустимая погрешность ±2 с;
-
- запустить программу prizma-m.exe из каталога PRIZMA-M в операционной среде WINDOWS. После загрузки программы на экране монитора PC открывается основное окно программы, в верхней части которого расположено главное меню, ниже - основные пиктограммы и наименование прибора, рисунок 4.
Формирователь телефонных соединений ПРИЗМА-М
ПРИЗМА
Конфигурация
Формирователь телефонных соединений ПРИЗМА-М
Рисунок 4 - Основное окно программы
Выполнить подготовительные операции в соответствии с Руководством по эксплуатации ПРИЗМА-М, 4а2.770.070РЭ, раздел 2.4 Программное изделие ПРИЗМА-М 4a3.060.052:
- создать конфигурацию:
в меню Конфигурация щелкнуть по кнопке СОЗДАТЬ, при этом открывается окно Введите имя новой конфигурации, пример созданной конфигурации показан на рисунке 5,

Рисунок 5
- настроить Прибор, меню Прибор / Создать:
ввести данные в диалоговый бокс Глобальная настройка прибора, рисунок 6,

Прибор Справка
Общие ДВ ТЛФ | о Группы | _________
---------------Глобальная настройка прибора
■|
I
I
Имя настройки
Номер
Число комплектов ТЛФ
Число комплектов Eth
Число комплектов GSM/UMTS

: I
Рисунок 6
ввести собственные номера в окно (Прибор / ТЛФ), рисунок 7,

Рисунок 7
назначить группу для режима ТЛФ, (Прибор / Группы), рисунок 8.
1Настройка прибора |
U I' |
<| | |||
Прибор Справка | |||||
л е © | |||||
» Общие |i|fi ТПФ | |
S Группы | ||||
В | |||||
Группы комплектов ТГ А В @ (Группа! 1 Комплект 1 Комплект 2 Комплект 3 ; Комплект 4 • Комплект 5 Комплект 6 — Комплект? Комплект 8 Комплект 9 - • Комплект 10 |
______ J
Рисунок 8
-
- сохранить настройку прибора в меню Прибор / Сохранить и закрыть окно Настройка прибора...,
-
- подключить прибор к конфигурации (щелчок по кнопке + в окне Конфигурация), поместить курсор в виде изображения прибора в окно Конфигурация, щелкнуть левой клавишей мыши и заполнить окно Свойства узла связи, нажать на кнопку Сохранить конфигурацию, рисунок 9,
Рисунок 9
-
- настроить испытание, меню Испытание / Диспетчер испытаний / Добавить испытание, выбрать тип СИДС MangoSwitch из группы СПС.
В окне Настройка прибора последовательно ввести данные в закладки Общие, ТЛФ:
-
- в закладке ТЛФ заблокировать неиспользуемые порты и выбрать вид набора.
-
- в бокс Файлы СИДС ввести произвольное имя, под которым будут сохранены результаты поверки СИДС (например, дата поверки без разделителей - mangoswitch.txt) и ввести вероятность отказа СИДС, равную 10 промилле;
-
- в окне Алгоритм испытаний - создать алгоритм опробования, для этого необходимо выделить этап 1, проверить, что данные соответствуют п.1 таблицы 3 (в окне Инструментарии нажать кнопку Редактировать этап, при этом открывается окно Параметры испытаний), далее удалить этапы 2-6, нажав кнопку Удалить этап;
-
- закрыть окно, сохранив произведённые настройки;
-
- в главном меню проверить подключение прибора меню Приборы / Проверка подключения прибора и состояние прибора меню Испытание / Проверка состояния прибора.
-
7.1.2 Запуск программы опробования
В окне Диспетчер испытаний выделить испытание и щелкнуть по кнопке Запустить испытание,
-
- процедуру опробования Призма-М выполняет автоматически по заранее заданной программе. Она формирует два цикла коротких телефонных соединений (20 с) одновременно по восьми абонентским линиям,
-
- по завершении в окне программы появляется сообщение Работа завершена.
-
7.1.3 Процедура снятия учетной информации с поверяемого оборудования
После окончания процедуры опробования оператор должен снять учетную информацию на рабочем месте администратора:
-
- для получения полной информации о звонках, необходимо убедиться, что активный файл закрыт и информация готова для отправки в АСР, после выполнения этих требований можно снять файл;
-
- в приложении В приведено описание формата файла подробного учета;
-
- учетная информация о длительности телефонных соединений передается и копируется в каталог Prizma-M \ MangoSwitch \ имя конфигурации \ дата испытаний в PC, управляющий прибором Призма-М, любым доступным для конкретной схемы поверки способом:
-
- локальная сеть предприятия;
-
- накопитель информации, подключаемый к USB порту;
-
- E-mail;
-
- CD-ROM
-
7.1.4 Копирование результатов опробования при помощи USB - накопителя
Поверитель должен скопировать полученный у оператора учетный файл на жесткий диск PC в каталог Prizma-M \ MangoSwitch \ имя конфигурации \ дата испытаний.
-
7.1.5 Обработка результатов опробования (проверка работы конвертора):
-
- выбрать в главном меню пункт Испытания \ Статистика СИДС. На экран выдается стандартное окно выбора файла Статистика СИДС, в котором оператор должен выбрать файл, содержащий информацию о результатах поверки СИДС,
-
- запускается программа расчета статистики СИДС, Призма-М автоматически обрабатывает результаты опробования по заложенной программе,
-
- в результате выдается диалоговое окно Статистика СИДС. Заголовок окна содержит дату проведения испытаний, имя файла и тип шаблона, а также пять вкладок: Текущие результаты, Итоговые результаты, Показания СИДС, Отказы СИДС, Доверительные интервалы,
При выборе вкладки Итоговые результаты визуально по таблицам (на экране дисплея) оценивают результаты опробования (успешно, неуспешно):
-
- при успешном результате опробования испытания продолжается;
-
- при неуспешном результате, испытания прекращается до устранения неисправности.
-
7.2 Определение метрологических характеристик.
-
7.2.1 Поверку СИДС проводят на репрезентативных выборках комплексным (сквозным) методом, суть которого заключается в многократной подаче на вход испытываемого оборудования сигнала эталонной длительности телефонного соединения, а по средствам отображения информации (дисплей или учетные файлы) определяют длительности каждого соединения, измеренные СИДС, с дальнейшей обработкой и оценкой метрологических характеристик (MX).
-
7.2.2 Для СИДС нормируются следующие MX:
Обозначение характеристики |
Значение |
Пределы допускаемой абсолютной погрешности измерения длительности телефонных соединений в диапазоне от 1 до 3600 с, с |
±1 |
Вероятность неправильной работы систем измерений длительности телефонных соединений, выражающейся в превышении допустимой погрешности измерений длительности соединения или недостоверном определении номеров вызывающего и вызываемого абонентов, не более |
0,0001 |
-
7.2.3 В процессе поверки для СИДС определяются:
-
- систематическая составляющая погрешности;
-
- СКО для суммарной, систематической и случайной составляющих погрешности;
-
- 95%-ный доверительный интервал систематической составляющей погрешности и СКО систематической составляющей погрешности;
-
7.2.3 Определение метрологических характеристик производят по схеме рисунка 1.
-
7.2.4 Выполнить процедуру настройки поверки:
-
- открыть окно Алгоритм испытаний - создать алгоритм поверки, для этого необходимо ввести этапы, используя предлагаемый Инструментарий - Добавить этап и Редактировать этапы;
-
- в окне Параметры испытаний - ввести данные в соответствии с п.1 - 6 таблицы 3 Применить;
В результате должно быть 6 этапов с параметрами поверки, приведенными в таблицеЗ.
-
7.2.5 Процедура поверки
Процедуру поверки Призма-М выполняет автоматически - формирует необходимое количество циклов телефонных соединений одновременно по восьми абонентским линиям в соответствии с таблицей 3.
Т а б лица 3
№ точки, i |
Длительность телефонных соединений в i - й точке, с |
Количество телефонных соединений, Nj | |
Первичная поверка |
Периодическая поверка | ||
1 |
20 |
16 |
16 |
2 |
3600* |
8 |
- |
3 |
600 |
16 |
8 |
4 |
200 |
16 |
16 |
5 |
100 |
16 |
16 |
6 |
2 |
300 |
250 |
Примечания:
-
1. Точка 1 используется для проведения опробования;
-
2. *В случае невозможности установления длительности соединения, равной 3600 с, по причине особенностей программного обеспечения данного типа СИДС, установить максимально возможную длительность, указанную оператором связи;
-
3. Если в процессе поверки используется другое количество абонентских комплектов, необходимо рассчитать требуемое количество соединений по каждому комплекту, чтобы суммарное количество получилось равным рекомендуемому в данной таблице.
8 Обработка результатов измерений
-
8.1 Обработка результатов измерений по п. 7.1 и определение MX производится полностью автоматически в PC по соответствующей программе.
-
8.3 Результаты поверки СИДС считаются положительными, если для всех соединений погрешность измерения длительности не превышает предельное значение и отсутствуют потери вызовов из-за неправильного определения номера автоабонента или автоответчика.
-
8.4 Результаты поверки СИДС считаются отрицательными, если хотя бы для одного соединения погрешность измерения длительности превышает предельное значение и имеется потеря вызовов из-за неправильного определения номера автоабонента или автоответчика.
-
8.5 При отрицательных результатах поверки СИДС после устранения причин проводится повторная поверка в объеме первичной поверки.
8 Оформление результатов поверки
-
9.1 Результаты поверки оформляют протоколом произвольной формы и свидетельством установленной формы в случае соответствия тестеров требованиям, указанным в технической документации.
-
9.2 Если СИДС по результатам поверки признан непригодным к применению, то «Свидетельство о поверке» аннулируется, выписывается «Извещение о непригодности к применению» установленной формы и ее эксплуатация запрещается.
-
9.3 Формы «Свидетельство о поверке» и «Извещение о непригодности к применению» оформляются в соответствии с документом «Порядок проведения поверки средств измерений, требования к знаку поверки и содержанию свидетельства о поверке», утвержденным Приказом Минпромторга России № 1815 от 02.07.2015, зарегистрированным в Минюсте России, регистрационный № 38822 от 04.09.2015 г.
-
9.4 В обоих случаях составляется протокол поверки в произвольной форме и в качестве приложений прикладываются распечатки таблиц результатов поверки.
Формы таблиц приведены в приложении Б.
ПРИЛОЖЕНИЕ А
(справочное)
Формирователь телефонных соединений Призма-М
А1 Общие сведения
Формирователь телефонных соединений прибор Призма-М (далее прибор) представляет собой программно-аппаратный комплекс, сопряженный с персональным компьютером (PC), и предназначенный для генерации потока контрольных телефонных соединений с калиброванной длительностью разговорного состояния.
Прибор работает под управлением специально разработанного пакета программного обеспечения PRIZMA, функционирующего в операционной среде WINDOWS-9X/2000Pro/XP.
Требования к характеристикам, которым должен отвечать используемый PC:
-
- процессор не ниже Pentium 2;
-
- емкость ОЗУ не менее 128 Мбайт;
-
- емкость НДЦ не менее 10 Гбайт;
-
- CD ROM;
-
- наличие свободного порта RS 232 или порта USB (для подключения прибора).
Прибор подключается к аналоговым абонентским линиям, по Ethernet (протокол SIP), по радио тракту СПС GSM, UMTS.
Количество знаков набираемого номера - 40.
Вид набора номера - импульсный, частотный.
Погрешность формирования длительности телефонного соединения, с:
-
- в интервале длительностей (1-3600) с, ± 0,25 с;
-
- в интервале длительностей (3601-10800) с ± 0,5 с.
Параметры входных и выходных цепей соответствуют ГОСТ 7153-85.
Для фиксации момента ответа абонента Б (автоответчика) используется передача в разговорном тракте частоты - 700 Гц.
Реализован встроенный аппарат сбора и обработки результатов поверки СИДС.
А.2 Математическая модель процесса испытаний
А2.1 Закон распределения случайной составляющей погрешности не является нормальным.
Действительно,

*1, (1)
где:
, - длительность телефонного соединения;
1,2. время начала и окончания телефонного соединения, соответственно.
и ^2 являются равномерно распределенными случайными величинами и, следовательно, их разность имеет треугольное распределение (распределение Симпсона).
В процессе испытаний могут возникать однократные сбои, удаленные от среднего значения погрешности, выбросы, которые влекут к ’’отказу” в работе информационных измерительных каналов (ИИК), что показывает безусловное отличие распределения погрешности длительности телефонного соединения ИИК от нормального.
Так, например, могут встретиться вызовы не идентифицируемые (пропущенные) СИДС.
Число таких телефонных вызовов ир определяются в результате испытаний.
Отказ ИИК - выполнение неравенства (14).
А.2.2 Погрешности и ошибки СИДС в определении параметров ИИК
Для каждого контрольного вызова прибора Призма-М - рабочий эталон для метрологического обеспечения СИДС задает его длительность Аналогичный показатель выдает СИДС-^А.
Он является случайной величиной.
Вычисляется погрешность в определении :
tJL =lK~l ■ (2)
которая является случайной величиной.
Определяется систематическая составляющая погрешности
С = Е(а€), (3)
где Е(А^) - математическое ожидание случайной величины
Все встречающиеся в дальнейшем вероятностные характеристики СИДС - математические ожидания и дисперсии заранее не известны, и могут быть оценены по полученным в процессе испытаний измерениям с помощью соответствующих выборочных средних и дисперсий.
Все эти оценки, также являющиеся случайными величинами, выбираются несмещенными, т.е. такими, что их математические ожидания равны оцениваемым значениям.
Для дальнейших вычислений введем выборочные суммы случайной величины :
N
//2 = £(дЛ)2.
i = 1
i = 1
//3 = ^(дЛ)3. /А = ^Г(д1/)4 (4)1=1 1 = 1
Систематическая составляющая погрешности заранее неизвестна и поэтому оценивается в процессе испытаний с помощью выборочного среднего по выборке из произведенных в процессе испытаний N телефонных соединений:
-с=—
N
Для оценки погрешности д£,
(5)
MX по п.7.1.2 необходимо определить дисперсию и СКО для суммарной которые совпадают, соответственно с дисперсией и СКО для случайной составляющей погрешности (А-^-С) (оцениваемой величиной Д^ - су
D(M) = Е(М)2 - (ЕМ)2 (6)Дисперсия оценивается с помощью выборочной дисперсии (т.е. квадрата выборочного СКО):
= /^1) (7)
Выборочная дисперсия для С, как следует из (5) равна:

а значит выборочное СКО для С равно:
(9)
Определим доверительный интервал для С, содержащий истинное значение этой величины с вероятностью 0,95.
Поскольку случайные величины C,S^,S^£ на основании центральной предельной теоремы теории вероятностей можно считать распределенными нормально, можно пользоваться стандартными формулами математической статистики.
95%-ый доверительный интервал для С задается формулой:
Cmax/mln = С ± t96S- (Ю)
Несмещенная оценка для DSj (выборочная дисперсия находится по формуле:
, 7V-1 z л N2-3 2
~ N4(N-2)(7V-3) ~ Аз/Л (N-l)2^2 +
2N-3 2/ 1 2чч (11)
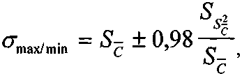
Тогда 95%-ный доверительный интервал для ас (СКО для С) задается формулой:

(12)
Интервал, в котором находится значение суммарной погрешности А£ задается формулой: = max/ minA^i (13)
i i
где AT i - суммарная погрешность i-го телефонного соединения.
А.З Определение отказа ИИК
Для данного телефонного соединения отказ (ошибка) в определении означает выполнение неравенства:
|А€| > (14)
где Ао-^ - предельно допустимая величина погрешности для которая задается в ОТТ на СИДС.
А.4 Вероятности ошибок и исход испытаний СИДС
Обозначим:
р - вероятность ошибки СИДС в определении , т.е. вероятность выполнения неравенства (14),
р0 - предельно допустимая величина р (принимается р0 = 0,01).
Поверка для данного вида связи состоит в a-достоверном (с заданной вероятностью а, принимаемой обычно равной 0.95) установлении одного из неравенств:
Р<Ро, (15>
ИЛИ
Р>Р0- О6)
Выполнение (15) соответствует успешному, (16) - соответственно, неуспешному исходу испытаний.
А. 5 Математическая модель определения отказа ИИК
Введем следующие определения и обозначения:
N - количество контрольных телефонных соединений при испытаниях,
п - количество отказов ИИК,
b = Ф’\а) - функция, обратная к стандартной нормальной функции распределения:


Зп(а) - корень уравнения:
08)
/=0 которое решается методом Ньютона,
^/1-^) при 3<п<15,
/п =
Ь2 I ь2”
(19)
п + —-bJn + — при и >16,
<5п(а) при 0<п<15, Ь2 , I Ь2”
n + —+ bJn+ — при п>16,
[х], ]х[ - наименьшее, соответственно, наибольшее целое число не меньшее, соответственно, не большее, чем х,
NH(n) = Г^1мв(п) =Ро
(20)
(21)
В частности, для случая п = 0 из (18) получаем бо(0,95) - корень уравнения:
— 1 — (X — 0,05 , т.е.
5о = 1п20 = 3, (22)
откуда из (20) и (21) находим, взяв р0 = 0,01, что
Nb(0) = ^- = 300, (23)
что есть минимальное число телефонных соединений до успешного завершения испытаний.
Вышеприведенная процедура вытекает из способа построения оптимальных доверительных интервалов для р по полученным в процессе испытаний значениям N и п.
Решение задачи (15), (16) эквивалентно проверке неравенств:
Nn(n) < N < Ng(n) (24)
Пока (24) выполняется, испытания продолжается и заканчивается, как только в левой или правой части достигается знак =, что, соответственно, означает неуспешный или успешный исход испытаний.
Нижняя рн и верхняя рв 0,95 - достоверные границы для вероятности отказа р определяются по формулам:
(25)
Данная последовательная процедура является оптимальной (неулучшаемой) - имеет для заданного уровня достоверности а наименьшее возможное среднее время проведения испытаний.
Реализован встроенный аппарат сбора и обработки результатов испытаний СИДС.
ПРИЛОЖЕНИЕ Б (справочное) Таблицы результатов поверки
Таблица Б.1- Основные результаты поверки
№ эта па, i |
Длит-ность вызова, с, Li |
Число вызовов, Ni |
Число отказов СИДС, ni |
Число пропущенных вызовов, Nnp i |
Систематич. сост погрешности,с, Ci |
CKO погрешности | |
Суммарной и случайной составл., с |
Систематической составл., с | ||||||
1 |
20 |
16 | |||||
2 |
3600 |
8 | |||||
3 |
600 |
16 | |||||
4 |
200 |
16 | |||||
5 |
100 |
16 | |||||
6 |
2 |
300 | |||||
Z |
- |
Таблица Б.2 - Доверительные интервалы по результатам поверки
Систематическая составляющая погрешности, с, С |
CKO Систематической составляющей, с |
Суммарная погрешность, с D1 |
Вероятность отказа, %о Р | ||||
min |
max |
min |
max |
min |
max |
min |
max |
Таблица Б.З - Показания СИДС в процессе поверки
Л =......С, = | ||
ПРИЛОЖЕНИЕ В
(справочное) Описание формата файла подробного учета тарифной информации
Наименование конвертора - MangoSwitch
Файл подробного учета должен иметь определенную структуру, с тем, чтобы информация из него могла быть корректно импортирована ПО прибора «Призма-М».
Файл подробного учета содержит информацию в виде текстовых строк переменой длины. Минимальная длина строки - 22 символов.
Каждому соединению в учетном файле соответствует одна строка.
Каждая строка заканчивается символами возврата каретки и перевода строки (ODOA’H). Файл не имеет заголовка.
Поля информации разделены символом «пробел» (20). ПО прибора «Призма-М» импортирует четыре поля из каждой строки файла учета. Эти поля должны располагаться в определенном порядке среди прочих информационных полей:
-
• Номер вызывающего абонента (смещение 0 байт);
-
• Номер вызываемого абонента (смещение 6 байт);
-
• Время начала разговора в формате ЧЧ:ММ:СС содержится (смещение 12 байт);
-
• Длительность разговора (смещение 21 байт)
Отключение выше перечисленных полей или включение между ними посторонних полей может привести к неправильному импорту данных учета тарифной информации.
Фрагмент учетного файла:
08.04.2014 23:59:50
08.04.2014 23:59:36
08.04.2014 23:59:23
08.04.2014 23:59:09
2
2
2
2
74953062203
74953062203
74953062203
74953062203
74953063806
74953063806
74953063806
74953063806
OUTBOUND Москва OUTBOUND Москва OUTBOUND Москва OUTBOUND Москва
Пример записи - вызывающий абонент Призмы-М 74953062203 произвел соединение с номером 74953063806 в 23:59:50длительностью 2 секунды. В учетном файле это соединение было зафиксировано так:
08.04.2014 23:59:50 2 74953062203 74953063806 OUTBOUND Москва
Жирным шрифтом выделены поля в записи, используемые «Призмой-М».
19