Методика поверки «Преобразователи давлении измерительные гидростатические серий SG, РС-28Р, SP-50» (МП 207.2-013-2017)
УТВЕРЖДАЮ
Заместитель директора метрологии «ВНИИМС»

В. Иванникова
€'3________2017 г.
Преобразователи давлении измерительные гидростатические серий SG, РС-28Р, SP-50
Методика поверки
МП 207.2-013-2017
Настоящая методика распространяется на преобразователи давления измерительные гидростатические серий SG, РС-28Р, SP-5O, изготавливаемые по технической документации фирмы APLISENS S.A, Польша.
Преобразователи давления измерительные гидростатические серий SG, РС-28Р, SP-5O, (далее - преобразователи), предназначены для измерения избыточного давления в жидкости (гидростатического давления), вычисления на его основе глубины погружения или уровня жидкости и преобразования её в унифицированный аналоговый выходной сигнал постоянного тока или постоянного напряжения и/или в цифровой сигнал.
Рекомендация устанавливает методику первичной (до ввода в эксплуатацию, а также после ремонта) и периодической (в процессе эксплуатации) поверок преобразователей.
Рекомендованный интервал между поверками 5 лет.
1 Операции поверки-
1.1 При проведении поверки выполняют следующие операции:
-
- внешний осмотр - 5.1;
-
- опробование - 5.2;
-
- проверка идентификационных данных программного обеспечения - 5.3;
-
- определение основной погрешности преобразователя - 5.4.
-
2.1 При проведении поверки применяют средства поверки, указанные в таблице 1.
Таблица 1
|
Наименование средства поверки |
Основные метрологические и технические характеристики средств поверки |
|
1 |
2 |
|
Манометр грузопоршневой МП-2,5 |
Верхний предел измерений 0,25 МПа, нижний предел измерений 0 МПа. Пределы допускаемой основной погрешности, %: ±0,01 % от измеряемого давления (при давлениях от 10 до 100 % от верхнего предела измерений); ±0,01 % от 0,1 верхнего предела измерений (при давлениях ниже 10 % от верхнего предела измерений) |
|
Манометр грузопоршневой МП-6 |
Верхний предел измерений 0,6 МПа, нижний предел измерений 0,04 МПа. Пределы допускаемой основной погрешности, %: ±0,01 % от измеряемого давления (при давлениях от 10 до 100 % от верхнего предела измерений); ±0,01 % от 0,1 верхнего предела измерений (при давлениях ниже 10 % от верхнего предела измерений) |
|
Манометр грузопоршневой МП-60 |
Верхний предел измерений 6 МПа, нижний предел измерений 0,1 МПа. Пределы допускаемой основной погрешности, %: ±0,01 % от измеряемого давления (при давлениях от 10 до 100 % от верхнего предела измерений); ±0,01 % от 0,1 верхнего предела измерений (при давлениях ниже 10 % от верхнего предела измерений) |
|
Мановакууммегр грузопоршневой МВП-2,5 |
при давлениях (избыточном или отрицательном избыточном (вакуумметрическом) от 0 до 0,01 МПа (от 0 до 0,1 кгс/см2): ±5 Па (± 0,00005 кгс/см2) ±2 Па (± 0,00002 кгс/см2) |
|
при давлениях (избыточном или отрицательном избыточном (вакуумметрическом) свыше 0,01 МПа (0,1 кге/ см2): ±0 05 % от измеряемой величины ±0,02 % от измеряемой величины | |
|
Микроманометры жидкостные компенсационные с микрометрическим винтом МКВК-250 |
Верхний предел измерений 2500 Па, нижний предел измерений 0 Па. Пределы допускаемой основной погрешности, %: ± 0,02 % от верхнего предела измерений). |
|
Мультиметр 345 8А |
Предел измерений 10 В. Пределы допускаемой абсолютной погрешности, В ±(0,05 10’6D + 0,005 10‘6 Е) Где: D - показание мультиметра. Е - предел измерений. |
|
Термометр ртутный стеклянный лабораторный по ГОСТ 215-73 |
Предел измерений 0-55 °C. Цена деления шкалы 0,1 °C. Предел допускаемой погрешности ±0,2 °C |
|
Источник постоянного тока GPC-3060D |
Выходное напряжение до 60 В |
|
USB-HART Модем |
Преобразователь сигналов HART в сигналы интерфейса USB для связи преобразователя с компьютером |
-
2.2 Допускается применение аналогичных средств поверки, обеспечивающих определение метрологических характеристик поверяемых СИ с требуемой точностью.
-
3.1 При проведении поверки соблюдают общие требования безопасности при работе с преобразователями давления (см., например ГОСТ 22520-85), а также требования по безопасности эксплуатации применяемых средств поверки, указанные в технической документации на эти средства.
-
4.1 При проведении поверки соблюдают следующие условия:
-
- температура окружающего воздуха от +15 до +25 °C;
-
- относительная влажность окружающего воздуха не более 80 %;
-
- давление в помещении, где проводят поверку (далее - атмосферное давление), в пределах от 84 до 106,7 кПа или от 630 до 800) мм рт. ст;
-
- напряжение питания постоянного тока в соответствии с технической документацией на преобразователь. Номинальное значение напряжения питания и требования к источнику питания - в соответствие с технической документацией на преобразователь. Отклонение напряжения питания от номинального значения не более ±1 %, если иное не указано в технической документации на преобразователь;
-
- сопротивление нагрузки при поверке - в соответствии с технической документацией на преобразователь;
-
- рабочая среда - воздух или нейтральный газ при поверке преобразователей с верхними пределами измерений, не превышающими 2,5 МПа, и жидкость при поверке преобразователей с верхними пределами измерений более 2,5 МПа. Допускается использовать жидкость при поверке преобразователей с верхними пределами измерений от 0,4 до 2,5 МПа при условии тщательного заполнения жидкостью всей системы поверки. Допускается использовать воздух или нейтральный газ при поверке преобразователей с верхними пределами измерений более 2,5 МПа при условии соблюдения соответствующих правил безопасности;
-
- колебания давления окружающего воздуха, вибрация, тряска, удары, наклоны, магнитные поля и другие возможные воздействия на датчик при его поверке не должны приводить к выходу за допускаемые значения метрологических характеристик;
-
- импульсную линию, через которую подают измеряемое давление, допускается соединять с дополнительными сосудами, емкость каждого из которых не более 50 л.
-
4.2 Перед проведением поверки преобразователей выполняют следующие подготовительные работы:
-
- выдерживают преобразователь не менее 3 ч при температуре, указанной в п. 4.1, если иное не указано в технической документации на преобразователь;
-
- выдерживают преобразователь не менее 0,5 ч при включённом питании, если иное не указано в технической документации;
-
- устанавливают преобразователь в рабочее положение с соблюдением указаний технической документации;
-
- проверяют па герметичность в соответствии с п.п. 4.3.1 - 4.3.4 систему, состоящую из соединительных линий для передачи давления, эталонов и вспомогательных средств для задания и передачи измеряемой величины.
-
4.2.1 Проверку герметичности системы, предназначенной для поверки преобразователей, проводят при значениях давления (разрежения), равных верхнему пределу измерений (ВПИ) поверяемого преобразователя.
-
4.2.2 При проверке герметичности системы, предназначенной для поверки преобразователей, на место поверяемого преобразователя устанавливают заведомо герметичный преобразователь или любое другое средство измерений с погрешностью измерений не более 2,5 % от ВПИ, и позволяющее зафиксировать изменение давления на величину 0,5 % от заданного значения давления. Далее в системе создают давление, установившееся значение которого соответствует ВПИ, после чего отключают источник давления. Если в качестве эталона применяют грузопоршневой манометр, то его колонку и пресс также отключают.
Систему считают герметичной, если после 3-х мин выдержки под давлением, равным или близким верхнему пределу измерений преобразователей, не наблюдают падения давления в течение последующих 2 мин. При необходимости время выдержки под давлением может быть увеличено.
При проверке основной погрешности датчика систему считают герметичной, если за 30 с спад давления не превышает 0,3 % от верхнего предела измерений поверяемого преобразователя.
Допускается изменение давления в системе, обусловленное изменением температуры окружающего воздуха и рабочей среды в пределах ±(от 0,5 до 1) °C.
-
4.2.3 Проверку герметичности системы рекомендуется проводить при давлении, соответствующем наибольшему давлению из ряда верхних пределов измерений поверяемых преобразователей.
-
5.1 Внешний осмотр
При внешнем осмотре преобразователя устанавливают:
-
- соответствие его внешнего вида технической документации и отсутствие видимых дефектов;
-
- наличие клеммных колодок и (или) разъемов для внешних соединений, устройства для регулировки «нуля», клемм контроля выходного сигнала и др.;
-
- наличие дополнительных выходных устройств - цифровых индикаторов и (или) других устройств предусмотренных технической документацией на преобразователь;
-
- наличие на корпусе преобразователя таблички с маркировкой, соответствующей паспорту или документу, его заменяющему;
-
- наличие РЭ, если это предусмотрено при поверке преобразователя, паспорта или документа, его заменяющего.
-
5.2 Опробование
-
5.2.1 При опробовании проверяют герметичность и работоспособность преобразователя, функционирование устройства корректора «нуля». Для преобразователей серий SG следует убедиться, что соединение с атмосферой с помощью воздухопровода, находящегося внутри соединительного шланга, установлено.
-
5.2.2 Работоспособность преобразователя проверяют изменяя измеряемую величину от нижнего до верхнего предельных значений. При этом должно наблюдаться изменение выходного сигнала и индикации на дополнительных выходных устройствах преобразователя.
-
5.2.3 Функционирование корректора «нуля» проверяют, задавая одно (любое) значение измеряемой величины в пределах, оговоренных руководством по эксплуатации. Корректором «нуля» проверяю наличие изменения выходного сигнала на всех выходных устройствах. Затем сбрасывают измеряемую величину и при атмосферном давлении на входе в преобразователь корректором «нуля» вновь устанавливают выходной сигнал (показания индикатора) в соответствии с исходными значениями.
-
5.2.4 Проверку герметичности преобразователя рекомендуется совмещать с операцией определения его основной погрешности.
-
Методика проверки герметичности преобразователя аналогична методике проверки герметичности системы (4.2.1 - 4.2.3), но имеет следующие особенности:
-
- изменение давления (разрежения) определяют по изменению выходного сигнала или по изменению показаний цифрового индикатора поверяемого преобразователя, включенного в систему (4.2.2);
-
- в случае обнаружения негерметичности системы с установленным поверяемым преобразователем следует раздельно проверить герметичность системы и преобразователя.
5.3 Проверка идентификационных данных программного обеспечения
-
5.3.1 В качестве идентификатора программного обеспечения (далее - ПО) принимается идентификационный номер ПО. Методика проверки идентификационного номера ПО преобразователя заключается в установлении версии ПО прибора, которую можно установить при помощи HART-коммуникатора, подключенного к преобразователю.
Подробное меню преобразователя с указанием пункта об идентификационном номере ПО представлено в Руководстве по эксплуатации.
-
5.3.2 Преобразователи считаются прошедшими поверку с положительным результатом, если идентификатор ПО соответствует значению, указанному в паспорте на преобразователь. Если данные требования не выполняются, то преобразователь считается непригодным к применению, к эксплуатации не допускается, выписывается свидетельство о непригодности, дальнейшие пункты методики не выполняются.
-
5.4 Определение основной погрешности
-
5.4.1 Основную погрешность преобразователя определяют по одному из способов:
-
1) По эталону на входе преобразователя устанавливают номинальные значения входной измеряемой величины (например, давления), а по другому эталону измеряют соответствующие значения выходного аналогового сигнала (тока или напряжения). При поверке преобразователя по его цифровому сигналу к выходу подключают приемное устройство, поддерживающее соответствующий цифровой коммуникационный протокол для считывания информации при установленных номинальных значениях входной измеряемой величины.
-
2) В обоснованных случаях по эталону устанавливают номинальные значения выходного аналогового сигнала (тока или напряжения) или устанавливают номинальные значения цифрового сигнала преобразователя, а по другому эталону измеряют соответствующие значения входной величины (например, давления).
Примечания:
-
1 При определении основной погрешности преобразователя значения выходного параметра могут считываться с цифрового индикатора (ЖКИ) с разрядностью не менее 4.
-
2 Поверка преобразователей с несколькими выходными сигналами, соответствующими одной и той же входной измеряемой величине, производится по одному из этих сигналов (аналоговому или цифровому), если иное не предусмотрено технической документацией на поверяемый преобразователь.
Эталоны входной величины (давления) включают в схему поверки в соответствии с их руководством по эксплуатации.
-
5.4.2 Устанавливают следующие критерии достоверности поверки:
Рвам - наибольшая вероятность, при которой любой дефектный экземпляр преобразователя может быть ошибочно признан годным;
(8м)ва - отношение возможного наибольшего модуля основной погрешности экземпляра преобразователя, который может быть ошибочно признан годным, к пределу допускаемой основной погрешности.
5.4.3. Устанавливают следующие параметры поверки:
m - число поверяемых точек в диапазоне измерений, т>5; в обоснованных случаях и при отсутствии эталонов с необходимой дискретностью воспроизведения измеряемой величины, допускается уменьшать число поверяемых точек до 4 или 3;
п - число наблюдений при экспериментальном определении значений погрешности в каждой из поверяемых точек при изменениях входной измеряемой величины от меньших значений к большим (прямой ход) и от больших значений к меньшим (обратный ход), n = 1. В обоснованных случаях и в соответствии с технической документацией на преобразователь допускается увеличивать число наблюдений в поверяемых точках до 3 или 5, принимая при этом среднеарифметическое значение результатов наблюдений за достоверное значение в данной точке;
7к - абсолютное значение отношения контрольного допуска к пределу допускаемой основной погрешности;
ар - отношение предела допускаемой погрешности эталонов, применяемых при поверке, к пределу допускаемой основной погрешности поверяемого преобразователя.
Значения уки ар выбирают по таблице 2 (5.4.5) в соответствии с принятыми критериями достоверности поверки.
-
5.4.4 Выбор эталонов для определения основной погрешности поверяемых преобразователей осуществляют, исходя из технических возможностей и техникоэкономических предпосылок с учетом критериев достоверности поверки (п.5.4.3) и в соответствии с таблицей 2.
Таблица 2 -
>Ы и
ttp
0,2
0,25
0,33
0,4
0,5
Ук
0,94
0,93
0,91
0,82
0,70
P вам
0,20
0,20
0,20
0,10
0,05
(Ьм)ва
1,14
1,18
1,24
1,22
1,20

Примечание - Таблица составлена в соответствии с критериями достоверности поверки согласно МИ 187-86 «ГСИ. Критерии достоверности и параметры методик поверки» и МИ 188-86 «ГСИ. Установление значений параметров методик поверки».
Вместо использования значений таблицы, допускается ук рассчитывать по формуле 20 из МИ 188-86 (ук= (5м)ва - оср). При этом, для проверки условия Рвам < 0,20, проверяют выполнения условия ук < 1- 0,28 ар.
5.4.5. При выборе эталонов для определения погрешности поверяемого преобразователя (в каждой поверяемой точке) соблюдают следующие условия:
-
1) При поверке преобразователей с выходным аналоговым сигналом постоянного тока, значения которого контролируют непосредственно в мА где Др - предел допускаемой абсолютной погрешности эталона, контролирующего входную величину (давление), кПа, МПа;

•100
(1)
Рт - верхний предел измерений (или диапазон измерений) поверяемого преобразователя, кПа, МПа;
Д| - предел допускаемой абсолютной погрешности эталона, контролирующего электрический выходной сигнал преобразователя, мА;
Im “ соответственно нижнее и верхнее предельные значения выходного сигнала преобразователя, мА;
оср - то же, что в 5.4.3;
у - предел допускаемой основной приведённой погрешности поверяемого преобразователя, % диапазона измерений.
Основная погрешность датчика, выраженная в процентах от диапазона измерений, численно равна основной погрешности, выраженной в процентах от диапазона изменения выходного сигнала датчика с линейной функцией преобразования измеряемой величины.
Для преобразователей с выходным аналоговым сигналом постоянного напряжения U расчетные значения выходного сигнала определяют по формулам, структура которых идентична структурам формул для преобразователей с выходным аналоговым сигналом постоянного тока I раздела 5.4 с заменой обозначений постоянного тока на соответствующие обозначения постоянного напряжения Up, Uo, Um.
-
2) При поверке преобразователей с выходным аналоговым сигналом постоянного тока, значения которого контролируют по падению напряжения на эталонном сопротивлении в мВ или В
А+ йи
Рт и т - и0
т т и
)
•100 < ар ■ у
(2)
где Др, Рт - то же, что в формуле (1);
Ди - предел допускаемой абсолютной погрешности эталона, контролирующего выходной сигнал преобразователя по падению напряжения на эталонном сопротивлении, мВ или В;
Ar - предел допускаемой абсолютной погрешности эталонного сопротивления, Ом;
R3T - значение эталонного сопротивления, Ом;
Um, и0 - соответственно верхнее и нижнее предельные значения напряжений (мВ или В) на эталонном сопротивлении, определяемые по следующим формулам:
Um-Im ' Rjt И Uo — Io • Rjt
-
3) При поверке преобразователя с выходным цифровым сигналом
•100<ар
■7,
(3)
где все обозначения те же, что и в формулах (1) и (2).
5.4.6. Расчётные значения выходного сигнала поверяемого преобразователя для заданного номинального значения входной измеряемой величины определяют по формулам (4 - 10).
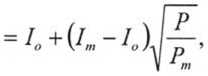
1) Для преобразователей с линейно возрастающей зависимостью выходного сигнала постоянного тока (I) от входной измеряемой величины (Р)

(4)
где 1р — расчетное значение выходного сигнала постоянного тока (мА);
Р - номинальное значение входной измеряемой величины; для преобразователей давления-разрежения значение Р в области разрежения подставляется в формулу (4) со знаком минус;
Рп - нижний предел измерений для всех преобразователей, кроме преобразователей давления-разрежения, для которых значение Рп численно равно верхнему пределу измерений в области разрежения Рт(-) и в формулу (4) подставляется со знаком минус;
Io, Im, Pm - то же, что и в формуле (1).
Для стандартных условий нижний предел измерений всех поверяемых преобразователей равен нулю.
2) Для преобразователей с линейно убывающей зависимостью выходного сигнала постоянного тока от входной измеряемой величины




(5)
-
3) Для преобразователей с выходным сигналом постоянного тока и функцией преобразования входной измеряемой величины по закону квадратного корня

(6)
где Р — входная измеряемая величина — разность давлений (перепад давления) для преобразователей разности давлений, предназначенных для измерения расхода рабочей среды;
Рт - верхний предел измерений или диапазон измерений поверяемого преобразователя разности давлений. Остальные обозначения те же, что и в формуле (1).
-
4) Для преобразователей с выходным сигналом постоянного тока, значения которого контролируют по падению напряжения на эталонном сопротивлении R3T
UP = R,T-IP, (7)
где Up - расчётное значение падения напряжения на эталонном сопротивлении, В;
1Р - расчётное значение выходного сигнала постоянного тока (А), определяемое по формулам (4-6).
-
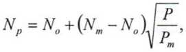
5) Для преобразователей с выходным информационным сигналом в цифровом формате:
- с линейно возрастающей функцией преобразования
= (8)
где Np - расчетное значение выходного сигнала в цифровом формате;
Nm, No - соответственно верхнее и нижнее предельные значения выходного информационного сигнала преобразователь в цифровом формате;
Р, Рт, Рп - то же, что и в формуле (4);
- с линейно убывающей функцией преобразования
Л'Р = Л'.-;у“(/>-Л) (9)
1 /п 1 п
- с функцией преобразования по закону квадратного корня

(Ю)
где Р, Рт - то же, что в формуле (6); остальные обозначения те же, что в формулах (8) и (9).
-
5.4.7 Поверку преобразователей с программным обеспечением выбора функции преобразования входной измеряемой величины в соответствии с одним из видов (4-6, 8-10) производят при программной установке линейно возрастающей зависимости выходного сигнала (4) или (8), если иное не предусмотрено технической документацией на преобразователь.
После выполнения поверки преобразователь может быть перепрограммирован в соответствии с требуемой функцией преобразования входной измеряемой величины.
Перед определением основной погрешности соблюдают требования п.4.3 и, при необходимости, корректируют значения выходного сигнала, соответствующие нижнему и верхнему предельным значениям измеряемой величины. Эту корректировку выполняют после подачи и сброса измеряемой величины, значения которой устанавливают в пределах от 80 до 100 % верхнего предела измерений.
При периодической поверке и в случае ее совмещения с операцией проверки герметичности преобразователя корректировку значений выходного сигнала выполняют после выдержки преобразователя при давлении (разрежении) в соответствии с условиями 4.2.1,4.2.2.
Установку выходного сигнала выполняют с максимальной точностью, обеспечиваемой устройством корректора преобразователя и разрешающей способностью эталонов. Погрешность установки «нуля» (без учёта погрешности эталонов) не должна превышать (0,2...0,3) предела допускаемой основной погрешности поверяемого преобразователя, если иное не указано в технической документации.
-
5.4.8 Основную погрешность определяют при m значениях измеряемой величины (5.4.4.), достаточно равномерно распределенных в диапазоне измерений, в том числе при значениях измеряемой величины, соответствующих нижнему и верхнему предельным значениям выходного сигнала.
Интервал между значениями измеряемой величины не должен превышать: 30 % диапазона измерений при m = 5 (основной вариант поверки); 40 % диапазона измерений при m = 4 и 60 % диапазона измерений при m = 3.
Основную погрешность определяют при значении измеряемой величины, полученном при приближении к нему как со стороны меньших значений (при прямом ходе), так и со стороны больших значений (при обратном ходе).
При периодической поверке основную погрешность определяют в два цикла: до корректировки диапазона изменения выходного сигнала и после корректировки диапазона. Второй цикл допускается не проводить, если основная погрешность уд < ук • у.
-
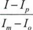
5.4.9 Основную погрешность уа в % нормирующего значения (5.4.4) вычисляют по приведённым ниже формулам:
- При поверке преобразователей по способу 1 (5.4.1):
100,


(И)
(12)
(В)
где I - значение выходного сигнала постоянного тока, полученное экспериментально при номинальном значении измеряемой величины, мА;
U - значение падения напряжения на эталонном сопротивлении, полученное экспериментально при измерении выходного сигнала и номинальном значении входной измеряемой величины (давления), мВ или В;
N - значение выходного сигнала преобразователя в цифровом формате, полученное экспериментально при номинальном значении измеряемой величины;
Остальные обозначения те же, что в формулах (1,2, 7).
- При поверке преобразователей по способу 2 (5.4.1):

(14) где Р - значение входной измеряемой величины (давления), полученное экспериментально при номинальном значении выходного сигнала, кПа, МПа;
Рном - номинальное значение измеряемой величины при номинальном значении выходного сигнала. кПа. МПа:
РП1 - верхний предел измерений, кПа, МПа.
Вычисления уг выполняют с точностью до третьего знака после запятой.
5.5 Результаты поверки преобразователей.
-
5.6.1 Преобразователь признают годным при первичной поверке, если на всех поверяемых точках модуль основной погрешности |у^| < ук • |у|.
-
5.6.2 Преобразователь признают негодным при первичной поверке, если хотя бы в одной поверяемой точке модуль основной погрешности |у5| > ук -|у|.
-
5.6.3 Преобразователь признают годным при периодической поверке, если на всех поверяемых точках при первом или втором цикле поверки выполняется условие, изложенное в п.5.6.1.
-
5.6.4 Преобразователь признают негодным при периодической поверке:
-
- если при первом цикле поверки хотя бы в одной поверяемой точке модуль основной погрешности |у5| > (8м)ватах • |у|;
-
- если при втором цикле поверки хотя бы в одной поверяемой точке модуль основной погрешности |уа| > ук • |у|.
Обозначения: (8м)ватах - по п.5.4.2; ук - по п.5.4.3; у - по п.5.4.5.
-
5.6.5 Значения пределов допускаемой основной приведенной погрешности приведены на первой странице паспорта на преобразователь.
-
5.6.6 Допускается вместо вычислений по экспериментальным данным значений основной погрешности у<? контролировать ее соответствие предельно допускаемым значениям.
-
6.1 Положительные результаты поверки средств измерений удостоверяются знаком поверки и свидетельством о поверке или записью в паспорте средства измерений, заверяемой подписью поверителя и знаком поверки. Знак поверки наносится на свидетельство о поверке или в паспорт.
-
6.2 При отрицательных результатах поверки, в соответствии с Приказом № 1815 Минпромторга России от 02 июля 2015 г., оформляется извещение о непригодности. Калибраторы к дальнейшей эксплуатации не допускают.
Начальник НПО 207
Начальник лаборатории
А. А. Игнатов
А.И. Гончаров
И
