Методика поверки «ГСИ. Анализаторы общего органического углерода QbD 1200» (МП-209-046-2017)
Федеральное государственное унитарное предприятие «Всероссийский научно-исследовательский институт метрологии имени Д.И. Менделеева» ФГУП «ВНИИМ им. Д.И. Менделеева»
Государственная система обеспечения единства измерений
Анализаторы общего органического углерода QbD 1200Методика поверки МП-209-046-2017
Руководитель НИЛ 2091
В.И. Суворов <Г^>> //_________2017 г.
Разработчик Инженер М.С. Мамцева // 2017 г.
г. Санкт-Петербург 2017 г.
2 Настоящая методика распространяется на анализаторы общего органического углерода QbD 1200 (далее - анализаторы) предназначенные для измерений массовой концентрации органического углерода в воде.
Анализаторы подлежат первичной и периодической поверке. Интервал между поверками - 1 год.
1 Операции поверкиОбъем и последовательность операций поверки указаны в таблице 1.
Таблица 1
|
Наименование операции |
Номер пункта, в котором изло-жена методика поверки |
Обязательность проведения операции | |
|
При первичной поверке |
При периодической поверке | ||
|
1. Внешний осмотр |
п. 6.1 |
Да |
Да |
|
2. Опробование |
п. 6.2 |
Да |
Да |
|
3. Подтверждение соответствия программного обеспечения |
п. 6.3 |
Да |
Да |
|
4. Определение погрешности измерений массовой концентрации углерода |
п. 6.4 |
Да |
Да |
При получении отрицательных результатов при проведении той или иной операции дальнейшая поверка прекращается.
2 Средства поверки-
2.1 При проведении поверки применяются эталоны, средства измерений, вспомогательное оборудование и СО, представленное в таблице 2.
аблица 2
Наименование
Характеристики
1. СО состава калия фталевокислого кислого (бифталата калия)
ГСО 2216-81
2. Весы лабораторные электронные «МВ210-А 1 (Per № 26554-04)
Наибольший предел взвешивания 210 г, пределы допускаемой абсолютной погрешности ±0,1 мг (до 50 г), ±0,5 мг (до 200 г); ±0,6 мг (до 210 г)
3. Вода дистиллированная
ГОСТ 6709-72
2.2 Допускается применение средств поверки, не приведенных в перечне, но обеспечивающих определение (контроль) метрологических характеристик поверяемых средств измерений с требуемой точностью.
2.3 Все средства поверки должны иметь действующие свидетельства о поверке.
3 Требования безопасности-
3.1 К работе с приборами, используемые при поверке, допускаются лица, прошедшие инструктаж по технике безопасности при работе с электро- и радиоизмерительными приборами.
-
3.2 Перед включением должен быть проведен внешний осмотр приборов с целью определения исправности и электрической безопасности включения их в сеть.
-
3.3 Перед включением в сеть приборов, используемых при поверке, они должны быть заземлены в соответствии с требованиями, указанными в эксплуатационной документации.
-
3.4 Помещение, в котором проводятся испытания, должно соответствовать требованиям пожарной безопасности по ГОСТ 12.1.004-91 и иметь средства пожаротушения по ГОСТ 12.4.009-83.
При проведении поверки должны быть соблюдены следующие условия:
-
• температура окружающего воздуха, °C: 20±5;
-
• относительная влажность воздуха, не более, %: 80;
-
• атмосферное давление, кПа: от 86,0 до 106,7;
-
5.1 Подготовить анализаторы к работе в соответствии с эксплуатационной документацией фирмы-изготовителя.
При подготовке к поверке необходимо:
-
• осуществить прогрев анализаторов в соответствии с эксплуатационной документацией;
-
• проверить работоспособность анализаторов в режиме измерения.
Подготовить к работе анализаторы в соответствии с руководством по эксплуатации, рабочие эталоны и вспомогательные средства измерений согласно эксплуатационной документации на них. На поверку предоставляются отградуированные анализаторы.
6 Проведение поверки-
6.1 Внешний осмотр.
При проведении внешнего осмотра анализаторы проверяются на соответствие следующим требованиям:
-
• отсутствие внешних повреждений, влияющих на точность показаний;
-
• отсутствие отсоединившихся или слабо закреплённых элементов схемы
-
• отсутствие механических повреждений;
-
• соответствие комплектности анализаторов эксплуатационной документации;
-
• исправность органов управления и настройки;
-
• четкость надписей на лицевой панели.
Анализаторы считаются выдержавшими внешний осмотр, если они соответствуют перечисленным выше требованиям.
Анализаторы с механическими повреждениями к поверке не допускаются.
-
6.2 Опробование.
При опробовании проверяется функционирование составных частей анализаторов согласно эксплуатационной документации фирмы-изготовителя, а также возможность плавного регулирования показаний с помощью органов управления и настройки.
-
6.3 Подтверждение соответствия программного обеспечения.
При проведении поверки анализаторов выполняют операцию «Подтверждение соответствия программного обеспечения». Операция «Подтверждение соответствия программного обеспечения» состоит в определении номера версии (идентификационного номера) программного обеспечения.
Программное обеспечение идентифицируется при включении анализатора.
Анализаторы считаются прошедшими поверку, если номер версии СИ совпадает с номером версии или выше номера версии, указанного в описании типа.
-
6.4 Определение погрешности измерений массовой концентрации углерода.
Определение погрешности массовой концентрации углерода проводить путем сравнения расчетных значений массовой в контрольных растворах со значениями, полученными на анализаторе. Процедура приготовления растворов представлена в приложении А. Колбы с растворами выдержать при комнатной температуре не менее 20 минут, затем сразу провести измерения. Результат измерений массовой концентрации углерода сравнить с расчетным значением массовой концентрации ионов в контрольном растворе.
4 Относительную погрешность измерений массовой концентрации углерода рассчитать для каждого измеренного значения по формуле:
Хс -Ха
8с = у ' -100 (2)
ЛС,1
Абсолютную погрешность измерений массовой концентрации углерода рассчитать для каждого измеренного значения по формуле:
Дс= Хс - XCii (3), где
Хс - значение массовой концентрации измеренное анализатором, мкг/дм3;
Xc,i - расчетное значение массовой концентрации в i-м контрольном растворе, мкг/дм3; Результаты поверки считаются положительными, если в процессе поверки значение погрешности не превышает указанных в приложении В.
7 Оформление результатов поверки-
7.1. При проведении поверки составляется протокол результатов измерений по форме Приложения Б.
-
7.2. Результаты поверки оформляют в виде свидетельства о поверке или извещения о непригодности согласно приказу Минпромторга России от 2 июля 2015 г. № 1815 «Об утверждении Порядка проведения поверки средств измерений, требований к знаку поверки и содержанию свидетельства поверки».
-
7.3. Результаты поверки считаются положительными, если анализаторы удовлетворяют всем требованиям настоящей методики. Положительные результаты поверки оформляются путем выдачи свидетельства о поверке. Знак поверки рекомендуется наносить на свидетельство о поверке.
-
7.4. Результаты считаются отрицательными, если при проведении поверки установлено несоответствие поверяемого анализатора, хотя бы одному из требований настоящей методики. Отрицательные результаты поверки оформляются путем выдачи извещений о непригодности с указанием причин непригодности.
ПРИЛОЖЕНИЕ А (обязательное)
МЕТОДИКА ПРИГОТОВЛЕНИЯ КОНТРОЛЬНЫХ РАСТВОРОВ ОБЩЕГО УГЛЕРОДА 1. Оборудование и реактивы:-
- Колбы мерные 1-го класса точности с притёртой пробкой по ГОСТ 1770-74
-
- Цилиндр мерный 1-го класса точности по ГОСТ 1770-74
-
- Весы лабораторные электронные «МВ210-А»
-
- Воронка ВФ-1-40-ПОРЮ-ТСХ ГОСТ 25336-82
-
- Мешалка ММ-5 ТУ25-11-834-80
-
- Калий фталевокислый кислый (бифталат калия), ГСО 2216-81
-
- Вода дистиллированная по ГОСТ 6709-72
-
- Система очистки воды Millipore Simplicity, массовая концентрация общего углерода на выходе не более 5 мкг/дм3
2. Перечень приготавливаемых контрольных растворов. Таблица А. 1.
|
Номер раствора |
Массовая концентрация общего углерода в растворе, мкг/дм3 |
Абсолютная погрешность приготовленного раствора, мкг/дм3 |
Относительная погрешность приготовленного раствора, % |
|
1. |
95000 |
61,08 |
±0,06 |
|
2. |
75000 |
56,21 |
±0,07 |
|
3. |
50000 |
51,32 |
±0,10 |
|
4. |
25000 |
48,15 |
±0,19 |
|
5. |
5000 |
47,10 |
±0,94 |
|
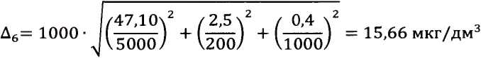
6. |
1000 |
15,66 |
±1,57 |
|
7. |
750 |
14,15 |
±1,89 |
|
8. |
500 |
12,33 |
±2,47 |
|
9. |
250 |
6,20 |
±2,48 |
|
10. |
25 |
0,88 |
±2,52 |
Возьмите навеску ГСО ч.д.а. в соответствии с таблицей А.2 (в течение 3 ч. при 105 °C высушенное средство). Перенесите навеску в мерную колбу объемом 1000 мл, добавьте приблизительно 700 мл чистой воды (массовая концентрация общего углерода не более 5 мкг/дм3). Установите колбу на магнитную мешалку, и перемешивать содержимое до полного растворения навески. После полного растворения навески наполнить колбу чистой водой (до отметки 1000 мл).
Таблица А. 2.
|
Номер раствора |
Масса навески ГСО, г |
Значение массовой концентрации общего углерода (Ci), мкг/дм3 |
|
1. |
0,2019 |
95000 |
|
2. |
0,1594 |
75000 |
|
3. |
0,1063 |
50000 |
|
4. |
0,0531 |
25000 |
|
5. |
0,0106 |
5000 |
-
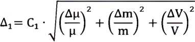
4.1. Расчет абсолютной погрешности приготовления растворов 1 -5 выполняют по формуле (А.1):

где Ci - расчетное значение массовой концентрации общего углерода в растворе, мкг/дм3;
Др - предельное значение массовой доли примесей в реактиве, %;
ц - массовая доля основного вещества (ГСО) в реактиве, %;
Дш - пределы допускаемой погрешности весов в диапазоне взвешивания от 1 мг до 50 г, г;
ш - масса навески ГСО, г;
ДУ - допускаемая погрешность от номинальной вместимости мерной колбы, см3;
V - вместимость мерной колбы, см3
Пример расчета абсолютной погрешности приготовления раствора с концентрацией общего углерода 50000 мкг/дм3:
Д3= 50000-
Л
= 51,32 мкг/дм3
-
3.1. В качестве основного раствора для приготовления раствора 6 берется раствор с массовой концентрацией общего углерода 5000 мкг/дм3 (раствор 5).
-
3.2 Расчет объема основного раствора и объема дистиллированной воды, необходимой для получения раствора с требуемой концентрацией общего углерода производится по формуле А.2

где Со - расчетное значение массовой доли общего углерода в основном растворе, мкг/дм3 Vo - объем основного раствора, использованный для приготовления раствора, см3 VK - общий объем приготовленного раствора, см3
-
3.2 При помощи мерного цилиндра переносят необходимый объем основного раствора в мерную колбу с притертой пробкой вместимостью 1000 см3, доливают до метки водой и перемешивают.
Таблица А. 3.
|
Номер раствора |
Номер раствора, используемого для приготовления |
Объем основного раствора, использованный для приготовления, Vo, см3 |
Общий объем приготовленног о раствора, VK, см3 |
Значение массовой концентрации общего углерода (Ci), мкг/дм3 |
|
6. |
5 |
200 |
1000 |
1000 |
|
7. |
6 |
750 |
1000 |
750 |
|
8. |
6 |
500 |
1000 |
500 |
|
9. |
8 |
500 |
1000 |
250 |
|
10. |
8 |
100 |
1000 |
25 |
-
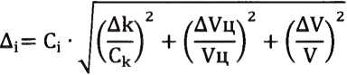
4.1. Расчет абсолютной погрешности приготовления растворов 6-10 выполняют по фор' муле (А.З):

где Ci - расчетное значение массовой концентрации общего углерода в растворе, мкг/дм3;
Лк - абсолютная погрешность основного раствора, использованного для приготовления, мкг/дм3
Ск - значение массовой концентрации общего углерода основного раствора, использованного для приготовления, мкг/дм3;
ДУц - допускаемая погрешность от номинальной вместимости мерного цилиндра, см3;
Уц - номинальный объем раствора, отбираемого цилиндром, см3
ДУ - допускаемая погрешность от номинальной вместимости мерной колбы, см3;
V - вместимость мерной колбы, см3
Пример расчета абсолютной погрешности приготовления раствора с концентрацией общего углерода 1000 мкг/дм3:
Приготовленный раствор следует плотно закрыть и хранить в темном прохладном месте, срок годности - 1 неделя.
ПРИЛОЖЕНИЕ Б (рекомендуемое) ПРОТОКОЛ ПОВЕРКИ
№ от ХХ.ХХ.20ХХ г.
4. Дополнительная информация (состояние объекта поверки, сведения о ремонте, юсти-ровке) отсутствует______________________________________________________________________.
На основании результатов поверки выдано:свидетельство о поверке №_________________________от____________________________
Поверку произвел________________________________от__
ФИО
Подпись
Дата
|
Наименование прибора, тип | |
|
Регистрационный номер в Федеральном информационном фонде по обеспечению единства измерений (ОЕИ) | |
|
Заводской номер (если имеется информация) | |
|
Изготовитель (если имеется информация) | |
|
Год выпуска (если имеется информация) | |
|
Заказчик (наименование и адрес) | |
|
Серия и номер знака предыдущей поверки (если такие имеются) |
Вид поверки______________________________________________________________
Методика поверки______________________________________________________
Средства поверки:
|
Наименование и регистрационный номер эталона, тип СИ, заводской номер, номер паспорта на ГСО |
Метрологические характеристики |
Условия поверки:
|
Параметры |
Требования НД |
Измеренные значения |
|
Температура окружающего воздуха, °C |
от 15 до 25 | |
|
Относительная влажность воздуха, % |
не более 95 | |
|
Атмосферное давление, кПа |
от 86,0 до 106,7 |
Результаты поверки:
-
1. Внешний осмотр_____________________________________________________________
-
2. Опробование___________________________________________________________________
-
3. Определение метрологических характеристик (в соответствии с требованиями НД на методы и средства поверки)
Диапазон измерений массовой концентрации углерода, мг/дм3
Расчетная массовая концентрация углерода, мг/дм3
Измеренная анализатором массовая концентрации углерода, мг/дм3
Полученная погрешность измерений массовой концентрации углерода.
Приложение В
|
Наименование характеристики |
Значение |
|
QbD 1200 | |
|
Диапазон измерений массовой концентрации углерода, мкг/дм3 |
от 0,4 до 100000 |
|
Пределы допускаемой абсолютной погрешности измерений массовой концентрации углерода, мкг/дм3:
|
±10 ±15 |
|
Пределы допускаемой относительной погрешности измерений массовой концентрации углерода, %:
|
±10 ±15 |
