Методика поверки «ГОСУДАРСТВЕННАЯ СИСТЕМА ОБЕСПЕЧЕНИЯ ЕДИНСТВА ИЗМЕРЕНИЙ АНАЛИЗАТОРЫ ЭЛЕМЕНТНЫЕ СПЕКТРОСКАН МЕТА» (МП 125-251-2020)
Федеральное агентство по техническому регулированию и метрологии
УРАЛЬСКИЙ НАУЧНО-ИССЛЕДОВАТЕЛЬСКИЙ ИНСТИТУТ МЕТРОЛОГИИ-ФИЛИАЛ ФЕДЕРАЛЬНОГО ГОСУДАРСТВЕННОГО УНИТАРНОГО ПРЕДПРИЯТИЯ «ВСЕРОССИЙСКИЙ НАУЧНО-ИССЛЕДОВАТЕЛЬСКИЙ ИНСТИТУТ МЕТРОЛОГИИ ИМ. Д.И. МЕНДЕЛЕЕВА»
(УНИИМ - филиал ФГУП «ВНИИМ им. Д.И. Менделеева)
СОГЛАСОВАНО
- филиала
И.о.
ФГУП
Собина
2021 г.
ГОСУДАРСТВЕННАЯ СИСТЕМА ОБЕСПЕЧЕНИЯ ЕДИНСТВА ИЗМЕРЕНИЙ
АНАЛИЗАТОРЫ ЭЛЕМЕНТНЫЕ
СПЕКТРОСКАН МЕТА
МЕТОДИКА ПОВЕРКИ
МП 125-251-2020 г. Екатеринбург 2021
ПРЕДИСЛОВИЕ
-
1 РАЗРАБОТАНА Уральским научно-исследовательским институтом метрологии -филиалом Федерального государственного унитарного предприятия «Всероссийский научно-исследовательский институт метрологии им. Д.И. Менделеева» (УНИИМ -филиал ФГУП «ВНИИМ им. Д.И. Менделеева»)
-
2 ИСПОЛНИТЕЛЬ и.о. зам. зав. лаб. 251 УНИИМ - филиала ФГУП «ВНИИМ им. Д.И. Менделеева» к.т.н. Мигаль П.В.: заведующий лабораторией методик ООО «НПО «СПЕКТРОН» Григорьев А.В.
-
3 СОГЛАСОВАНА и.о. директора УНИИМ - филиала ФГУП «ВНИИМ им. Д.И. Менделеева» в 2021 г.
-
6 Метрологические и технические требования к средствам поверки
-
7 Требования (условия) по обеспечению безопасности проведения поверки
-
11 Определение метрологических характеристик средства измерений
-
12 Подтверждение соответствия средства измерений метрологическим требованиям
|
Государственная система обеспечения единства измерений. Анализаторы элементные СПЕКТРОСКАН МЕТА Методика поверки |
МП 125-251-2020 |
Дата введения в действие: «№> CW 2021 г.
1 Общие положения-
1.1 Настоящая методика распространяется на анализаторы элементные СПЕКТРОСКАН МЕТА (далее - анализаторы), производства Общества с ограниченной ответственностью «Научно-производственное объединение «СПЕКТРОН», Россия, и устанавливает методы и средства первичной и периодической поверок. Поверка анализаторов должна производиться в соответствии с требованиями настоящей методики.
-
1.2 При проведении поверки должна обеспечиваться прослеживаемость анализатора:
-
- к ТЭТ 154-2019 «Государственному первичному эталону единиц молярной доли, массовой доли и массовой концентрации компонентов в газовых и газоконденсатных средах в соответствии с приказом Росстандарта Российской Федерации от 14.12.2018 г. № 2664 «Об утверждении государственной поверочной схемы для средств измерений содержания компонентов в газовых и газоконденсатных средах»;
-
- к ГЭТ 3-2008 «Государственному первичному эталону единицы массы (килограмму)» в соответствии с приказом Росстандарта Российской Федерации от 29.12.2018 г. №2818 «Об утверждении Государственной поверочной схемы для средств измерений массы»;
-
- к ГЭТ 176-2019 «Государственный первичный эталон единиц массовой (молярной, атомной) доли и массовой (молярной) концентрации компонентов в жидких и твердых веществах и материалах на основе кулонометрии» в соответствии с приказом Росстандарта Российской Федерации от 19 февраля 2021 г. № 148 «Об утверждении Государственной поверочной схемы для средств измерений содержания неорганических компонентов в жидких и твердых веществах и материалах».
-
1.3 Интервал между поверками - 1 год.
В настоящей методике поверки использованы ссылки на следующие документы:
-
- Приказ Минпромторга России от 30.07.2020 № 2510 «Об утверждении Порядка проведения поверки средств измерений, требований к знаку поверки и содержанию свидетельства о поверке»;
-
- Приказ Минпромторга России от 28.08.2020 г. № 2906 «Об утверждении порядка создания и ведения Федерального информационного фонда по обеспечению единства измерений, передачи сведений в него и внесения изменений в данные сведения, предоставления содержащихся в нем документов и сведений»;
-
- Приказ Министерства труда и Социальной защиты Российской Федерации от 15.12.2020 N 903н «Об утверждении Правил по охране труда при эксплуатации электроустановок»;
-
- Приказ Росстандарта от 29.12.2018 №2818 «Об утверждении Государственной поверочной схемы для средств измерений массы»;
-
- Приказ Росстандарта от 14.12.2018 г. № 2664 «Об утверждении государственной поверочной схемы для средств измерений содержания компонентов в газовых и газоконденсатных средах»;
-
- Приказ Росстандарта от 19 февраля 2021 г. № 148 «Об утверждении Государственной поверочной схемы для средств измерений содержания неорганических компонентов в жидких и твердых веществах и материалах»;
ГОСТ 12.2.007.0-75 «Система стандартов безопасности труда. Изделия электротехнические. Общие требования безопасности».
3 Перечень операции поверки
3.1 При проведении поверки должны быть выполнены операции, указанные в таблице 1. Таблица 1 - Операции поверки
|
Наименование операции |
Номер пункта методики поверки |
Обязательность проведения операций при | |
|
первичной поверке |
периодической поверке | ||
|
Внешний осмотр |
8 |
+ |
+ |
|
Подготовка к поверке и опробование средства измерений |
9 |
+ |
+ |
|
Проверка программного обеспечения средства измерений |
10 |
+ |
+ |
|
Определение метрологических характеристик средства измерений: |
11 |
+ |
+ |
|
Подтверждение соответствия средства измерений метрологическим требованиям |
12 |
+ |
+ |
|
Оформление результатов поверки |
13 |
+ |
+ |
-
3.2 В зависимости от модификации анализатора, выбирают соответствующие стандартные образцы (далее - СО) для поверки: при наличии в составе анализатора устройства ввода жидких проб (цифровой индекс -01 в обозначении модификации анализатора) используют жидкие СО по п.6; при наличии в составе анализатора устройства ввода газообразных проб (цифровой индекс -02 в обозначении модификации анализатора и модификация -S-20729) используют СО газовых смесей по п. 6.; при наличии в составе анализатора устройства ввода жидких проб и устройства ввода газообразных проб (цифровой индекс -03 в обозначении модификации анализатора) используют жидкие СО и СО газовых смесей по п. 6.
-
3.3 На основании письменного заявления владельца анализатора или лица, представившего анализатор на поверку, оформленного в произвольной форме, допускается проведение первичной (периодической) поверки отдельных блоков из состава анализатора.
-
3.4 На основании письменного заявления владельца анализатора или лица, представившего анализатор на поверку, оформленного в произвольной форме, допускается проведение периодической поверки для меньшего числа величин или на меньшем числе поддиапазонов измерений (поверка в сокращенном объеме).
-
3.5 При отрицательных результатах поверки проводят настройку и/или повторную калибровку анализатора и повторяют операции поверки для характеристик, которые не соответствуют требованиям таблицы 4. При повторных отрицательных результатах поверку прекращают и оформляют документы по п. 13.3 настоящей методики поверки.
-
4.1 При проведении поверки должны соблюдаться условия, согласно таблице 2.
Таблица 2 - Условия поверки
|
Параметр |
Значение |
|
Температура окружающего воздуха, °C |
от +10 до +35 |
|
Относительная влажность, %, не более |
80 |
-
5.1 К проведению измерений по поверке допускаются лица, имеющие опыт работы с подобными анализаторами, изучившие эксплуатационную документацию на анализатор и настоящую методику. Допускается проведение отдельных операций по поверке специалистами организации, применяющей анализатор.
-
6.1 При проведении поверки применяют средства поверки согласно таблице 3.
Таблица 3 - Средства поверки
|
Наименование |
Метрологические и технические требования |
|
ГСО 10318-2013 стандартные образцы массовой доли азота в нефтепродуктах (имитатор) (СО МДАН-ПА) |
Интервал допускаемых аттестованных значений массовой доли азота от 0,05 до 10000 млн-1 и границы допускаемых значений относительной погрешности ±5 % при Р=0,95 |
|
ГСО 11441-2019 стандартные образцы массовой доли серы в минеральном масле |
Интервал допускаемых аттестованных значений массовой доли серы св. 10 до 1000 млн'1 вкл., границы допускаемых значений относительной погрешности аттестованного значения ±2 % при Р=0,95 |
|
ГСО 11442-2019 стандартный образец массовой доли серы в минеральном масле |
Интервал допускаемых аттестованных значений массовой доли серы св. 0,10 до 1,00 % вкл., границы допускаемых значений относительной погрешности аттестованного значения ±2 % при Р=0,95 |
|
ГСО 11440-2019 стандартный образец массовой доли серы в минеральном масле |
Интервал допускаемых аттестованных значений массовой доли серы св. 2 до 10 млн'1 вкл., границы допускаемых значений относительной погрешности аттестованного значения ±2,5 % при Р=0,95 |
|
ГСО 11439-2019 стандартный образец массовой доли серы в минеральном масле |
Интервал допускаемых аттестованных значений массовой доли серы от 0,9 до 1,9 млн'1, границы допускаемых значений относительной погрешности аттестованного значения ±6 % при Р=0,95 |
|
ГСО 10537-2014 стандартные образцы состава искусственной газовой смеси на основе серосодержащих соединений (СС-М-1) |
Интервал допускаемых аттестованных значений молярной доли сероводорода в метане от 5 • 10'5 до 1 % и границами допускаемых значений относительной погрешности от ±1,5 % до ±5 % при Р=0,95 |
|
термогигрометр |
Диапазоны измерений температуры и относительной влажности не менее требуемых по п.4 |
-
6.2 Средства измерений, применяемые при поверке, должны иметь действующее свидетельство о поверке, стандартные образцы должны иметь действующий паспорт.
-
6.3 Допускается применение других средств поверки, обеспечивающих требуемую точность передачи единицы массовой доли поверяемому анализатору.
-
7.1 При проведении поверки должны быть соблюдены требования Приказа Министерства труда и Социальной защиты Российской Федерации от 15.12.2020 N 903н «Об утверждении Правил по охране труда при эксплуатации электроустановок», требования ГОСТ 12.2.007.0.
-
8.1 При внешнем осмотре необходимо установить:
соответствие внешнего вида анализатора сведениям, приведенным в описании типа; соответствие комплектности, указанной в РЭ;
отсутствие механических повреждений корпуса, крепления органов управления и чёткости маркировки;
состояние лакокрасочных покрытий.
-
8.2 В случае, если при внешнем осмотре анализатора выявлены повреждения или дефекты способные оказать влияние на безопасность проведения поверки или результаты поверки, поверка может быть продолжена только после устранения этих повреждений или дефектов.
-
9.1 Анализатор и средства поверки должны быть подготовлены к работе в соответствии с их эксплуатационной документацией.
-
9.2 СО газовых смесей выдерживают в помещении, в котором проводится поверка, не менее, чем в течение 24 часов.
-
9.3 Подготовить стандартные образцы по п. 6 согласно их документации. Стандартные образцы выбираются в зависимости от поверяемого поддиапазона измерений анализатора таким образом, чтобы аттестованные значения СО соответствовали началу и концу поверяемого поддиапазона измерений.
-
9.4 При опробовании необходимо:
осуществить подачу газов в анализатор, проверить анализатор на отсутствие утечек в газовой линии (см. раздел «Проверка герметичности газовой системы анализатора» РЭ);
запустить пользовательскую программу и прогреть анализатор в соответствии с разделом «Прогрев прибора» РЭ.
Результат опробования считают положительным, если не выявлены газовые утечки и по окончании прогрева в информационном окне программного обеспечения, заданные параметры анализатора соответствуют фактически установленным.
10 Проверка программного обеспечения средства измерений-
10.1 Проверка текущей версии программного обеспечения (далее - ПО) производится согласно разделу «Идентификация ПО» РЭ.
-
10.2 Результат поверки ПО считают положительным, если его идентификационные данные соответствуют приведенным в описании типа.
-
11.1 В программе «ПО СПЕКТРОСКАН МЕТА» выбирают раздел «Поверка» в соответствии с РЭ. В режиме «Поверка» происходит автоматическая настройка рабочих параметров анализатора (расход газов, чувствительность детектора и других).
-
11.2 Выбирают элемент: азот или сера, и тип анализируемых образцов: жидкость или газ. Вводят в ПО сведения об используемых СО (тип, аттестованное значение).
-
11.3 Выбирают для каждого СО калибровку, в которой будут выполняться измерения.
-
11.4 После готовности анализатора к измерениям (зеленый цвет значка индикации готовности) нажимают кнопку «Начать» и последовательно проводят по пять измерений холостой пробы без ввода образца для каждого поверяемого блока измерений на калибровке соответствующей нижней части диапазона измерений.
-
11.5 При помощи устройства ввода (см. раздел «Порядок выполнения измерений» РЭ) проводят по три измерения содержания элемента в каждом СО в зависимости от поверяемых блоков измерений и поддиапазонов измерений.
-
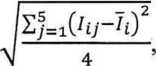
12.1 После измерений содержания элементов в холостых пробах, ПО анализатора рассчитывает и выводит на экран компьютера предел обнаружения по формуле

(1)
где (ТХОЛ1 — среднеквадратичное отклонение измерений сигнала холостой пробы (без ввода образца), рассчитанное ПО анализатора для z-ro блока измерений, у.е., по формуле

(2)
Iij -j-ый результат сигнала холостой пробы z-ro блока измерений, у.е.;
It - среднее арифметическое значение сигнала холостой пробы z-ro блока измерений, у.е., рассчитанное по формуле
Y]t - чувствительность по калибровке, соответствующей нижней части диапазона измерений, рассчитанная ПО анализатора для z-ro блока измерений, у.е.^млн'1) или у.е./(мг/м3) по формуле где I со i ~ среднее арифметическое значение интенсивности сигнала z-ro блока измерений для выбранного элемента в СО, у.е.;
Q - массовая доля или массовая концентрация элемента в стандартном образце, млн'1 (мг/м3).
Расчет чувствительности z-ro блока измерений анализатора проводится с использованием СО с аттестованным значением, соответствующим верхней границе нижней части диапазона измерений.
-
12.2 После измерений содержания элемента в каждом СО, ПО анализатора рассчитывает и выводит на экран компьютера относительную погрешность измерений массовой доли элемента в СО по формуле
5,= ОдЬнГ100, (5)
^атт1
где Q - среднее арифметическое результатов измерений содержания элемента в z-ом СО, млн’1 (мг/м3);
Саттч ~ аттестованное значение содержания элемента z-ro СО, млн’1 (мг/м3).
Пересчет аттестованного значения СО из единиц массовой доли, выраженной в %, в единицы массовой доли, выраженные в млн’1 (мг/кг), производят по формуле
Сатт1 = waTri -ЮООО, (6)
где waTTj - массовая доля элемента из паспорта z-ro СО, %.
Значение массовой концентрации серы в СО, выраженные в мг/м3, вычисляют по формуле
= мНгГм5-юд 0,0240094
где NH2S - аттестованное значение молярной доли H2S в ГСО 10537-2014, %;
М$ - молярная масса серы, 32,065 г/моль;
0,0240094 - молярный объем природного газа (коэффициент сжимаемости взят по метану) при стандартных условиях, м3/моль.
Значение массовой концентрации серы в СО газовой смеси Cs, мг/м3, вычисляют по формуле
„ „ Ms
(8)
Cs - Сц s ' м >
1 Mh2s
где Сц2$ - аттестованное значение массовой концентрации сероводорода в СО, мг/м3; Mh2s - молярная масса сероводорода, 34,1 г/моль;
М$ - молярная масса серы, 32,065 г/моль.
-
12.3 Результаты поверки считают положительными, если метрологические характеристики соответствуют значениям, указанным в таблице 4.
Таблица 4 - Метрологические характеристики анализаторов
|
Наименование характеристики |
Значение |
|
Диапазон показаний массовой доли серы в жидких пробах (S; NS; N(L)S), млн1 |
от 0,03 до 20000 |
|
Диапазон измерений массовой доли серы в жидких пробах (S; NS; N(L)S), млн’1 |
от 1,0 до 10000 |
|
Предел обнаружения серы в жидких пробах (S; NS; N(L)S), млн’1 |
0,1 |
|
Пределы допускаемой относительной погрешности при измерении массовой доли серы в жидких пробах (S; NS; N(L)S), %, в поддиапазонах измерений: от 1,0 до 10 млн’1 включ. |
±15 |
|
св. 10 до 1000 млн’1 включ. |
±10 |
|
св. 1000 до 10000 млн’1 включ. |
±5 |
|
Наименование характеристики |
Значение |
|
Диапазон показаний массовой концентрации серы в газообразных пробах (S; NS; N(L)S; S-20729), мг/м3’ |
от 0,03 до 20000 |
|
Диапазон измерений массовой концентрации серы в газообразных пробах (S; NS; N(L)S; S-20729), мг/м3* |
от 1,0 до 10000 |
|
Предел обнаружения серы в газообразных пробах (S; NS; N(L)S; S-20729), мг/м3 |
0,1 |
|
Пределы допускаемой относительной погрешности при измерении массовой концентрации серы в газообразных пробах (S; NS; N(L)S; S-20729), %, в поддиапазонах измерений: от 1,0 до 10 мг/м3 включ. св. 10 до 1000 мг/м3 включ. св. 1000 до 10000 мг/м3 включ. |
±15 ±10 ±5 |
|
Диапазон показаний массовой доли азота в жидких пробах (N, NS, N(L), N(L)S), млн1 |
от 0,03 до 20000 |
|
Диапазон измерений массовой доли азота в жидких пробах, млн'1
|
от 0,3 до 10000 от 0,050 до 10000 |
|
Предел обнаружения азота в жидких пробах, млн*1:
|
0,1 0,025 |
|
Пределы допускаемой относительной погрешности анализатора при измерении массовой доли азота в жидких пробах (N, NS, N(L), N(L)S), %, в поддиапазонах измерений: от 0,050 до 0,30 млн'1 включ. св. 0,30 до 1,0 млн'1 включ. св. 1,0 до 10 млн'1 включ. св. 10 до 1000 млн'1 включ. св. 1000 до 10000 млн’1 включ. |
±45 ±30 ±20 ±10 ±5 |
|
* Реализуется на модификациях, оснащенных устройством ввода газообразных проб. | |
-
13.1 Оформляют протокол проведения поверки произвольной формы.
-
13.2 При положительных результатах поверки анализатор признают пригодным к применению и оформляют результаты поверки в соответствии с Приказом Минпромторга России от 30.07.2020 № 2510 «Об утверждении Порядка проведения поверки средств измерений, требований к знаку поверки и содержанию свидетельства о поверке», или в соответствии с порядком, действующим на момент проведения поверки, или действующими на момент проведения поверки нормативно-правовыми актами в области обеспечения единства измерений. Знак поверки наносят на свидетельство о поверке.
-
13.3 При отрицательных результатах поверки анализатор признают непригодным к применению в сфере государственного регулирования обеспечения единства измерений и оформляют результаты поверки в соответствии с Приказом Минпромторга России от 30.07.2020 № 2510 или действующими на момент проведения поверки нормативными актами в области обеспечения единства измерений.
-
13.4 Сведения о результатах поверки передают в Федеральный информационный фонд по обеспечению единства измерений в соответствии с Приказом Минпромторга России от
28.08.2020 г. № 2906 «Об утверждении порядка создания и ведения Федерального
информационного фонда по обеспечению единства измерений, передачи сведений в него и внесения изменений в данные сведения, предоставления содержащихся в нем документов и сведений».
Разработчики:
Заведующий лабораторией методик
ООО «НПО «СПЕКТРОН»


Григорьев А.В.
И.о. зам. зав. лаб. 251
УНИИМ - филиала ФГУП «ВНИИМ им.Д.И.Менделеева».

Мигаль П.В.
