Методика поверки «Государственная система обеспечения единства измерений ДИСПЕНСЕРЫ DISPENSETTE BRAND» (МП 2301-0186-2020)
Федеральное государственное унитарное предприятие
«Всероссийский научно-исследовательский институт метрологии им. Д.И. Менделеева» ФГУП «ВНИИМ им. Д.И. Менделеева»

УТВЕРЖДАЮ директора Менделеева» А.Н. Пронин 2020 г.
директора
им. Д.и. Менделеева I Константин Владимирович I
Государственная система обеспечения единства измерений ДИСПЕНСЕРЫ DISPENSETTE BRANDМетодика поверки
МП 2301-0186-2020Руководитель лаборатории госэталонов
в

массы и силы
А.Ф. Остривной Ведущий инженер В.И. Богданова
г. Санкт-Петербург 2020 г.
Содержание
Приложение А (обязательное) Значение коэффициента коррекции
Приложение Б (обязательное) Метрологические характеристики диспенсеров
1 Область примененияНастоящая методика поверки распространяется на диспенсеры Dispensette BRAND (далее-диспенсеры), изготавливаемые «BRAND GMBH + СО KG», Германия, и устанавливает методы и средства их первичной поверки при ввозе в страну, после ремонта и периодической поверки в процессе эксплуатации.
Примечания:
-
1. При пользовании настоящей методикой поверки целесообразно проверить действие ссылочных документов по соответствующему указателю стандартов, составленному по состоянию на 1 января текущего года и по соответствующим информационным указателям, опубликованным в текущем году.
-
2. Если ссылочный документ заменен (изменен), то при пользовании настоящей методикой следует руководствоваться заменяющим (измененным) документом. Если ссылочный документ отменен без замены, то положение, в котором дана ссылка на него применяется в части, не затрагивающей эту ссылку.
-
3. Методикой поверки не предусмотрена возможность проведения поверки на меньшем числе поддиапазонов измерений.
В настоящей методике поверки использованы нормативные ссылки на следующие стандарты:
ГОСТ 6709-72 Вода дистиллированная. Технические условия
Приказ Госстандарта от 07 февраля 2018 г. № 256 «Об утверждении Государственной поверочной схемы для средств измерений массы и объема жидкости в потоке, объема жидкости и вместимости при статических измерениях, массового и объемного расходов жидкости»
3 Метод поверкиМетод поверки основан на определении относительной систематической погрешности и относительного среднего квадратического отклонения (СКО) случайной погрешности объёма массовым (гравиметрическим) методом.
4 Операции и средства поверкиПри проведении поверки должны быть выполнены следующие операции и применены средства измерений с характеристиками, указанными в таблице!.
Таблица 1 - Операции и средства поверки
|
Наименование операции |
Номер пункта методики |
Средства поверки и их метрологические и основные технические характеристики |
|
Внешний осмотр |
8.1 |
Визуально |
|
Опробование |
8.2 |
Визуально |
|
Определение метрологических характеристик |
8.3 |
эталоны и средства измерений, заимствованные из других поверочных схем, в соответствии с Государственной поверочной схемой для средств измерений массы и объема жидкости в потоке, объема жидкости и вместимости при статических измерениях, массового и объемного расходов жидкости по Приказу Госстандарта от 07 февраля 2018 г. № 256: весы неавтоматического действия с действительной ценой деления d<0,l мг для поверки диспенсеров до 10 мл включ., d<l мг для поверки диспенсеров св. 10 мл; вода дистиллированная по ГОСТ 6709; термометр с диапазоном измерения от 0 до 50 °C, с ценой деления 0,1 °C и погрешностью не более ±0,2 °C; барометр с диапазоном измерения от 80 до 160 кПа с погрешностью не более ±200 Па; гигрометр с диапазоном измерений относительной влажности от 0 до 90 %, с погрешностью не более 10 % |
Примечания:
-
1. Допускается применение средств поверки, на которые не дана ссылка в таблице 1, но обеспечивающих определение (контроль) метрологических характеристик поверяемых средств измерений с требуемой точность и пределами измерений.
-
2. Конструкция чашки весов (грузоприемной платформы) должна быть такова, чтобы испарения были незначительны (например, должен использоваться сосуд для взвешивания, или испарительная ловушка).
3. Дискретность и среднее квадратическое отклонение (СКО) весов неавтоматического действия должны соответствовать требованиям, приведённым в таблице:
|
Номинальное значение измеряемого объема (V) |
Дискретность (d) весов, мг, не более |
Среднего квадратическое отклонение (СКО) весов (S), мг |
|
200 мкл < V< 10 мл |
0,1 |
0,2 |
|
10 мл < V< 1000 мл |
1 |
2 |
4. СКО показаний весов может приводиться в сертификате о калибровке весов.
Если СКО показаний весов не известно, S, то его можно определить по формуле:
где Д - i -ое показание весов,
i -порядковый номер измерения (/ =1,2, 3,......10)
L - среднее арифметическое значение показаний нагруженных весов. п - количество измерений.
ЗТребования безопасности-
5.1 При проведении поверки должны соблюдаться правила, определяемые правилами безопасности при эксплуатации поверяемых средств измерений и используемых средств поверки, приведенных в эксплуатационной документации и нормативных документах, а также правилами технической эксплуатации и правил техники безопасности при работе на электроустановках.
-
5.2 Требования к квалификации поверителей
Специалисты, проводящие поверку, должны иметь высшее или среднее техническое образование, должны изучить правила работы с поверяемым средством измерений и обладать соответствующей квалификацией для работы с эталонным оборудованием.
6 Условия поверки-
6.1 При проведении поверки должны быть соблюдены следующие условия:
-
- температура воздуха в помещении должна быть от плюс 18 до плюс 22 °C;
-
- атмосферное давление от 71 до 110 кПа;
-
- относительная влажность воздуха от 20 % до 90 %.
-
- разница между температурой воздуха в помещении и температурой воды дистиллированной
не более 0,5 °C;
-
- максимально допустимое изменение температуры за время проведения измерений
не более 1 °C;
-
- максимально допустимое изменение влажности за время проведения измерений
не более 5 %.
-
6.2 До начала испытаний диспенсеры, посуда и дистиллированная должны быть выдержаны в помещении, где проводятся испытания, не менее 2 часов.
-
6.3 Место проведения поверки должно быть защищено от воздействия прямых солнечных лучей.
При подготовке к проведению поверки должны быть выполнены следующие операции:
-
7.1 Весы должны быть подготовлены (проведена юстировка при необходимости) согласно эксплуатационной документации.
-
7.2 Весы должны быть прогреты до начала поверки согласно эксплуатационной документации или не менее 1 часа.
-
7.3 Диспенсеры должны быть подготовлены согласно эксплуатационной документации.
-
7.4 Перед поверкой диспенсер и дистиллированная должны быть выдержаны в помещении, где проводятся измерения, не менее 2 часов.
-
8.1 Внешний осмотр
При внешнем осмотре должно быть установлено соответствие диспенсеров следующим требованиям:
-
- комплектность должна соответствовать требованиям эксплуатационной документации;
-
- отсутствие механических повреждений и неисправностей, мешающих нормальной работе;
-
- надписи и обозначения должны быть четкими и соответствовать эксплуатационной документации;
-
- наконечники должны быть ровные, отверстия для выдачи дозы не должно иметь облоя.
-
8.2 Опробование
При поверке должны использоваться оригинальные наконечники изготовителя или наконечники, разрешенные изготовителем к применению.
При опробовании необходимо проверить работоспособность диспенсеров в соответствии с эксплуатационной документации.
-
8.3 Определение метрологических характеристик
Определение относительной систематической погрешности и относительного среднего квадратического отклонения (СКО) случайной погрешности проводят: для диспенсеров с фиксированным объемом доз при номинальном значении, для диспенсеров с переменным объемом доз при номинальном значении и при 10 % от номинального значения объема доз. Значения объемов дозирования при поверке приведены в Приложении Б.
Измерения начинают с наименьшего поверяемого объема.
Определение выполняют гравиметрическим методом на дистиллированной воде, температура которой не должна отличаться от температуры окружающегося воздуха более, чем на 0,5 °C.
-
8.3.1 Вставляют распределительную трубку подачи через соединительный шланг блока клапана.
Наворачивают диспенсер прямо на резьбу флакона необходимого объема для поверки диспенсера, заполненного дистиллированной водой. Также можно использовать фиксирующие адаптеры для закрепления на других типах резьбы или нижних горловинах. Снимают стопорный колпачок с отводной трубки.
ВНИМАНИЕ: Если стопорный колпачок не снят при начале распределения, в системе каналов может образоваться избыточное давление, и может произойти бесконтрольное распределение.
Для первого заполнения диспенсера поднимают и опускают на небольшое расстояние поршень, пока в цилиндре не останется пузырьков.
-
8.3.2 Поднимают распределительный поршень вверх с помощью, направляющей, не касаясь самого поршня до испытуемого объема.
-
8.3.3 Сливают сформированную дозу в стаканчик (или другую мерную лабораторную посуду) необходимой вместимости, установленный на грузоприемной платформе весов.
-
8.3.4 Операцию формирования дозы, определения ее массы повторяют не менее 10 раз.
-
8.3.5 Используя результаты взвешивания, определяют значение объема Vt для z-ой дозы для выбранного объема дозирования, (мкл) по формуле

(1)
где М, - масса i -ой дозы воды, сформированная каналом диспенсера в точке диапазона, г; Z - коэффициент коррекции, мл/г (в соответствии с Приложением А).
-
8.3.6 Используя результаты взвешивания, определяют среднее арифметическое объема дозы V, (мл) по формуле
п
10
(2)
-
8.3.7 Используя полученное значение V, определяют значение систематической относительной погрешности , (%) по формуле

(3)
где VH0M - номинальное значение объема дозы, мл.
Аналогично рассчитывают значение бо по ф.(3) для всех точек дозирования.
-
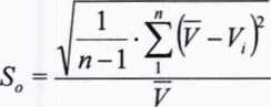
8.3.8 СКО случайной относительной погрешности рассчитывают по формуле
•100.
(4)
Аналогично рассчитывают значение So по ф.(4) для всех точек дозирования.
Диспенсер считают выдержавшим испытание, если относительная систематическая погрешность и относительное СКО случайной погрешности соответствуют значениям, приведенным в Приложении Б.
9 Оформление результатов поверки-
9.1 Результаты поверки признают положительными при условии положительных результатов выполнения всех условий поверки.
-
9.2 Положительные результаты поверки подтверждаются сведениями о результатах поверки средств измерений, включенными в Федеральный информационный фонд по обеспечению единства измерений.
Знак поверки наносится на свидетельство о поверке.
-
9.3 В случае отрицательных результатов диспенсер для применения не допускается.
Отрицательные результаты поверки подтверждаются сведениями о результатах поверки средств измерений, включенными в Федеральный информационный фонд по обеспечению единства измерений.
Приложение А(обязательное)
Значение коэффициента коррекции Z (мл/г) Таблица А.1- Значение коэффициента коррекции Z
|
Температура воды, С |
Атмосферное давление кПа | ||||||
|
80 |
85 |
90 |
95 |
100 |
101,3 |
105 | |
|
15,0 |
1,0017 |
1,0018 |
1,0019 |
1,0019 |
1,0020 |
1,0020 |
1,0020 |
|
15,5 |
1,0018 |
1,0019 |
1,0019 |
1,0020 |
1,0020 |
1,0020 |
1,0021 |
|
16,0 |
1,0019 |
1,0020 |
1,0020 |
1,0021 |
1,0021 |
1,0021 |
1,0022 |
|
16,5 |
1,0020 |
1,0020 |
1,0021 |
1,0021 |
1,0022 |
1,0022 |
1,0022 |
|
17,0 |
1,0021 |
1,0021 |
1,0022 |
1,0022 |
1,0023 |
1,0023 |
1,0023 |
|
17,5 |
1,0022 |
1,0022 |
1,0023 |
1,0023 |
1,0024 |
1,0024 |
1,0024 |
|
18,0 |
1,0022 |
1,0023 |
1,0023 |
1,0024 |
1,0025 |
1,0025 |
1,0025 |
|
18,5 |
1,0023 |
1,0024 |
1,0024 |
1,0025 |
1,0025 |
1,0026 |
1,0026 |
|
19.0 |
1,0024 |
1,0025 |
1,0025 |
1,0026 |
1,0026 |
1,0027 |
1,0027 |
|
19,5 |
1,0025 |
1,0026 |
1,0026 |
1,0027 |
1,0027 |
1,0028 |
1,0028 |
|
20,0 |
1,0026 |
1,0027 |
1,0027 |
1,0028 |
1,0028 |
1,0029 |
1,0029 |
|
20,5 |
1,0027 |
1,0028 |
1,0028 |
1,0029 |
1,0029 |
1,0030 |
1,0030 |
|
21,0 |
1,0028 |
1,0029 |
1,0029 |
1,0030 |
1,0031 |
1,0031 |
1,0031 |
|
21,5 |
1,0030 |
1,0030 |
1,0031 |
1,0031 |
1,0032 |
1,0032 |
1,0032 |
|
22,0 |
1,0031 |
1,0031 |
1,0032 |
1,0032 |
1,0033 |
1,0033 |
1,0033 |
|
22,5 |
1,0032 |
1,0032 |
1,0033 |
1,0033 |
1,0034 |
1,0034 |
1,0034 |
|
23,0 |
1,0033 |
1,0033 |
1,0034 |
1,0034 |
1,0035 |
1,0035 |
1,0036 |
|
23,5 |
1,0034 |
1,0035 |
1,0035 |
1,0036 |
1,0036 |
1,0036 |
1,0037 |
|
24,0 |
1,0035 |
1,0036 |
1,0036 |
1,0037 |
1,0037 |
1,0038 |
1,0038 |
|
24,5 |
1,0037 |
1,0037 |
1,0038 |
1,0038 |
1,0039 |
1,0039 |
1,0039 |
|
25,0 |
1,0038 |
1,0038 |
1,0039 |
1,0039 |
1,0040 |
1,0040 |
1,0040 |
|
25,5 |
1,0039 |
1,0040 |
1,0040 |
1,0041 |
1,0041 |
1,0041 |
1,0042 |
|
26,0 |
1,0040 |
1,0041 |
1,0041 |
1,0042 |
1,0042 |
1,0043 |
1,0043 |
|
26,5 |
1,0042 |
1,0042 |
1,0043 |
1,0043 |
1,0044 |
1,0044 |
1,0044 |
|
27,0 |
1,0043 |
1,0044 |
1,0044 |
1,0045 |
1,0045 |
1,0045 |
1,0046 |
|
27,5 |
1,0045 |
1,0045 |
1,0046 |
1,0046 |
1,0047 |
1,0047 |
1,0047 |
|
28,0 |
1,0046 |
1,0046 |
1,0047 |
1,0047 |
1,0048 |
1,0048 |
1,0048 |
|
28,5 |
1,0047 |
1,0048 |
1,0048 |
1,0049 |
1,0049 |
1,0050 |
1,0050 |
|
29,0 |
1,0049 |
1,0049 |
1,0050 |
1,0050 |
1,0051 |
1,0051 |
1,0051 |
|
29,5 |
1.0050 |
1.0051 |
1.0051 |
1.0052 |
1.0052 |
1.0052 |
1.0053 |
|
30.0 |
1,0052 |
1,0052 |
1,0053 |
1,0053 |
1,0054 |
1,0054 |
1,0054 |
(обязательное)
Метрологические характеристики диспенсеров Dispensette BRAND
Таблица Б. 1 - Метрологические характеристики
|
Диапазон объемов дозирования, мл |
Дискретность установки объема, мл |
Значения объемов дозирования при поверке, мл |
Пределы допускаемой относительной систематической погрешности, % |
Предел допускаемого относительного среднего квадратического отклонения случайной погрешности, % |
|
Диспенсеры Dis |
)ensette S Digital | |||
|
от 0,1 до 1 |
0,005 |
0,1 |
±6,0 |
2,0 |
|
1 |
±0,6 |
0,2 | ||
|
от 0,2 до 2 |
0,01 |
0,2 |
±5,0 |
1,0 |
|
2 |
±0,5 |
0,1 | ||
|
от 0,5 до 5 |
0,02 |
0,5 |
±5,0 |
1,0 |
|
5 |
±0,5 |
0,1 | ||
|
от 1 до 10 |
0,05 |
1 |
±5,0 |
1,0 |
|
10 |
±0,5 |
0,1 | ||
|
от 2.5 до 25 |
0,1 |
2,5 |
5,0 |
1,0 |
|
25 |
±0,5 |
0,1 | ||
|
от 5 до 50 |
0,2 |
5 |
±5,0 |
1,0 |
|
50 |
±0,5 |
0,1 | ||
|
Диспенсеры Dispensette S Analog | ||||
|
от 0,1 до 1 |
0,02 |
0,1 |
±6,0 |
2,0 |
|
1 |
±0,6 |
0,2 | ||
|
от 0,2 до 2 |
0,05 |
0,2 |
±5,0 |
1,0 |
|
2 |
±0,5 |
0,1 | ||
|
от 0,5 до 5 |
0,1 |
0,5 |
±5,0 |
1,0 |
|
5 |
±0,5 |
0,1 | ||
|
от 1 до 10 |
0,2 |
1 |
±5,0 |
1,0 |
|
10 |
±0,5 |
0,1 | ||
|
от 2,5 до 25 |
0,5 |
2,5 |
5,0 |
1,0 |
|
25 |
±0,5 |
0,1 | ||
|
от 5 до 50 |
1,0 |
5 |
±5,0 |
1,0 |
|
50 |
±0,5 |
0,1 | ||
|
от 10 доЮО |
1,0 |
10 |
±5,0 |
1,0 |
|
100 |
±0,5 |
0,1 | ||
|
Диспенсеры Dispensette S Fixed | ||||
|
1 |
- |
1 |
±0,6 |
0,2 |
|
2 |
- |
2 |
±0,5 |
0,1 |
|
5 |
- |
5 |
±0,5 |
0,1 |
|
10 |
- |
10 |
±0,5 |
0,1 |
|
Продолжение та |
блицы Б. 1 - Мет |
оологические ха |
рактеристики | |
|
Диапазон объемов дозирования, мл |
Дискретность установки объема, мл |
Значения объемов дозирования при поверке, мл |
Пределы допускаемой относительной систематической погрешности, % |
Предел допускаемого относительного среднего квадратического отклонения случайной погрешности, % |
|
Диспенсеры Dispensette S Organic Digital | ||||
|
от 0,5 до 5 |
0,02 |
0,5 |
±5,0 |
1,0 |
|
5 |
±0,5 |
0,1 | ||
|
от 1 до 10 |
0,05 |
1 |
±5,0 |
1,0 |
|
10 |
±0,5 |
0,1 | ||
|
от 2,5 до 25 |
0,1 |
2,5 |
5,0 |
1,0 |
|
25 |
±0,5 |
0,1 | ||
|
от 5 до 50 |
0,2 |
5 |
±5,0 |
1,0 |
|
50 |
±0,5 |
0,1 | ||
|
Диспенсеры Dispensette S Organic Analo |
g | |||
|
от 0.5 до 5 |
0,1 |
0,5 |
±5,0 |
1,0 |
|
5 |
±0,5 |
0,1 | ||
|
от 1 до 10 |
0,2 |
1 |
±5,0 |
1,0 |
|
10 |
±0,5 |
0,1 | ||
|
от 2.5 до 25 |
0,5 |
2,5 |
5,0 |
1,0 |
|
25 |
±0,5 |
0,1 | ||
|
от 5 до 50 |
1,0 |
5 |
±5,0 |
1,0 |
|
50 |
±0,5 |
0,1 | ||
|
от 10 доЮО |
1,0 |
10 |
±5,0 |
1,0 |
|
100 |
±0,5 |
0,1 | ||
|
Диспенсеры Dispensette S Organic Fixec | ||||
|
5 |
- |
5 |
±0,5 |
0,1 |
|
10 |
- |
10 |
±0,5 |
0,1 |
|
Диспенсеры Dispensette S Trace Analysis | ||||
|
от 1 до 10 |
0,2 |
1 |
±5,0 |
1,0 |
|
5 |
±1,0 |
0,2 | ||
|
10 |
±0,5 |
0,1 | ||
10
