Методика поверки «ГСИ.СИСТЕМА ИЗМЕРЕНИЙ КОЛИЧЕСТВА И ПОКАЗАТЕЛЕЙ КАЧЕСТВА НЕФТИ № 421 ПСП «УФА»» (МП 1164-14-2020)
ВСЕРОССИЙСКИЙ НАУЧНО-ИССЛЕДОВАТЕЛЬСКИЙ ИНСТИТУТ РАСХОДОМЕТРИИ -ФИЛИАЛ ФЕДЕРАЛЬНОГО ГОСУДАРСТВЕННОГО УНИТАРНОГО ПРЕДПРИЯТИЯ «ВСЕРОССИЙСКИЙ НАУЧНО-ИССЛЕДОВАТЕЛЬСКИЙ ИНСТИТУТ МЕТРОЛОГИИ им. Д.И. МЕНДЕЛЕЕВА»
ВНИИР - филиал ФГУП «ВНИИМ им.Д.И.Менделеева»

Государственная система обеспечения единства измерений
СИСТЕМА ИЗМЕРЕНИЙ КОЛИЧЕСТВА И ПОКАЗАТЕЛЕЙ КАЧЕСТВА
НЕФТИ № 421 ПСП «УФА»
Методика поверки
МП 1164-14-2020
Начальник НИО-14
Д Р.Р. Нурмухаметов одела: (843) 299-72-00
^ Тел. 0
Казань
2020
РАЗРАБОТАНА |
ВНИИР - филиал ФГУП «ВНИИМ им.Д.И.Менделеева» |
ИСПОЛНИТЕЛИ |
Ягудин И.Р. |
УТВЕРЖДЕНА |
ВНИИР - филиал ФГУП «ВНИИМ им.Д.И.Менделеева» |
Настоящая документ распространяется на систему измерений количества и показателей качества нефти № 421 ПСП «Уфа» (далее - СИКН) с заводским № 421 и устанавливает методику первичной поверки при вводе в эксплуатацию, а также после ремонта, и периодической поверки при эксплуатации.
Если очередной срок поверки измерительного компонента (средства измерений (СИ)) из состава СИКН наступает до очередного срока поверки СИКН, или появилась необходимость проведения периодической или внеочередной поверки измерительного компонента, то поверяют только этот измерительный компонент, при этом внеочередную поверку СИКН не проводят.
Допускается проведение поверки СИКН в части отдельного измерительного канала (ИК) в соответствии с заявлением владельца СИКН.
Интервал между поверками СИКН - 12 месяцев.
1 Операции поверкиПри проведении поверки выполняют операции, приведенные в таблице 1.
Таблица 1
Наименование операции |
Номер пункта документа |
Проведение операции при | |
первичной поверке |
периодической поверке | ||
Внешний осмотр |
6.1 |
Да |
Да |
Подтверждение соответствия программного обеспечения |
6.2 |
Да |
Да |
Опробование |
6.3 |
Да |
Да |
Определение (контроль) метрологических характеристик |
6.4 |
Да |
Да |
Если при проведении какой-либо операции поверки получен отрицательный результат, дальнейшую поверку не проводят.
2 Средства поверки-
2.1 Эталоны (основные средства поверки)
-
2.1.1 Рабочий эталон 1-го или 2-го разряда в соответствии с Государственной поверочной схемой для средств измерений массы и объема жидкости в потоке, объема жидкости и вместимости при статических измерениях, массового и объемного расходов жидкости, утвержденной приказом Минпромторга РФ от 07.02.2018 № 256 (часть 2) (установка поверочная трубопоршневая) (далее - ПУ).
-
-
2.2 Средства измерений
-
2.2.1 СИ плотности, обеспечивающие возможность поверки во всем диапазоне измерений СИКН (преобразователь плотности поточный с пределами допускаемой абсолютной погрешности ±0,3 кг/м3) (далее - ПП).
-
2.2.2 СИ избыточного давления, обеспечивающие возможность поверки во всем диапазоне измерений СИКН (измерительные преобразователи избыточного давления с унифицированным токовым выходным сигналом с пределами допускаемой приведенной погрешности ±0,5 % (далее - ДД), манометры класса точности 0,6).
-
2.2.3 СИ температуры, обеспечивающие возможность поверки во всем диапазоне измерений СИКН (датчики температуры (далее - ДТ), термометры с пределами допускаемой абсолютной погрешности ±0,2 °C).
-
2.2.4 СИ вязкости, обеспечивающие возможность поверки во всем диапазоне измерений СИКН (преобразователь вязкости поточный с пределами допускаемой приведенной погрешности ±1,0 %) (далее - ПВ).
-
2.2.5 Комплекс измерительно-вычислительный «ИМЦ-03» (далее - ИВК) с пределами допускаемой относительной погрешности: измерений частоты импульсного сигнала ±0,002 %, количества импульсов ±0,025 %, преобразования входных электрических сигналов в значение коэффициента преобразования ±0,025 %; абсолютной погрешности измерений постоянного тока ±0,015 мА).
-
-
2.3 Допускается применение аналогичных средств поверки, обеспечивающих определение метрологических характеристик СИКН с требуемой точностью.
При проведении поверки соблюдают требования, определяемые:
-
- в области охраны труда;
-
- в области промышленной безопасности;
-
- в области пожарной безопасности;
-
- в области соблюдения правильной и безопасной эксплуатации электроустановок;
-
- в области охраны окружающей среды;
-
- правилами безопасности при эксплуатации используемых СИ, приведенными в их эксплуатационной документации.
-
4.1 Поверку СИКН проводят на месте эксплуатации в диапазоне измерений, указанном в описании типа, или фактически обеспечивающимся при поверке диапазоне измерений с обязательным указанием в свидетельстве о поверке информации об объеме проведения поверки. Фактический диапазон измерений не может превышать диапазона измерений, указанного в описании типа СИКН.
Характеристики СИКН и физико-химические показатели измеряемой среды при проведении поверки должны соответствовать требованиям, приведенным в таблице 2.
Проверку физико-химических показателей измеряемой среды на соответствие данным таблицы 2 проводят по данным паспорта качества нефти.
Таблица 2
Наименование характеристики |
Значение |
Диапазон измерений массового расхода нефти, т/ч |
от 119 до 760 |
Диапазон измерений расхода через ИК*, м3/ч
|
от 135 до 480 от 130 до 460 |
Избыточное давление, МПа |
от 0,19 до 1,60 |
Измеряемая среда |
Нефть по ГОСТ Р 51858-2002 «Нефть. Общие технические условия» |
Окончание таблицы 2
Наименование характеристики |
Значение |
Параметры измеряемой среды: - температура нефти, °C |
от +2,0 до +30,0 |
- плотность при температуре 20 °C и избыточном давлении 0 МПа, кг/м3 |
от 882,0 до 905,0 |
- вязкость кинематическая, мм2/с (сСт) |
от 25,0 до 90,0 |
- массовая доля воды, %, не более |
1,0 |
- массовая доля механических примесей, %, не более |
0,05 |
|
900 |
не более |
66,7 (500) |
- содержание свободного газа, % |
не допускается |
’ - измерительный канал объема и объемного расхода нефти |
-
4.2 Определение относительной погрешности измерительного канала (ИК) объема и объемного расхода нефти комплектным способом проводят при следующих условиях:
-
- работы проводят на месте эксплуатации в комплекте с элементами измерительных линий;
-
- допускаемое изменение абсолютного значения расхода за время одного измерения (в точке расхода) 2,5 %;
-
- допускаемое изменение абсолютного значения температуры измеряемой среды за время одного измерения 0,2 °C;
-
- температура, влажность окружающей среды и физико-химические показатели измеряемой среды соответствуют условиям эксплуатации системы;
-
- диапазоны рабочего давления и объемного расхода определяются типоразмерами ПР (преобразователи расхода жидкости турбинные HELIFLU TZ-N с Ду 150 мм, преобразователь объема жидкости лопастной Smith Meter с Ду 10" модели JB-10), рабочим диапазоном объемного расхода ПУ и технологическими требованиями;
-
- содержание свободного газа не допускается;
-
- для обеспечения бескавитационной работы избыточное давление в трубопроводе после ПР, Ртт, МПа, должно быть не менее вычисленного по формуле
=2,06-Рнп + 2-ДР, (1)
где Рнп - давление насыщенных паров, определенное в соответствии с ГОСТ 1756-2000 «Нефтепродукты. Определение давления насыщенных паров» при максимально возможной температуре измеряемой среды, МПа;
ДР - разность давления на ПР, указанная в технической документации, МПа;
-
- регулирование объемного расхода проводят при помощи регуляторов расхода, расположенных на выходе ПУ и (или) на измерительных линиях.
-
4.3 При соблюдении условий 4.1, 4.2 считают, что факторы, которые могут оказать влияние на точность результатов измерений при поверке, отсутствуют.
Подготовку средств поверки и С И КН осуществляют в соответствии с их эксплуатационной документацией.
-
5.1 Проверяют наличие действующих свидетельств о поверке (свидетельств об аттестации) и(или) знаков поверки на все средства поверки.
-
5.2 Перед началом определения метрологических характеристик ИК нефти комплектным способом выполняют следующие подготовительные работы:
-
- проверяют правильность монтажа средств поверки и ПР;
-
- проверяют отсутствие газа (воздуха) в измерительной линии с ПР и ПУ, а также в верхних точках трубопроводов. Для этого устанавливают объемный расход нефти в пределах диапазона измерений ПР и открывают краны, расположенные в верхних точках измерительной линии и ПУ. Проводят 1-3 раза запуск поршня, удаляя после каждого запуска газ (воздух). Считают, что газ (воздух) отсутствует полностью, если из кранов вытекает струя нефти без газовых (воздушных) пузырьков;
-
- проверяют герметичность устройства пуска и приема поршня ПУ в соответствии с технической документацией;
-
- проверяют стабильность температуры измеряемой среды. Температуру измеряемой среды считают стабильной, если ее изменение в ПУ и в ПР не превышает 0,2 °C за время измерения;
-
- определяют плотность измеряемой среды за время определения относительной погрешности ПР с помощью поточного преобразователя плотности (далее - ПП) или в испытательной лаборатории;
-
- определяют кинематическую вязкость измеряемой среды за время определения относительной погрешности ПР с помощью поточного преобразователя вязкости или в испытательной лаборатории;
-
- вводят в память ИВК (или проверяют введенные ранее) необходимые данные согласно приложению А.
-
6.1 Внешний осмотр
При внешнем осмотре должно быть установлено соответствие СИКН следующим требованиям:
-
- комплектность СИКН должна соответствовать комплектности, указанной в описании типа технической документации;
-
- на компонентах СИКН не должно быть механических повреждений и дефектов покрытия, препятствующих применению СИКН;
-
- надписи и обозначения на компонентах СИКН должны быть четкими и соответствовать технической документации;
Результаты считают положительными, если СИКН соответствует вышеперечисленным требованиям.
-
6.2 Подтверждение соответствия программного обеспечения (ПО)
-
6.2.1 Определение идентификационных данных ПО ИВК проводят в следующей последовательности:
-
-
- включить питание ИВК, если питание было выключено;
-
- дождаться после включения питания появления на дисплее ИВК главного меню или войти в главное меню;
-
- в главном меню выбрать пункт «Просмотр 2»;
-
- в меню «Просмотр 2» выбрать пункт «Версия программы», после чего на экране отобразится информация о:
-
- наименовании ИВК;
-
- названии реализованных алгоритмов вычислений;
-
- идентификационном наименовании ПО;
-
- номере версии ПО (идентификационный номер ПО);
-
- цифровом идентификаторе ПО.
-
6.2.2 Определение идентификационных данных ПО автоматизированного рабочего места (АРМ) оператора «ФОРВАРД» проводят в следующей последовательности:
-
- в основном меню, расположенном в верхней части экрана монитора АРМ оператора, выбрать пункт меню «О программе»;
-
- нажать кнопку «Модули», на экране появится диалоговое окно с информацией о ПО.
Результат считают положительным, если идентификационные данные ПО СИКН соответствуют идентификационным данным, указанным в описании типа СИКН.
-
6.3 Опробование
-
6.3.1 Опробование проводят в соответствии с документами на поверку СИ, входящих в состав СИКН.
-
Проверяют действие и взаимодействие компонентов в соответствии с инструкцией по эксплуатации СИКН, возможность получения отчетов следующим образом:
-
- проверяют наличие электропитания на элементах СИКН и средствах поверки;
-
- проверяют наличие связи между первичными преобразователями, вторичной аппаратурой и ИВК, ИВК и АРМ оператора СИКН путем визуального контроля меняющихся значений измеряемых величин на дисплее компьютера АРМ оператора;
-
- используя принтер компьютера АРМ оператора СИКН, распечатываются пробные отчеты (оперативные, суточные отчеты).
-
6.3.2 Проводят опробование ПР, входящих в состав ИК объема и объемного расхода нефти. Для этого устанавливают произвольное значение расхода, находящееся в пределах рабочего диапазона ПР и проводят одно измерение.
По команде с СОИ запускают поршень ПУ.
При прохождении поршнем первого детектора в СОИ начинается отсчет количества импульсов, поступающих от ПР и времени прохождения поршня между детекторами. При прохождении поршнем второго детектора отсчет количества импульсов в СОИ прекращается. Выполняют те же операции при обратном направлении движения поршня.
За одно измерение принимают движение поршня в прямом и обратном направлении, количество импульсов и время прохождения поршня в прямом и обратном направлениях суммируют.
-
6.3.3 Результат опробования считают положительным, если получены положительные результаты по 6.3.1, 6.3.2.
6.4 Определение (контроль) метрологических характеристик
-
6.4.1 Проверка результатов поверки измерительных компонентов, входящих в состав СИКН
Проверяют наличие у измерительных компонентов входящих в состав СИКН, действующих знаков поверки и (или) свидетельств о поверке, и (или) записи в паспортах (формулярах), заверенные подписью поверителя и знаком поверки.
Перечень измерительных компонентов, входящих в состав СИКН, приведен в описании типа СИКН.
Входящие в состав СИКН измерительные компоненты на момент проведения поверки СИКН должны быть поверены в соответствии с документами на поверку, указанными в свидетельствах об утверждении типа (описаниях типа) данных измерительных компонентов (за исключением ПР, входящих в состав ИК объема и объемного расхода нефти, метрологические характеристики которых определяются в соответствии с 6.4.2).
Показывающие СИ температуры и давления должны быть поверены в соответствии с методиками поверки, указанными в свидетельствах об утверждении типа (описаниях типа) данных СИ.
Примечания
-
1 Проверку согласно 6.4.1 проводят для измерительных компонентов, фактически установленных на момент проведения поверки СИНК.
-
2 Поверку СИКН в части отдельных ИК проводят в соответствии с 6.4.2, к данной методике.
Результат проверки считают положительным, если измерительные компоненты, входящие в состав СИКН, имеют действующие знаки поверки и (или) свидетельства о поверки, и (или) запись в паспортах (формулярах).
-
6.4.2 Определение метрологических характеристик ИК проводят в соответствии с приложением Б к данной методике поверки.
-
6.4.3 Определение относительной погрешности измерений массы (брутто, нетто) нефти
-
6.4.3.1 При получении положительных результатов поверки согласно 6.1-6.3, 6.4.1, 6.4.2 настоящей методики поверки, относительная погрешность измерений массы брутто нефти не выходит за установленные пределы ±0,25 %.
-
6.4.3.2 Определение относительной погрешности измерений массы нетто нефти с применением СИКН
Относительную погрешность измерений массы нетто нефти 5тн, %, вычисляют по формуле
5тн=±1,1
8т У , AW^+AW^+AW^ '•U Г, wMB+wMn+wxcY
(2)
I 100 J
где 5т - относительная погрешность измерений массы брутто нефти, %;
AWm.b - абсолютная погрешность измерений массовой доли воды в нефти, %,
определяется по формуле

(3)
R-m.b - воспроизводимость метода измерений массовой доли воды в нефти в соответствии с ГОСТ 2477-2014 «Нефть и нефтепродукты. Метод определения содержания воды», %;
гм.в - повторяемость метода измерений массовой доли воды в нефти в соответствии с
ГОСТ 2477, %;
AWm.ii - абсолютная погрешность измерений массовой доли механических примесей в нефти, %, определяется по формуле

9
(4)
Ямп - воспроизводимость метода измерений механических примесей в нефти в соответствии с ГОСТ 6370-2018 «Нефть, нефтепродукты и присадки. Метод определения механических примесей», %;
гм.п - сходимость метода измерений механических примесей в нефти в соответствии с ГОСТ 6370, %;
AWx.c - абсолютная погрешность измерений массовой доли хлористых солей в нефти, %, определяется по формуле
Д Wx с = ±0,1- VRxc-°’Srx.c. , (5)
Rx.c - воспроизводимость метода определения массовой доли хлористых солей в нефти в соответствии с ГОСТ 21534-76 «Нефть. Методы определения содержания хлористых солей» (принимают равной удвоенному значению сходимости гхс), мг/дм3;
г х.с - сходимость метода определения массовой доли хлористых солей в нефти в соответствии с ГОСТ 21534, мг/дм3;
Wm.b- массовая доля воды в нефти, определенная в лаборатории по ГОСТ 2477, %;
Wx.c- массовая доля хлористых солей в нефти, %, определенная по формуле
Wxc=0,l±^, (6)
Р ИЗЫ
(рх.с - массовая концентрация хлористых солей в нефти, мг/дм3, определенная в лаборатории по ГОСТ 21534 (метод А);
Рюм “ плотность нефти при условиях измерений, (рх.с, кг/м3;
Wmji - массовая доля механических примесей в нефти, определенная в лаборатории по ГОСТ 6370, %.
Относительная погрешность измерений массы нетто нефти с применением СИКН не должна превышать ±0,35 %.
При получении положительных результатов по 6.4.3.1, 6.4.3.2 результат контроля метрологических характеристик считают положительным.
7 Оформление результатов поверки-
7.1 Результаты поверки СИКН оформляют протоколом по форме, приведенной в Приложении А.
При оформлении протокола средствами вычислительной техники и вручную допускается форму протокола представлять в измененном виде.
-
7.2 Результаты поверки оформляются в соответствии с действующими нормативноправовыми документами в части поверки СИ.
При положительных результатах поверки оформляют свидетельство о поверке СИКН в соответствии с действующим порядком проведения поверки СИ.
На оборотной стороне свидетельства о поверке СИКН указывают:
- диапазон расхода и пределы допускаемой относительной погрешности измерений массы (брутто, нетто) нефти.
Знак поверки наносится на свидетельство о поверке СИКН, а также на пломбы, установленные на контровочных проволоках, согласно описанию типа СИКН.
К свидетельству о поверке на СИКН прикладывают:
-
- перечень автономных измерительных блоков, в который включают перечень ИК с указанием заводских номеров измерительных компонентов, входящих в состав ИК, и перечень измерительных компонентов, входящих в состав СИКН, с указанием их заводских номеров.
-
- протокол поверки на СИКН.
-
7.3 При поверке СИКН в части отдельного ИК при получении положительных результатов поверки оформляют свидетельство о поверке СИКН в части ИК в соответствии с действующим порядком проведения поверки СИ. Срок действия свидетельства о поверке СИКН в части отдельного ИК устанавливается до окончания срока действия основного свидетельства о поверке на СИКН.
-
7.4 При отрицательных результатах поверки выписывают извещение о непригодности в соответствии с установленным порядком.
Приложение Л
(рекомендуемое)
Форма протокола поверки
ПРОТОКОЛ ПОВЕРКИ №_____________ Стр. _ из
Наименование, тип средства измерений:_______________________________________
Изготовитель:_____________________________________________________________________
Заводской номер:_______________________________________________________________
Владелец:_____________________________________________________________________
Наименование и адрес заказчика:________________________________________________
Методика поверки:___________________________________________________________
Место проведения поверки:____________________________________________________
Поверка выполнена с применением:__________________________________________
РЕЗУЛЬТАТЫ ПОВЕРКИ
А. 1. Внешний осмотр:____(соответствует/не соответствует 6.1)
А.2. Подтверждение соответствия ПО:_______________________________________ (соответствует/не соответствует 6.2)
А.З. Опробование: ______________________________________________________________________________________(соответствует/не соответствует 6.3)
А.4. Определение (контроль) метрологических характеристик
А.4.1 Проверка результатов поверки СИ (измерительных компонентов), входящих в состав СИКН
СИ (измерительные компоненты), входящих в состав СИКН, действующие знаки поверки и (или) свидетельства о поверки, и (или) запись в паспортах (формулярах) _____________________(имеют/ не имеют)
А.4.2 Определение метрологических характеристик ИК
А.4.2.1 Протокол определения метрологических характеристик ИК объема и объемного расхода (заполняется для каждого рабочего ИК, а также контрольнорезервного ИК, при применяемого в качестве резервного}
ПР : |
Тип |
Зав. № |
Линия № |
ПУ: |
Тип |
Зав. № | |
ПВК: |
Тип |
Зав. № |
Рабочая жидкость____________ Вязкость. мм7с, ________
Таблица 1 - Исходные данные
Детекторы |
Vo, м3 |
D, мм |
S, мм |
Е, МПа |
а». 1/°С |
©1о« % |
©Vo, % |
Atny, °C |
1 |
2 |
3 |
4 |
5 |
6 |
7 |
8 |
9 |
Окончание таблицы I
Atnp. °C |
Зивк. % |
Av, мм/с |
10 |
И |
12 |
Таблица 2 - Результаты измерений и вычислений
№ точ / № изм |
QjH м’/ч |
Детекторы |
с |
tnyji» °C |
Pnyji, МПа |
РППр, кг/м5 |
tnnji, °C |
РППр. МПа |
1 |
2 |
3 |
4 |
5 |
6 |
7 |
8 |
9 |
1/1 | ||||||||
1/П| | ||||||||
П1/1 | ||||||||
П1/п,п | ||||||||
Окончание таблицы 2 | ||||||||
№ точ./ № изм. |
Pji. 1/°С |
Vj,. мм’/с |
tllPjn °C |
PllPji. МПа |
fjb Гц |
Nji, ими |
имп/м | |
1 |
10 |
11 |
12 |
13 |
14 |
15 |
16 | |
1/1 | ||||||||
1/п1 |
Стр. из
Стр. из
Таблица 3 - Результаты вычислений в точках рабочего диапазона
№ точ. |
Qi> м'/ч |
fp Гп |
Крз пмп/м |
Sb % |
ni |
S<jj, % |
to.95j |
% |
1 |
3 |
4 |
5 |
6 |
7 |
8 |
9 | |
1 | ||||||||
• •• |
... |
... | ||||||
m |
Таблица 4 - Результаты вычислений в рабочем диапазоне
Qnun. м3/ч |
Qmax, м3/ч |
mm7c |
Vmax, MM2/c |
So, % |
6, % |
©A. % |
% |
01, % |
6, % |
1 |
2 |
3 |
4 |
5 |
6 |
7 |
8 |
9 |
10 |
Относительная погрешность ИК установленным в соответствии с 6.4.2 пределам___(соотвстствует/не соответствует)
Примечания
-
1 Столбец 12 таблицы I заполняют при наличии значения Av.
-
2 При отсутствии поточного влагомера столбец 11 таблицы 2 нс заполняют.
А.4.2.2 Протокол определения метрологических характеристик ИК объема и объемного расхода (заполняется для контрольно-резервного ИК, применяемого в качестве контрольного)
ПР : Тип________ Зав. № _________ Линия №__________
ПУ: Тип________ Зав. № __________
ИВК. Тип________ Зав. № __________
Рабочая жидкость____________ Вязкость, мм’/с, ________
Таблица 1 - Исходные данные
Детекторы |
Vo. M3 |
D, MM |
S, MM |
E. МПа |
«i. 1/°C |
©lo-% |
©Vo. % |
Atny, °C |
1 |
2 |
3 |
4 |
5 |
6 |
7 |
8 |
9 |
Окончание таблицы 1
А(пр. °C |
8ивк- % |
Av, мм 7с |
10 |
11 |
12 |
Таблица 2 - Результаты измерений и вычислений
№ точ / № изм |
Qjn м’/ч |
Детекторы |
Tjb с |
tnyji. °C |
РпУр, МПа |
Pnnji. кг/м’ |
tnnjit °C |
Pnnji- МПа |
1 |
2 |
3 |
4 |
5 |
6 |
7 |
8 |
9 |
1/1 | ||||||||
1/П| | ||||||||
ш/1 | ||||||||
т/п1П |
Окончание таблицы 2
№ точ./ № изм. |
Pjb 1/°С |
vJi> мм7с |
tlTPji-°C |
РпРн- МПа |
Гц |
Nji, и мп |
Kjj, имп/м |
1 |
10 |
11 |
12 |
13 |
14 |
15 |
16 |
1/1 | |||||||
1/П| | |||||||
П1/1 | |||||||
nVnni |
Стр. из
Приложение Л (окончание)Стр. из
Таблица 3 - Результаты вычислений в точках рабочего диапазона
№ точ. |
Qp м’/ч |
fj. Гц |
кг нмп/м |
Vmitb м.м7с |
Vmax, мм*/с |
Sj, % |
nJ |
Sq, % |
1 |
2 |
3 |
4 |
5 |
6 |
7 |
8 |
9 |
1 | ||||||||
... |
... |
... | ||||||
m |
Окончание таблицы 3
№ точ. |
U).95j |
Ej, % |
% |
©I, % |
Sr % |
1 |
10 |
11 |
12 |
13 |
14 |
1 | |||||
... |
... | ||||
m |
Метрологические характеристики ИК установленным в соответствии с 6.4.2 пределам_____(соответствует/не соответствует)
Примечания
-
1 Столбец 12 таблицы 1 заполняют при наличии значения Av.
-
2 При отсутствии поточного влагомера столбец 11 таблицы 2 не заполняют.
А.4.3 Определение относительной погрешности измерений массы брутто и нетто нефти СИКН
Относительная погрешность измерений массы брутто нефти СИКН установленным в соответствии с 6.4.3.1 пределам___________________(соответствует/не соответствует)
Относительная погрешность измерений массы нетто нефти СИКН установленным в соответствии с 6.4.3.2 пределам___________________ (соответствует/не соответствует)
должность лица, проводившего поверку
подпись
ФИО.
Дата поверки
Приложение Б
(обязательное)
Определение метрологических характеристик ПКДля определения метрологических характеристик ИК проводят измерения не менее чем в трёх точках рабочего диапазона измерений объемного расхода. Значения объемного расхода (точки рабочего диапазона) рекомендуется выбирать с интервалом не более 20 % от максимального значения объемного расхода ПР. В каждой точке рабочего диапазона измерений объемного расхода проводят не менее:
-
- пяти измерений для рабочего ПР (ИК №№ 1-4);
-
- семи измерений для контрольного ПР (ИК № 5).
Требуемые значения расхода устанавливают, начиная от минимального, в сторону увеличения или от максимального в сторону уменьшения.
Определение коэффициента преобразования.
Для определения коэффициента преобразования устанавливают выбранное значение объемного расхода по показаниям ПР и проводят предварительное измерение для уточнения значения установленного объемного расхода.
Запускают поршень ПУ. При срабатывании второго детектора регистрируют время между срабатываниями первого и второго детекторов, количество импульсов выходного сигнала ПР.
Объемный расход нефти через ПР вычисляют по формуле (Б.8).
При необходимости проводят корректировку значения объемного расхода регулятором расхода или запорной арматурой.
После стабилизации объемного расхода и температуры нефти в соответствии с Б.1 проводят необходимое количество измерений.
Запускают поршень ПУ. При срабатывании первого детектора ИВК начинает отсчет импульсов выходного сигнала ПР и времени, при срабатывании второго детектора - заканчивает.
Если количество импульсов выходного сигнала ПР за время между срабатываниями детекторов ПУ меньше 10000, то ИВК должен определять количество импульсов с долями.
Для определения средних значений за время измерения ИВК периодически фиксирует значения следующих параметров:
-
- температуры нефти на входе и выходе ПУ;
-
- давления нефти на входе и выходе ПУ;
-
- температуры нефти в ПР;
-
- давления нефти в ПР;
-
- плотность нефти, измеренную ПП (при наличии);
-
- температуру нефти в ПП;
-
- давление нефти в ПП;
-
- кинематическую вязкость нефти, измеренную ПВ (при наличии).
При использовании термометров и манометров с визуальным отсчетом допускается фиксировать температуру и давление один раз за время измерения.
Для двунаправленной ПУ за одно измерение принимают движение поршня в прямом и обратном направлении, количество импульсов и время прохождения поршня в прямом и обратном направлениях суммируют.
Результаты измерений заносят в протокол поверки СИКН (Приложение А).
При заполнении протокола полученные результаты измерений и вычислений округляют в соответствии с таблицей Б. 1.
Таблица Б. 1
Параметр |
Единица измерения |
Количество цифр после запятой |
Количество значащих цифр, не менее |
Объем |
м3 |
- |
6 |
Температура |
°C |
2 |
- |
Давление |
МПа |
2 |
- |
Плотность |
кг/м3 |
1 |
- |
Кинематическая вязкость |
мм2/с |
1 |
- |
Количество импульсов |
имп |
- |
5 |
Интервал времени |
с |
2 |
- |
Погрешность, СКО |
% |
3 |
- |
Коэффициент преобразования |
имп/м3 |
- |
5 |
Коэффициент объемного расширения |
1/°С |
6 |
- |
Примечание - Если количество цифр в целой части числа больше рекомендованного количества значащих цифр, то число округляют до целого.
Обработка результатов измерений
Алгоритм определения метрологических характеристик ИК соответствует алгоритму, приведенному в МИ 3287-2010 «ГСИ. Преобразователи объемного расхода. Методика поверки».
Объем нефти, прошедшей через ПР за время i-ro измерения в j-ой точке рабочего диапазона измерений объемного расхода, Vjj, м3, вычисляют по формулам
Va =V0-CTS,,-CPS,, • nVj' nyji, я и J* л ртт СРТ 1 ЬПРji ’ ^UPji |
(Б.2) |
CTSjj = 1 + 3-at -(tny jj —10 j 9 |
(Б.З) |
Pnvii D CPS,, =1 + 0,95- ny'1 J ES 9 |
(Б.4) |
. ^Bxnyji + ^Buxnyji lnyji- 2 9 |
(Б.5) |
P 4- P p 1 Bxnyji т гВыхnyji rnyji- 2 9 |
(Б.6) |
где Vo - вместимость калиброванного участка ПУ при стандартных условиях (to = 20°С и Р = 0 МПа) (берут из действующего свидетельства о поверке ПУ), м3;
CTSji - коэффициент, учитывающий влияние температуры на вместимость ПУ, для i-ro измерения в j-ой точке рабочего диапазона измерений объемного расхода;
CPSji - коэффициент, учитывающий влияние давления на вместимость ПУ, для i-ro измерения в j-ой точке рабочего диапазона измерений объемного расхода;
CTLrryji - коэффициент, учитывающий влияние температуры на объем нефти, определенный для температуры нефти в ПУ для i-ro измерения в j-ой точке рабочего диапазона измерений объемного расхода (вычисляют по приложению Б.1);
CPLnyji - коэффициент, учитывающий влияние давления на объем нефти, определенный для давления нефти в ПУ для i-ro измерения в j-ой точке рабочего диапазона измерений объемного расхода (вычисляют по приложению Б.1);
CTLnpji - коэффициент, учитывающий влияние температуры на объем нефти, определенный для температуры нефти в ПР для i-ro измерения в j-ой точке рабочего диапазона измерений объемного расхода (вычисляют по приложению Б.1);
CPLnpji - коэффициент, учитывающий влияние давления на объем нефти, определенный для давления нефти в ПР для i-ro измерения в j-ой точке рабочего диапазона измерений объемного расхода (вычисляют по приложению Б.1);
at - коэффициент линейного расширения материала стенок калиброванного участка ПУ (согласно технической документации ПУ или определяют по таблице Б.3.1 приложения Б.З), 1/°С;
tnyji - температура нефти в ПУ за время i-ro измерения в j-ой точке рабочего диапазона измерений объемного расхода, °C;
texnyji, tBuxnyji - температура нефти на входе и выходе ПУ за время i-ro измерения в j-ой точке рабочего диапазона измерений объемного расхода, °C;
Pnyji - давление нефти в ПУ за время i-ro измерения в j-ой точке рабочего диапазона измерений объемного расхода, МПа;
Рвхпур, Рвыхпур - давление нефти на входе и выходе ПУ за время i-ro измерения в j-ой точке рабочего диапазона измерений объемного расхода, МПа;
D - внутренний диаметр калиброванного участка ПУ (согласно технической документации ПУ), мм;
S - толщина стенок калиброванного участка ПУ (согласно технической документации ПУ), мм;
Е - модуль упругости материала стенок калиброванного участка ПУ (согласно технической документации ПУ или определяют по таблице Б.3.1 приложения Б.З), МПа.
Объемный расход нефти через ПР за время i-ro измерения в j-ой точке рабочего диапазона измерений объемного расхода, Qp, м3/ч, вычисляют по формуле
Q — ^-3600, (Б.7)
где Vji - объем нефти, прошедшей через ПР за время i-ro измерения в j-ой точке рабочего диапазона измерений объемного расхода, м3;
Tji - время i-ro измерения в j-ой точке рабочего диапазона измерений объемного расхода, с. Объемный расход нефти через ПР в j-ой точке рабочего диапазона измерений объемного расхода, Q, м3/ч, вычисляют по формуле

(Б.8)
где nj - количество измерений в j-ой точке рабочего диапазона измерений объемного расхода. Нижний и верхний предел рабочего диапазона измерений объемного расхода Qmin, Qmax, м3/ч, вычисляют по формулам
Q™=min(Qj)i (Б9)
Qmax = maX(Qj) (Б.10)
Частоту выходного сигнала ПР для i-ro измерения в j-ой точке рабочего диапазона измерений объемного расхода, fji, Гц, вычисляют по формуле

(Б. И)
где Nji - количество импульсов от ПР за время i-ro измерения в j-ой точке рабочего диапазона измерений объемного расхода, имп.
Частоту выходного сигнала ПР в j-ой точке рабочего диапазона измерений объемного расхода, fj, Гц, вычисляют по формуле

1 . (Б. 12)
Коэффициент преобразования ПР для i-ro измерения в j-ой точке рабочего диапазона измерений объемного расхода, Kji, имп/м3, вычисляют по формуле

J* . (Б.13)
Коэффициент преобразования ПР в j-ой точке рабочего диапазона измерений объемного расхода, Kj, имп/м3, вычисляют по формуле

J . (Б. 14)
Среднее значение кинематической вязкости нефти за время поверки, v, мм2/с вычисляют по формуле

m
при наличии ПВ
— при отсутствии ПВ
(Б. 15)
где Vji — кинематическая вязкость нефти для i-ro измерения в j-ой точке рабочего диапазона измерений объемного расхода, мм2/с;
m - количество точек расхода;
vH, vk - кинематическая вязкость нефти, определенная в испытательной лаборатории в начале и в конце поверки, мм2/с.
Нижний и верхний предел рабочего диапазона кинематической вязкости нефти Vmin, Vmax, мм2/с вычисляют по формулам где v - среднее значение кинематической вязкости нефти за время определения метрологических характеристик ИК, мм2/с;
Av - допускаемый предел изменения кинематической вязкости нефти, установленный для данного типа ПР (берут из описания типа или технической и нормативной документации), мм2/с.
Примечание - При vmin < 0 принимают vmjn = 0.
Оценка СКО результатов измерений.
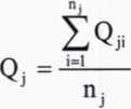
СКО результатов измерений в j-ой точке рабочего диапазона измерений объемного расхода, Sj, %, вычисляют по формуле

(Б. 18)
Проверяют выполнение следующего условия
Sj<0,02%.(
Б. 19)
При выполнении условия (Б. 19) продолжают обработку результатов измерений.
При невыполнении данного условия выявляют наличие промахов в полученных результатах измерений, согласно приложению Б.2 настоящей инструкции. Выявленный промах исключают и проводят дополнительное измерение. При отсутствии промахов выясняют и устраняют причины, обуславливающие невыполнение данного условия и повторно проводят измерения.
При повторном невыполнении данного условия поверку прекращают.
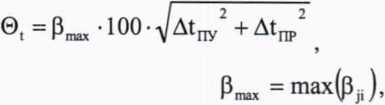
Границу неисключенной систематической погрешности ИК, 01, %, вычисляют по формулам

дляИК№1-4
дляИК№5
(Б.20)

(Б.21)
(Б.22)

(Б.23)

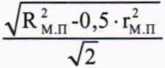
0А = max 0,5-
где 01о - граница суммарной неисключенной систематической погрешности ПУ (берут из свидетельства о поверке ПУ), %;
0vo - граница неисключенной систематической погрешности определения среднего значения вместимости ПУ (берут из свидетельства о поверки ПУ), %;
0( - граница неисключенной систематической погрешности, обусловленной погрешностью преобразователей температуры при измерениях температуры нефти в ПУ и ПР, %;
0ивк - граница неисключенной систематической погрешности, обусловленной погрешностью ИВК, %;
0д - граница неисключенной систематической погрешности, обусловленной кусочно-линейной аппроксимацией градуировочной характеристики ПР в рабочем диапазоне измерений объемного расхода, %;
бивк - предел допускаемой относительной погрешности преобразования входных электрических сигналов в значение коэффициента преобразования ИВК (берут из свидетельства или протокола поверки ИВК), %;
Ртах - максимальное значение коэффициента объемного расширения нефти за время поверки, 1/°С;
pji - коэффициент объемного расширения нефти при температуре tnvji для i-ro измерения в j-ой точке рабочего диапазона измерений объемного расхода (вычисляют по формуле (Б. 1.6) приложения Б.1), 1/°С;
Atny - предел допускаемой абсолютной погрешности датчиков температуры, установленных в ПУ (берут из свидетельства о поверке датчика температуры), °C;
Atnp - предел допускаемой абсолютной погрешности датчика температуры, установленного около ПР (берут из свидетельства о поверке датчика температуры), °C;
Kj, Kj+i - коэффициенты преобразования ПР в j-ой и 0'+1)-ой точках рабочего диапазона измерений объемного расхода, имп/м3.
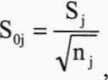
СКО среднего значения результатов измерений в j-ой точке рабочего диапазона измерений объемного расхода, Soj, %, вычисляют по формуле

(Б.25)
Границу случайной погрешности ИК в j-ой точке рабочего диапазона измерений объемного расхода при
доверительной вероятности Р=0,95, £j, %, вычисляют по формуле е = max(eJ)
(Б.26)
(Б2?) где to.95j - квантиль распределения Стьюдента для количества измерений nj в j-ой точке рабочего диапазона измерений объемного расхода (определяют по таблице Б.3.2 приложения Б.З).
СКО среднего значения результатов измерений в рабочем диапазоне измерений объемного расхода So принимают равным значению СКО среднего значения результатов измерений Soj в точке рабочего диапазона измерений объемного расхода с максимальным значением границы случайной погрешности Ej.
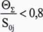
Границу относительной погрешности рабочего ИК (ИК № 1-4) в рабочем диапазоне измерений объемного расхода 5, %, определяют по формулам
0
е если —< 0,8
S
tz • Sj-
если 0,8 <
— <8 So
если
0
— >8
So t £ + 0z So + SeЭ
Se = +S0 g _ + ®vo + 0t +0A + 0ИВК~где tv - коэффициент, зависящий от соотношения случайной систематической погрешностей;
(Б.28)
(Б.29)
(Б.ЗО)
(Б.31)
и неисключенной
Sr - суммарное СКО результатов измерений в рабочем диапазоне измерений объемного расхода, %;
S© - СКО суммы неисключенных систематических погрешностей, %.
Проверяют выполнение условия
6 < 0,15%
(Б.32)
Если условие (Б.32) не выполняется, то рекомендуется:
-
- - увеличить количество точек в рабочем диапазоне измерений объемного расхода;
-
- - увеличить количество измерений в точках рабочего диапазона измерений объемного расхода;
-
- - уменьшить рабочий диапазон измерений объемного расхода.
Проводят повторную проверку выполнения условия (Б.32). При повторном невыполнении условия (Б.32) поверку прекращают.
Границу относительной погрешности контрольного ИК (ИК № 5) в j-ой точке рабочего диапазона измерений объемного расхода, 5j, %, определяют по формулам
если



если

(Б.ЗЗ)
t.
(Б.34)


(Б.35)
(Б.36)
где tij - коэффициент, зависящий от соотношения случайной и неисключенной систематической погрешностей;
Szj - суммарное СКО результатов измерений в j-ой точке рабочего диапазона измерений объемного расхода, %;
S© - СКО суммы неисключенных систематических погрешностей, %.
Проверяют выполнение условия

37)
Если условие (Б.37) не выполняется, то рекомендуется увеличить количество измерений в точках рабочего диапазона измерений объемного расхода.
Проводят повторную проверку выполнения условия (Б.37). При повторном невыполнении условия (Б.37) поверку прекращают.
Приложение Б.1 (справочное)
Определение коэффициентов CTL, CPL и 0
Б. 1.1 Определение коэффициента CTL
Значение коэффициента CTL, учитывающего влияние температуры на объем нефти (при t = 15 °C и Р = 0 МПа) определяют по формулам
CTL = ехр[- а15 • At • (1 + 0,8 • а15 • At)]
(Б. 1.1)
613,9723
(Б. 1.2)
At = t-15
(Б.1.3)
гдеа15 - значение коэффициента объемного расширения нефти при t = 15 °C и Р = 0 МПа, 1/°С; pis - значение плотности нефти при t = 15 °C и Р = 0 МПа, кг/м3;
t - значение температуры нефти, °C.
Б. 1.2 Определение коэффициента CPL
Значение коэффициента CPL, учитывающего влияние давления на объем нефти (при t = 15 °C и Р = 0 МПа) определяют по формулам
CPL =-------
1-ЬР-10
(Б. 1.4)
J

k Pl5
2
P15
(Б. 1.5)
где
P - значение избыточного давления нефти, МПа;
10 - коэффициент перевода единиц измерения давления МПа в бар.
Б. 1.3 Определение коэффициента 0
Значение коэффициента объемного расширения нефти, 0, 1/°С:
0 = а15 +1.6 • а152 • (t -15)
(Б. 1.6)
Б. 1.4 Определение плотности pis
Значение плотности нефти при t = 15 °C и Р = 0 МПа, pis, кг/м3 определяют по формуле

(Б. 1.7)
где рпп - значение плотности нефти в ПП, кг/м3;
CTLnn - коэффициент, учитывающий влияние температуры на объем нефти, определенный для trm и pis;
CPLnn - коэффициент, учитывающий влияние давления на объем нефти, определенный для tnn, РПП И р 15.
Для определения pis необходимо определить значения CTLnn и CPLnn, а для определения CTLnn и CPLnn, в свою очередь, необходимо определить значение плотности при стандартных условиях pis-Поэтому значение pis определяют методом последовательного приближения.
-
1) Определяют значения CTLnna) и CPLnn(i), принимая значение pis равным значению рпп-
-
2) Определяют значения pis(i), кг/м3:
Р15(1) “
Рпп
(Б. 1.8)
Приложение Б.1
(окончание)
-
3) Определяют значения CTLnn(2) и CPLnnu), принимая значение pis равным значению pis(i)-
-
4) Определяют значение pi5(2), кг/м3:
Р15(2) ~
_______Рпп_______
CTL -CPI v>1Xjnn(2) ^ILnn(2).
(Б. 1.9)
-
5) Аналогично пунктам (3) и (4), определяют значения CTLnn(i), CPLnn(i) и pi5(i) для i-ro цикла вычислений и проверяют выполнение условия:
(Б.1.10)
где pi5(i), pi5(i-i) - значения pi5, определенные, соответственно, за последний и предпоследний цикл вычислений, кг/м3.
Процесс вычислений продолжают до выполнения данного условия. За значение ри принимают последнее значение Р1ад.
Приложение Б.2 (справочное)
Методика анализа результатов измерений на наличие промаховПроверка результатов измерений на один промах по критерию Граббса при определении метрологических характеристик.
СКО результатов измерений в j-ой точке рабочего диапазона измерений расхода, Skj определяют по формуле


где Kj - значение коэффициента преобразования в j-ой точке рабочего диапазона измерений объемного расхода, имп/м3;
Kji - значение коэффициента преобразования для i-ro измерения в j-ой точке рабочего диапазона измерений объемного расхода, имп/м3;
nj - количество измерений в j-ой точке рабочего диапазона измерений объемного расхода.
Примечание - При Skj < 0,001 принимают Sxj = 0,001.
Наиболее выделяющееся соотношение U:
(
U = max


(Б.2.2)
Если значение U больше или равно значению h, взятому из таблицы Б.2.1, то результат измерения должен быть исключен как промах.
Таблица А. 1 - Таблица Б.2.1 - Критические значения для критерия Граббса
п |
5 |
6 |
7 |
8 |
9 |
10 |
11 |
12 |
h |
1,715 |
1,887 |
2,020 |
2,126 |
2,215 |
2,290 |
2,355 |
2,412 |
Приложение Б.З (справочное)
Справочные материалыБ.З. 1 Коэффициенты расширения и модули упругости
Значения коэффициентов линейного расширения, квадратичных коэффициентов расширения и модули упругости материалов стенок калиброванного участка ПУ, в зависимости от материала приведены в таблице Б.3.1.
Таблица А.2 - Таблица Б.3.1
Материал |
at, 1/°С |
Е, МПа |
Сталь углеродистая |
1,12 х IO’5 |
2,07 х Ю5 |
Сталь нержавеющая 304 |
1,73 х IO5 |
1,93 х Ю5 |
Сталь нержавеющая 316 |
1,59 х IO 5 |
1,93 х Ю5 |
Сталь нержавеющая 17-4 |
1,08 х Ю'5 |
1,97 х Ю5 |
Б.3.2 Квантиль распределения Стьюдента
Значения квантиля распределения Стьюдента to,95 при доверительной вероятности Р = 0,95 в зависимости от количества измерений приведены в таблице Б.3.2.
Таблица А.З - Таблица Б.3.2
п-1 |
1 |
2 |
3 |
4 |
5 |
6 |
7 |
8 |
9 |
10 |
11 |
12 |
to,95 |
12,706 |
4,303 |
3,182 |
2,776 |
2,571 |
2,447 |
2,365 |
2,306 |
2,262 |
2,228 |
2,201 |
2,179 |
25