Методика поверки «ГСИ.ПРЕОБРАЗОВАТЕЛИ НАПРЯЖЕННОСТИ ИМПУЛЬСНОГО МАГНИТНОГО ПОЛЯ ИЗМЕРИТЕЛЬНЫЕ ИП-Н-0» (МП 016.М12-19)
УТВЕРЖДАЮ
Государственная система обеспечения единства измерений
ПРЕОБРАЗОВАТЕЛИ НАПРЯЖЕННОСТИ ИМПУЛЬСНОГО МАГНИТНОГО ПОЛЯ ИЗМЕРИТЕЛЬНЫЕ ИП-Н-О
МЕТОДИКА ПОВЕРКИ
МП 016.М12-19
Главный метролог
Москва 2019
1 ВВЕДЕНИЕНастоящая методика поверки распространяется на преобразователи напряженности импульсного магнитного поля измерительные ИП-Н-0 (далее по тексту - преобразователи) и устанавливает методы и средства первичной и периодической поверок.
Преобразователи напряженности импульсного магнитного поля измерительные ИП-Н-0 предназначены для преобразования амплитудно-временных параметров импульсов напряженности магнитного поля (импульсной составляющей электромагнитной ТЕМ-волны) с длительностью фронта в наносекундном диапазоне, в электрические сигналы, доступные для осциллографической регистрации.
Интервал между поверками - 1 год.
2 ОПЕРАЦИИ ПОВЕРКИ2.1 При проведении первичной и периодической поверок должны быть выполнены следующие операции, указанные в таблице 1.
Таблица 1 - Операции первичной и периодической поверок
|
Наименование операции |
Номер пункта методики поверки |
Проведение операции при | |
|
первичной поверке |
периодической поверке | ||
|
Внешний осмотр |
8.1 |
Да |
Да |
|
Опробование |
8.2 |
Да |
Да |
|
Определение метрологических характеристик* |
8.3 | ||
|
Определение коэффициента преобразования |
8.3.1 |
Да |
Да |
|
Расчет относительной погрешности коэффициента преобразования |
8.3.2 |
Да |
Да |
|
Определение времени нарастания переходной характеристики между уровнями от 0,1 до 0,9 от установившегося значения амплитуды |
8.3.3 |
Да |
Да |
|
Определение постоянной времени спада переходной характеристики по уровню 0,37 от установившегося значения амплитуды |
8.3.4 |
Да |
Да |
|
Расчет относительной погрешности измерений временных интервалов |
8.3.5 |
Да |
Да |
|
Расчет диапазонов измерений напряженности импульсного магнитного поля |
8.3.6 |
Да |
Да |
|
* - допускается проведение поверки в одном или нескольких диапазонах измерений напряженности импульсного магнитного поля в соответствии с заявлением владельца поверяемого преобразователя | |||
-
2.2 При получении отрицательных результатов при проведении любой операции поверка прекращается.
-
2.3 Поверку средств измерений осуществляют аккредитованные в установленном порядке в области обеспечения единства измерений юридические лица и индивидуальные предприниматели.
-
2.4 Метрологические характеристики по таблице 1 допускается определять не в полном объеме, при этом поверка проводится по сокращенной программе. Объем поверочных работ определяется совместным решением (или по договоренности) между заказчиком и исполнителем проведения работ.
-
3.1 При проведении первичной и периодической поверок применяются средства из
мерений, указанные в таблице 2.
Таблица 2 - Средства для проведения первичной и периодической поверок
|
Номер пункта методики поверки |
Наименование и тип (условное обозначение) основного или вспомогательного средства поверки; обозначение нормативного документа, регламентирующего технические требования и (или) метрологические и основные технические характеристики средства поверки |
Основные технические и (или) метрологические характеристики |
|
8.3.1 -8.3.5 |
1 Государственный первичный специальный эталон единиц напряженностей импульсных электрического и магнитного полей с длительностью фронта импульсов в диапазоне 0,1 -10,0 нс ТЭТ 148-2013. ГОСТ 8.540-2015. |
Диапазоны напряженностей импульсных электрического и магнитного полей, воспроизводимых эталоном при импульсах экспоненциальной формы (первый режим) с длительностью фронта импульса не более 8 нс на уровне от 0,1 до 0,9 от установившегося значения напряженности и постоянной времени спада импульса на уровне 0,37 от установившегося значения напряженности не менее 150 мкс, составляют от 10 до 200 кВ/м и от 26 до 530 А/м; диапазоны значений напряженностей импульсных электрического и магнитного полей, воспроизводимых эталоном при импульсах ступенчатой формы, во втором - седьмом режимах составляют от 3 В/м до 300 кВ/м и от 0,008 до 800 А/м при длительностях фронта импульсов от 0,1 до 10,0 нс и длительности импульса на уровне 0,5 от установившегося значения напряженности от 1 нс до 1 с; среднее квадратическое отклонение результата измерений при воспроизведении единиц напряженностей импульсных электрического и магнитного полей не превышает 0,4-10"2 при импульсах экспоненциальной и ступенчатой формы при 50 независимых наблюдениях; значения неисключен-ной систематической погрешности и относительной погрешности воспроизведения длительности фронта импульсов не превышают: при импульсах экспоненциальной формы: при импульсах экспоненциальной |
|
формы: 1 % - для электрического поля; 2 % - для магнитного поля; при импульсах ступенчатой формы от 3,0 до 8,5 % для электрического поля в диапазоне от 3 В/м до 300 кВ/м и магнитного поля в диапазоне от 0,008 до 800 А/м; значение расширенной неопределенности при доверительной вероятности 0,99 составляет от 0,9 до 5,7 % | ||
|
2 Осциллограф цифровой запоминающий Tektronix TDS 784D (регистрационный номер 19296-00). |
Полоса пропускания 1 ГГц; диапазон значений коэффициентов отклонения от 1 мВ/дел до 10 В/дел; диапазон значений коэффициента развертки от 200 пс/дел до 10 с/дел; пределы допускаемой относительной погрешности установки коэффициентов отклонения 1 %; входное сопротивление 50 Ом/1 МОм | |
|
3 Измеритель параметров микроклимата «Метеоскоп» (регистрационный номер 32014-06) |
Диапазон измеряемой температуры воздуха от минус 10 до плюс 50 °C, пределы допускаемого значения основной абсолютной погрешности измерений температуры ± 0,2 °C, диапазон измеряемой относительной влажности от 30 до 98 %, пределы допускаемого значения основной абсолютной погрешности измерений относительной влажности ± 3 %, диапазон измеряемого давления воздуха от 80 до 110 кПа, пределы допускаемого значения основной абсолютной погрешности измерений давления ± 0,13 кПа |
3.2 Допускается применение других средств поверки, не приведенных в таблице 2,
но обеспечивающих определение (контроль) метрологических характеристик поверяемого средства измерений с требуемой точностью.
-
3.3 Средства измерений, указанные в таблице 2, должны быть поверены и аттестованы в установленном порядке.
-
4.1 К проведению поверки допускаются лица, изучившие настоящую методику поверки и руководства по эксплуатации на преобразователи и средства поверки, имеющие квалификационную группу не ниже III в соответствии с правилами по охране труда при эксплуатации электроустановок, указанных в приложении к приказу Министерства труда и социальной защиты РФ от 24.07.13 № 328Н, прошедшие обучение на право проведения поверки по требуемому виду измерений.
-
5.1 Перед началом поверки необходимо изучить руководство по эксплуатации преобразователей и настоящую методику поверки.
-
5.2 При проведении поверки следует соблюдать требования, установленные правилами по охране труда при эксплуатации электроустановок, указанных в приложении к приказу Министерства труда и социальной защиты РФ от 24.07.2013 № 328Н. Оборудование, применяемое при поверке, должно соответствовать требованиям ГОСТ 12.2.003-91. Воздух рабочей зоны должен соответствовать ГОСТ 12.1.005-88 при температуре помещения, соответствующей условиям для легких физических работ.
-
5.3 Система электрического питания приборов должна быть защищена от колебаний и пиков сетевого напряжения.
-
5.4 При выполнении измерений должны соблюдаться требования, указанные в руководстве по эксплуатации преобразователей.
-
5.5 Помещение, в котором проводится поверка, должно соответствовать требованиям пожарной безопасности по ГОСТ 12.1.004-91 и иметь средства пожаротушения по ГОСТ 12.4.009-83.
6 УСЛОВИЯ ПОВЕРКИ
6.1 При проведении поверки соблюдают следующие условия:
|
от 18 до 35; от 50 до 80; от 96 до 104; от 200 до 240; от 49 до 51. |
-
6.2 Помещение, где проводится поверка, должно быть чистым и сухим, свободным от пыли, паров кислот и щелочей.
-
6.3 В помещении, где проводится поверка, должны отсутствовать механические виб
рации, а также постоянные и переменные электрические и магнитные поля, которые могут привести к искажению результатов измерений.
7 ПОДГОТОВКА К ПОВЕРКЕ-
7.1 Проверьте наличие средств поверки по таблице 2, укомплектованность их документацией и необходимыми элементами соединений.
-
7.2 Используемые средства поверки разместите, заземлите и соедините в соответствии с требованиями их технической документации.
-
7.3 Подготовку, соединение, включение и прогрев преобразователей и средств поверки, регистрацию показаний и другие работы по поверке произведите в соответствии с эксплуатационной документацией на указанные средства.
-
8 ПРОВЕДЕНИЕ ПОВЕРКИ
-
8.1.1 Проверяют комплектность преобразователя.
Комплектность преобразователя должна соответствовать таблице 3.
Таблица 3 - Комплектность преобразователей
|
Наименование |
Обозначение |
Количество |
|
Первичный измерительный преобразователь ПИП |
— |
1 шт. |
|
Волоконно-оптическая линия связи ВОЛС |
- |
1 шт. |
|
Блок фотоприемника с зарядным устройством БФП-ЗУ |
— | |
|
Паспорт |
КВФШ.468165.017 ПС |
1 экз. |
|
Руководство по эксплуатации |
КВФШ.468165.017РЭ |
1 экз. |
|
Методика поверки |
МП016.М12-19 |
1 экз. |
|
Упаковка |
- |
1 шт. |
-
8.1.2 Проверяют преобразователь на отсутствие механических повреждений и ослаблений элементов конструкции.
-
8.1.3 Преобразователь признается прошедшим операцию поверки, если не обнаружены несоответствия комплектности, механические повреждения, ослабления элементов конструкции, неисправности разъемов.
-
8.2.1 При опробовании преобразователя оценивают отклонение значения коэффициента преобразования от паспортного значения с целью выявления внутренних скрытых дефектов (нарушение целостности сборки), возникших при транспортировании или эксплуатации, препятствующих дальнейшей эксплуатации преобразователя.
-
8.2.2 Помещают первичный измерительный преобразователь ПИП из состава ИП-Н-0 (см. рисунок 1) в центр рабочей зоны №2 с межэлектродным зазором dM = 0,24 м полеобразующей системы ПС-1 из состава «Государственного первичного специального эталона единиц напряженностей импульсных электрического и магнитного полей (НИЭМП) с длительностью фронта импульсов в диапазоне 0,1 - 10,0 нс ГЭТ 148-2013» (ГПСЭ 0,1/10,0) в соответствии с нанесенной маркировкой, таким образом, чтобы импульсы на выходе преобразователя имели положительную полярность. Соединяют выход ПИП, используя ВОЛС, с входом БФП-ЗУ, а его выход с входом осциллографа Tektronix TDS 784D с установленным входным сопротивлением 50 Ом. Устанавливают четвертый диапазон измерений преобразователя.
Государственный первичный специальный эталон единиц напряженностей импульсных электрического и магнитного нолей с длительностью фронта импульсов в диапазоне 0,1 - 10,0 нс ГЭТ 148-2013 (ГПСЭ 0,1/10,0)
Полеобразующая система ПС-1

пип ип-н-о
Экранированная кабина
БФП-ЗУ ИП-Н-О
Запоминающий осциллограф Tektronix TDS 784D
Ч-----
Исследуемый сигнал
воле ;
ип-н-о
Рисунок 1 - Схема исследований при определении характеристик ИП-Н-О с использованием ГЭТ 148-2013 для воспроизведения единиц НИЭМП в диапазоне от 0,1 до 10,0 нс
-
8.2.3 Устанавливают в ГПСЭ 0,1/10,0 режим воспроизведения импульсов ступенчатой формы и напряженность магнитного поля в рабочей зоны ПС-1 Нпс.опр, А/м, равной 20 А/м и воспроизводят импульсы электромагнитного поля в эталоне. Регистрируют с помощью осциллографа Tektronix TDS 784D импульсы на выходе преобразователя и определяют его маркерами среднее значение амплитуды импульса напряжения Уср, В (см. рисунок 2)

Рисунок 2 - Эпюра напряжения на выходе преобразователя при определении метрологических характеристик
-
8.2.4 Вычисляют значение коэффициента преобразования Кпр, В-А ' м, преобразователя по формуле
Кпр ~ Vcp/ НПС опр. (1)
-
8.2.5 Преобразователь признается прошедшим операцию поверки, если вычисленное значение коэффициента преобразования отличается от указанного в паспорте значения не более чем на ± 15 %.
-
8.2.6 В случае, если амплитуда паразитных колебаний на вершине регистрируемого импульса превышает ±15% от среднего уровня, принимают меры к выявлению источников электромагнитных помех и проводят работы по уменьшению их влияния на регистрирующую аппаратуру.
-
8.3 Определение метрологических характеристик
-
8.3.1.1 Помещают ПИП из состава преобразователя (см. рисунок 1) в центр рабочей зоны №1 (№2) полеобразующей системы ПС-1 (или ПС-2) из состава ГПСЭ 0,1/10,0 в соответствии с нанесенной маркировкой, таким образом, чтобы импульсы на выходе преобразователя имели положительную полярность. Соединяют выход ПИП с помощью ВОЛС с входом БФП-ЗУ, а его выход с помощью 50-омного коаксиального кабеля с входом осциллографа Tektronix TDS 784D с установленным входным сопротивлением 50 Ом. Включают режим внутренней калибровки преобразователя, регистрируют импульс калибровки и при помощи маркеров осциллографа определяют максимальное значение амплитуды UKajl, В, импульса калибровки.
-
8.3.1.2 Переводят преобразователь в рабочий режим и устанавливают один из амплитудных диапазонов работы преобразователя. В соответствии с установленным диапазоном измерений, определяют значения напряженностей импульсного магнитного поля Нпсь Нпс2. Нцсз, А/м, при которых проводятся измерения значений коэффициента преобразования. Устанавливают в ГПСЭ 0,1/10,0 режим воспроизведения импульсов электромагнитного поля, при котором значение воспроизводимой напряженности импульсного магнитного поля в месте расположения ПИП соответствует выбранному значению Нпсг А/м. Воспроизводят импульсы поля в ГПСЭ и обеспечивают с помощью осциллографа Tektronix TDS 784D регистрацию импульсов на выходе преобразователя.
По полученной осциллограмме при помощи маркеров осциллографа на вершине импульса измеряют две величины: Итах, В - соответствующую максимальному значению амплитуды и Hmjn, В - соответствующую минимальному значению амплитуды (см. рисунок 2).
-
8.3.1.3 Измерения по 8.3.1.2 производят п = 10 раз и вычисляют средние арифметические значения Ктах, В и Kmin, В, по формулам
V
max / »

(2)
(3)
где Hmax_j /-е измерение напряжения Итах,В;
Hminj - г-е измерение напряжения 7min> В.
Относительную погрешность 0нервер|, %, обусловленную неравномерностью вершины импульса на выходе преобразователя, определяют по формуле
Онер.вер! 100 % • (Итах ^niinVC^max +
(4)
-
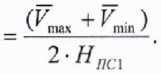
8.3.1.4 Значение коэффициента преобразования преобразователя, Knpi, B-A’’-м, в первой точке установленного диапазона измерений определяют по формуле

(5)
-
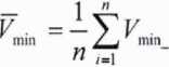
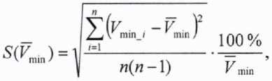
8.3.1.5 Вычисляют средние квадратические отклонения (CKO) 5fKmax), В, и S(Vmm)’ В, измерений максимального Итах, В, и минимального Kmin, В, значений напряжения на выходе преобразователя и получают оценку СКО коэффициента преобразования S(Knpi), %, по формулам
(6)
100%
п(п -1)


ж»,)=7ж.„)!+ж,.)г- (8)
-
8.3.1.6 Доверительные границы случайной составляющей погрешности измерений коэффициента преобразования преобразователя (без учета знака), sKnp}, %, при доверительной вероятности Р = 0,95 и n = 10 находят по формуле
-
8.3.1.7 Повторяют измерения по 8.3.1.2 - 8.3.1.6, устанавливая последовательно значения Нпс2 и Нпсз, А/м, напряженности импульсного магнитного поля, воспроизводимого в ГПСЭ, и определяют:
- по формуле (4) погрешности, обусловленные паразитными колебаниями на вершине импульса напряжения на выходе преобразователя: 0нер.вер2, 0нер.верз,%;
-
- по формуле (5) значения коэффициентов преобразования: Кпр2, Кпр3п B-A’'-м;
-
- по формуле (8) значения CKO: S(Knp2), S(Knp3), %;
-
- по формуле (9) значения: sKnpl,£Knpi, %.
Из полученных величин: {0НеР.ВеР1, 0неР.Вер2, ©неР.Верз}> {S(Knpl), S(Knp2), S(Knp3), eKnp2^Knp3} выбирают максимальные значения: 0нер.вер, %, S(Knp), %, и sKnp, %.
-
8.3.1.8 Коэффициент преобразования Кпр, B-A'’-м, в установленном диапазоне работы для положительной полярности выходного сигнала преобразователя определяют по формуле

(Ю)
где Knpmin и Кпртах “ максимальное и минимальное значения коэффициента преобразования преобразователя, которые выбирают из {Knpi, Кпр2, Кпр3}.
Нелинейность коэффициента преобразования преобразователя определяют по формуле
«ртах

пр Iпах

(И)
-
8.3.1.9 Работы по 8.3.1.2 - 8.3.1.8 проводят для отрицательной полярности выходного сигнала преобразователя и определяют: Кпр.01р, В-А_|-м, ©нер.вер.отр, %, S(Knp.0Tp), %, £Кпр.отр * ^Кпротр*
-
8.3.1.10 Проводят аналогичные работы по 8.3.1.2 - 8.3.1.9 для остальных диапазонов измерений преобразователя.
-
8.3.1.11 Преобразователь признается прошедшим операцию поверки, если вычисленные значения коэффициентов преобразования для каждого из диапазонов измерений преобразователя соответствуют таблице 4.
Таблица 4 - Значения коэ<
П|
|
Диапазон |
Значение, B-A''-м |
|
Н1 |
от 1.0-10 до 4,0-10 |
|
Н2 |
от 1,0 до 4,0 |
|
НЗ |
от 1,0-10’1 до 4,0-10’1 |
|
Н4 |
от 1,0-10’2 до 4,0-10’2 |
|
Н5 |
от 1,0-10'3 до 4,0-10'3 |
|
Н6 |
от 1,0-1 О’4 до 4,0-1 О’4 |
-
8.3.2.1 Доверительные границы ек %, случайной составляющей погрешности коэффициента преобразования в предположении о нормальном распределении результатов измерений входящих величин при доверительной вероятности Р=0,95 и числе измерений п = 10 в выбранном диапазоне измерений для положительной полярности выходного сигнала преобразователя принимаются равными значению, полученному в 8.3.1.7.
-
8.3.2.2 Доверительные границы 0кпр, %, неисключенной систематической составляющей погрешности коэффициента преобразования при доверительной вероятности Р=0,95 и поправочном коэффициенте к = 1,1 в выбранном диапазоне измерений для положительной полярности выходного сигнала определяют по формуле

/77СЭ0.1/10.0 +®Гтах + ®Ити1 + ® пер .вер +®Кпр + ®>си’
(12)
где ©гпсэо, 1/ю.о - неисключенная систематическая погрешность воспроизведения единиц напряженностей импульсных электрического и магнитного полей в ГПСЭ 0,1/10,0 (в соответствии с паспортом и технической документацией), %;
®vmax = 1,0 % - относительная погрешность осциллографа Tektronix TDS 784D при определении максимальной амплитуды Гтах, В, импульсов напряжения на выходе преобразователя;
©vmin = 1,0 % - относительная погрешность осциллографа Tektronix TDS 784D при определении минимальной амплитуды Kmjn, В, импульсов напряжения на выходе преобразователя;
Онер.вер - относительная погрешность, обусловленная неравномерностью вершины импульса на выходе преобразователя, полученная в 8.3.1.7, %;
®кпр - нелинейность коэффициента преобразования преобразователя, полученная в 8.3.1.8,%;
0уст = 0,5 % - относительная погрешность, обусловленная неточностью установки ПИП преобразователя в рабочей зоне полеобразующей системы из состава ГПСЭ 0,1/10,0 %.
-
8.3.2.3 Доверительные границы относительной погрешности коэффициента преобразования в выбранном диапазоне измерений для положительной полярности выходного сигнала преобразователя вычисляют по полученным значениям случайной и неисключенной систематической погрешности в соответствии с ГОСТ 8.736-2011 «ГСИ. Измерения прямые многократные. Методы обработки результатов наблюдений. Основные положения» по формуле
Зкпр К'Sr,
(13)
где К - коэффициент, зависящий от соотношения случайной составляющей погрешности и неисключенной систематической погрешности;
ST - суммарное среднее квадратическое отклонение измерения коэффициента преобразования, %, определяемое по формуле

(14)
где SQ - CKO неисключенной систематической погрешности измерений коэффициента преобразования, %, вычисляемое по формуле

(15)
Коэффициент К вычисляют по формуле
(16)
S(Knp) +Se
-
8.3.2.4 Проводят работы по 8.3.2.1 - 8.3.2.3 в выбранном диапазоне измерений для отрицательной полярности выходного сигнала преобразователя и определяют значение

-
8.3.2.5 Работы по 8.3.2.1 - 8.3.2.4 проводят для остальных диапазонов измерений преобразователя.
-
8.3.2.6 Преобразователь признается прошедшим операцию поверки, если значения относительной погрешности коэффициента преобразования для положительной и отрицательной полярностей выходного сигнала во всех диапазонах измерений не превышают установленных пределов ± 10 %.
-
8.3.3.1 Проводят работы по 8.3.1.1, переводят преобразователь в рабочий режим и устанавливают один из амплитудных диапазонов работы преобразователя. В соответствии с установленным диапазоном, определяют значение напряженности импульсного магнитного поля Нпс.н ПХ) А/м, при котором проводятся измерения времени нарастания переходной характеристики (ПХ) между уровнями от 0,1 до 0,9 от установившегося значения амплитуды. Устанавливают в ГПСЭ 0,1/10,0 режим воспроизведения импульсов электромагнитного поля, при котором значение воспроизводимой напряженности импульсного магнитного поля в месте расположения ПИП соответствует выбранному значению Нпс.н.пх, А/м. Воспроизводят импульсы поля в эталоне и обеспечивают с помощью осциллографа Tektronix TDS 784D регистрацию импульсов на выходе преобразователя.
По полученной осциллограмме при помощи маркеров осциллографа определяют установившееся (среднее) значение амплитуды импульса напряжения Vcp, В (см. рисунок 2) и определяют длительность фронта Тф ,, нс, i=l, зарегистрированного импульса между уровнями от 0,1 до 0,9 от установившегося значения амплитуды на выходе преобразователя.
Время нарастания TH,nx.t, нс, ПХ преобразователя между уровнями от 0,1 до 0,9 от установившегося значения амплитуды вычисляют по формуле

(17)
где Тф j - зарегистрированное значение длительности фронта импульсов между уровнями от 0,1 до 0,9 от установившегося значения амплитуды на выходе преобразователя, нс;
Тфр гпсэо.1/ю,о - длительность фронта воспроизводимых импульсов напряженностей импульсных электрического и магнитного полей в ГПСЭ 0,1/10,0 между уровнями от 0,1 до 0,9 от установившегося значения амплитуды (в соответствии с паспортом и технической документацией), нс;
Тн.пх.осц = 0,36 нс - время нарастания переходной характеристики между уровнями от 0,1 до 0,9 от установившегося значения осциллографа Tektronix TDS 784D.
-
8.3.3.2 Работы по 8.3.3.1 последовательно проводят десять раз и определяют для каждого измерения время нарастания Тн.пх.1,нс, переходной характеристики преобразователя между уровнями от 0,1 до 0,9 от установившегося значения амплитуды, i = 1...10.
-
8.3.3.3 Вычисляют среднее арифметическое значение Т н.пх., нс, времени нарастания ПХ между уровнями от 0,1 до 0,9 от установившегося значения амплитуды преобразователя по 10 измерениям по формуле

(18)
где Тн nx ,-i- ый результат измерений, нс;
и - количество измерений.
-
8.3.3.4 Проводят аналогичные работы по 8.3.3.1 - 8.3.3.3 в выбранном диапазоне измерений для отрицательной полярности выходного сигнала преобразователя и определяют значение Т н.пх,отР, нс.
-
8.3.3.5 Работы по 8.3.3.1 - 8.3.3.4 проводят для остальных диапазонов измерений преобразователя.
-
8.3.3.6 Преобразователь признается прошедшим операцию поверки, если значение времени нарастания переходной характеристики между уровнями от 0,1 до 0,9 от установившегося значения амплитуды для положительной и отрицательной полярностей выходного сигнала во всех диапазонах измерений преобразователя не превышает 50 нс.
-
8.3.4.1 Проводят работы по 8.3.1.1, переводят преобразователь в рабочий режим и устанавливают один из амплитудных диапазонов работы преобразователя. В соответствии с установленным диапазоном, определяют значение напряженности импульсного магнитного поля Нпс.сп.пх, А/м, при котором проводятся измерения в постоянной времени спада ПХ по уровню 0,37 от установившегося значения амплитуды. Устанавливают в ГПСЭ 0,1/10,0 режим воспроизведения импульсов электромагнитного поля, при котором значение воспроизводимой напряженности импульсного магнитного поля в месте расположения ПИП соответствует выбранному значению Нпс.сп.пх, А/м. Воспроизводят импульсы поля в ГПСЭ и обеспечивают с помощью осциллографа Tektronix TDS 784D регистрацию импульсов на выходе преобразователя.
По полученной осциллограмме при помощи маркеров осциллографа определяют установившееся (среднее) значение амплитуды импульса напряжения Vcp, В (см. рисунок 2) и определяют постоянную времени спада Tcnj, мкс, i=l, по уровню 0,37 от установившегося значения амплитуды импульса напряжения на выходе преобразователя
-
8.3.4.2 Работы по 8.3.4.1 последовательно проводят десять раз и определяют для каждого измерения постоянную времени спада по уровню 0,37 от установившегося значения амплитуды импульсов напряжения на выходе преобразователя Tcnj, мкс, i = 1...10.
-
8.3.4.3 Вычисляют среднее арифметическое значение постоянной времени спада по уровню 0,37 от установившегося значения амплитуды ПХ преобразователя по 10 измерениям, Т Сп, мкс, по формуле

(19)
где Тсп t-i- ый результат измерений, мкс;
п - количество измерений.
Полученную величину Т сп, мкс, принимают за значение Тсп.пх, мкс, постоянной времени спада переходной характеристики преобразователя по уровню 0,37 от установившегося значения амплитуды.
-
8.3.4.4 Проводят аналогичные работы по 8.3.4.1 - 8.3.4.3 в выбранном диапазоне измерений для отрицательной полярности выходного сигнала преобразователя и определяют значение Тсп.пх.отр, мкс.
-
8.3.4.5 Работы по 8.3.4.1 - 8.3.4.4 проводят для остальных диапазонов измерений преобразователя.
-
8.3.4.6 Преобразователь признается прошедшим операцию поверки, если значение постоянной времени спада переходной характеристики по уровню 0,37 от установившегося значения амплитуды для положительной и отрицательной полярностей выходного сигнала во всех диапазонах измерений преобразователя составляет не менее 10 мкс.
-
8.3.5.1 Доверительные границы 0н.пх, %, относительной погрешности измерений времени нарастания ПХ между уровнями от 0,1 до 0,9 от установившегося значения амплитуды при доверительной вероятности Р = 0,95 (без учета знака) для положительной и отрицательной полярностей выходного сигнала во всех диапазонах измерений преобразователя определяют по формуле где Офр.гпсэо,i/io,o ~ относительная погрешность воспроизведения длительности фронта импульсов электромагнитного поля в ГПСЭ 0,1/10,0 (в соответствии с паспортом и технической документацией), %;


(20)
®ocu.v = 1 % - относительная погрешность осциллографа Tektronix TDS 784D при определении амплитуды импульсов напряжения в установившемся режиме на выходе преобразователя;
©осц.т = 1 % - относительная погрешность осциллографа Tektronix TDS 784D при определении длительности фронта импульса между уровнями от 0,1 до 0,9 от установившегося значения амплитуды на выходе преобразователя.
Доверительные границы 0Сп.пх, %, относительной погрешности измерений постоянной времени спада ПХ на уровне 0,37 от установившегося значения амплитуды при доверительной вероятности Р = 0,95 (без учета знака) для положительной и отрицательной полярностей выходного сигнала во всех диапазонах измерений преобразователя определяют по формуле
2 +02 +а2
от.ГЛСЭО,1/10,0 осц.Т »
(21)
где ®сп.гпсэо,1/1о,о - относительная погрешность воспроизведения постоянной времени спада по уровню 0,37 (длительности импульсов по уровню 0,5 для ПС-2) электромагнитного поля ГПСЭ 0,1/10,0 (в соответствии с технической документацией), %;
®ocu.v = 1 % - относительная погрешность осциллографа Tektronix TDS 784D при определении амплитуды импульсов напряжения в установившемся режиме на выходе преобразователя;
®оснт = 1 % - относительная погрешность осциллографа Tektronix TDS 784D при определении постоянной времени спада по уровню 0,37 от установившегося значения амплитуды на выходе преобразователя.
-
8.3.5.2 Относительную погрешность ®вр.пх, %, измерений временных интервалов при доверительной вероятности 0,95 определяют по формуле


2 сп.ПХ
(22)
-
8.3.5.3 Преобразователь признается прошедшим операцию поверки, если значения относительной погрешности измерений временных интервалов для положительной и отрицательной полярностей выходного сигнала во всех диапазонах измерений не превышают установленных пределов ± 15 %.
-
8.3.6.1 Нижнюю границу Н|НИ)КГр , А-м'1, диапазона измерений Н1 напряженности импульсного магнитного поля преобразователя определяют по формуле
и
вых.БФП-ЗУ мин
\ниж.гр
(23)

где иВых.БФП-зу.мин - минимальная амплитуда выходного напряжения с блока фотоприемника БФП-ЗУ, соответствующая минимальному значению измеряемой величины ННИж.грдиап для диапазона Н1 (в соответствии с РЭ на преобразователь), В;
Кпрэн - значение коэффициента преобразования, рассчитанного в соответствии с 8.3.1.8 для диапазона измерений Н1 напряженности импульсного магнитного поля, В-А^-м.
Верхнюю границу Н1верх.гр > А-м'1, диапазона измерений Н1 напряженности импульсного магнитного поля преобразователя определяют по формуле
Хверх.гр
вых.БФП-ЗУ.макс
^прЛН
(24)
где UebIX БФп-зу.макс - максимальная амплитуда выходного напряжения с блока фотоприемника БФП-ЗУ, соответствующая максимальному значению измеряемой величины НверХ.Гр.дИап для диапазона Н1 (в соответствии с РЭ на преобразователь), В;
Кпр.ш - значение коэффициента преобразования, рассчитанного в соответствии с 8.3.1.8 для диапазона измерений Н1 напряженности импульсного магнитного поля, B-A’'-м.
-
8.3.6.2 Расчет нижней и верхней границ диапазонов измерений Н2, НЗ, Н4, Н5 и Н6 напряженности импульсного магнитного поля преобразователя проводят аналогично по 8.3.6.1.
-
8.3.6.3 Преобразователь признается прошедшим операцию поверки, если расчетные значения диапазонов измерений напряженности импульсного магнитного поля составляют не менее значений, указанных в таблице 5.
Значения диапазонов измерений преобразователя принимаются равным значениям, указанным в таблице 5.
Таблица 5 - Диапазоны измерений напряженности импульсного магнитного поля
|
Диапазон |
Значение, А-м‘] |
|
Н1 |
от ± 5,0-10'3 до ± 5,0-10'2 |
|
Н2 |
от ± 5,0-10'2 до ± 5,0-10'1 |
|
НЗ |
от± 5,0-10'1 до ± 5,0 |
|
Н4 |
от ± 5,0 до ± 5,0-10 |
|
Н5 |
от ± 5,0-10 до ± 5,0-102 |
|
Н6 |
от ±5,0-102 до ±5,0-103 |
-
9.1 Результаты измерений при поверке заносят в протокол (форма протокола приведена в приложении А настоящей методики поверки).
-
9.2 Преобразователь, прошедший поверку с положительным результатом, признается годным и допускается к применению. На него выдается протокол (в соответствии с приложением А) и свидетельство о поверке установленной формы с указанием полученных по 8.3.1 - 8.3.6 фактических значений метрологических характеристик, наносят знак поверки (место нанесения указано в описании типа) согласно Приказу Министерства промышленности и торговли Российской Федерации №1815 от 02.07.2015 «Об утверждении Порядка проведения поверки средств измерений, требования к знаку поверки и содержанию свидетельства о поверке», и преобразователь допускают к эксплуатации.
-
9.3 При отрицательных результатах поверки преобразователь признается непригодным, не допускается к применению и на него выдается «Извещение о непригодности» с указанием причин в соответствии с требованиями Приказа Министерства промышленности и торговли Российской Федерации №1815 от 02.07.2015 Свидетельство о предыдущей поверке и (или) знак поверки аннулируется.

К.Ю. Сахаров
О.В. Михеев
Начальник лаборатории
ФГУП «ВНИИОФИ»
Ведущий научный сотрудник
ФГУП «ВНИИОФИ»
ПРИЛОЖЕНИЕ А к Методике поверки МП 016.М12-19 «Преобразователи напряженности импульсного магнитного поля измерительные ИП-Н-О»
ПРОТОКОЛ первичной / периодической поверки от «_____»_____________20___года
Средствоизмерений: Преобразователь напряженности импульсного магнитного поля измерительный ИП-Н-0__________________________________________________________
(Наименование СИ, тип (если в состав СИ входит несколько автономных блоков
то приводят их перечень (наименования) и типы с разделением знаком «косая дробь» /)
Зав. № ___________________________ __________________________
Заводские номера блоков
Принадлежите е...........................................................
Наименование юридического лица, ИНН
Поверено в соответствии с методикой поверки «ГСП. Преобразователи напряженности импульсного магнитного поля измерительные ИП-Н-О». Методика поверки МП 016.М12-19», утвержденной ФГУП «ВНИИОФИ» «26» марта 2019 г.____________________
Наименование документа на поверку, кем утвержден (согласован), дата
С применением эталонов_________________________________________________
(наименование, заводской номер, разряд, класс точности или погрешность)
При следующих значениях влияющих факторов: ________________________
(приводят перечень и значения влияющих факторов, нормированных в методике поверки)
-
- температура окружающего воздуха, °C
-
- относительная влажность воздуха, %, не более
-
- атмосферное давление, кПа
-
- напряжение питания сети, В
-
- частота сети, Гц
В н е ш н и й о см о тр_____________________________________________•
Опробование_____________________________________________________________.
Получены результаты поверки метрологических характеристик:
|
Характеристика |
Результат |
Требования методики поверки |
Рекомендации_____ ____ _________________ _________
Средство измерений признать пригодным (или непригодным) для применения
Исполнители:
подписи, ФИО, должность
