Методика поверки «ГСИ. Коагулометры модели TS 4000 фирмы "High Technology, Inc", США» (МП 62.Д4-11)

___Н.П. Муравская -ZZ_________2011 г
УТВЕРЖДАЮ Заместитель директора ФГУП «ВНИИОФИ»-ГЦИ СИ
КОАГУЛОМЕТРЫ МОДЕЛИ TS 4000 ФИРМЫ «High Technology', Inc», США Методика поверки МП 62.Д4-11Разработали:
Инженер ФГУП «ВНИИОФИ» / Н.Ю. Грязских

Москва 2011 г
ВведениеНастоящая методика поверки распространяется на Коагуломегры модели TS 4000 (далее по тексту - коагулометры) производства фирмы «High Technology Inc.», США, предназначенных для параметров свертывания проб крови или плазмы крови.
Межповерочный интервал - 1 год.
1. Операции и средства поверкиПри проведении поверки должны быть выполнены операции, перечисленные в Таблице 1.
Таблица 1
№ п/п. |
Наименование операций |
Номер пункта НД по поверке |
Обязательность выполнения операции | |
Первичная поверка |
Периодическая поверка | |||
1 |
Внешний осмотр |
5.1. |
Да |
Да |
2 |
Опробование коагулометров |
5.2. |
Да |
Да |
3 |
Определение диапазона измерения времени коагуляции образца, допускаемой относительной систематической составляющей погрешности измерения времени коагуляции образца, допускаемого относительного среднего квадратичного отклонения измерений времени коагуляции образца |
5.3. |
Да |
Да |
При получении отрицательных результатов при проведении хотя бы одной операции поверка прекращается
2. Средства поверки-
2.1. При проведении поверки должны применяться средства, указанные в таблице 2.
Таблица 2
Номер пункта методики поверки |
Наименование средства поверки; номер документа, регламентирующего технические требования к средству, основные технические характеристики. |
5.3 |
Секундомер механического типа СОСпр-2б-2-000 ТУ 25-1894.003, второго класса точности с максимальной относительной погрешностью в пределах ±(0,34/Т+0,00043) |
-
2.2. Средства измерений, указанные в таблице 2, должны быть поверены в установленном порядке.
-
2.3. Допускается применение средств поверки, не приведенных в таблице 2, но обеспечивающих определение характеристик с требуемой точностью.
-
3.1. К проведению поверки допускаются лица:
изучившие настоящую методику поверки и эксплуатационную документацию на коагулометры
имеющие навык работы в химической или биохимической лаборатории
обученные в соответствии с ССБТ по ГОСТ 12.0.004-79 и имеющие квалификационную группу не ниже 1, Согласно правилам технической эксплуатации электроустановок потребителей», утвержденных Госэнергонадзором от 21.12.1984 получившие первичный и внеочередной инструктаж по технике безопасности при работе в данной лаборатории
-
3.2. При проведении поверки должны быть соблюдены требования безопасности, приведенные в Руководстве по эксплуатации коагулометров.
При проведении испытаний согласно ГОСТ Р 50444 следующие:
- температура воздуха (20 ± 5) °C;
относительная влажность (60 ± 15) % при температуре воздуха (20 ± 5)°С; атмосферное давление (101,3 ± 4,0) кПа (760 ±30 мм рт. ст.).
В помещении, где проводится поверка, должны отсутствовать механические вибрации и посторонние источники излучения, а также мощные постоянные и переменные электрические магнитные поля.
Помещение должно быть свободно от пыли, паров кислот и щелочей.
-
5. Проведение поверки
-
5.1. Внешний осмотр.
-
Проверку внешнего вида коагулометра проводят путем визуального осмотра. Проводят сравнение фотографического изображения и образца коагулометра, представленного на поверку, проверку отсутствия механических повреждений, а также проверку надписей на шильдике коагулометра и запись заводского номера коагулометра и модели коагулометра в протокол поверки.
-
5.2. Опробование
-
5.2.1. Опробование коагулометров проводится путем включения коагулометра в соответствии с указаниями, приведенными в руководствах по эксплуатации.
-
После включения коагулометра на дисплее должно появиться главное меню коагулометра.
-
5.2.2. Идентификация программного обеспечения.
После каждого включения коагулометров на экране коагулометра появляется информация о наименовании и версии установленного программного обеспечения.
Идентификационные данные (признаки) метрологически значимой части программного обеспечения коагулометра приведенными в таблице 3
Таблица 3
Наименование программного обеспечения |
Идентификационное наименование программного обеспечения |
Номер версии (идентификационный номер) программного обеспечения |
Цифровой идентификатор программного обеспечения (контрольная сумма исполняемого кода) |
Алгоритм вычисления цифрового идентификатора программного обеспечения |
ПО анализа TS-4000 |
TS-4000 |
3.3 |
02А0304В |
CRC32 |
-
5.3. Определение диапазона измерения времени коагуляции образца, допускаемой относительной систематической составляющей погрешности измерения времени коагуляции образца, допускаемого относительного среднего квадратичного отклонения измерений времени коагуляции образца
-
5.3.1 Заполнить кюветы для измерения образцов раствором (0,9 %) натрия хлорида.
-
5.3.2 Вставить кюветы в измерительный блок.
-
5.3.3 В каждую кювету добавить металлический шарик
-
5.3.4 Одновременно с нажатием кнопки дозирования (начало вращения шарика в кювете) запустить секундомер. На табло анализатора начнется отсчет времени.
-
5.3.5 Засечь на секундомере время коагуляции, равное 5 с
-
5.3.6 Одновременно с остановкой секундомера механическим способом остановить вращение шарика, например, вынув кювету из измерительного блока
-
5.3.7 Записать показания секундомера и значение на табло коагулометра.
-
5.3.8 Повторить действия, описанные в п.п. 5.3.2-5.3.7 для всех 4-х каналов по 5 раз.
-
5.3.9 Повторить действия, описанные в п.п. 5.3.2-5.3.8 для времени коагуляции 20,150,300 с.
-
5.3.10 По результатам измерений рассчитать среднее арифметическое значение измерения времени коагуляции образца (Tjkcp)no формуле:
Т к
Где ' - время, отображаемое на индикаторе коагулометра i-ro измерения на j-том канале, k-того времени коагуляция, с п - число измерений
-
5.3.11 Рассчитать относительную систематическую составляющую погрешности измерения времени коагуляции образца (гА 0) по формуле:
^0/к
Г де г() А. - время, измеренное секундомером, с
-
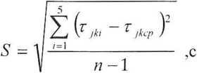
5.3.12 Рассчитать абсолютное среднее квадратичное отклонение измерения времени коагу
ляции образца, S, с, по формуле:

Где п - количество измерений, п=5
-
5.3.13 Рассчитать относительное среднее квадратичное отклонение измерения времени коагуляции образца, So, %, по формуле:
е _ S 400
/кер
Коагулометры признаются прошедшими поверку, если:
-
- рассчитанное значение относительной систематической составляющей погрешности измерения времени коагуляции образца не превышает ±3% в диапазоне измерения времени коагуляции образца 2,04-800,0 с,
-
- рассчитанное значение относительного среднего квадратичного отклонения измерений времени коагуляции образца не превышает 3.0% в диапазоне измерения времени коагуляции образца 2,04-800,0 с
-
6.1. Коагулометры модели TS 4000. прошедшие поверку с положительным результатом, признаются годными и допускаются к применению.
-
6.2. Результаты поверки оформляются свидетельством о поверке в соответствии с правилами по метрологии ПР 50.2.006-94.
-
6.3. Коагулометры модели TS 4000. прошедшие поверку с отрицательным результатом, признаются непригодными, не допускаются к применению и на них выдается извещение о непригодности с указанием причин.
ПРИЛОЖЕНИЕ А К Методике поверки МП 62.Д4-11 «Коагулометры модели TS 4000» ПРОТОКОЛ |
Первичной/периодической поверки от « ____ » ___________ 20 года
Средство измерений: Коагулометры модели TS 4000
Заводской № |
№/№ Заводские номера бланков |
Принадлежащее |
11аименование юридического лица, ИНН. КПП |
Поверено в соответствии с методикой поверки МП 62.Д4-11 «Коагулометры модели TS 4000», утвержденной ГЦИ СИ ФГУП «ВНИИОФИ» 12 декабря 2011 г
С применением эталонов: Секундомер механического типа CQCnp-26-2-000 ТУ 25-
1894.003, второго класса точности с максимальной относительной погрешностью в
пределах ±(0,34/Т+0,00043)______________________________________________________________
При следующих значениях влияющих факторов ________________________________
Температура, °C______________________________________________________________________
Влажность, %
Получены результаты поверки метрологических характеристик: _______________________
Время коагуляции, с |
5 |
20 |
150 |
300 |
Показания секундомера, с | ||||
Среднее арифметическое значение измерения времени коагуляции образца, с | ||||
относительная систематической составляющей погрешности измерения времени коагуляции, % | ||||
относительное среднее квадратичное отклонение измерения времени коагуляции образца, % |
Рекомендации:
Средство измерений признать пригодным (или непригодным) для применения
Исполнители
Подписи. Ф.И.О.. должность
6