Методика поверки «Уровнемеры поплавковые потенциометрические "Элемер-упп-11"» (НКГЖ.407622.001МП)
СОГЛАСОВАНО
УТВЕРЖДАЮ
Генеральный директор ООО НПП «ЭЛЕМЕР»
Технический директор ООО «ИЦРМ»


Методика поверки
НКГЖ.407622.001МП г. Москва 2018 г.
СОДЕРЖАНИЕ-
1.1 Настоящая методика поверки распространяется на уровнемеры поплавковые потенциометрические «ЭЛЕМЕР-УПП-11», модификации «ЭЛЕМЕР-УПП-11/М1», «ЭЛЕМЕР-УПП-11/M1L», «ЭЛЕМЕР-УПП-11/М2», «ЭЛЕМЕР-УПП-11/М3» (далее по тексту - УПП-11 или уровнемеры) и устанавливает методы, а также средства их первичной и периодической поверок.
-
1.1.1 Интервал между поверками:
-
-
2 года для уровнемеров с индексом заказа «А»;
4 года для уровнемеров с индексом заказа «В».
-
1.2 Первичная поверка проводится только с применением эталонной установки.
Периодическую поверку допускается проводить с применением эталонной установки или на месте эксплуатации с применением средств измерений, указанных в таблице 2.
2 ОПЕРАЦИИ ПОВЕРКИ-
2.1 При проведении поверки выполняют операции, указанные в таблице 1.
Таблица 1 - Операции поверки
|
Наименование операции |
Номер пункта методики поверки |
Проведение операции при | |
|
первичной поверке |
периодической поверке | ||
|
1 Внешний осмотр |
8.1 |
Да |
Да |
|
2 Проверка электрической прочности изоляции |
8.2 |
Да |
Нет |
|
3 Проверка электрического сопротивления изоляции |
8.3 |
Да |
Нет |
|
4 Опробование и подтверждение программного обеспечения |
8.4 |
Да |
Да |
|
5 Определение метрологических характеристик |
8.5 |
Да |
Да |
|
6 Оформление результатов поверки |
9 |
Да |
Да |
-
2.2 Допускается проведение поверки конкретных диапазонов измерений и для соответствующих измерительных каналов (унифицированный выходной сигнал силы постоянного тока, цифровой сигнал HART-протокола) в соответствии с заявлением владельца СИ, с обязательным указанием в свидетельстве о поверке информации об объеме проведенной поверки, в соответствии с п. 16, п. 18 приказа от 02.07.2015 г. № 1815 Министерства Промышленности и Торговли Российской Федерации.
-
3.1 При проведении поверки рекомендуется применять средства поверки, приведённые в таблице 2.
-
3.2 Применяемые средства поверки должны быть исправны, средства измерений поверены и иметь действующие документы о поверке. Испытательное оборудование должно быть аттестовано.
Таблица 2 - Средства поверки
|
№ |
Наименование средства поверки |
Номер пункта методики поверки |
Рекомендуемый тип средства поверки и его регистрационный номер в Федеральном информационном фонде или метрологические характеристики |
|
Основные средства поверки | |||
|
1 |
Рабочий эталон единицы длины в области измерения уровня жидкости 2 разряда по ГОСТ 8.477-82 в диапазоне значений от 0 до 20 м |
8.4, 8.5 |
Установка поверки и калибровки уровнемеров (далее - УПКУ) с диапазоном воспроизведения от 0 до 20 м, пределами допускаемой основной абсолютной погрешности ±1 мм |
|
2 |
Калибратор-измеритель унифицированных сигналов прецизионный «ЭЛЕМЕР-ИКСУ-2012» |
8.4, 8.5 |
№ 56318-14 (Диапазон измерений силы постоянного тока: от 0 до 25 мА, пределы допускаемой основной абсолютной погрешности: ±(10’4-1+ 1)мкА |
|
3 |
Рулетка измерительная металлическая 2-го и 3-го классов точности Р20Н2Г |
8.5 |
№ 46391-11 (Диапазон измерений: от 0 до 20 м, 2-ой класс точности) |
|
4 |
Уровнемер радиоволновый УЛМ |
8.5 |
№ 16861-08 (Диапазон измерений уровня: от 0,6 до 30 м, пределы допускаемой основной абсолютной погрешности: ±1 мм) |
|
5 |
Термометр цифровой эталонный ТЦЭ-005 |
8.5 |
№40719-15 |
|
6 |
Термометр сопротивления платиновый вибро-прочный эталонный ПТСВ-9-2 |
8.5 |
№ 65421-16 |
|
Вспомогательные средства поверки (оборудование) | |||
|
7 |
Установка для проверки электрической безопасности GPI-745A |
8.2 |
№46633-11 |
|
8 |
Мегаомметр Ф4102/1-1М |
8.3 |
№ 9225-88 |
|
9 |
Преобразователь давления измерительный АИР-20/М2-Н модель 030 |
8.4, 8.5 |
№63044-16 |
|
10 |
Преобразователи температуры и влажности измерительные РОСА-10 |
8.4, 8.5 |
№ 27728-09 |
|
№ |
Наименование средства поверки |
Номер пункта методики поверки |
Рекомендуемый тип средства поверки и его регистрационный номер в Федеральном информационном фонде или метрологические характеристики |
|
11 |
Источники питания постоянного тока БП 906 |
8.1 -8.5 |
Номинальное выходное напряжение 24 В, допускаемое отклонение напряжения номинального ±2 % |
|
12 |
Измеритель электрических параметров качества, мощности и количества электрической энергии телеметрический LPW-305-1 |
8.1 -8.5 |
№46877-11 |
|
13 |
Измерители параметров электрического и магнитного полей ВЕ-МЕТР-АТ-002 |
6.1 |
№ 17396-98 |
|
14 |
Анализатор шума и вибрации АССИСТЕНТ |
6.1 |
№39671-08 |
|
15 |
Анализатор-течеискатель АНТ-2М |
5.2.1 |
№ 16131-01 |
|
Компьютер | |||
|
16 |
ПК |
8.4, 8.5 |
Персональный компьютер (интерфейс RS 485; объем оперативной памяти не менее 1 Гбайт; объем жесткого диска не менее 10 Гбайт; дисковод для чтения CD-ROM; операционная система Windows) с установленным программным обеспечением |
|
17 |
Программное обеспечение (ПО) |
8.4, 8.5 |
S etupUPP_ver 1.8.2. ехе, номер версии не ниже 2.01.0007 SetupHARTmanager_v4.2.2.exe, номер версии не ниже 4.2.2 |
| |||
-
4.1 К проведению поверки допускают лица, изучившие настоящую методику, руководства по эксплуатации на уровнемеры и средства поверки.
-
4.2 К проведению поверки допускают лица, являющиеся специалистами органа метрологической службы, юридического лица или индивидуального предпринимателя, аккредитованного на право поверки, непосредственно осуществляющие поверку средств измерений.
-
4.3 Поверитель должен пройти инструктаж по технике безопасности.
-
5.1 При поверке уровнемеров выполняют требования техники безопасности, изложенные в документации на применяемые средства поверки и оборудование.
-
5.2 При поверке уровнемеров на месте их эксплуатации дополнительно контролируют выполнение следующих требований.
-
5.2.1 Содержание вредных веществ в воздухе рабочей зоны не должно превышать предельно допустимых концентраций, установленных ГОСТ 12.1.005-88.
-
5.2.2 Поверка взрывобезопасных уровнемеров должна производиться с помощью эталонных уровнемеров, изготовленных во взрывозащищенном исполнении для взрывоопасных сред по ГОСТ IEC 60079-10-1-2013 и предназначенных для эксплуатации на открытом воздухе.
-
5.2.3 Поверка уровнемеров во время грозы категорически запрещена.
-
5.2.4 Поверители, проводящие поверку уровнемеров, должны использовать спецодежду:
-
-
- мужчины — костюмы по ГОСТ 27575-87, спецобувь по ГОСТ 12.4.137-2001, строительную каску по ГОСТ 12.4.087-84, рукавицы по ГОСТ 12.4.010-75;
-
- женщины — костюмы ГОСТ 27574-87, спецобувь по ГОСТ 12.4.137-2001, строительную каску по ГОСТ 12.4.087-84, рукавицы по ГОСТ 12.4.010-75.
-
6.1 Условия проведения поверки:
1)
температура окружающего воздуха и измеряемой среды, °C, при поверке уровнемера
-
- с применением эталонной установки
-
- на месте его эксплуатации
от плюс 15 до плюс 25; от минус 10 до плюс 50;
2)
-
3)
-
4)
относительная влажность воздуха, % атмосферное давление, кПа (мм рт.ст.) параметры электрического питания напряжение питания постоянного тока, В - для «ЭЛЕМЕР-УПП-11/М1», «ЭЛЕМЕР-УПП-11/M1L»
от 30 до 80;
от 84,0 до 106,7 (от 630 до 800);
-
- для «ЭЛЕМЕР-УПП-11/М2»
-
- для «ЭЛЕМЕР-УПП-11/МЗ»
-
- напряжение переменного тока, В
-
- для «ЭЛЕМЕР-УПП-11/М1», «ЭЛЕМЕР-УПП-11/M1L»
-
- частота переменного тока, Гц
24t|6, 36±t6
220^ 241Ц361|6 24tlf, 36tf7
220t|o
50
-
-
5) измеряемая среда при поверке уровнемеров на месте их эксплуатации - вода или жидкость, находящаяся в мере вместимости (далее - резервуар), на которой смонтирован поверяемый уровнемер;
-
6) внешние электрические и магнитные поля должны отсутствовать или находиться в пределах, не влияющих на работу уровнемеров;
-
7) вибрация, тряска, удары, влияющие на работу уровнемеров, должны отсутствовать;
-
8) время выдержки уровнемеров во включенном состоянии 1 ч.
-
6.2 Для контроля температуры окружающей среды и относительной влажности воздуха используют преобразователь температуры и влажности измерительный РОСА-10.
-
6.3 Для контроля атмосферного давления используют преобразователь давления измерительный АИР-20/М2-Н модель 030.
-
6.4 Для питания уровнемеров (при напряжении питания постоянного тока) используют источник питания постоянного тока БП 906, при напряжении питания переменного тока - питание от сети переменного тока.
-
6.5 Для контроля напряжения питания используют измеритель электрических параметров качества, мощности и количества электрической энергии телеметрический LPW-305-1.
-
6.6 Для контроля внешних электрических и магнитных полей используют измерители параметров электрического и магнитного полей ВЕ-МЕТР-АТ-002.
-
6.7 Для контроля вибрации, тряски, ударов, влияющих на работу уровнемеров, используют анализатор шума и вибрации АССИСТЕНТ.
-
6.8 Для контроля содержания вредных веществ в воздухе рабочей зоны используют ана-лизатор-течеискатель АНТ-2М.
-
7.1 Перед проведением поверки выполняют следующие подготовительные работы:
-
- изучают эксплуатационные документы на поверяемые уровнемеры, а также руководства по эксплуатации на применяемые средства поверки;
-
- выдерживают уровнемеры в условиях окружающей среды, указанных в п. 6.1 1)...6.1 3), не менее 4 ч;
-
- подготавливают к работе средства поверки и выдерживают во включенном состоянии в соответствии с указаниями руководств по эксплуатации.
-
7.2 При поверке уровнемеров с применением установки поверки и калибровки уровнемеров уровнемер устанавливают на УПКУ и приводят его в рабочее положение в соответствии с эксплуатационной документацией.
-
7.3 При поверке уровнемеров на месте их эксплуатации с применением уровнемера УЛМ устанавливают уровнемер УЛМ на горловине резервуара и приводят его в рабочее положение в соответствии с эксплуатационной документацией.
-
7.4 При поверке уровнемеров на месте их эксплуатации с применением рулетки измерительной металлической Р20Н2Г (далее - рулетки):
-
- проверяют исправность рулетки;
-
- протирают шкалу рулетки тряпкой насухо;
-
- наносят слой бензочувствительной пасты (при необходимости) на участок шкалы рулетки, в пределах которого будет находиться контрольная отметка.
При поверке взрывозащищённых уровнемеров в условиях эксплуатации необходимо изучить правила техники безопасности проведения работ во взрывоопасной зоне резервуаров-хранилищ, относящихся к взрывоопасным категориям объектов, и выполнять их в процессе проведения поверочных работ.
8 ПРОВЕДЕНИЕ ПОВЕРКИ-
8.1 Внешний осмотр
-
8.1.1 При внешнем осмотре устанавливают отсутствие механических повреждений, правильность маркировки, проверяют комплектность.
-
При наличии дефектов покрытий, влияющих на работоспособность уровнемеров, несоответствия комплектности, маркировки определяют возможность их дальнейшего применения.
-
8.1.2 У каждого уровнемера проверяют наличие паспорта с отметкой ОТК.
Результаты внешнего осмотра считают положительными, если отсутствуют механические повреждения, маркировка и комплектность соответствуют требованиям эксплуатационной документации, в наличии имеется паспорт с отметкой ОТК.
-
8.2 Проверка электрической прочности изоляции
Проверку электрической прочности изоляции производят с помощью установки для проверки электрической безопасности GPI-745A (далее - установка), позволяющей поднимать напряжение равномерно ступенями, не превышающими 10 % значения испытательного напряжения, в следующей последовательности:
-
1) Подключают установку к уровнемеру согласно руководству по эксплуатации.
-
2) Заземляют используемые приборы.
-
3) Подготавливают уровнемер и установку в соответствии с их руководствами по эксплуатации. Включают установку.
-
4) Подают испытательное напряжение практически синусоидальной формы частотой от 45 до 65 Гц в соответствии с руководством по эксплуатации при температуре окружающего воздуха (20±5) °C и относительной влажности от 30 до 80 %
-
- 1500 В между электрической цепью питания 220 В и контактом защитного заземления для «ЭЛЕМЕР-УПП-11/M 1», «ЭЛЕМЕР-УПП-11/MIL»;
-
- 1500 В между цепью сигнализации, цепью питания 220 В и контактом защитного заземления для «ЭЛЕМЕР-УПП-11/М1», «ЭЛЕМЕР-УПП-11/MIL»;
-
- 500 В между электрической цепью питания 24 В и контактом защитного заземления, цепями сигнализации для «ЭЛЕМЕР-УПП-11/М1», «ЭЛЕМЕР-УПП-11/MIL»;
-
- 120 В между токоведущими цепями и корпусом для «ЭЛЕМЕР-УПП-11/М2»;
-
- 500 В между токоведущими цепями и корпусом для «ЭЛЕМЕР-УПП-11Ех/М2»;
-
- 500 В между цепью питания и корпусом для «ЭЛЕМЕР-УПП-11/М3».
Испытательное напряжение следует повышать, начиная с нуля или со значения, не превышающего номинальное напряжение цепи, до испытательного в течение не более 30 с.
страница 10 из 18
Погрешность измерения испытательного напряжения не должна превышать ± 5 %.
-
5) Изоляцию выдерживают под действием испытательного напряжения в течение 1 мин.
-
6) Затем напряжение снижают до нуля или значения, не превышающего номинальное, после чего установку отключают.
Результаты считают положительными, если не произошло пробоев и поверхностного перекрытия изоляции.
-
8.3 Проверка электрического сопротивления изоляции
-
8.3.1 Проверку электрического сопротивления изоляции производят с помощью мегаомметра Ф4102/1-1М в следующей последовательности:
-
-
1) Подключают мегаомметр к уровнемеру согласно их руководствам по эксплуатации.
-
2) Заземляют используемые приборы.
-
3) Подготавливают и включают уровнемер и мегаомметр в соответствии с их руководствами по эксплуатации.
-
4) Подают испытательное напряжение в соответствии с руководством по эксплуатации
-
- между электрической цепью питания 220 В и контактом защитного заземления для «ЭЛЕМЕР-УПП-11 /М1», «ЭЛЕМЕР-УПП-11 /М1L»;
-
- между цепью сигнализации, цепью питания 220 В и контактом защитного заземления для «ЭЛЕМЕР-УПП-11/М1», «ЭЛЕМЕР-УПП-11/MlL»;
-
- между электрической цепью питания 24 В и контактом защитного заземления, цепями сигнализации для «ЭЛЕМЕР-УПП-11/М1», «ЭЛЕМЕР-УПП-11/MlL»;
-
- между токоведущими цепями и корпусом для «ЭЛЕМЕР-УПП-11/М2»;
-
- между токоведущими цепями и корпусом для «ЭЛЕМЕР-УПП-11Ех/М2»;
-
- между цепью питания и корпусом для «ЭЛЕМЕР-УПП-11/М3».
Результаты считают положительными, если электрическое сопротивление изоляции не менее 20 МОм.
-
8.4 Опробование и подтверждение соответствия программного обеспечения
-
8.4.1 Опробование
-
8.4.1.1 При опробовании проверяют работоспособность и функционирование подстройки «нуля» в соответствии с руководством по эксплуатации.
-
8.4.1.2 Проверку работоспособности проводят с помощью калибратора-измерителя унифицированных сигналов прецизионного «ЭЛЕМЕР-ИКСУ-2012» (далее - «ЭЛЕМЕР-ИКСУ-2012»), персонального компьютера и основных средств поверки в соответствии с таблицей 2 в следующей последовательности:
-
-
-
1) Подключают основные средства поверки в соответствии с таблицей 2 к уровнемеру согласно руководству по эксплуатации.
-
2) Заземляют используемые приборы.
-
3) Подготавливают и включают уровнемер и используемые приборы в соответствии с их руководствами по эксплуатации.
-
4) Работоспособность уровнемера проверяют изменяя значение уровня с помощью основных средств поверки в соответствии таблицей 2 от нижнего до верхнего предельного значения. При этом контролируют изменение выходного электрического сигнала на «ЭЛЕМЕР-ИКСУ-2012», индикаторе УПП-11 и персональном компьютере.
-
8.4.1.3 Проверку функционирования подстройки «нуля» проводят с помощью основных средств поверки в соответствии с таблицей 2 в следующей последовательности:
-
1) Подключают основные средства поверки к уровнемеру согласно их руководствам по эксплуатации.
-
2) Заземляют используемые приборы.
-
3) Подготавливают и включают уровнемер и используемые приборы в соответствии с их руководствами по эксплуатации.
-
4) Устанавливают близкое к нижнему пределу диапазона измерений значение уровня в резервуаре (или, в случае применения, УПКУ предварительно закрепленный в соответствии с эксплуатационной документацией поплавок перемещают вдоль направляющей вручную или автоматически, задавая необходимое значение уровня). После стабилизации показаний поверяемого уровнемера приводят показания поверяемого уровнемера к установленному значению уровня путем записи поправки на разность показаний поверяемого уровнемера и эталонного средства измерений в соответствующее поле компьютерной программы или с помощью меню уровнемера в соответствии с руководством по эксплуатации.
Результаты считают положительными, если при изменении уровня происходит пропорциональное изменение выходного сигнала.
-
8.4.2 Подтверждение соответствия программного обеспечения
Подтверждение соответствия программного обеспечения проводят в следующей последовательности:
-
1) Включают персональный компьютер и загружают программное обеспечение.
-
2) В появившемся окне фиксируют номер версии и идентификационное наименование внешнего ПО.
Результаты считают положительными, если наименование и номер версии внешнего ПО совпадают с данными, представленными в описании типа.
-
8.5 Определение метрологических характеристик
-
8.5.1 Определение метрологических характеристик заключается в определении абсолютной погрешности измерений уровня (далее - абсолютная погрешность) и проверке вариации выходного сигнала.
-
8.5.2 Абсолютную погрешность определяют в пяти контрольных отметках, равномерно распределенных по всему диапазону измерений, при прямом и обратном ходе, т.е. при повышении и понижении уровня жидкости. В случае применения УПКУ предварительно закрепленный в соответствии с эксплуатационной документацией поплавок перемещают вдоль направляющей вручную или автоматически, задавая необходимое значение уровня. Примечание - При перемещении поплавка уровня поворот его вокруг вертикальной оси направляющей уровнемера не допускается.
-
8.5.3 Определение абсолютной погрешности с применением УПКУ проводят в следующей последовательности:
-
-
1) Подготавливают поверяемый уровнемер и основные средства поверки в соответствии с их руководствами по эксплуатации.
-
2) Устанавливают поверяемый уровнемер на УПКУ и приводят его в рабочее положение в соответствии с эксплуатационной документацией.
-
3) Проверяют и при необходимости производят подстройку «нуля» в соответствии с руководством по эксплуатации.
-
4) Включают поверяемый уровнемер и основные средства поверки в соответствии с их руководствами по эксплуатации.
-
5) Помещают поплавок уровня последовательно в точки, соответствующие п. 8.5.2. Считывают выходной сигнал уровнемеров по «ЭЛЕМЕР-ИКСУ-2012»; считывают результат измерений на индикаторе УПП-11 и (или) с помощью соответствующей программы на ПК.
-
6) Определяют уровень Hi в поверяемой точке по формуле (8.1) (для уровнемеров с ли-нейно-возрастающей зависимостью), формуле (8.2) (для уровнемеров с линейно-убываюгцей зависимостью) или фиксируют его на индикаторе УПП-11 или фиксируют его на мониторе ПК:

(8-1)

(8-2)
где Авых.1измеренное с помощью «ЭЛЕМЕР-ИКСУ-2012» значение унифицированного выходного сигнала, соответствующее измеряемому уровню Hi, мА;
Ан, Ав - нижний и верхний пределы унифицированного выходного сигнала, мА;
Нн, Нв - нижний и верхний пределы измерений уровня, мм.
-
7) Рассчитывают значение абсолютной погрешности А по формуле (8.3):
(8.3)
где Н - значение уровня, рассчитанное по формуле (8.1) (для уровнемеров с линейно-возрас-тающей зависимостью), формуле (8.2) (для уровнемеров с линейно-убывающей зависимостью^ (или) отображенное на индикаторе УПП-11 и (или) отображенное на мониторе ПК, мм;
Нэ - значение уровня, установленное с помощью УПКУ или показания эталонного средства измерений уровня, мм.
Результаты считают положительными, если полученные значения абсолютной погрешности измерений не превышают соответствующих пределов допускаемой абсолютной погрешности (± (5 + 2- 10‘3Н) мм или ± (10 + 2 - 10'3-Н) мм в зависимости от заказа, где Н - измеренное значение уровня, мм).
-
8.5.4 Поверку уровнемера на месте его эксплуатации с применением уровнемера УЛМ или рулетки проводят в следующей последовательности:
-
1) Подготавливают к работе и включают уровнемер УЛМ и поверяемый уровнемер в соответствии с эксплуатационной документацией.
-
2) При поверке уровнемера на месте эксплуатации с применением рулетки:
- включают уровнемер в соответствии с его руководством по эксплуатации;
-
- разворачивают рулетку, располагают ее в непосредственной близости от уровнемера (параллельно ему) и совмещают нулевую отметку рулетки с нулевой отметкой уровнемера;
-
- по шкале рулетки фиксируют высоту поверхности раздела «жидкость - газовое пространство» (далее - высота газового пространства);
-
- уровень жидкости в контрольной отметке определяют вычитанием из значения базовой высоты резервуара значения высоты газового пространства.
-
3) Проверяют и при необходимости производят подстройку «нуля» в соответствии с руководством по эксплуатации.
-
4) Устанавливают нулевое значение уровня в резервуаре. Считывают выходной сигнал уровнемеров по «ЭЛЕМЕР-ИКСУ-2012»; считывают результат измерений на индикаторе УПП-11 и (или) с помощью соответствующей программы на ПК.
-
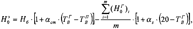
5) Заполняют меру вместимости до верхнего уровня и при помощи рулетки определяют поправку ЛНо, мм, по формуле (8.4):
ДН0 = НУ0 - НЭ, (8-4)
где Hq - показания уровнемера при заполненной мере вместимости, мм;
цэ - показания рулетки при заполненной мере вместимости, мм, вычисляемая по формуле (8.5)

(8-5)
где Нб - базовая высота меры вместимости, значение которой определяется при поверке; аст - температурный коэффициент линейного расширения материала стенки меры вместимости, значение которого принимают равным 12,5-10’6 1/°С для стали и 10 -10'6 1/°С для бетона;
as - температурный коэффициент линейного расширения материала рулетки, значение которого принимают равным 12,5-Ю'61/°С для стали и 23-10'61/°С для алюминия;
- температура воздуха при поверке меры вместимости, значение которой определяется по протоколу поверки, °C;
Т[ - температура воздуха при измерении высоты газового пространства, °C (измеренная при помощи термометра цифрового эталонного ТЦЭ-005 модификации ТЦЭ-005/МЗ и термометра сопротивления платинового вибропрочного эталонного ПТСВ-9-2);
(Нг) ' ВЬ1Сота газового пространства нулевого уровня при i-м измерении при помощи ру-0 ' летки, мм;
т - число измерений высоты газового пространства, т>5.
-
6) Уровень жидкости в пяти равномерно расположенных точках диапазона измерений уровня, включая крайние точки (в j-й контрольной точке), измеренный уровнемером Низм, мм, определяют по формуле (8.6):
(8-6)
Низы ~ Hnyj ~ Л Но,
где Hnyj - показание уровнемера в j-й контрольной точке.
-
7) Высоту газового пространства в каждой контрольной точке с помощью рулетки при каждом измерении, определяют в следующей последовательности:
-
- рулетку опускают через измерительный люк меры вместимости ниже поверхности жидкости на глубину около 1000 мм;
-
- первый отсчет (верхний) берут по шкале измерительной рулетки. При этом для облегчения измерений и расчетов рекомендуется совмещать отметку целых значений метра на шкале рулетки с верхним краем измерительного люка;
-
- рулетку поднимают (строго вверх без смещения в стороны) до появления над верхним краем измерительного люка смоченной части ленты и взять отсчет по шкале (нижний отсчет) с точностью до 1 мм.
Для более точного измерения уровня поверхность рулетки необходимо натереть пастой.
-
8) Измеряют высоту газового пространства в каждой контрольной точке не менее 5 раз.
-
9) Уровень жидкости в пяти равномерно расположенных точках диапазона измерений уровня, включая крайние точки (в j-й контрольной точке), при измерении газового пространства при помощи рулетки Нэ, мм, вычисляют по формуле (8.7):

(8-7)
где (Нг) ~ высота газового пространства в j-й контрольной точке при i-м измерении при помощи рулетки, мм.
-
10) Определяют уровень Н в поверяемой точке по формуле (8.1) или (8.2);
-
11) Рассчитывают значение абсолютной погрешности по формуле (8.3);
Результаты считают положительными, если полученные значения абсолютной погрешности измерений не превышают соответствующих пределов допускаемой абсолютной погрешности (± (5 + 2-10'3,Н) мм или ± (10 + 2-10'3 Н) мм в зависимости от заказа, где Н - измеренное значение уровня, мм).
-
8.5.5 Проверка вариации выходного сигнала
Вариацию выходного сигнала определяют для каждой контрольной точки.
Вариацию выходного сигнала Л' вычисляют по формуле
д'_|ц _ц I (8.7)
*■* |пизмпр пизмоб|,
Низмпр, Низмоб - значение уровня, рассчитанное по формуле (8.1) (для уровнемеров с ли-нейно-возрастающей зависимостью), формуле (8.2) (для уровнемеров с линейно-убывающей зависимостью) и (или) отображенное на индикаторе У1111-11 и (или) отображенное на мониторе ПК для одной и той же контрольной точки, мм.
Результаты проверки считают положительными, если полученные значения вариации не превышают 0,25 предела допускаемой абсолютной погрешности поверяемого уровнемера.
9 ОФОРМЛЕНИЕ РЕЗУЛЬТАТОВ ПОВЕРКИ-
9.1 Положительные результаты поверки уровнемеров поплавковых потенциометрических «ЭЛЕМЕР-УПП-11» оформляют свидетельством о поверке по форме, установленной в документе «Порядок проведения поверки средств измерений, требования к знаку поверки и содержанию свидетельства о поверке», утвержденном приказом Минпромторга России от 2 июля 2015 г. № 1815 или отметкой в паспорте и нанесением знака поверки.
-
9.1.1 Знак поверки наносится на свидетельство о поверке и (или) в паспорт.
-
-
9.2 При отрицательных результатах поверки уровнемеры не допускаются к применению до выяснения причин неисправностей и их устранения.
После устранения обнаруженных неисправностей проводят повторную поверку, результаты повторной поверки - окончательные.
-
9.3 Отрицательные результаты поверки уровнемеров оформляют извещением о непригодности по форме, установленной в документе «Порядок проведения поверки средств измерений. требования к знаку поверки и содержанию свидетельства о поверке», утвержденном приказом Минпромторга России от 2 июля 2015 г. № 1815, свидетельство о предыдущей поверке аннулируют, а уровнемеры не допускают к применению.
Разработчики настоящей методики:
Начальник ОС и ТД

Л.И. Толбина

Ю. А. Винокурова
ООО НПП «ЭЛЕМЕР»
Заместитель начальника отдела испытаний ООО «ИЦРМ»
страница 18 из 18
