Методика поверки «ГСИ. Спектрофотометры прецизионные Lambda 650 и Lambda 850» (МП 004.М4-19)
УТВЕРЖДАЮ
Заместитель директора

« ВНИИОФИ »
И.С. Филимонов
« 13 » февраля 2019 г.
Спектрофотометры прецизионные Lambda 650 и Lambda 850
Методика поверки МП 004.М4-19Главный метролог ФГУП НИИОФИ»

С.Н. Негода ^<13» февраля 2019 г.
Москва 2019 г.
СОДЕРЖАНИЕ
-
1.1 Настоящая методика поверки распространяется на спектрофотометры прецизионные Lambda 650 и Lambda 850 (далее по тексту - спектрофотометры), предназначенные для измерений спектрального коэффициента направленного пропускания анализируемого объекта, а также для исследований спектров в ультрафиолетовой (UV) и видимой (VIS) областях спектра, и определяет методы и средства первичной и периодической поверок.
Поверка проводится при вводе спектрофотометра в эксплуатацию и в процессе эксплуатации.
-
1.2 Интервал между поверками - 1 год.
РМГ 51-2002 - Государственная система обеспечения единства измерений. Документы на методики поверки средств измерений. Основные положения.
ГОСТ Р 8.736-2011 - Государственная система обеспечения единства измерений. Измерения прямые многократные. Методы обработки результатов измерений. Основные положения.
ГОСТ 15150-69 - Машины, приборы и другие технические изделия. Исполнения для различных климатических районов. Категории, условия эксплуатации, хранения и транспортирования в части воздействия климатических факторов внешней среды.
ГОСТ 8.395-80 - Государственная система обеспечения единства измерений. Нормальные условия измерений при поверке. Общие требования.
«Правила устройства электроустановок» (ПУЭ), утверждены Минэнергетики РФ №204 от 08.07.2002 г.
«Правила технической эксплуатации электроустановок потребителей» (ПТЭЭП), утверждены Минэнерго России №4145 от 22.01.03г.
Приказ Минтруда «Об утверждении правил по охране труда при эксплуатации электроустановок» №328н от 24.07.2013г. .
ГОСТ 12.1.004-91 - Система стандартов безопасности труда. Пожарная
безопасность. Общие требования.
ГОСТ 12.4.009-83 - Система стандартов безопасности труда. Пожарная техника для защиты объектов. Основные виды. Размещение и обслуживание.
ГОСТ 12.2.003-91 - Система стандартов безопасности труда. Оборудование производственное. Общие требования безопасности.
ГОСТ 12.1.005-88 - Система стандартов безопасности труда. Общие санитарногигиенические требования к воздуху рабочей зоны.
ГОСТ 8.557-2007 - Государственная система обеспечения единства измерений. Государственная поверочная схема для средств измерений спектральных, интегральных и редуцированных коэффициентов направленного пропускания и оптической плотности в диапазоне длин волн от 0,2 до 5,0 мкм, диффузного и зеркального отражений в диапазоне длин волн от 0,2 до 20,0 мкм.
Р 50.2.077-2014 - Государственная система обеспечения единства измерений. Испытания средств измерений в целях утверждения типа. Проверка защиты программного обеспечения
ГОСТ Р 8.736-2011 - Государственная система обеспечения единства измерений. Измерения прямые многократные. Методы обработки результатов измерений. Основные положения.
3 ОПЕРАЦИИ ПОВЕРКИ-
3.1 При проведении первичной и периодической поверок должны быть выполнены следующие операции, указанные в таблице 1.
Таблица 1 - Операции поверки
|
Наименование операции |
Номер пункта Методики поверки |
Проведение операции при | |
|
первичной поверке |
периодической поверке | ||
|
Внешний осмотр |
9.1 |
Да |
Да |
|
Опробование |
9.2 |
Да |
Да |
|
Подтверждение соответствия программного обеспечения |
9.3 |
Да |
Да |
|
Определение метрологических характеристик |
9.4 | ||
|
Определение доверительных границ абсолютной погрешности установки длины волны в диапазоне от 200 до 900 нм |
9.4.1 |
' Да ' |
Да |
|
Определение воспроизводимости установки длины волны в диапазоне от 200 до 900 нм |
9.4.2 |
Да |
Да |
|
Определение доверительных границ абсолютной погрешности измерения оптической плотности в диапазоне длин волн от 400 до 780 нм (по фильтру с оптической плотностью 1 Б) |
9.4.3 |
Да |
Да |
|
Определение воспроизводимости измерений оптической плотности в диапазоне длин волн от 400 до 780 нм (по фильтру с оптической плотностью 1 Б) |
9.4.4 |
Да |
Да |
-
3.2 При получении отрицательных результатов при проведении любой операции поверка прекращается.
-
3.3 Поверку средств измерений осуществляют аккредитованные в установленном порядке в области обеспечения единства измерений юридические лица и индивидуальные предприниматели.
-
4.1 При проведении первичной и периодической поверок должны быть использованы следующие средства, указанные в таблице 2.
Таблица 2 - Средства поверки
|
Номер пункта методики поверки |
Наименование и тип (условное обозначение) основного или вспомогательного средства поверки; обозначение нормативного документа, регламентирующего технические требования, и (или) метрологические и основные технические характеристики средства поверки |
|
9.4.1, 9.4.2 |
Мера образцовая волновых чисел ТАС-1. (№ ГРСИ 12308-90) Диапазон стандартных линий поглощения от 200 до 900 нм Погрешность стандартных линий поглощения 0,05 нм |
|
9.4.3, 9.4.4 |
Светофильтр №5 из набора КНФ-1М из состава Государственного первичного эталона единиц спектральных коэффициентов направленного пропускания, диффузного и зеркального отражений в диапазоне длин волн от 0,2 до 20,0 мкм ГЭТ 156-2015. Диапазон значений спектрального коэффициента направленного пропускания (СКНП) от 0,085 до 0,170 Значение НСП СКНП составляет 0,00041. |
-
4.2 Средства поверки, указанные в таблице 2, должны быть поверены и аттестованы в установленном порядке. Допускается применение других средств поверки, не приведенных в таблице 2, но обеспечивающих определение (контроль) метрологических характеристик поверяемого спектрофотометра с требуемой точностью.
-
5.1 К проведению поверки допускаются лица, прошедшие обучение по требуемому виду измерений, изучившие настоящую методику поверки, Руководство по эксплуатации спектрофотометра, имеющие квалификационную группу не ниже III в соответствии с правилами по охране труда при эксплуатации электроустановок, указанных в приложении к приказу Министерства труда и социальной защиты РФ от 24.07.13 № 328Н.
-
6.1 При проведении поверки следует руководствоваться следующими документами ПУЭ, ПТЭЭП и приказом Минтруда №328н.
-
6.2 Помещение, в котором проводится поверка, должно соответствовать требованиям пожарной безопасности по ГОСТ 12.1.004 и иметь средства пожаротушения по ГОСТ 12.4.009.
-
6.3 Оборудование, применяемое при поверке, должно соответствовать требованиям ГОСТ 12.2.003. Воздух рабочей зоны должен соответствовать требованиям ГОСТ 12.1.005 при температуре помещения, соответствующей условиям испытаний для легких физических работ.
-
7.1 При проведении поверки должны соблюдаться следующие условия:
-
- температура окружающего воздуха, °C от+15 до+30;
-
- относительная влажность, % от 20 до 70;
-
- атмосферное давление, кПа от 96 до 104;
-
7.2 В помещении, где проводится поверка, содержание пыли, паров кислот и щелочей, агрессивных газов и других вредных примесей, вызывающих коррозию, не должно превышать содержание коррозийно-активных агентов для атмосферы типа 1 по ГОСТ 15150.
-
7.3 В помещении, где проводится поверка, должны соответствовать ГОСТ 8.395 механические вибрации, посторонние источники электро-магнитного излучения, а также постоянные и переменные электрические и магнитные поля.
-
8.1 Изучите Техническое руководство спектрофотометра и ТЭТ 156-2015.
-
8.2 Включите спектрофотометр.
-
8.3 Включите компьютер.
-
8.4 Запустите программу «Perkin Elmer UV WinLab» спектрофотометра.
-
8.5 Прогрейте спектрофотометр в течение 1 часа.
-
9 ПРОВЕДЕНИЕ ПОВЕРКИ
-
8.1.1 При внешнем осмотре должно быть установлено:
-
- отсутствие механических повреждений корпуса, клавиш управления и соединительных проводов;
-
- наличие маркировки (наименование или товарный знак завода-изготовителя, тип и заводской номер спектрофотометра);
-
- отсутствие сколов, царапин, загрязнений на оптических деталях спектрофотометра.
-
9.1.2 Спектрофотометр считается прошедшим операцию поверки, если он соответствует требованиям вышеперечисленных операций.
-
9.2.1 При опробовании должно быть установлено:
-
- исправность соединительных электрических кабелей и проводов;
-
- работоспособность деталей кюветного отделения;
-
- правильность отработки тестовой программы при включении спектрофотометра, отсутствие сообщений об ошибках;
-
- правильность отработки задаваемых режимов измерений: метода сканирования, времени усреднения, установки длины волны и др.;
-
9.2.2 Спектрофотометр считается прошедшим операцию поверки, если он соответствует требованиям вышеперечисленных операций.
-
9.3.1 Во вкладке «Help» выбрать пункт «About».
-
9.3.2 Спектрофотометр считается прошедшим операцию поверки, если идентификационные данные программного обеспечения соответствуют значениям,
приведенным в таблице 3.
Таблица 3 - Идентификационные данные программного обеспечения
|
Идентификационные данные (признаки) |
Значение |
|
Идентификационное наименование ПО |
PerkinElmer UV WinLab |
|
Номер версии (идентификационный номер) ПО |
6.0 и выше |
|
Цифровой идентификатор ПО |
- |
-
9.4 Определение метрологических характеристик
-
9.4.1.1 Установить режим измерений коэффициента пропускания (Т%) в соответствии с указаниями Технического руководства спектрофотометра.
-
9.4.1.2 Установить в кюветное отделение меру образцовую волновых чисел ТАС-
1 и провести регистрацию его полос поглощения в соответствии с Техническим руководством спектрофотометра и в соответствии с таблицей 4.
|
Таблица 4 - Параметры измерений | |||
|
Стандартная линия поглощения ТАС-1, нм |
Максимальная спектральная ширина щели, нм |
Диапазон сканирования ~ Л2, нм |
Шаг сканирования, нм |
|
421,05 |
0,25 |
от 420,9 до 421,2 |
0,01 |
|
541,57 |
0,5 |
от 541,4 до 541,7 |
0,01 |
|
638,46 |
0,3 |
от 638,2 до 638,6 |
0,01 |
-
9.4.1.3 Включить режим оцифровки пиков и по полученным спектрограммам определить длины волн Л(- изм, нм, соответствующие минимумам пропускания.
-
9.4.1.4 Повторить измерения по п.п. 9.4.1.2 - 9.4.1.3 пять раз для каждой стандартной линии поглощения.
-
9.4.1.5 Рассчитать среднее арифметическое значение результата измерений линии поглощения по формуле 1:
Л = iff Л,. (!)
где А/ - z-й результат измерений линии поглощения, полученный в п. 9.4.1.3, нм.
-
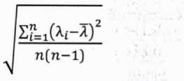
9.4.1.6 Рассчитать среднее квадратичное отклонение результатов измерений по формуле (2):


(2)
где я - количество проведенных измерений, равное 5.
-
9.4.1.7 Определить границы неисключенной систематической погрешности результата измерений по формуле (3):
= ± (3)
где 6^1 - составляющая неисключенной систематической погрешности, нм, определяемая по формуле (4):
9хг = Цтас ~ Л-| (4)
где ЛТАС - эталонное значение линии поглощение ТАС-1 в соответствии со свидетельством о поверке, нм.
0Л2 - составляющая неисключенной систематической погрешности, определяемая погрешностью ТАС-1, составляющая 0,05 нм.
-
9.4.1.8 Доверительные границы абсолютной погрешности результата измерений линии поглощения меры волновых чисел ТАС-1 определить по формуле (5):
А* = (5)
где - среднее квадратическое отклонение суммы случайных и неисключенных систематических погрешностей измерений полос поглощения, нм, определяемое по формуле (6):
Sxz = + $2W (6)
Ki - коэффициент, зависящий от соотношения случайной и неисключенной систематической погрешностей результата измерений полос поглощения, рассчитываемый по формуле (7):
|
iz _ £Л+^Л1 КЛ ~ (') |
где £> - случайная погрешность измерений (без учета знака), определяемая по
|
формуле (8): |
еЛ = t • 5(Л) (8) |
где I - коэффициент Стьюдента, который для доверительной вероятности Р = 0,95 и числа измерений п = 5 в соответствии с ГОСТ Р 8.736-2011 составляет 2,776.
-
9.4.1.9 Повторить расчеты по п.п. 9.4.1.5 - 9.4.1.8 для всех линий меры волновых чисел ТАС-1.
-
9.4.1.10 Принять за результат измерений доверительных границ абсолютной
погрешности установки длины волны максимальное значение для всех полос поглощения меры волновых чисел ТАС-1.
-
9.4.1.11 Спектрофотометр считается прошедшим операцию поверки, если доверительные границы абсолютной погрешности установки длины волны не превышают значений, указанных в таблице 5 для соответствующей модели спектрофотометра.
Таблица 5 - Доверительные границы абсолютной погрешности установки длины
волны
|
Модель спектрофотометра |
Доверительные границы абсолютной погрешности установки длины волны в диапазоне от 200 до 900 нм, нм |
|
Lambda 650 |
±0,15 |
|
Lambda 850 |
±0,08 |
-
9.4.2.1 Воспроизводимость установки длины волны определить по значениям среднего квадратичного отклонения для каждой линии поглощения ТАС-1, вычисленного в п. 9.4.1.6 по формуле (2).
-
9.4.2.2 За результат воспроизводимости установки длины волны принять максимальное значение для всех полос поглощения меры волновых чисел ТАС-1.
-
9.4.2.3 Спектрофотометр считается прошедшим операцию поверки, если воспроизводимость установки длины волны не превышает значений, указанных в таблице 6 для соответствующей модели спектрофотометра.
Таблица 6 - Допускаемые значения воспроизводимости установки длины волны
|
Модель спектрофотометра |
Допускаемые значения воспроизводимости установки длины волны в диапазоне от 200 до 900 нм, нм, не более |
|
Lambda 650 |
0,06 |
|
Lambda 850 |
0,02 |
-
9.4.3.1 Определение абсолютной погрешности измерения оптической плотности (по фильтру с оптической плотностью 1 Б) проводят с помощью нейтрального светофильтра №5, входящего в набор мер КНФ-1М.
-
9.4.3.2 Установить в соответствии с Техническим руководством спектрофотометра режим сканирования СКНП Т%.
-
9.4.3.3 Провести коррекцию базовой линии 100% пропускания (Т%) в соответствии с Техническим руководством спектрофотометра.
-
9.4.3.4 Установить в кюветное отделение спектрофотометра нейтральный светофильтр №5 из набора мер КНФ-1М и провести измерения СКНП в диапазоне длин волн от 400 до 780 нм с шагом 10 нм.
-
9.4.3.5 Повторить измерения 10 раз.
-
9.4.3.6 Рассчитать среднее арифметическое значение СКНП для каждой длины волны по формуле (9):
Т-(Л) =
(9)
где Tj(A) - результат измерений спектрального коэффициента направленного пропускания для каждой длины волны, измеренный в п. 9.4.3.4;
п - количество измерений, равное 10.
-
9.4.3.7 Рассчитать среднее квадратичное отклонение результатов измерений СКНП для каждой длины волны по формуле (10):
n(n-l)
(Ю)
-
9.4.3.8 Определить границы неисключенной систематической погрешности результата измерений СКНП для каждой длины волны по формуле (11):


(И)
где к - коэффициент равный 1,1;
0Т1 — составляющая неисключенной систематической погрешности, определяемая
по формуле (1)2:
(12)
где тэт - эталонное значение СКНП для каждой длины волны, приведенное в паспорте набора мер КНФ-1М.
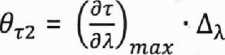
0т2 - составляющая неисключенной систематической погрешности, определяемая погрешностью установки длины волны, определяема по формуле (1)3.

(13)
где

max
максимальная крутизна характеристики спектрального
коэффициента направленного пропускания светофильтра № 5 из состава набора мер КНФ-1М, составляющая 0,001 нм'1;
Дх - доверительных границ абсолютной погрешности установки длины волны, рассчитанные в п. 9.4.1.
0т3 - составляющая неисключенной систематической погрешности, определяемая погрешностью Государственного первичного эталона единиц спектральных коэффициентов направленного пропускания, диффузного и зеркального отражений в диапазоне длин волн от 0,2 до 20,0 мкм ГЭТ 156-2015, указанной в его паспорте.
9.4.3.9 Доверительные границы абсолютной погрешности результата измерений СКНП для каждой длины волны определить по формуле (14):
(14)
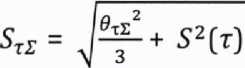
где StZ - среднее квадратическое отклонение суммы случайных и неисключенных систематических погрешностей измерений СКНП, определяемое по формуле (15):

(15)
Кт - коэффициент, зависящий от соотношения случайной и неисключенной систематической погрешностей результата измерений СКНП, рассчитываемый по
|
формуле (16): |
Кт = '<16> ЭД+ £ |
где £т - случайная погрешность измерений (без учета знака), определяемая по формуле (17):
-
9.4.3.10 Рассчитать доверительные границы абсолютной погрешности измерения оптической плотности на всех длинах волн по формуле (18):
-
9.4.3.11 За результат измерений доверительных границ абсолютной погрешности измерений оптической плотности принять максимальное значение для всего диапазона длин волн.
-
9.4.3.12 Спектрофотометр считается прошедшим операцию поверки, если доверительные границы абсолютной погрешности измерения оптической плотности, Б (по фильтру с оптической плотностью 1 Б), не превышают значений, указанных в таблице 7 для соответствующей модели спектрофотометра.
Таблица 7 - Допускаемые значения доверительных границ абсолютной погрешности измерения оптической плотности (по фильтру с оптической плотностью 1Б)
|
Модель спектрофотометра |
Допускаемые значения доверительных границ абсолютной погрешности измерения оптической плотности в диапазоне длин волн от 400 до 780 нм (по фильтру с оптической плотностью 1 Б), Б |
|
Lambda 650 |
± 0,003 |
|
Lambda 850 |
± 0,003 |
-
9.4.4.1 Рассчитать 10 значений спектральной оптической плотности для каждой длины волны по формуле (19):
-
9.4.4.2 Рассчитать среднее значение оптической плотности для каждой длины волны по формуле (20):
5(А)=^"Д(А) (20)
-
9.4.4.3 Рассчитать воспроизводимость измерений спектральной оптической плотности по формуле (21):

2?=1(ад-щл))2
п(п-1) 1 J
-
9.4.4.4 За результат измерений воспроизводимости измерений оптической плотности принять максимальное значение во всем диапазоне длин волн.
-
9.4.4.5 Спектрофотометр считается прошедшим операцию поверки, если воспроизводимость измерений оптической плотности (по фильтру с оптической плотностью 1 Б), не превышает значений, указанных в таблице 8 для соответствующей модели спектрофотометра.
Таблица 8 - Воспроизводимость измерений оптической плотности (по фильтру с
оптической плотностью I Б)
|
Модель спектрофотометра |
Воспроизводимость измерений оптической плотности в диапазоне длин волн от 400 до 780 нм (по фильтру с оптической плотностью 1 Б), Б |
|
Lambda 650 |
0,0008 |
|
Lambda 850 |
0,00016 |
-
10.1 Результаты поверки заносятся в протокол (приложение А).
-
10.2 Рефлектометр, прошедший поверку с положительным результатом, признаётся годным и допускается к применению. На него выдаётся свидетельство о поверке установленной формы и наносят знак поверки (место нанесения указано в описании типа) согласно Приказу Министерства промышленности и торговли Российской Федерации №1815 от 02.07.2015 г. «Об утверждении Порядка проведения поверки средств измерений, требования к знаку поверки и содержанию свидетельства о поверке», и спектрофотометр допускают к эксплуатации.
-
10.2 При отрицательных результатах поверки спектрофотометр признаётся негодным, не допускается к применению. Свидетельство о предыдущей поверке и знак поверки аннулируют и выписывают «Извещение о непригодности» с указанием причин в соответствии с требованиями Приказа Министерства промышленности и торговли Российской Федерации №1815 от 02.07.2015 г.

С.П. Морозова

А.А. Ерикова
Начальник лаборатории М-4-3
ФГУП «ВНИИОФИ»
Н.с. подразделения М-4
ФГУП «ВНИИОФИ»
ПРИЛОЖЕНИЕ А (Обязательное) к Методике поверки МП 004.М4-19 « ГСИ. Спектрофотометры прецизионные Lambda 650 и Lambda 850»
ПРОТОКОЛ № от
Поверки СИ
Общие данные о поверяемом средстве измерения: Наименование
Тип
Зав. №
Хранитель средства измерения
ИНН
Метрологические характеристики:
Единица
Размерность Спектральный диапазон
Условия измерений:
-
- температура окружающего воздуха, °C
-
- относительная влажность воздуха, %
-
- атмосферное давление, кПа
Результаты измерений.
-
1 Внешний осмотр:_____________________________
-
2 Опробование:_________________________________
-
3 Подтверждение соответствия._________________
4 Характеристики спектрофотометра прецизионного.
|
Характеристика |
Результат |
Требования методики поверки |
|
Пределы допускаемой абсолютной погрешности установки длины волны в диапазоне от 200 до 900 нм, нм | ||
|
Воспроизводимость установки длины волны в диапазоне от 200 до 900 нм, нм, не более | ||
|
Пределы допускаемой абсолютной погрешности измерений оптической плотности в диапазоне длин волн от 400 до 780 нм, Б | ||
|
Воспроизводимость измерений оптической плотности (при D = 1 Б) в диапазоне длин волн от 400 до 780 нм, Б, не более |
Поверка проведена с применением______________________________________
Поверено в соответствии с методикой поверки МП 004.М4-19 «ГСИ.
Спектрофотометры прецизионные Lambda 650 и Lambda 850. Методика поверки», утвержденной ФГУП «ВНИИОФИ» 13.02.2019 г.
По результатам поверки средство измерений признано соответствующим описанию утвержденного типа ГРСИ №_______________.
Поверку проводил____________________________
