Методика поверки «ГСИ Масс-спектрометры ЭМГ-40-3» (МП-242-2398-2020)
Федеральное государственное унитарное предприятие
«Всероссийский научно-исследовательский институт метрологии им. Д.И. Менделеева» ФГУП «ВНИИМ им.Д.И.Менделеева»
УТВЕРЖДАЮ ого директора енделеева»
Н.Пронин
|
70 £ |
/ ® |
/ 1 ' |
|
UJ > | 1— S <£ » ю 1 |
о 1 |
* ' X 1 / | -* 1 3 1 ан/ В § 1 \п.-нА\ О^но |
ря 2020 г.
Государственная система обеспечения единства измерений
Масс-спектрометры ЭМ Г-40-3
Методика поверки
МП-242-2398-2020
И.о. руководителе отдела государственных
эталонов в области физ»0со-е*>мических измерений ФГУП «ВН им; Д.И. Менделеева» I

А.В.Колобова

г. Санкт-Петербург
2020 г.
Настоящая методика поверки распространяется на масс-спектрометры ЭМГ-40-3 и устанавливает методы и средства их первичной поверки (до ввода в эксплуатацию или после ремонта) и периодической поверки в процессе эксплуатации.
1. Операции поверки-
1.1 При проведении поверки должны выполняться операции, указанные в табл.1.
Таблица 1- Операции поверки
|
N п/п |
Наименование операций |
Номер пункта методики |
Обязательность Проведения | |
|
при вводе в эксплуатацию |
при эксплуатации и после ремонта | |||
|
1. |
Подготовка к поверке |
5 |
да |
да |
|
2. |
Внешний осмотр и опробование |
6.1 |
да |
да |
|
3. |
Проверка соответствия ПО |
6.2 |
да |
да |
|
4. |
Определение метрологических характеристик. |
6.3 |
да |
дап |
-
2.1. При проведении поверки используются следующие средства:
- стандартные образцы - поверочные газовые смеси:
—СО состава искусственной газовой смеси на основе инертных и постоянных газов (ИП-М-1) ГСО 10531-2014 гелий/воздух с объемной долей гелия от 92 до 95 %; относительная погрешность не более ±2,0 % (далее по тексту - ПГС №1);
—СО состава искусственной газовой смеси на основе инертных и постоянных газов (ИП-М-1) ГСО 10531-2014 гелий/воздух с объемной долей гелия от 0,008 до 0,015%; относительная погрешность не более ±5,0 % (далее по тексту - ПГС №2);
—СО состава искусственной газовой смеси на основе инертных и постоянных газов (ИП-М-1) ГСО 10531-2014 гелий/воздух с объемной долей гелия от 0,5 до 1,5%; относительная погрешность не более ±5,0 % (далее по тексту - ПГС №3);
—СО состава искусственной газовой смеси на основе инертных и постоянных газов (ИП-М-1) ГСО 10531-2014 водород/воздух с объемной долей водорода от 0,6 до 1,2 %; относительная погрешность не более ±5,0 % (далее по тексту - ПГС №4).
- термогигрометр электронный или гигрометр психрометрический, зарегистрированные в Федеральном фонде по обеспечению единства измерений (например, ФИФ №22129-09; ФИФ № 69566-17 или аналогичные).
Средства измерений, используемые при поверке, должны иметь действующие свидетельства о поверке, а стандартные образцы - действующие паспорта.
-
2.2. Допускается применение аналогичных средств поверки, обеспечивающих определение метрологических характеристик поверяемых масс-спектрометров с требуемой точностью.
-
3.1. К проведению поверки допускаются лица, имеющие техническое образование, изучившие Руководство по эксплуатации масс-спектрометра и методику поверки и имеющие удостоверение поверителя.
-
3.2 Для получения данных, необходимых для поверки, допускается участие в поверке оператора, обслуживающего масс-спектрометр или сервис-инженера (под контролем поверителя).
При проведении поверки должны быть соблюдены следующие условия:
-
4.1. Температура окружающего воздуха от +15 до +30 °C.
-
4.2. Относительная влажность окружающего воздуха не более 80%.
-
5.1. Перед проведением поверки должны быть выполнены следующие подготовительные работы:
-
- включить масс-спектрометр и прогревать его не менее 2-х часов (п.3.2.3. Руководства по эксплуатации масс-спектрометра);
-
- провести предварительные настройки масс-спектрометра (п. 3.2.4. Руководства по эксплуатации масс-спектрометра).
-
6.1. Внешний осмотр и опробование
-
6.1.1. При проведении внешнего осмотра должно быть установлено:
-
- отсутствие механических повреждений корпуса;
-
- четкость маркировки и написания заводского номера
-
6.1.2. Опробование (самотестирование прибора) проводится в автоматическом режиме после включения питания. Масс-спектрометр считается прошедшим опробование, если после включения питания на дисплее появляется стартовое окно программы управления прибором и отсутствуют сообщения об ошибках.
-
6.2. Подтверждение соответствия программного обеспечения
6.2.1. Определение номера версии встроенного программного обеспечения.
6.2.1.1. Версия встроенного ПО отображается в верхней строке главного окна (рисунок
Компр! КЕЯ Компр2 КЕЯ
AR

Имя
п(Ю
6<N>
NF
NFM
NKU
NKU/SL
п<С>
6<С>
N28
0.00000
0.00000
0.00000
0.00000
0.00000
0.00000
0.00000
0.00000
0.00000
0.00000
0.00000
0.00000
0.00000
0.00000
0.00000
0.00000
Аг
0.00000
0.00000
0.00000
0.00000
0.00000
0.00000
0.00000
0.00000
СО2
0.00000
0.00000
0.00000
0.00000
0.00000
0.00000
0.00000
0.00000
0.00000
0.00000
0.00000
0.00000
0.00000
0.00000
0.00000
0.00000
0.00000
0.00000
0.00000
0.00000
0.00000
0.00000
0.00000
0.00000
Н20
0.00000
0.00000
0.00000
0.00000
0.00000
0.00000
0.00000
0.00000
032 апО
0.00000
0.00000
0.00000
0.00000
0.00000
0.00000
0.00000
0.00000
0.00000
0.00000
0.00000
0.00000
0.00000
0.00000
0.00000
0.00000
г!
F2
гЗ
гч
ГЪ
гъ
г/
re
связь
КАЛИБРОВКИ
ИСТОЧНИКИ НАСТРОЙКИ ПИТАНИЯ
СИСТЕМА регистр.
Рисунок 1 - Окно с идентификационными данными встроенного ПО MG24
-
6.2.2. Определение номера версии встроенного автономного программного обеспечения.
-
6.2.2.1. Версия встроенного ПО отображается в верхней строке главного окна (рисунок

Рисунок 2 - Окно с идентификационными данными автономного ПО Control Stat ion.
-
6.2.3. Масс-спектрометр считается выдержавшим проверку по п. 6.2, если номер версии встроенного ПО не ниже 2.30f, а номер версии автономного ПО не ниже 3.023.
-
6.3.1. Определение разрешающей способности
-
6.3.1.1. Присоединить газовую линию от баллона с газовой смесью ПГС № 1 к входному штуцеру масс-спектрометра, давление газовой смеси на выходе редуктора должно находится в пределах от 100 до 200 кПа (от 1,0 до 2,0 атм.).
-
6.3.1.2. С помощью ротаметра отрегулировать расход газовой смеси, который должен находится в пределах от 0,1 до 0,5 л/мин.
Рабочее давление камеры масс-анализатора должно быть от 3* 10'8 до 4* 10‘8 кПа (от 3x10'7 до 4x10'7 mbar).
Напряжение на МКП подбирается такое, чтобы амплитуда пакета ионов 4Не была в интервале (1,0±0,05) В.
-
6.3.1.3. Провести запись масс-спектра в окрестностях линии 4Не. Пример масс- спектра приведен на рисунке 1.
Тек _П_ DWd М Pos: 12.44jus СОХР/ВОССТ
♦ Действие
М 2.50п$
Текущая ваша: A:\SPECTOR\
Внеш. / 1.07V
Рисунок I- Масс-спектр линии 4Не
-
6.3.1.4. Рассчитать разрешающую (/?л/) способность на уровне 10 % максимальной интенсивности линии (сигнала) по следующей формуле (1):
рл/= Л//ДМ =//2Д/ (1)
где t - время регистрации пакета ионов массой Л/, относительно переднего фронта _П_ 800В;
Д/ - ширина пика на уровне 10 % от величины максимальной интенсивности сигнала;
На Рис.1:
По горизонтальной оси X - время t (ns). Большая клетка соответствует интервалу 2,5ns.
По вертикальной оси Y - напряжение U (V). Большая клетка соответствует интервалу 200mV.
Осциллограф работает в режиме внешнего запуска («Внеш, п») от импульса запуска, формируемого в модуле обработки спектра (МОС). Импульс запуска совпадает по времени с передним фронтом выталкивающего импульса (_п_800В). Амплитуда сигнала 4Не - 1,07V.
Регулировками осциллографа импульс 4Не выставляется так, чтобы средняя вертикальная ось экрана осциллографа совпадала с серединой импульса 4 Не. При этом время задержки пакета ионов 4 Не от импульса запуска осциллографа (переднего фронта выталкивающего импульса)” t” указано в верхней строке и обозначено М Pos.
На данном рисунке, соответственно Д/=7,5 нс (3x2,5 нс), М Pos= 12,44 мкс.
В окне «Расстановка стробов» программы MG24 в графе «Задержка» отображается время задержки пакета ионов 4 Не от импульса запуска осциллографа (переднего фронта выталкивающего импульса) «t».
-
6.3.1.5. Масс-спектрометр считается выдержавшим проверку по п.6.3.1, если значение разрешающей способности не менее 600.
-
6.3.1.6. После определения разрешающей способности (п.6.3.1) произвести изменение параметров прибора:
-рабочее давление камеры масс-анализатора должно быть от Зх 10'7 до 4х 10'7 кПа (от 3*1 О'6 до 4*10'6)мбар.
-напряжение на МКП устанавливается на 200В больше, чем в п.6.3.1.2.
-включить импульсы подавления и настроить их на массы 14,28,32.
После изменения параметров прибора открыть натекатель и 2 часа осуществлять прогон прибора. Затем выполнить определение остальных метрологических характеристик (пп.6.3.2. -6.3.4).
-
6.3.2. Определение предела обнаружения
-
6.3.2.1. Определение СКО интенсивности фонового сигнала.
-
6.3.2.1.1. Присоединить газовую линию от баллона со смесью водород/воздух (ПГС 4) к входному штуцеру масс-спектрометра, давление газовой смеси на выходе редуктора должно
находится в пределах от 100 до 200 кПа (от 1,0 до 2,0 атм.).
С помощью ротаметра отрегулировать расход газовой смеси, который должен находится в пределах от 0,1 до 0,5 л/мин.
-
6.3.2.1.2 Измерить интенсивность фона на месте линии гелия (M/z = 4). Записать файл данных измеренных значений фона в текстовом формате (время измерений/сигнал компонента) в специально заданную директорию программы управляющего компьютера «Control Station». Из файла взять 10 значений фона (столбец N4) с интервалом не менее 1 мин и перейти к пункту
-
6.3.2.1.3.методики поверки.
-
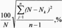
6.3.2.1.3 По данным, полученным в п. 4.3.1.2 рассчитать СКО интенсивности фонового сигнала (S^a) по формуле:

(2)
N-среднее арифметическое результатов п- измерений интенсивности фона;
N* - k-е значение результата измерений;
п - число измерений.
Для расчета СКО может быть использовано программное обеспечение масс-спектрометра или электронные таблицы EXCEL.
-
6.3.2.2. Определение интенсивности линии гелия.
-
6.3.2.2.1. Присоединить газовую линию от баллона с газовой смесью гелий/воздух (ПГС 2) к входному штуцеру масс-спектрометра, давление газовой смеси на выходе редуктора должно находится в пределах от 100 до 200 кПа (от 1,0 до 2,0 атм.).
С помощью ротаметра отрегулировать расход газовой смеси, который должен находится в пределах от 0,1 до 0,5 л/мин.
-
6.3.2.2.2. До начала измерений контролировать ход процесса по диаграмме газового анализа, отображаемой на мониторе управляющего компьютера. Зафиксировать время выхода сигнала гелия от нулевого значения на постоянной уровень, что соответствует окончанию процесса промывки системы ввода пробы масс-спектрометра.
-
6.3.2.2.3. Измерить интенсивность линии гелия (M/z = 4). Записать файл данных измеренных значений сигнала в текстовом формате (время измерений/сигнал компонента) в специально заданную директорию программы управляющего компьютера «Control Station». Из файла взять 10 значений сигнала гелия (столбец N4) с интервалом не менее 1 мин, рассчитать по ним среднее арифметическое значение и перейти к пункту 6.3.2.2.4. методики поверки.
-
6.3.2.2.4. Рассчитать предел обнаружения по формуле:

(3)
где: 8фона- стандартное отклонение интенсивности фона;
С пробы- объемная доля гелия, %; Nnpo6bT интенсивность сигнала на линии гелия (среднее по 10 измерениям); N-интенсивность сигнала фона (среднее по 10 измерениям);
Для расчета предела обнаружения используются электронные таблицы EXCEL.
6.3.2.5. Масс-спектрометр считается выдержавшим испытание по 6.3.2 , если значение предела обнаружения объемной доли гелия не более 1х10'2 %.
-
6.3.3. Определение относительного СКО выходного сигнала.
-
6.3.3.1. Определение СКО выходного сигнала масс-спектрометра проводят в следующем порядке:
а) присоединить газовую линию от баллона с газовой смесью гелий/воздух (ПГС 3) к входному штуцеру масс-спектрометра, давление газовой смеси на выходе редуктора должно находится в пределах от 100 до 200 кПа (от 1,0 до 2,0 атм.).
б) с помощью ротаметра отрегулировать расход газовой смеси, который должен находится в пределах от 0,1 до 0,5 л/мин.
в) до начала измерений контролировать ход процесса по диаграмме газового анализа, отображаемой на мониторе управляющего компьютера. Зафиксировать время выхода сигнала гелия от нулевого значения на постоянной уровень, что соответствует окончанию процесса промывки системы ввода пробы масс-спектрометра.
г) Измерить интенсивность линии гелия (M/z = 4). Записать файл данных измеренных значений сигнала в текстовом формате (время измерений/сигнал компонента) в специально заданную директорию программы управляющего компьютера «Control Station». Из файла взять 10 значений сигнала гелия (столбец N4) с интервалом не менее 1 мин, рассчитать по ним среднее арифметическое значение и перейти к пункту 6.3.3.2. методики поверки.
-
6.3.3.2. Используя данные этих измерений, рассчитать относительное СКО выходного сигнала по формуле:

(4)
1 "
где: N = —YNk - среднее арифметическое результатов п-измерений;
N к - k-е значение результата измерений;
Для расчета СКО может быть использовано программное обеспечение масс-спектрометра или электронные таблицы EXCEL.
-
6.3.3.3. Масс-спектрометр считают выдержавшим проверку , если значение относительного СКО выходного сигнала не превышает 5,0 %.
-
6.3.4. Определение относительного изменения выходного сигнала за 4 часа непрерывной работы
-
6.3.4.1. Определение относительного изменения выходного сигнала масс-спектрометра выполняется при подаче на вход прибора поверочной газовой смеси - гелий/воздух (ПГС № 3).
Выполняются измерения в течение 4 часов в автоматическом режиме с архивированием данных в электронном протоколе с помощью управляющего компьютера масс-спектрометра.
При проведении измерений контролируют ход процесса по диаграмме газового анализа, отображаемой на мониторе управляющего компьютера. Фиксируют время выхода сигнала гелия от нулевого значения на постоянной уровень, что соответствует окончанию процесса промывки системы ввода пробы масс-спектрометра. Данное время соответствует началу непрерывных измерений в течение 4 часов.
-
6.3.4.2. После выполнения измерений открыть соответствующий записанный файл газового анализа в редакторе электронных таблиц Exell. Рассчитать средние значения интенсивности выходного сигнала на линии гелия для первых десяти (/st) и последних десяти измерений (/end)- Определить относительное изменение выходного сигнала масс-спектрометра, выраженное в процентах, определяют по формуле:

(5)
-
6.3.4.3. Масс-спектрометр считается прошедшим поверку, если относительное изменение выходного сигнала масс-спектрометра на линии гелия (Не) не превышает ±10 %.
-
7.1. Данные, полученные при поверке, оформляются в форме протокола в соответствии с требованиями, установленными в организации, проводящей поверку.
-
7.2. Спектрометр, удовлетворяющий требованиям настоящей методики поверки, признается годным и на него оформляется свидетельство о поверке по установленной форме.
На оборотной стороне свидетельства приводится следующая информация:
-результаты опробования и внешнего осмотра;
-результаты определения метрологических характеристик.
-
7.3. Спектрометр, не удовлетворяющий требованиям настоящей методики, к дальнейшей эксплуатации не допускается и на него выдается извещение о непригодности.
-
7.4. Знак поверки наносится на лицевую панель спектрометра (в левый нижний угол) и (или) на свидетельство о поверке.
8
