Методика поверки «ГСИ. СПЕКТРОФОТОМЕТРЫ СПЕКС ССП» (МП 113-223-2013 (с изменением №1))
ФЕДЕРАЛЬНОЕ ГОСУДАРСТВЕННОЕ УНИТАРНОЕ ПРЕДПРИЯТИЕ
«УРАЛЬСКИЙ НАУЧНО-ИССЛЕДОВАТЕЛЬСКИЙ ИНСТИТУТ МЕТРОЛОГИИ» (ФГУП УНИИМ»)
ФЕДЕРАЛЬНОГО АГЕНТСТВА ПО ТЕХНИЧЕСКОМУ РЕГУЛИРОВАНИЮ И МЕТРОЛОГИИ

ГОСУДАРСТВЕННАЯ СИСТЕМА ОБЕСПЕЧЕНИЯ ЕДИНСТВА ИЗМЕРЕНИЙ
СПЕКТРОФОТОМЕТРЫ СПЕКС ССПМЕТОДИКА ПОВЕРКИ
МП 113-223-2013
(с изменением № 1)
Екатеринбург
2019
Предисловие
-
1 РАЗРАБОТАНА
ФГУП «Уральский научно-исследовательский институт метрологии» (ФГУП УНИИМ»)
-
2 ИСПОЛНИТЕЛИ
Терентьев Г.И., Ким Н.А.
-
3 ПОДГОТОВЛЕНА К УТВЕРЖДЕНИЮ
Лабораторией физических и химических методов метрологической аттестации стандартных образцов ФГУП «УНИИМ »
-
4 УТВЕРЖДЕНА
ФГУП «УНИИМ» 30.05.2014 г.
Изменение №1 утверждено ФГУП «УНИИМ» .06.2019 г.
-
5 ЗАРЕГИСТРИРОВАНА
ФГУП «УНИИМ» 2013 г.
-
6 ВЗАМЕН МП 113-223-2013 от 30.05.2014 г.
Содержание
Приложение А (рекомендуемое). Форма протокола поверки
Государственная система обеспечения единства измерений Спектрофотометры СПЕКС ССП Методика поверки МП 113-223-2013 (с изменением № 1)
1 Область примененияНастоящая методика распространяется на спектрофотометры СПЕКС ССП модификаций 310, 705, 715 (далее - спектрофотометры СПЕКС ССП), предназначенные для измерения спектрального коэффициента направленного пропускания и оптической плотности твердых и жидких проб различного происхождения в ультрафиолетовом, видимом и ближнем инфракрасном диапазонах спектра.
Настоящая методика устанавливает методы и средства первичной и периодической поверок спектрофотометров СПЕКС ССП.
Интервал между поверками - один год.
Периодическую поверку спектрофотометров СПЕКС ССП, используемых для измерений в определенном спектральном диапазоне (если в работе используется не весь спектральный диапазон), допускается проводить поверку только в этом рабочем спектральном диапазоне на основании письменного заявления владельца средства измерений. Соответствующая запись должна быть сделана в свидетельстве о поверке.
Раздел 1 (Измененная редакция, Изм. № 1)
2 Нормативные ссылкиВ настоящей методике использованы ссылки на следующие нормативные документы и нормативные правовые акты:
ГОСТ 8.395-80 ГСИ. Нормальные условия измерений при поверке. Общие требования
ГОСТ 12.3.019-80 Испытания и измерения электрические. Общие требования безопасности
Приказ Минпромторга России от 02 июля 2015 г. № 1815 «Об утверждении Порядка проведения поверки средств измерений, требования к знаку поверки и содержанию свидетельства о поверке» (с учетом Приказа Минпромторга РФ от 28 декабря 2018 г. № 5329 «О внесении изменений в приказ Минпромторга РФ от 2 июля 2015 г. № 1815»)
Приказ Министерства труда и социальной защиты РФ от 24 июля 2013 г. № 328н «Об утверждении правил по охране труда при эксплуатации электроустановок»
Примечание - При пользовании настоящим документом целесообразно проверить действие ссылочных документов по соответствующему указателю стандартов, составленному по состоянию на 1 января текущего года, и по соответствующим информационным указателям, опубликованным в текущем году. Если ссылочный документ заменен (изменен), то при пользовании настоящим документом следует руководствоваться замененным (измененным) стандартом. Если ссылочный документ отменен без замены, то положение, в котором дана ссылка на него, применяется в части, не затрагивающей эту ссылку.
Раздел 2 (Измененная редакция, Изм. № 1)
3 Операции поверки-
3.1 При проведении поверки спектрофотометров СПЕКС ССП выполняют операции, указанные в таблице 1.
-
3.2 При получении отрицательных результатов при проведении любой из операций, указанных в таблице 1, поверку прекращают и признают спектрофотометр СПЕКС ССП непригодным к применению.
Таблица 1- Операции поверки
Наименование операции |
Номер пункта НД по поверке |
Проведение операции при | |
первичной поверке |
периодической поверке | ||
Внешний осмотр |
8.1 |
Да |
Да |
Опробование |
8.4 |
Да |
Да |
Проверка абсолютной погрешности измерений спектрального коэффициента направленного пропускания |
8.5 |
Да |
Да |
Проверка абсолютной погрешности измерений длины волны |
8.7 |
Да |
Да |
Таблица 1 (Измененная редакция, Изм. № 1)
4 Средства поверки-
4.1 При проведении поверки спектрофотометров СПЕКС ССП применяют следующие средства поверки:
-
4.1.1 Рабочий эталон единиц спектральных коэффициентов направленного пропускания (СКИП) в диапазоне значений от 0,002 до 0,94 абс. ед., оптической плотности в диапазоне значений от 0,03 до 2,70 Б, длин волн максимумов полос спектра поглощения в диапазоне значений от 0,26 до 2,7 мкм по ГОСТ 8.557-2007 (Комплект светофильтров КНС-10.5, регистрационный номер в ФИФ ОЕИ 43463-09, рабочий диапазон: длин волн от 260 до 2700 нм, пределы допускаемой абсолютной погрешности измерения СКНП в зависимости от номера светофильтра в комплекте: ±0,25 % (светофильтры 1±4), ±0,2 % (светофильтры 5±8), ±0,5 % (светофильтры 1,9, 10, 11, 12); пределы допускаемой абсолютной погрешности измерения длин волн максимумов полос поглощения для светофильтра ПС7 ±0,5 нм; для светофильтра НГГ: ±0,05 нм в диапазоне от 260 до 850 нм, ±0,3 нм в диапазоне от 850 до 2700 нм).
-
-
4.1.1 (Измененная редакция, Изм. № 1)
-
4.1.2 - 4.1.6 (Исключены, Изм. № 1)
-
4.2 Средства измерений для контроля условий поверки:
-
4.2.1 Термогигрометр ИВА-6А-КП-Д (per. № 46434-11), диапазон измерений относительной влажности (0-98) %, ПГ ±2 %; диапазон измерений температуры (0-60) °C, ПГ ±0,3 °C; диапазон измерений атмосферного давления (70-110) кПа, ПГ ±0,25 кПа.
-
-
4.2 (Введен дополнительно, Изм. № 1)
Примечание - Допускается применение других средств поверки, обеспечивающих определение метрологических характеристик поверяемого средства измерений с требуемой точностью.
5 Требования безопасностиПри проведении поверки спектрофотометров СПЕКС ССП соблюдают требования безопасности электрических испытаний и измерений согласно ГОСТ 12.3.019, требования Приказа Министерства труда и социальной защиты РФ от 24 июля 2013 г. № 328н «Об утверждении правил по охране труда при эксплуатации электроустановок», а также указания, изложенные в «Руководстве по эксплуатации» поверяемого спектрофотометра СПЕКС ССП.
Раздел 5 (Измененная редакция, Изм. № 1)
6 Требования к квалификации поверителейК поверке спектрофотометров СПЕКС ССП допускаются лица, изучившие «Руководство по эксплуатации» поверяемого средства измерений (СИ), правила техники безопасности при работе с ним, настоящую методику поверки и работающие в организации, аккредитованной направо поверки СИ оптико-физических измерений.
7 Условия поверки и подготовка к ней-
7.1 Поверку спектрофотометров СПЕКС ССП согласно ГОСТ 8.395 проводят при следующих условиях:
-
- температура окружающей среды, °C 20±5;
-
- относительная влажность воздуха, % от 30 до 80;
-
- атмосферное давление, кПа от 84 до 106.
-
7.2 Перед проведением поверки проверяют наличие эксплуатационной документации поверяемого средства измерений («Руководство по эксплуатации», «Паспорт», «Руководство пользователя программного обеспечения») и готовят его к работе согласно требованиям этой документации.
-
7.3 Поверяемый спектрофотометр СПЕКС ССП перед включением в сеть должен быть заземлен. Сопротивление контура заземления не более 4 Ом.
-
7.4 Источники теплового излучения должны находиться на расстоянии не менее 1,5 м от поверяемого средства измерений. Следует избегать прямого освещения поверяемого спектрофотометра СПЕКС ССП солнечным светом.
-
7.5 Если перед проведением поверки спектрофотометр СПЕКС ССП находился в климатических условиях, отличающихся от нормальных, его необходимо выдержать в помещении, где проводится поверка при нормальных условиях не менее 8 часов.
-
7.6 Поверяемый спектрофотометр СПЕКС ССП должен быть включен не позднее, чем за 20 мин до начала измерений.
-
7.7 Светофильтры, используемые при поверке, должны быть подготовлены к измерениям, их рабочие поверхности не должны иметь следов жира, пыли, ворсинок и прочих загрязнений.
-
8 Проведение поверки
При внешнем осмотре поверяемого спектрофотометра СПЕКС ССП устанавливают:
-
- соответствие комплектности (без запасных частей) и внешнего вида требованиям эксплуатационной документации;
-
- отсутствие повреждений, дефектов покрытий и неисправностей соединительных элементов, влияющих на работоспособность спектрофотометра СПЕКС ССП;
-
- наличие четкой маркировки, подтверждающей тип, модификацию и заводской номер поверяемого спектрофотометра СПЕКС ССП;
-
- наличие четких надписей на органах управления и их соответствие требованиям эксплуатационной документации.
При обнаружении какого-либо несоответствия поверку не проводят.
-
8.2 (Исключен, Изм. Ле 1)
-
8.3 Исключен, Изм. Ле 1)
Процедура опробования включает в себя проверку работоспособности (п. 8.4.1) и проверку идентификационных данных программного обеспечения (п. 8.4.2) поверяемого спектрофотометра СПЕКС ССП.
Примечание - Проверку идентификационных данных программного обеспечения проводят только в том случае, если прикладная программа УФ-ВИД СПЕКС входит в комплект поставки спектрофотометра СПЕКС ССП.
-
8.4.1 Включают спектрофотометр СПЕКС ССП как указано в «Руководстве по эксплуатации». Проверяют, что все режимы работы, а также параметры, соответствующие заданному режиму, высвечиваются на встроенном дисплее спектрофотометра СПЕКС ССП. Выбор необходимого режима измерений, а также выполнение команд, производят в соответствии «Руководством по эксплуатации».
-
8.4.2 Проводят проверку идентификационных данных программного обеспечения (ПО) поверяемого спектрофотометра СПЕКС ССП.
Проверку идентификационных данных программного обеспечения (ПО) проводят при включении поверяемого спектрофотометра СПЕКС ССП с подключенным к нему через USB кабель персональным компьютером (ПК) путем запуска программы УФ-ВИД СПЕКС с рабочего стола ПК при помощи ярлыка и вывода на дисплей ПК идентификационного наименования и номера версии ПО. Идентификационное наименование и номер версии ПО поверяемого спектрофотометра СПЕКС ССП должны соответствовать приведенным в таблице 2. Цифровой идентификатор ПО поверяемого спектрофотометра СПЕКС ССП проверяют с помощью программы MD5 Hasher (программа находится в свободном доступе на сайте http://freesoft.ru). Для этого установочную папку программы УФ-ВИД СПЕКС открывают через окно «Обзор» программы MD5 Hasher. Вычисленный цифровой идентификатор ПО должен соответствовать указанному в таблице 2.
Таблица 2 - Идентификационные данные ПО спектрофотометров СПЕКС ССП
Идентификационное наименование программного обеспечения |
Номер версии (идентификацио нный номер) программного обеспечения |
Цифровой идентификатор программного обеспечения (контрольная сумма исполняемого кода) |
Алгоритм вычисления цифрового идентификатора программного обеспечения |
УФ-ВИД СПЕКС |
5.44 |
208D095692000644B 90F5C93B26F7ADA |
MD5 Hasher |
Абсолютную погрешность измерений спектрального коэффициента направленного пропускания поверяемого спектрофотометра СПЕКС ССП определяют с помощью комплекта светофильтров КНС-10.5, указанного в 4.1.1, в начале, середине и в конце спектрального диапазона измерений (рекомендуемые длины волн: 250 (только для модификаций 705, 715), 350, 500, 850, 1000 нм). Используют светофильтры, значения спектральных коэффициентов направленного пропускания которых соответствуют 90 %, 50 %, 5 %, 1 %, 0,5 % или имеют близкие к ним значения.
Устанавливают длину волны на спектрофотометре СПЕКС ССП, равную 350 нм. В кюветное отделение спектрофотометра СПЕКС ССП устанавливают светофильтр, значение спектрального коэффициента направленного пропускания которого соответствует 90 % или имеет близкое значение. Проводят не менее 5 измерений спектрального коэффициента направленного пропускания. Вычисляют среднее арифметическое значение спектрального коэффициента направленного пропускания (Тэоср) и разности между i-ым измеренным и действительным значением спектрального коэффициента направленного пропускания светофильтра, указанным в свидетельстве о поверке - Д,.да.:
ЕЛо/

Ас 901

1=1________
п
(О
(2)
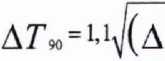
Из полученных разностей Д определяют наибольшую разность ДС90шщ( и вычисляют абсолютную погрешность измерений спектрального коэффициента направленного пропускания (ДТ90) по формуле

с90 max ) МЛ
(3)
где Трезультат i-ro измерения спектрального коэффициента пропускания светофильтра, %;
направленного
направленного
п - число измерений (п=5);
Т д ~ действительное значение спектрального коэффициента пропускания светофильтра, указанное в свидетельстве о поверке, %;
Д7Л - пределы допускаемой абсолютной погрешности измерений светофильтра, указанные в свидетельстве о поверке, %.
Измерения спектральных коэффициентов направленного пропускания и расчеты абсолютных погрешностей проводят по всем выше обозначенным светофильтрам из комплекта КНС-10.5 при всех рекомендованных выше длинах волн.
Считают, что спектрофотометр СПЕКС ССП выдержал поверку по 8.5, если абсолютная погрешность измерений спектрального коэффициента направленного пропускания не превышает допускаемых пределов во всем спектральном диапазоне, т.е. находится в интервале ±1,0 % (для спектральных диапазонов от 190 до 400 нм включительно и свыше 850 до 1100 нм включительно) и ±0,5 % (для спектрального диапазона свыше 400 до 850 нм включительно).
8.5 (Измененная редакция, Изм. № 1)
-
8.6 (Исключен, Изм. № 1)
Для проверки абсолютной погрешности измерений длины волны используют светофильтр НГГ из комплекта светофильтров КНС-10.5, аттестованный по длине волны максимумов полос спектра поглощения (Хтах) в ультрафиолетовом, видимом и ближнем инфракрасном диапазонах спектра. Для указанного светофильтра определяют значения не менее трех длин волн максимумов полос спектра поглощения из определенных для данного светофильтра, рекомендованы следующие длины волн максимумов полос спектра поглощения:
-
- (362±5) нм; (433±5) нм; (574±5) нм; (880±5) нм при спектральной ширине полосы пропускания 4 нм (для модификации 310);
-
- (293±5) нм; (433±5) нм; (880±5) нм при спектральной ширине полосы пропускания:
-
1,8 нм (для базовых модификаций 705, 715), 1 нм или 4 нм (для модификаций 705, 715 с учетом исполнения спектрофотометра и дополнительного индекса в обозначении «-Х»), 2 нм (для модификаций спектрофотометра учетом его исполнения и дополнительного индекса в обозначении «-М»).
Примечание - Действительные значения длин волн максимумов полос спектра поглощения светофильтра НГГ из комплекта светофильтров КНС-10.5 определяются для указанных пиков поглощения при поверке комплекта КНС-10.5. Длины волн максимумов полос спектра поглощения, проверяемые при поверке спектрофотометра СПЕКС ССП по п. 8.7, выбирают в зависимости от рабочего спектрального диапазона поверяемого спектрофотометра.
Светофильтр устанавливают в кюветное отделение спектрофотометра СПЕКС ССП перпендикулярно к направлению первичному световому потоку. На спектрофотометре устанавливают длину волны на 10 нм меньше паспортного значения Хтах светофильтра. Согласно «Руководству по эксплуатации» включают автоматический режим измерения спектра с шагом 0,1 нм и определяют максимальное значение спектрального коэффициента направленного пропускания и длину волны, для которой соответствует это максимальное значение. Операцию повторяют не менее 3 раз. Рассчитывают среднее арифметическое значение (Xicp) измеренной длины волны.
Абсолютную погрешность измерений длины волны для первого максимума поглощения светофильтра (Д/.|) рассчитывают по формуле

(4)
где
- действительное значение длины волны для максимума поглощения, нм,
указанное в свидетельстве о поверке или «Руководстве по эксплуатации» комплекта светофильтров КНС-10.5.
Измерения длины волны и расчеты погрешности проводят для остальных выше перечисленных максимумов поглощения светофильтра НГГ.
Считают, что спектрофотометр СПЕКС ССП выдержал поверку по 8.7, если полученные значения погрешности измерений длины волны не превышают допускаемых пределов, т.е. находятся в интервалах, указанных в таблице 3 для каждой модификации.
-
8.7 (Измененная редакция, Изм. № 1)
Таблица 3 - Пределы допускаемой погрешности измерений длины волны
Наименование характеристики |
Значение характеристики для модификации спектрофотометра СПЕКС ССП | ||
310 |
705 |
715 | |
Пределы допускаемой абсолютной погрешности измерений длины волны, нм |
±0,5 (во всем спектральном диапазоне от 320 до 1100 нм) |
±0,4 (в спектральном диапазоне от 190 до 850 нм включ.) ±0,5 (в спектральном диапазоне св. 850 до 1100 нм включ.) |
±0,3 (в спектральном диапазоне от 190 до 850 нм включ,) ±0,5 (в спектральном диапазоне св. 850 до 1100 нм включ,) |
-
9.1 Результаты поверки заносят в протокол поверки, форма которого приведена в рекомендуемом приложении А. Протокол поверки хранят до следующей поверки.
-
9.2 Положительные результаты поверки оформляют свидетельством о поверке в соответствии с «Порядком проведения поверки средств измерений, требования к знаку поверки и содержанию свидетельства о поверке», утвержденным Приказом Минпромторга России № 1815 от 02.07.2015 г. (с учетом Приказа Минпромторга РФ от 28 декабря 2018 г. № 5329 «О внесении изменений в приказ Минпромторга РФ от 2 июля 2015 г. № 1815»).
-
9.2 (Измененная редакция, Изм. № 1)
-
9.3 В случае отрицательных результатов поверки поверяемый спектрофотометр СПЕКС ССП признают непригодным к применению в сфере государственного регулирования обеспечения единства измерений и выписывают извещение о непригодности с указанием причин непригодности.
-
9.3 (Измененная редакция, Изм. № 1)
А.В. Собина
Н.А. Ким
Зав. лабораторией ФГУП «УНИИМ»
Ведущий инженер ФГУП «УНИИМ»
ПРИЛОЖЕНИЕ А
(рекомендуемое)
ФОРМА ПРОТОКОЛА ПОВЕРКИ
ПРОТОКОЛ ПОВЕРКИ №___
от «____»_______ 20__г.
Наименование и тип СИ______________________________________________________
Принадлежит_____________________________________________________________
Дата выпуска, зав. №________________________________
Изготовитель____________________________________________________________________
Регистрационный номер в ФИФ ОЕИ:_________________________________________
Проверка проведена в соответствии с документом МП 113-223-2013 с изменением № 1
«ГСИ. Спектрофотометры СПЕКС ССП. Методика поверки»
Средства поверки________________________________________________________________
Условия поверки:
-
- температура окружающей среды, °C
-
- атмосферное давление, кПа
-
- относительная влажность воздуха, %
РЕЗУЛЬТАТЫ ПОВЕРКИ
А.1 Внешний осмотр______________________________________________________
(соответствует, не соответствует)
А.2 Опробование______________________________________________________________
(результат опробования)
Идентификационные данные ПО спектрофотометра СПЕКС ССП соответствуют (не соответствуют) указанным в таблице 2.
Проверка по п. 8.4 методики поверки проведена с положительным (отрицательным) результатом.
А.З Проверка абсолютной погрешности измерений спектрального коэффициента направленного пропускания
Результаты проверки абсолютной погрешности измерений спектрального коэффициента направленного пропускания в соответствии с п. 8.5 методики поверки приведены в таблице А. 1.
Таблица А.1
Значение спектрального коэффициента направленного пропускания светофильтра, % |
Результаты измерений спектрального коэффициента направленного пропускания, %, при длине волны X |
Абсолютная погрешность измерений спектрального коэффициента направленного пропускания, % | ||||
1 |
... |
п |
среднее |
/^Стах | ||
Абсолютная погрешность измерений спектрального коэффициента направленного пропускания не превышает (превышает) допускаемых пределов во всем спектральном диапазоне.
Проверка по п.8.5 методики поверки проведена с положительным (отрицательным) результатом.
А.4 Проверка абсолютной погрешности измерений длины волны
Результаты проверки абсолютной погрешности измерений длины волны в соответствии с п. 8.7 методики поверки приведены в таблице А.2.
Таблица А.2
Средство поверки |
Действительное значение длины волны для максимума полосы спектра поглощения светофильтра HIT, нм |
Показания спектрофотометра СПЕКС ССП, нм |
Абсолютная погрешность измерений длины волны, нм | |||
1 |
2 |
3 |
среднее | |||
Абсолютная погрешность измерений длины волны не превышает (превышает) допускаемых пределов.
Проверка по п.8.7 методики поверки проведена с положительным (отрицательным) результатом.
Заключение:Спектрофотометр СПЕКС ССП годен (не годен) к применению.
Выдано свидетельство о поверке (извещение о непригодности) №________от___
Срок действия свидетельства до_________________.
Поверитель
(подпись)
(Ф. И. оу
Организация, проводившая поверку_____
Приложение А (Измененная редакция, Изм. № 1)
9