Инструкция «Хроматографы жидкостные "Chromaster"» (МП 51035-12 с изменением №1)
УТВЕРЖДАЮ
с-»О£>*
‘'.'ГЬ-УЭ.
Заместитель директора по водственной метрологии ФГУП «ВНИИМС»
Иванникова ________2019 г.
ИНСТРУКЦИЯ
Хроматографы жидкостные «Chromaster»
Методика поверки
МП 51035-12
с изменением № 1
Москва 2019 г.
Настоящая методика распространяется на хроматографы жидкостные «Chromaster» (далее - хроматографы) фирмы «Hitachi High-Tech Science Corporation», Япония, и устанавливает методику их первичной и периодической поверки.
Методика распространяется на хроматографы базовой модели (Chromaster) со спектрофотометрическими детекторами 5410 UV, 5420 UV/VIS, детектором на диодной матрице 5430 Diode Array, флуориметрическим детектором 5440 FL, рефрактометрическим детектором 5450 RI, детектором низкотемпературного испарительного светорассеяния VWR ELSD 90 LT или SEDEX LT-ELSD 100 или масс-спектрометрическим 5610 MS и модели Chromaster ULTRA RS со спектрофотометрическим детектором 6420 UV/VIS, детектором на диодной матрице 6430 Diode Array и/или флуориметрическим детектором 6440 FL
Интервал между поверками - 1 год.
Изменение № 1
-
1 ОПЕРАЦИИ ПОВЕРКИ
-
1.1 При проведении поверки выполняют операции, указанные в таблице 1.
При наличии в комплекте хроматографа нескольких детекторов допускается проведение поверки для части из них (на основании заявления владельца СИ или другого лица, представляющего СИ на поверку) в соответствии с п. 16 «Порядок проведения поверки средств измерений, требования к знаку поверки и содержанию свидетельства о поверке» (утв. приказом Министерства промышленности и торговли РФ от 2 июля 2015 г. № 1815).
-
1.3 Если при проведении той или иной операции поверки получен отрицательный результат, дальнейшее выполнение поверки прекращают.
-
1.4 При проведении периодической поверки хроматографов, эксплуатируемых по НД на методики измерений, отвечающим требованиям ГОСТ Р 8.563-2009, проверяют показатели точности результатов измерений в соответствии с процедурами и нормативами контроля, регламентированными в НД на методику измерений.
Изменение № 1
-
-
Таблица 1
|
Наименование операции |
Номер пункта методики поверки |
|
Внешний осмотр |
4.1 |
|
Опробование: |
4.2 |
|
- определение уровня флуктуационных шумов нулевого сигнала; |
4.2.1 |
|
- определение дрейфа нулевого сигнала; |
4.2.2 |
|
- определение предела детектирования или чувствительности (отношения сигнал/шум) для детектора 5610 MS; |
4.2.3 |
|
Определение метрологических характеристик: |
4.3 |
|
- определение относительного среднего квадратического отклонения выходного сигнала; |
4.3.1 -4.3.3 |
|
- определение относительного изменения выходного сигнала за 8 часов непрерывной работы. |
4.3.4-4.3.5 |
1.2 Поверку хроматографов выполняют для детектора (детекторов), входящих в комплект поставки хроматографа.
-
2 СРЕДСТВА ПОВЕРКИ
-
2.1 При проведении поверки применяют следующие средства:
-
- ГСО 8749-2006 состава антрацена в ацетонитриле с массовой концентрацией антрацена 200 мг/дм3;
-
- весы электронные лабораторные неавтоматического действия X (per. № 60903-15), НПВ не более 220 г, I (специального) класса точности по ГОСТ OIML R 76-1-2011.
-
- колбы мерные 2-50-2, 2-100-2, ГОСТ 1770-74;
-
- цилиндры мерные 2-500-2, ГОСТ 1770-74;
-
- пипетки градуированные 1-2-2-1, 1-2-2-2, 1-2-2-5, ГОСТ 29227-91.
-
- D-глюкоза квалификации «ч.д.а.» по ГОСТ 6038-79;
-
- резерпин по фармакопейной статье ФС 423267-96;
-
- ацетон для ВЭЖХ, № С AS № 67-64-1, массовая доля основного вещества не менее 99,9 %, (кат. № 270725 Sigma-Aldrich).
-
- метанол для HPLC, CAS № 67-56-1, массовая доля основного вещества не менее 99,9 % (кат № 34860 Sigma-Aldrich).
-
- ацетонитрил для ВЭЖХ, ТУ 6-09-14-2167-84;
-
- вода дистиллированная, ГОСТ 6709-72;
-
- деионизованная вода с удельным сопротивлением не менее 18 МОм/см, ТОС менее 50 мкг/дм3, ГОСТ Р 52501-2005;
-
- стаканы или бюксы для взвешивания.
-
- колонки хроматографические обращеннофазные С18 размером 150><4,6 мм, заполненные:
сферическим силикагелем с эффективным диаметром частиц 5 мкм, эффективным диаметром пор (80-100) А и химически модифицированной поверхностью октаде-цильными группами - для базовой модели;
сферическим силикагелем с непористым ядром («Core-Shell») эффективным диаметром частиц 2,7 мкм, эффективным диаметром пор (80-100) А и химически модифицированной поверхностью октадецильными группами - для модели Chromaster ULTRA RS.
Допускается применение аналогичных средств поверки, обеспечивающих определение метрологических характеристик поверяемых СИ с требуемой точностью, в том числе, чистых реактивов (например, D-глюкоза безводная, CAS № 50-99-7, с содержанием основного компонента не менее 98 % (кат. № G8270 Sigma-Aldrich) и резерпин CAS № 50-55-5, массовая доля основного вещества не менее 97,0 %, (кат № 83580 Sigma-Aldrich) или других с содержанием основного вещества не ниже указанного) и растворителей других производителей с другими каталожными номерами, аналогичные по содержанию основного вещества и по назначению (для ВЭЖХ).
Изменение № 1
-
3 УСЛОВИЯ ПОВЕРКИ И ПОДГОТОВКА К НЕЙ, ПРАВИЛА БЕЗОПАСНОСТИ ПРИ ВЫПОЛНЕНИИ ПОВЕРКИ.
-
3.1 При проведении поверки соблюдают следующие условия:
-
- температура окружающего воздуха, °C 20±5
-
- атмосферное давление, кПа от 84 до 106,7
-
- относительная влажность воздуха, % от 30 до 90
-
- напряжение в сети переменного тока, В 220±22;
-
- частота переменного тока в сети, Гц 50± 1
-
3.1.1 При выполнении измерений соблюдают правила техники безопасности при работе с химическими реактивами по ГОСТ 12.1.007-76, требования электробезопасности при работе с электроустановками.
-
3.1.2 Помещение должно быть оборудовано приточно-вытяжной вентиляцией и соответствовать требованиям пожаробезопасности по ГОСТ 12.1.004-91 и иметь средства пожаротушения по ГОСТ 12.4.009-83. Содержание вредных веществ в воздухе не должно превышать допустимых значений по ГОСТ 12.1.005-88.
-
3.1.3 Поверку выполняет сотрудник юридического лица, аккредитованного на поверку жидкостных хроматографов, аттестованный в качестве поверителя, прошедший инструктаж по технике безопасности, и ознакомленный с документацией на поверяемое СИ.
-
3.1.4 К приготовлению растворов и выполнению операций с хроматографом допускают операторов или лаборантов, обслуживающих хроматограф, (под наблюдением поверителя) - лиц не моложе 18 лет, имеющих высшее или среднетехническое образование, имеющих опыт проведения химико-лабораторных работ, прошедших инструктаж по технике безопасности.
-
-
Изменение № 1
-
3.2 Подготовительные работы выполняют в соответствии с Руководством по эксплуатации хроматографа.
-
3.3 Перед проведением поверки готовят контрольные растворы, назначение и содержание анализируемых компонентов в которых приведены в таблице 2.
Таблица 2 - Контрольные растворы, применяемые при поверке
|
Контрольный раствор |
Массовая концентрация контрольного компонента в растворе, мг/дм3 |
Объем пробы, мкл |
Элюент |
Скорость потока, см3/мин |
Детектор |
|
№ 1: Антрацен в элюенте |
1,0 |
20 |
Ацетонитрил-вода, объемное отношение 84:16 |
1 |
Спектрофотометрические 5410 UV, 5420 UV/VIS, 6420 UV/VIS; на диодной матрице 5430 Diode Array, 6430 Diode Array |
|
ГСО 8749-2006 Антрацен в ацетонитриле |
200,0 |
20 |
Ацетонитрил-вода, объемное отношение 84:16 |
1 |
Рефрактометрический 5450 RI |
|
№ 2: Антрацен в элюенте |
0,1 |
20 |
Ацетонитрил-вода, объемное отношение 84:16 |
1 |
Флуориметриче-ские 5440 FL |
|
№ 3: Антрацен в элюенте |
0,002 |
20 |
Ацето нитрил-вода, объемное отношение 84:16 |
1 |
Флуориметриче-ские 6440 FL |
Продолжение таблицы 2
|
Контрольный раствор |
Массовая концентрация контрольного компонента в растворе, мг/дм3 |
Объем пробы, мкл |
Элюент |
Скорость потока, см3/мин |
Детектор |
|
№ 4: Глюкоза в воде |
1000 |
20 |
Деионизованная вода |
1 |
Детекторы низкотемпературного испарительного светорассеяния VWR ELSD 90 LT или SEDEX LT-ELSD 100 |
|
№ 6: Резерпин в метаноле |
0,15 |
20 |
Ацетонитрил-вода, объемное отношение 84:16 |
1 |
Масс-спектрометрический 5610 MS |
|
№ 5: Резерпин в метаноле |
10 |
20 |
Ацетонитрил-вода, объемное отношение 84:16 |
1 |
Масс-спектрометрический 5610 MS |
Методика приготовления контрольных растворов приведена в приложении А.
Изменение № 1
-
4 ПРОВЕДЕНИЕ ПОВЕРКИ
-
4.1 Внешний осмотр
-
При внешнем осмотре устанавливают
-
- соответствие комплектности хроматографа паспортным данным;
-
- четкость маркировки;
-
- исправность механизмов и крепежных деталей.
-
4.2 Опробование
При опробовании проводят определение уровня флуктуационных шумов, дрейфа нулевого сигнала и предела детектирования или чувствительности (отношения сиг-нал/шум) для детектора 5610 MS.
Изменение № 1
-
4.2.1 Уровень флуктуационных шумов и дрейф нулевого сигнала определяют при условиях, указанных в таблице 3.
-
4.2.2 После выхода хроматографа на режим фиксируют в течение 1 часа нулевой сигнал каждого детектора на шкале с максимальной чувствительностью в координатах сигнал (оптическая плотность, напряжение) - время.
Уровень флуктуационных шумов нулевого сигнала (Ах) принимают равным максимальному значению амплитуды (И) повторяющихся колебаний нулевого сигнала с периодом не более 20 с.
Значение дрейфа нулевого сигнала принимают равным смещению нулевого сигнала в течение 1 часа.
Таблица 3 - Условия хроматографирования
|
Тип детектора |
Контрольный раствор |
Объем пробы, мм3 (мкл) |
Элюент (объемное отношение) |
Скорость потока, см3/мин |
Условия |
|
Спектрофотометрический 5410 UV, 5420 UV/VIS, 6420 UV/VIS; на диодной матрице 5430 Diode Array, 6430 Diode Array |
№ 1 |
20 |
Ацетонитрил: вода (84: 16) |
1 |
Одноволновой режим с длиной волны детектирования 254 нм, постоянная времени 1 с, без термостата |
|
Рефрактометрический 5450 RI |
ГСО 8749-2006 |
20 |
Ацетонитрил: вода (84: 16) |
1 |
Постоянная времени 1с, температура термостата +25 °C |
|
Флуориметриче-ские 5440 FL |
№2 |
20 |
Ацетонитрил: вода (84: 16) |
1 |
Длина волны возбуждения - 260 нм. Длина волны эмиссии - 420 нм. Постоянная времени 1 с, без термостата. |
|
Флуориметриче-ские 6440 FL |
№ 3 |
20 |
Ацетонитрил: вода (84: 16) |
1 | |
|
Детекторы низкотемпературные испарительные по светорассеянию VWR ELSD 90 LT или SEDEX LT-ELSD 100 |
№4 |
20 |
Деионизованная вода |
1 |
Коэффициент усиления выходного сигнала 10. Постоянная времени 1 сек. Давление газа (азота или воздуха) на входе в детектор 3,5 бар. Температура испарительной трубки +35 °C. |
|
Масс-спектрометрический 5610 MS (определение чувствительности сиг- нал/шум) |
№6 |
Дозирование в детектор со скоростью 2 мм3 /мин (мкл/мин) |
1 |
Измерения производят в режиме SIM, полярность - положительная, m/z 609,3, задержка 1000 мс, время измерений 0,2 мин. | |
|
Масс-спектро-метрический 5610 MS (определение СКО) |
№5 |
20 |
Ацетонитрил: вода (84: 16) |
1 |
Измерения производят в режиме SIM при делении потока 1:250. |
Изменение № 1
-
4.2.3 Значения уровня флуктуационных шумов нулевого сигнала и дрейфа нулевого сигнала не должны превышать значений, указанных в таблице 4.
Таблица 4 - Значения уровня флуктуационных шумов нулевого сигнала и дрейфа нуле-вого сигнала детекторов
|
Детектор |
Уровень флуктуационных шумов нулевого сигнала |
Дрейф нулевого сигнала |
|
Спектрофотометрические 5410 UV, 5420 UV/VIS |
5,0-Ю’5 е.о.п. |
1,0-10"1 е.о.п./ч |
|
На диодной матрице 5430 Diode Array |
5,0-10’5 е.о.п. |
4,0-Ю’4 е.о.п./ч |
|
Рефрактометрический 5450 RI |
2,5-10’8 ед.рефр. |
2,0-10’7 ед.рефр./ч |
|
Флуориметрический 5440 FL |
100 мкВ |
1000 мкВ/ч |
|
Детекторы низкотемпературного испарительного светорассеяния VWR ELSD 90 LT или SEDEX LT-ELSD 100 |
1,0-Ю’3 е.о.п. |
1,0-Ю’3 е.о.п. |
|
Спектрофотометрический 6420 UV/VIS |
1,0-10'5 е.о.п. |
1,0-1 О*4 е.о.п./ч |
|
На диодной матрице 6430 Diode Array (ячейка с опт.путем 10 мм) |
2,5-Ю'5 е.о.п. |
4,0-10‘4 е.о.п./ч |
|
На диодной матрице 6430 Diode Array (ячейка с опт.путем 65 мм) |
5,0-10‘5 е.о.п. |
4,0-Ю’4 е.о.п./ч |
|
Флуориметрический 6440 FL |
200 мкВ |
500 мкВ/ч |
Изменение № 1
-
4.2.4. Определение предела детектирования
Определение предела детектирования выполняют с использованием контрольных растворов и условий, указанных в таблице 2. В хроматограф вводят пробу контрольного раствора, измеряют высоту и ширину пика на половине его высоты (До 5). Предел детектирования рассчитывают по формуле
2-Ax-G _ 2 • Ах-G
= Л-//05-К" S-V ’
где G - масса вещества, г; G = С • v (С - массовая концентрация контрольного вещества, мг/дм3, v - объем пробы, дм3);
V - скорость потока элюента, см3/мин;
/4q 5 - ширина пика на половине высоты, мин;
Ах - уровень флуктуационных шумов нулевого сигнала, определенный по п.4.2.2;
Ах и h - измеряют в мм, условных единицах либо в единицах, указанных в п.4.2.3;
S - Площадь пика в единицах измерений площади пика в соответствии с детектором (при обработке хроматограмм с помощью ПО).
Изменение № 1
Полученные результаты не должны превышать приведенных ниже значений предела детектирования (таблица 5):
Таблица 5 - Значения пределов детектирования
|
Детектор |
Предел детектирования |
|
Спектрофотометрические 5410 UV, 5420 UV/VIS |
1 • 10’9 г/см3 антрацена |
|
На диодной матрице 5430 Diode Array |
1 • 10’8 г/см3 антрацена |
|
Рефрактометрический 5450 RI |
1 • 10’6 г/см3 антрацена |
|
Флуориметрический 5440 FL |
1 • 1 О’11 г/см3 антрацена |
|
Низкотемпературного испарительного светорассеяния VWR ELSD 90 LT или SEDEX LT-ELSD 100 |
3,0-10’8 г/см3 глюкозы |
|
Спектрофотометрический 6420 UV/VIS |
2,0-10’9 г/см3 антрацена |
|
На диодной матрице 6430 Diode Array (кювета 10 мм) |
1 • 10’9 г/см3 антрацена |
|
На диодной матрице 6430 Diode Array (кювета 65 мм) |
3-10’10 г/см3 антрацена |
|
Флуориметрический 6440 FL |
1-Ю’11 г/см3 антрацена |
Изменение № 1
-
4.2.5 Определение чувствительности (отношения синал/шум) детекторов массс-спектрометрических 5610 MS выполняют в соответствии с п. 4.1.3 Приложения к РЭ на хроматограф «Cromaster» базовой модели - инструкции к масс-спектрометрическому детектору 5610 MS:
-
4.2.5.1 Заполняют газонепроницаемый шприц контрольным раствором КР 6 и вводят его со скоростью 2 мм2/мин в детектор с помощью шприцевого насоса.
Получают хроматограмму в режиме SIM (отслеживание отдельного иона) в сле
дующих условиях:
SIM
Положительная
0,2
On
609,3
0,0
0,2
1000
Standard
Режим измерения Полярность Время сбора, мин AIF
Целевой ион (zn/z) Начало, мин Окончание, мин Фремя задержки, мс AIF / Разделение:
Напряжение регулируется на основании заданных условий проверки чувствительности при установке прибора.
-
4.2.5.2 Обрабатывают полученные данные за 0,2 минуты. Рассчитывают среднюю интенсивность сигнала SIM-спектра образца.
-
4.2.5.3 Заполняют газонепроницаемый шприц метанолом и вводят со скоростью 2 мкл / мин в детектор с помощью шприцевого насоса.
-
4.2.5.4 Хроматограмму в режиме SIM снимают в тех же условиях, как описано выше. Повторяют до полного удаления следов контрольного вещества и стабилизации выходного сигнала.
-
4.2.5.5 Выполняют операции по п.п. 4.2.5.1 - 4.2.5.2. Рассчитывают среднюю интенсивность сигнала SIM-спектра чистого метанола.
-
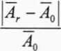
4.2.5.6 Чувствительность (соотношение сигнал/шум, S / N) рассчитывают по формуле:.

где Ar - среднее значение интенсивности сигнала при измерении контрольного раствора, ед. счета,
Ао - среднее значение интенсивности сигнала при измерении чистого метанола, ед. счета.
Полученное значение чувствительности S/N должно быть не менее 100.
Изменение № 1
4.3 Определение метрологических характеристик
-
4.3.1 Определение относительного среднего квадратичного отклонения выходных сигналов.
Измерения проводят после выхода хроматографа на режим. Условия выполнения измерений должны соответствовать п.3.1.
-
4.3.2 Контрольный раствор (табл.2) вводят в хроматограф не менее 10 раз, измеряют значения выходных сигналов (времени удерживания, высоты и площади пика), вычисляют среднее арифметическое значение выходных сигналов (X).
-
4.3.3 Относительное среднее квадратическое отклонение выходных сигналов рассчитывают по формуле
100 S'T1 „-1 •
где Xj - i-тое значение параметра выходного сигнала (площади пика, высоты пика и времени удерживания).
Значения относительного среднего квадратичного отклонения выходного сигнала не должны превышать значений, приведенных в таблице 5.
-
4.3.4 Определение относительного изменения выходного сигнала за 8 часов непрерывной работы.
Условия проведения измерений описаны в п. 3.1. Проводят операции по п.4.3.2. Через 8 часов непрерывной работы хроматографа повторяют измерения по п. 4.3.2. Относительное изменение выходного сигнала за 8 часов непрерывной работы хроматографа рассчитывают по формуле:
а,=Щ.100,
1 X
где X - среднее значение параметра выходного сигнала (площади пика) в серии экспериментов.
-
4.3.5 Значения относительного изменения выходного сигнала не должны превышать норм, приведенных в таблице 6.
Таблица 6 - Метрологические характеристики
|
Хроматограф с детекторами |
Относительное среднее квадратическое отклонение выходного сигнала, % |
Относительное изменение выходного сигнала (площади пика) за 8 часов непрерывной работы, % | ||
|
время удерживания |
площадь пика |
высота пика | ||
|
Спектрофотометрическими 5410 UV, 5420 UV/VIS |
0,5 |
2 |
3 |
±2 |
|
На диодной матрице 5430 Diode Array |
0,5 |
2 |
3 |
±2 |
|
Рефрактометрическим 5450 RI |
0,5 |
2 |
3 |
±2 |
|
Флуориметрическим 5440 FL |
0,5 |
2 |
3 |
±2 |
|
Низкотемпературного испарительного светорассеяния VWR ELSD 90 LT или SEDEX LT-ELSD 100 |
0,5 |
4 |
4 |
±2 |
|
Масс-спектрометрическим 5610 MS |
0,5 |
3 |
3 |
±2 |
|
Спектрофотометрическим 6420 UV/VIS |
0,5 |
3 |
3 |
±2 |
|
На диодной матрице 6430 Diode Array |
0,5 |
3 |
3 |
±2 |
|
Флуориметрическим 6440 FL |
0,5 |
3 |
3 |
±2 |
Изменение № 1
5. ОФОРМЛЕНИЕ РЕЗУЛЬТАТОВ ПОВЕРКИ
5.1. Результаты поверки хроматографов заносят в протокол.
-
5.2 Положительные результаты поверки анализатора оформляют выдачей Свидетельства о поверке в соответствии с Порядком проведения поверки средств измерений, требования к знаку поверки и содержанию свидетельства о поверке (утв. приказом Министерства промышленности и торговли РФ от 2 июля 2015 г. № 1815) с указанием поверенного детектора (детекторов).
В соответствии с п. 16 вышеуказанного Порядка при проведении поверки хроматографов жидкостных «Chromaster» в свидетельстве указывают объем поверки (перечень поверенных детекторов).
Знак поверки наносят в свидетельство о поверке.
-
5.3 На хроматографы, не удовлетворяющие требованиям настоящей методики, выдают извещение о непригодности с указанием причин в соответствии с Порядком проведения поверки средств измерений, требования к знаку поверки и содержанию свидетельства о поверке (утв. приказом Министерства промышленности и торговли РФ от 2 июля 2015 г. № 1815).
-
5.4. После ремонта хроматографы подвергают поверке.
Изменение № 1
С.В. Вихрова
Е.Г. Оленина
Начальник отдела ФГУП «ВНИИМС»
Старший научный сотрудник ФГУП «ВНИИМС»
ПРИЛОЖЕНИЕ А
МЕТОДИКА ПРИГОТОВЛЕНИЯ КОНТРОЛЬНЫХ РАСТВОРОВ
Методика предназначена для приготовления контрольных растворов для поверки хроматографов жидкостных «Chromaster».
1 СРЕДСТВА ИЗМЕРЕНИЙ, ПОСУДА, РЕАКТИВЫ
-
1.1 ГСО 8749-2006 состава антрацена в ацетонитриле, массовая концентрация антрацена 0,200 мг/см3.
-
1.2 Весы электронные лабораторные неавтоматического действия X (per. № 60903-15), НПВ не более 220 г, I (специального) класса точности по ГОСТ OIML R 76-1-2011.
-
1.3 Колбы мерные 2-50-2, 2-100-2, ГОСТ 1770-74.
-
1.4 Цилиндры мерные 2-500-2, 2-1000-2, ГОСТ 1770-74.
-
1.5 Пипетки, градуированные 1-2-2-1, 1-2-2-2, 1-2-2-5, ГОСТ 29227-91.
-
1.6 D-глюкоза квалификации «ч.д.а.» по ГОСТ 6038-79 или чистый реактив D-глюкозы безводной, CAS № 50-99-7, массовая доля основного вещества не менее 99,5 %, (кат. № G8270 Sigma-Aldrich).
-
1.7 Чистый реактив резерпин по фармакопейной статье ФС 423267-96 или чистое вещество CAS № 50-55-5, массовая доля основного вещества не менее 97,0 %, (кат № 83580 Sigma-Aldrich);
-
1.8 Ацетон для ВЭЖХ, № CAS № 1, массовая доля основного вещества не менее 99,9 %, (кат. № 270725 Sigma-Aldrich).
-
1.9 Метанол для HPLC, С AS № 67-56-1, массовая доля основного вещества не менее 99,9 % (кат № 34860 Sigma-Aldrich).
-
1.10 Ацетонитрил для ВЭЖХ, ТУ 6-09-14-2167-84;
-
1.11 Вода дистиллированная, ГОСТ 6709-72;
-
1.12 Деионизованная вода с удельным сопротивлением не менее 18 МОм/см, ТОС менее 50 мкг/дм3, ГОСТ Р 52501-2005;
-
1.13 Стаканы или бюксы для взвешивания.
-
1.14 Стаканы, банки для элюента.
Примечание - допускается применение чистых веществ и растворителей других производителей с другими каталожными номерами, аналогичные по содержанию основного вещества и по назначению (для ВЭЖХ).
2 ПРОЦЕДУРА ПРИГОТОВЛЕНИЯ
-
2.1 Приготовление раствора элюента ацетонитрил : вода с объемным отношением 84 : 16. В стакан или банку вместимостью 1 дм3 с помощью цилиндра наливают 160 см3 деинизованной воды, добавляют 840 см3 ацетонитрила, перемешивают, переливают в банку для хранения элюента.
-
2.2 Приготовление контрольных растворов антрацена
-
2.2.1 Приготовление контрольного раствора № 1 с массовой концентрацией антрацена 1,0 мг/даГ.
0,5 см3 ГСО состава антрацена в ацетонитриле с массовой концентрацией 200 мг/дм3 градуированной пипеткой помещают в мерную колбу вместимостью 100 см3 и доводят объем до метки раствором подвижной фазы (ацетонитрил-вода с объемным отношением 84:16). Контрольный раствор используют для определения предела детектирования и метрологических характеристик спектрофотометрических детекторов 5410 UV, 5420 UV/VIS, 6420 UV/VIS, детекторов на диодной матрице 5430 Diode Array, 6430 Diode Array
-
2.2.2 Приготовление контрольного раствора № 2 с массовой концентрацией антрацена 0,1 мг/дм3.
5 см3 раствора № 1 с массовой концентрацией 1,0 мг/дм3 градуированной пипеткой помещают в мерную колбу вместимостью 50 см3 и доводят объем до метки раствором подвижной фазы (ацетонитрил-вода с объемным отношением 84:16).
Контрольный раствор используют для определения предела детектирования и метрологических характеристик флуориметрического детектора 5440 FL.
-
2.2.3 Приготовление контрольного раствора № 3 с массовой концентрацией антрацена 0,002 мг/дм3.1 см3 раствора № 2 с массовой концентрацией 0,1 мг/дм3 градуированной пипеткой помещают в мерную колбу вместимостью 50 см3 и доводят объе.м до метки раствором подвижной фазы (ацетонитрил-вода с объемным отношением 84:16). Контрольный раствор используют для определения предела детектирования и метрологических характеристик флуориметрического детектора 6440 FL.
-
2.3 Приготовление контрольного раствора глюкозы.
-
2.3.1 Приготовление контрольного раствора № 4 с массовой концентрацией глюкозы 1000 мг/дм3. Взвешивают в стакане (100±1) мг глюкозы, затем количественно переносят в мерную колбу вместимостью 100 см3, многократно омывая стакан деионизованной водой, доводят раствор в колбе до метки деионизованной водой, перемешивают. Контрольный раствор используют для определения предела детектирования и метрологических характеристик низкотемпературного испарительного светорассеяния VWR ELSD 90 LT или SEDEX LT-ELSD 100. *
-
2.4 Приготовление контрольных растворов резерпина
-
2.4.1 Приготовление рабочего раствора резерпина с массовой концентрацией 1000 мг/дм3 в ацетоне. Взвешивают в стакане (100±1) мг резерпина, затем количественно переносят в мерную колбу вместимостью 100 см3, многократно омывая стакан ацетоном, доводят раствор в колбе до метки ацетоном, перемешивают до полного растворения.
-
2.4.2 Приготовление контрольного раствора резерпина КР 5 с массовой концентрацией 10 мг/дм3 в метаноле. 1 см3 рабочего раствора по 4.3.1 с массовой концентрацией 1000 мг/дм3 градуированной пипеткой помещают в мерную колбу вместимостью 100 см3 и доводят объем до метки раствором метанолом, перемешивают. Контрольный раствор используют для определения метрологических характеристик масс-спектрометрического детектора 5610 MS.
-
2.4.3 Приготовление контрольного раствора резерпина КР 6 с массовой концентрацией 0,15 мг/дм3 в метаноле.
-
1.5 см3 контрольного раствора КР 4 по 4.3.2 с массовой концентрацией 10 мг/дм3 градуированной пипеткой помещают в мерную колбу вместимостью 100 см3 и доводят объем до метки раствором метанолом, перемешивают.
Контрольный раствор используют для определения чувствительности (отношения сигнал/шум) масс-спектрометрического детектора 5610 MS.
-
2.5 Контрольные растворы используют сразу после приготовления, не хранят.
Изменение № 1
