Методика поверки «ГСОЕИ.Системы мониторинга коррозии и эрозии Permasense WirelessHART» (ΜΠ 15-261-2018)
Федеральное агентство по техническому регулированию и метрологии Федеральное государственное унитарное предприятие «Уральский научно-исследовательский институт метрологии» (ФГУП «УНИИМ»)
УТВЕРЖДАЮ
ФГУП «УНИИМ»

С.В. Медведевских
2019 г.
ГОСУДАРСТВЕННАЯ СИСТЕМА ОБЕСПЕЧЕНИЯ ЕДИНСТВА ИЗМЕРЕНИЙ
Системы мониторинга коррозии и эрозии
Permasense WirelessHART
МЕТОДИКА ПОВЕРКИ
(с изменением №1)
МП 15-261-2018 г. Екатеринбург 2019
ПРЕДИСЛОВИЕ-
1 РАЗРАБОТАНА:
Федеральным государственным унитарным предприятием
«Уральский научно-исследовательский институт метрологии» (ФГУП «УНИИМ»)
-
2 ИСПОЛНИТЕЛИ
Зам. зав. лаб. 261
Вед. инженер лаб. 261
Инженер 1 кат. лаб. 261
Маслова Т.И.,
Пай И.С.,
Илюшина А.М.
3 УТВЕРЖДЕНА ФГУП «УНИИМ»
«21» января 2019 г.
4 ИЗМЕНЕНИЕ №1 УТВЕРЖДЕНО
сентябрь 2019 г.
ПРИЛОЖЕНИЕ А (рекомендуемое) Форма протокола поверки
|
Государственная система обеспечения единства измерений. Системы мониторинга коррозии и эрозии Permasense WirelessHART. Методика поверки |
МП 15-261 -2018 с изменением №1 |
Дата введения в действие: «'/У» 2019 г.
1 ОБЛАСТЬ ПРИМЕНЕНИЯНастоящая методика поверки (далее - МП) распространяется на системы мониторинга коррозии и эрозии Permasense WirelessHART (далее - система), производства Permasense Limited, Великобритания, предназначение для дистанционного измерения толщины стенок трубопроводов и другого промышленного оборудования, подверженных коррозионному и эрозионному износу.
Настоящая методика устанавливает процедуру первичной поверки системы до ввода в эксплуатацию и датчиков, добавляемых в систему дополнительно либо взамен вышедших из строя. Периодической поверке система не подлежит.
2 НОРМАТИВНЫЕ ССЫЛКИВ настоящей МП использованы ссылки на следующие документы:
-
- Приказ Минпромторга РФ № 1815 от 02.07.2015 г. «Об утверждении Порядка проведения поверки средств измерений, требования к знаку поверки и содержанию свидетельства о поверке»;
-
- ГОСТ Р 8.756-2014 «ГСП. Государственная поверочная схема для средств измерений скоростей распространения продольных, сдвиговых и поверхностных ультразвуковых волн в твердых средах».
3 ОПЕРАЦИИ ПОВЕРКИ
3.1 При проведении поверки системы выполняют операции согласно таблице 1. Таблица 1 - Операции поверки
|
№ п/п |
Наименование операции |
Номер пункта |
|
1 |
Проверка внешнего вида и комплектности системы |
8.1 |
|
2 |
Проверка идентификационных данных программного обеспечения |
8.2 |
|
3 |
Опробование |
8.3 |
|
4 |
Определение диапазона измерений и абсолютной погрешности измерения толщины* |
8.4 |
|
5 |
Определение среднеквадратического отклонения (СКО) случайной составляющей абсолютной погрешности (повторяемость измерений толщины) |
8.5 |
|
* допускается проводить поверку датчиков, входящих в комплектность системы, в диапазонах измерений толщины, приведенных в паспорте, которые отличаются от указанного в описании типа, но находящиеся в его пределах | ||
(Измененная редакция, Изм. №1)
-
3.2 Если при выполнении той или иной операции выявлено несоответствие установленным требованиям, поверка приостанавливается, выясняются и устраняются причины несоответствия, после этого повторяется поверка по операции, по которой выявлено несоответствие.
-
3.3 В случае повторного выявления несоответствия установленным требованиям поверку прекращают, выдается извещение о непригодности.
-
3.4 В соответствии с заявлением владельца СИ допускается проведение поверки отдельных датчиков из состава СИ.
-
3.5 Допускается проведение поверки с использованием отдельной копии установленного программного обеспечения (далее - ПО) Data Manager на компьютере поверителя с версией, идентичной той, которая установлена на поверяемой системе.
-
4.1 При проведении поверки применяют следующие средства поверки:
-
- эталон единицы скорости распространения продольных ультразвуковых волн в твердых средах 3-го разряда по ГОСТ Р 8.756:
-
- прибор для измерений температуры окружающего воздуха, обеспечивающий диапазон измерений температуры от 0 до 50 °C с погрешностью измерений температуры в интервале±1 °C;
-
- прибор для определения относительной влажности воздуха, обеспечивающий диапазон измерений относительной влажности воздуха (10 - 100) % с абсолютной погрешностью измерений относительной влажности воздуха в интервале ± 7 %.
-
4.2 При проведении поверки допускается применение средств поверки, не указанных в п. 4.1. обеспечивающих определение метрологических характеристик системы с требуемой точностью.
-
4.3 Эталоны, применяемые при поверке, должны иметь действующие свидетельства об аттестации, средства измерений - действующие свидетельства о поверке.
К проведению поверки допускаются лица из числа специалистов, допущенных к поверке, работающих в организации, аккредитованной на право поверки СИ геометрических величин, и ознакомившиеся с эксплуатационной документацией на систему и настоящей МП.
6 ТРЕБОВАНИЯ БЕЗОПАСНОСТИПри проведении поверки требуется соблюдать правила безопасности, согласно эксплуатационной документации на систему. Специальных мер безопасности при поверке системы не предусмотрено.
7 УСЛОВИЯ ПОВЕРКИ И ПОДГОТОВКА К НЕЙПри проведении поверки должны соблюдаться следующие условия:
-
- температура окружающего воздуха. °C от 18 до 25;
-
- относительная влажность воздуха, %, не более 80.
-
8 ПРОВЕДЕНИЕ ПОВЕРКИ
-
8.1.1 На датчиках системы должны отсутствовать следы коррозии и наружных повреждений.
-
8.1.2 Комплектность системы должна соответствовать указанной в паспорте.
Для проверки идентификационных данных ПО запустить программу Data Manager. Идентификационное наименование и номер версии ПО отображаются в нижней части окна программы Data Manager. Данные, отображаемые в окне программы, должны соответствовать идентификационным данным ПО. приведенным таблице 2.
Таблица 2 - Идентификационные данные ПО
|
Идентификационные данные (признаки) |
Значение |
|
Идентификационное наименование ПО |
Data Manager |
|
Номер версии (идентификационный номер) ПО |
не ниже 7.0 |
|
Цифровой идентификатор ПО |
- |
Проверить работоспособность системы, измерив толщину одной меры из состава эталона единицы скорости распространения продольных ультразвуковых волн в твердых средах (далее - комплект образцовых ультразвуковых мер толщины KMT 176М-1). Для чего в ПО выбрать скорость ультразвуковых волн Сн, м/с. соответствующую материал} меры. Результат измерения должен отображаться в окне ПО.
(Измененная редакция, Изм. №1)
8.4 Определение диапазона измерений и абсолютной погрешности измерения толщины-
8.4.1 В ПО выбрать материал объекта измерений, соответствующий материалу мер из комплекта образцовых ультразвуковых мер толщины KMT 176М-1. Данному материалу в ПО присвоена скорость ультразвуковых волн Сн. м/с. Измерить толщину каждой / - ой меры из комплекта, толщина которых находится внутри диапазона измерений. Зная действительное значение толщины / - ой меры Нду (из свидетельства о поверке), определить скорость ультразвуковых волн (С/;, м/с) в / - ой мере по формуле

Н М'Сн
Н изм j
(1)
где Н изм; - измеренная с помощью системы толщина / - ой меры. мм.
Рассчитать среднее арифметическое значение скорости для всего комплекта мер по формуле
1 п
где п - количество мер.
Скорость ультразвуковых волн для всего комплекта определить каждым датчиком, входящим в комплектность систему.
-
8.4.2 Установить в ПО полученную скорость Q, м/с. Выбрать не менее двух мер из комплекта, толщина которых находится внутри диапазона измерений. Измерить толщин} каждой меры fyy. мм. не менее 5 раз каждым датчиком.
-
8.4.3 Абсолютную погрешность измерения толщины каждой меры Д1;. мм. рассчитать по формуле
^ij— — Н 3KBj, (3)
где hij - i - ый результат измерения толщины / - ой меры, мм;
Нэкв; _ эквивалентное значение толщины / - ой меры, указанное в свидетельстве о поверке, мм.
-
8.4.4 Для получения значений эквивалентной ультразвуковой толщины, равной граничному значению диапазона измерения системы (150 мм), приписать мере с номинальной толщиной 100 мм из комплекта КМТ176М-1 скорость ультразвука, отличающуюся от номинального значения скорости комплекта и рассчитанную по формуле
Г НП>
(4)
ЬНОМ и
пэкв.ном
где С - приписываемое значение скорости ультразвука, м/с:
Сном ~ номинальное значение скорости ультразвука в мере (из свидетельства о поверке), м/с:
Нгр- граничное значение диапазона измерений системы. Нгр = 150 мм:
НЭкв.ном ~ номинальное значение эквивалентной ультразвуковой толщины меры (из свидетельства о поверке), мм.
Установить в ПО полученную скорость С, м/с, каждым датчиком измерить 5 раз толщину меры h[j, мм. с номинальной толщиной 100 мм.
Пересчитать эквивалентную толщину меры из комплекта KMTI76M-1. приписывая ей скорость ультразвука С по формуле

НэкВ.НОМ
Сном
(5)
Рассчитать абсолютную погрешность измерения толщины по формуле (3).
Примечание: при наличии образца, толщиной 150 мм определение диапазона и абсолютной погрешности измерения толщины проводить согласно 8.4.1 - 8.4.3 настоящей МП.
-
8.4.5 Абсолютная погрешность измерения толщины в поддиапазоне от 3.0 до 25.0 мм включительно должна находиться в интервале ± 0.3 мм; в поддиапазоне св. 25.0 до 50.0 мм включительно должна находиться в интервале ± 0.5 мм; в поддиапазоне св. 50.0 до 150.0 мм включительно должна находиться в интервале ± 0.9 мм.
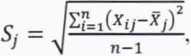
Для определения СКО случайной составляющей абсолютной погрешности использовать результаты измерений по п. 8.4 настоящей методике, полученные в условиях повторяемости.
Для каждой меры рассчитать СКО 5) случайной составляющей абсолютной погрешности измерений толщины по формуле

(6)
где Xij - z-ый результат измерения толщины /-ой меры, мм:
Xj - среднее арифметическое значение результатов измерений толщины /-ой меры, мм;
п - количество результатов измерений.
Среднее арифметическое значение результатов измерений толщины рассчитать по формуле
Рассчитанные значения CKO (повторяемости измерений толщины) при измерении толщины мер Sj не должны превышать 0,01 мм.
9 ОФОРМЛЕНИЕ РЕЗУЛЬТАТОВ ПОВЕРКИ-
9.1 Результаты поверки системы оформляют протоколом, форма которого приведена в приложении А настоящей МП.
-
9.2 По положительным результатам поверки в паспорте системы оформляют запись в таблице «Сведения о поверке»: перечисляют заводские номера датчиков, прошедших поверку, с формулировкой «годен», диапазоном измерения толщины, подписью поверителя и знаком поверки и датой проведенной поверки.
(Измененная редакция, Изм. №1)
-
9.3 Если производится замена датчика на новый или в состав системы включается дополнительный датчик, то поверка осуществляется только вновь вводимого датчика по п.8.3, 8.4. 8.5 настоящей методики поверки. При этом вся система признается годной с учетом этих датчиков.
-
9.4 Если датчик не прошел поверку или в процессе эксплуатации вышел из строя, то он исключается из состава системы, в паспорте делается соответствующая отметка, при этом система считается годной с учетом оставшихся датчиков.
-
9.5 Если поверку не прошел ни один датчик, или система не выдает результаты измерений, то оформляется извещение о непригодности с указанием причин непригодности.
Исполнители:
Т.И. Маслова
И.С. Цай
А.М. Клюшина
Зам. зав. лаб. 261
Вед. инженер лаб.261
Инженер 1 кат. лаб. 261
Приложение Л
(рекомендуемое)
Форма протокола поверки
Протокол поверки №___
A.I Наименование и тип Система мониторинга коррозии и эрозии Pennasense
WirelessHART
А.2 Заводской номер____________
А.З Изготовитель Permasense Limited. Великобритания
А.4 Принадлежит_______________________________
А.5 Метрологические характеристики______________________________________________
А.6 Номер по Госреестру _______________
А.7 Документ МП 15-261-2018 «ГСИ. Системы мониторинга коррозии и эрозии
Permasense WirelessHART. Методика поверки» с изм.№1
А.8 Средства измерений, используемые при поверке:
А.9 Условия поверки: температура ____°C, влажность ______%
Резу.платы повцжи
А. 10 Результаты проверки внешнего вида и комплектности системы соответствуют, не соответствуют требованиям 8.1 МП.
(ненужное зачеркнуть)
A.I I Результаты проверки идентификационных данных программного обеспечения соответствуют, не соответствуют требованиям 8.2 МП.
(ненужное зачеркнуть)
А. 12 Результаты опробования соответствуют, не соответствуют требованиям 8.3 МГ1.
(ненужное зачеркнуть)
А. 13 Определение диапазона измерений и абсолютной погрешности измерения толщины стенки
Таблица A.I - Результаты определения диапазона измерений и абсолютной погрешности
измерения толщины
|
Номинальное значение толщины j - ой меры, мм |
Эквивалентное значение толщины меры, указанное в свидетельстве о поверке H,Kej, мм |
Результат измерения толщины меры hij. мм |
Абсолютная погрешность измерения толщины меры Ап. мм |
Пределы допускаемой абсолютной погрешности измерения толщины. мм |
|
Зав. № датчика | ||||
Вывод: соответствуют, не соответствуют требованиям 8.4 МП.
(ненужное зачеркнуть)
А. 14 Определение среднеквадратического отклонения (СКО) случайной составляющей абсолютной погрешности (повторяемость измерений толщины)
Таблица А.2 - Результаты определения СКО случайной составляющей абсолютной погрешности
|
Номинальное значение толщины j - ой меры, мм |
Эквивалентное значение толщины j - ой меры H?KBJ, мм |
Результат измерения толщины j - ой меры hu, мм |
Среднее арифметическое значение результатов измерений толщины /-ой меры Xj, мм |
СКО Sj случайной составляющей абсолютной погрешности измерений толщины, мм |
|
Зав. № датчика | ||||
Вывод: соответствуют, не соответствуют требованиям 8.5 МП.
(ненужное зачеркнуть)
Заключение по результатам поверкиА. 15 Система мониторинга коррозии и эрозии Permasense WirelessHART соответствует, не соответствует требованиям МП.
(ненужное зачеркнуть)
А. 16 Система мониторинга коррозии и эрозии Permasense WirelessHART поверена в диапазонах измерений величин, указанных в описании типа.
Организация, проводившая поверку _____________________
Поверитель ______________ _________________
(подпись) (инициалы, фамилия)
Дата поверки «_____»__________________20___г.
К)
