Методика поверки «Система обеспечения единства измерений Республики Беларусь.Тестеры оптические FX85. Методика поверки» (МРБ МП.2786-2018)

УТВЕРЖДАЮ

Система обеспечения единства измерений Республики Беларусь
Тестеры оптические FX85
Методика поверки
МРБ МП.Ж2018
Листов 22Разработчик:
Начальник отдела метрологии ЗАО «Институт информационных технологий»
М.Л. Гринштейн
Zf» 2018
Минск, 2018
л.
1 Операции поверки.........................................................................
-
2 Средства поверки.........................................................................
-
3 Требования к квалификации поверителей.......................................
-
4 Требования безопасности..............................................................
-
5 Условия поверки............................................................................
-
6 Подготовка к поверке.....................................................................
-
3
-
4
4
-
4
-
5
7 Проведение поверки........................................................................
7.1 Внешний осмотр.
7.2 Опробование................................................................................
7.3 Определение метрологических характеристик.......................................
7,3.1 Определение относительной погрешности при измерении оптической мощности на длинах волн калибровки (градуировки)..............
5
5
5
8
8
-
7.3.2 Определение относительной погрешности при измерении
относительных уровней оптической мощности...................................... 11
-
7.3.3 Определение уровня мощности источника оптического излучения... 12
7.3.4 Определение нестабильности уровня мощности источника оптического излечения........................................................................ 13
7.3.5 Определение абсолютной погрешности измерения обратных
потерь.............................................................................................. 14
8 Оформление результатов поверки.....................................................
16
Приложение А (рекомендуемое) Форма протокола поверки.....................
17
Приложение Б Определение обратных потерь кабеля оптического калибровочного......................................... 19

Настоящая методика поверки (далее - МП) распространяется на тестеры оптические FX85 ТУ BY 100003325.018-2018 (далее - прибор FX85), предназначенные для измерения оптической мощности, затухания и обратных излучения.
потерь в оптических волокнах (ОВ) и волоконно-оптических компонентах и их соединениях, а также для генерации непрерывного стабилизированного
Прибор FX85 может выполнять функции следующих приборов:
- измерителя оптической мощности;
-
- источника оптического излучения;
-
- измерителя обратных потерь.
Прибор £Х85 может применяться при производстве ОВ и оптических кабелей, а такл-се монтаже и эксплуатации волоконно-оптических линий связи.
Настоящая МП устанавливает объем и последовательность операций первичной и периодической поверки прибора FX85.
Настоящая МП разработана в соответствии с требованиями ТКП 8.003-2011 "Система обеспечения единства измерений Республики Беларусь. Поверка средств измерений. Правила проведения работ".
МежповерЪчный интервал - не более 12 месяцев.
1 ОПЕРАЦИИ ПОВЕРКИ1.1 При проведении поверки прибора FX85 выполняют операции, указанные
|
в таблице 1. Таблица 1 - |
Операции поверки | |
|
Наименование операции |
Номер пункта методики поверки | |
|
Внешний осмотр |
7.1 | |
|
Опробование |
7.2 | |
|
Определение отно мощности на длин; |
сительной погрешности при измерении оптической эх волн калибровки (градуировки) |
7.3.1 |
|
Определение отно уровней оптическо |
сительной погрешности при измерении относительных й мощности |
7.3.2 |
|
Определение уровня мощности источника оптического излучения |
7.3.3 | |
|
Определение нест излучения |
абильности уровня мощности источника оптического |
7.3.4 |
|
Определение диаг обратных потерь |
азона и абсолютной погрешности при измерении |
7.3.5 |
|
Примечания
|
сведении той или иной операции поверки получают отрицательный 1шую поверку прекращают. кой поверке допускается проводить определение относительной погрешности кой мощности и относительной погрешности измерения относительных уровней :ти только на длинах волн используемого рабочего эталона | |
|
2 СРЕДСТ При пров таблице 2. |
ЗА ПОВЕРКИ эдении поверки применяют средства поверки, указанные в Ж С'/ О'Оад f/.,..... ' ■; о | |
Таблица 2 - Средства поверки
|
Номер пункта методики поверки |
Наименование и тип (условное обозначение) эталонов и вспомогательных средств поверки, их метрологические и основные технические характеристики, обозначение ТИПА | |
|
7.2 |
Кабель оптический соединительный одномодовый, длина 3 м. Кабель оптический соединительный многомодовый, длина 3 м. Тестер оптический ОТ-2-ЗА Диапазон измерения оптической мощности от минус 80 до плюс 10 дБм. Пределы допускаемой относительной погрешности при измерении оптической мощности +3 % на длинах волн калибровки 1310 нм, 1490 нм, 1550 нм, 1625 нм; +5 % на длине волны 850 нм; +7 % на длине волны 650 нм. Пределы допускаемой относительной погрешности при измерении относительных уровней оптической мощности ±0,8 %. | |
|
7.3.1 | ||
|
7.3.2 | ||
|
7.3.3 | ||
|
7.3.4 | ||
|
7.3.5 |
Тестер оптический ОТ-2-ЗА Кабели оптические калибровочные со значением обратных потерь (-14 ± 1) дБ, (-35 ± 2) дБ, (-45 ± 2) дБ и (-60 +3/.,) дБ. Кабель оптический соединительный одномодовый, длина 3 м. Разветвитель оптический одномодовый. Аттенюатор волоконно-оптический переменный; вносимые потери 2... 70 дБ. | |
|
Примечания
| ||
3 ТРЕБОВАНИЯ к квалификации поверителей
-
3.1 К проведению поверки допускают лиц, аттестованных в качестве поверителя и имеющих квалификационную группу не ниже третьей в соответствии с ТКП 427-2012 "Правила техники безопасности при эксплуатации электроустановок", изучивших настоящую методику и эксплуатационную документацию на прибор FX85 и средства его поверки.
одготовке и проведении поверки должны быть соблюдены "Безопасность лабораторного
безопасности согласно ГОСТ 12.3.019-80 контрольно-измерительных приборов и
4.1 При п требования электрических оборудования. Часть 1. Общие требования", СТБ IEC 60825-1-2017 "Безопасность лазерных изделий. Часть 1. Классификация оборудования и требования" и руководства по эксплуатации прибора FX85.
-
4.2 При проведении поверки необходимо не допускать попадания в глаза лазерного излучения.
-
5.1 При проведении поверки должны соблюдаться следующие условия:
-
- температура окружающей среды (20+5) °C;
-
- относительная влажность воздуха (65±15) %;
-
- атмосферное давление 96-104 кПа.
-
6.1 Перед проведением поверки необходимо:
-
- проверить срок действия свидетельств о поверке применяемых средств измерений;
-
- подготовить применяемые при поверке приборы к работе согласно их
руководству по эксплуатации.
-
6.2 Все оптические детали приборов, используемых при поверке, очищают от пыли в соответствии с разделом "Техническое обслуживание" руководства по эксплуатации прибора FX85.
-
7 ПРОВЕДЕНИЕ ПОВЕРКИ
-
7.1 Внешний осмотр
-
7.1.1 При j проведении внешнего осмотра должно быть установлено соответствие поверяемого прибора FX85 следующим требованиям:
-
- соответствие комплектности поверяемого прибора FX85;
-
- отсутствие видимых механических повреждений;
-
- исправность кабелей и разъемов, четкость маркировки;
-
- исправность и прочность крепления органов управления.
Прибор, имеющий дефекты, дальнейшей поверке не подлежит.
7.2 Опробование-
7.2.1 Опробование проводится для каждого функционального устройства (источника оптического излучения, измерителя оптической мощности, измерителя обратных потерь), встроенного в прибор FX85 для оценки его исправности.
7.2.2 Для опробования измерителя оптической мощности модификации РМ1 или РМ2 необходимо выполнить следующие операции.
-
1) Включить прибор FX85, нажав кнопку Ml. и удерживая ее в течение 3 сек. После этого должна появиться индикация на экране.
-
2) Последовательным нажатием кнопки [MODE] установить режим измерителя оптической мощности РМ1 или РМ2.
В режиме i измерения оптической мощности РМ1 или РМ2 на экране отображаются данные, показанные на рисунке 1.
-
3) Закрыть оптический разъем измерителя оптической мощности защитным колпачком, а затем открыть его.

индикатдр заряда аккумулятора
режим измерения оптической мощности
i
длина волны измеряемого излучения
измеренная мощность
х
X
1
X
X
частота модуляции измеряемого сигнала
/
1
уровень
измеренной
мощности
-I РМ1
131 Onm\ 1000Hz
414.5u.W
состояние источника излучения : ВЫКЛ
текущее назначение кнопок [F1]-[F3]
Рисунок 1
Результат считают удовлетворительным,
оптического разъема показания прибора меняются.
если при открывании
7.2.3 Для
опробования источника оптического излучения необходимо
выполнить следующие операции.
1) Включить оптический тестер ОТ-2-ЗА и загрузить его программное
обеспечение.
После этого должна появиться индикация на экране.
3) Соединить источник оптического излучения прибора FX85
соединительным оптическим кабелем с измерителем мощности оптического тестера ОТ-2-ЗА.
4) Последовательным нажатием кнопки [MODE] установить режим источника
оптического излечения - см. рисунок 2.
LASER
Рисунок 2
5) Нажать
кнопку (F2 LASER], появится меню, показанное на рисунке 3.
LASER OFF 1310nmCW
► 1550nmCW^ 1625nm CW AUTO
MOD EXIT
Рисунок 3
6) Кнопками A, ▼ выбрать лазер с наименьшей длиной волны поверяемого прибора FX85 и нажать кнопку [Shift / J ].
После этого на экране должна отображаться информация о включенном источнике излучения, как показано на рисунке 4, а показания оптического тестера ОТ-2-ЗА должны измениться.
Рисунок 4
7) Повторяя действия по перечислениям 5), 6), по очереди включить лазеры с другими длинами волн поверяемого прибора FX85. При этом на экране должна отображаться информация о длине волны включенного оптического тестера ОТ-2-ЗА должны изменяться.
лазера, а показания
Результат считают удовлетворительным, требования перечислений 4) - 7).
если выполняются
7.2.4 Для опробования измерителя обратных выполнить следующие операции.
потерь необходимо
ПМН /
1) Включить прибор FX85, нажав кнопку йЯЕ и удерживая ее в течение З сею-После этого должна появиться индикация на ЖК-индикаторе.
-
2) Последовательным измерителя обратных потерь
нажатием
- см. рисунок
кнопки [MODE] установить 5.
режим
й ORL
dBLASER: OFF
LASER
Рисунок 5
-
3) Нажать кнопку [F2 LASER], должно появиться меню, показанное на рисунке 3.
-
4) Кнопками ▲, ▼ выбрать лазер с наименьшей длиной волны поверяемого прибора FX85 и нажать кнопку [Shift / J ]
При этом на экране должно появиться численное значение обратных потерь.
Результат считают удовлетворительным, если выполняются требования перечислений 2) - 4).
7.2.5 Для идентификации программного обеспечения прибора FX85 необходимо войти в режим Setting, нажав кнопку [Shift / J ], а затем Т, ив двух нижних строках окна прочитать версию программного обеспечения и значение контрольной суммы.
-
7.3 Определение метрологических характеристик
оптической мощности,
Определение относительной погрешности при измерении мощности выполняют установленных в прибор FX85.
для всех модификаций измерителя
Измерения выполняют методом сравнения. При поверке прибор FX85 должен размещаться как можно ближе к измерителю мощности оптического тестера ОТ-2-ЗА, чтобы обеспечить минимальное перемещение оптических соединительных кабелей.
При поверке измерителя оптической мощности модификации РМ1 или РМ2 оптический разъем оптических соединительных кабелей, подключаемый к прибору FX85, Может быть со стандартным, типа UPC, или скошенным, типа АРС, торцом.
При поверке измерителя оптической мощности модификации РМЗ оптический разъем оптических кабелей, подключаемый к прибору FX85, должен быть со скощенным, типа АРС, торцом (измеритель оптической мощности модификации РМЗ является опцией измерителя обратных потерь прибора.FX85)..
Для определения относительной погрешности измерения оптической мощности необходимо выполнить следующие операции.
-
1) В приборе FX85 последовательным нажатием кнопки [MODE] установить режим измерителя оптической мощности РМ1, РМ2 или РМЗ - см. рисунок 1.
-
2) Установить длину волны измеряемого излучения 1310 нм, для чего:
-
- нажать кнопку [F1 WAVE], появится меню, показанное на рисунке 6;
-
- кнопками А, ▼ выбрать требуемое значение длины волны измеряемого
излучения._____________________________________________
|
EXIT |
650nm 850nm ► 1310nm ◄ 1490nm 1550nm | |
Рисунок 6
-
3) Загрузить управляющую программу оптического тестера ОТ-2-ЗА и включить источник излучения оптического тестера ОТ-2-ЗА с длиной волны, соответствующей длине волны, установленной для прибора FX85 в перечислении
-
2).
-
4) Собрат^ схему измерения согласно рисунку 7.
Соединить источник излучения оптического тестера ОТ-2-ЗА с помощью ОКС-1 с измерителем мощности оптического тестера ОТ-2-ЗА и установить для данной длины волны максимальное значение мощности, указанное в таблице 3 для проверяемой модификации измерителя оптической мощности прибора FX85 (отклонение от этого значения не должно превышать ±20 %).
ИИ - источники излучения оптического тестера ОТ-2-ЗА; ИМ -измеритель оптической мощности оптического тестера ОТ-2-ЗА;, :
ОКС-1 - оптический кабель соединительный; < ;
РМ - измеритель оптической мощности прибора FX85 ' с. / • ■ ”
Рисунок? ..
МРБ МГШ%-2018
-
6) Собрать схему измерения согласно рисунку 8 и повторить измерения при остальных значениях мощности, указанных в таблице 3 (отклонение от этих значений не должно превышать ±20 %). Изменение оптической мощности осуществляется регулировкой тока накачки источника излучения оптического тестера ОТ-2-ЗА и с помощью оптического аттенюатора.
Тестер оптический OT-2-3A
ОКС-1

■<
ИИ
ОКС-2

FX85
(РМ)
ИИ - источники излучения оптического тестера OT-2-3A; ИМ - измеритель оптической мощности оптического тестера OT-2-3A; ОКС-1, ОКС-2 -оптические кабели соединительные; Атт - переменный оптический аттенюатор; РМ - измеритель оптической мощности прибора FX85
Рисунок 8
Таблица 3
|
Модификаци измерителя оптич мощности |
1S о б ЕГ.............................. |
Длина волны калибровки (градуировки), нм |
Значение оптической мощности в проверяемых точках |
|
РМ1 |
650 |
1 мВт | |
|
850 |
2 мВт, 1 мкВт, 1 нВт | ||
|
1310 |
10 мВт, 100 мкВт, 1 мкВт, 10 нВт, 0,1 нВт | ||
|
1490 |
1 мВт | ||
|
1550 |
1 мВт | ||
|
1625 |
1 мВт | ||
|
РМ2 |
850 |
2 мВт, 100 нВт | |
|
1310 |
10 мВт, 100 мкВт, 1 мкВт, 10 нВт | ||
|
1490 |
1 мВт | ||
|
1550 |
1 мВт | ||
|
1625 |
1 мВт | ||
|
РМЗ |
1310 |
10 мВт, 100 мкВт, 1 мкВт, 10 нВт, 0,1 нВт | |
|
1490 |
1 мВт | ||
|
1550 |
1 мВт | ||
|
1625 |
1 мВт |
-
7) Определить относительную разность %, в показаниях поверяемого измерителя оптической мощности прибора FX85 и оптического тестера ОТ-2-ЗА, среднее арифметическое значение относительной разности 0Z квадратическое
'z, %, и среднее
отклонение (CKO) Sjt %, по формулам
р.. - Р..
* oji
1 W
(3)
- мощность, измеренная поверяемым измерителем оптической
где Л, - р'>л
мощности прибора FX85 и оптическим тестером ОТ-2-ЗА соответственно, Вт;
/ - номер измерения при j-ом значении мощности;
Л/-число измерений приj-ом значении мощности,
-
8) Рассчитать границы (без учета знака) относительной погрешности при измерении оптической мощности на длине волны калибровки (градуировки) при данном зна
чении мощности по формуле
=2-7(«; +s0!)/3+s;
(4)
где 0О - предел допускаемой относительной погрешности при измерении оптической мощности оптического тестера ОТ-2-ЗА на длине волны калибровки (градуировки), %;
9) рассчитать границы (без учета знака) относительной погрешности при измерении оптической мощности на длине волны калибровки (градуировки) 3, %, в диапазоне мощности по формуле
! 5 = 2-J(^+^)/3 + S2
где 0l = max|0z
S = (пах (Sy)
-
10) Для длины волны калибровки (градуировки) 850 нм по перечислениям 2) - 9).
-
11) Для остальных длин волн калибровки (градуировки) по перечислениям 2) - 5), 7), 8).
повторить
повторить
Результаты относительной пределах, указанных в таблице 4.
считают удовлетворительными,
если
-
(5)
-
(6)
(7)
действия
действия
границы погрешности измерения оптической мощности находятся в
Таблица 4
|
Модификация измерителя мощности |
Длина волны калибровки (градуировки), нм | |||
|
650 |
850 |
1310, 1490, 1550, 1625 | ||
|
Погрешность измерения мощности | ||||
|
РМ1 |
±12% (±0,49 дБ) |
±8 % (±0,33 дБ) |
±5 % (±0,22 дБ) | |
|
РМ2 |
- | |||
|
РМЗ |
- |
- |
±12% (±0,49 дБ) | |
Границы (без учета знака) относительной погрешности при измерении относительных уровней мощности Зотн, %, определяют по формуле
s,..„ =2-7(^+^)/3 + S!
где 6,
/ 7;. о i
.,S /
л/
(10)
м
М - количество уровней мощности, при которых производилось сравнение показаний оптического тестера ОТ-2-ЗА и поверяемого измерителя мощности;
допускаемой относительной погрешности измерения
- предел относительных [уровней мощности оптического тестера ОТ-2-ЗА, %.
Результаты считают удовлетворительными, если границы относительной погрешности при измерении относительных уровней оптической мощности находятся в пределах, указанных в таблице 5.
Таблица 5
|
Длина волны калибровки (градуировки), нм | |||
|
Модификеция измерителя |
650 |
850 |
1310, 1490, 1550, 1625 |
|
мощности |
Погрешность измерения мощности | ||
|
РМ1 |
±6,0 % (±0,25 дБ) |
±4,0 % (±0,17 ДБ) |
±2,5% (±0,11 дБ) |
|
РМ2 |
— | ||
|
РМЗ |
- |
- |
±4,0% (±0,17 дБ). |
Определение уровня мощности выполняют как для источника оптического излучения, выполненного в виде отдельного функционального устройства прибора FX85, так и для источника, являющегося составной частью измерителя обратных потерь.
Определение уровня мощности источника оптического излучения прибора FX85 проводят по схеме рисунка 9.
Тестер оптический ОТ-2-ЗА

|
ИМ |
ОКС |
FX85 | |
|
(LS) |
ИИ - источники излучения оптического тестера ОТ-2-ЗА; ИМ -змеритель оптической мощности оптического тестера ОТ-2-ЗА;
ОКС - оптический кабель соединительный;
LS - источник оптического излучения прибора FX85

Рисунок 9
Для определения уровня мощности источника оптическогосдизлучёНия прибора FX85 необходимо выполнить следующие действия. /о; Y
-
1) Последовательным нажатием кнопки [MODE] установить режим ^источника i оптического излучения - см. рисунок 2. ;
-
2) Включить лазер с наименьшей длиной волны поверяемого прибора FX85 как описано в 7
2.3.
-
3) В оптическом тестере ОТ-2-ЗА установить длину волны измеряемого оптического излучения, равную длине волны источника оптического излучения поверяемого прибора FX85.
-
4) Подать оптическое излучение от поверяемого прибора FX85 на вход измерителя мощности оптического тестера ОТ-2-ЗА, подсоединив ОКС, и измерить уровень мощности оптического излучения.
-
5) Повторить измерение еще два раза, отсоединяя ОКС от поверяемого прибора FX85 и вновь присоединяя его.
-
6) Определить значение уровня мощности оптического излучения Р, дБм, на выходе ОКС по формуле:

(11)
где Р,- результат i-ro наблюдения, дБм;
i— номер измерения.
-
7) Повторить перечисления 2) - 6) для всех длин волн источника оптического излучения прибора FX85.
Результаты считают удовлетворительными, если измеренное значение уровня мощности источника оптического излучения на каждой длине волны соответствует таблице 6.
Таблица 6
|
Модификация источника оптического излучения |
Уровень мощности излучения, дБм, не менее | |
|
LS15 |
-4 | |
|
LS14 |
-4 | |
|
LS16 |
-4 | |
|
LS17 |
-8 | |
|
LS85 |
-4 | |
|
LS1585 |
-4 | |
нестабильности
источника оптического излучения, выполненного функционального устройства прибора FX85, так и для
составной частью измерителя обратных потерь. Определение нестабильности уровня мощности излучения прибора FX85 проводят по схеме рисунка 9.
в виде отдельного источника, являющегося источника оптического
Для опред
излучения приб
еления нестабильности уровня мощности источника оптического
эра FX85 необходимо выполнить следующие действия.
-
1) Последовательным нажатием кнопки [MODE] установить режим источника оптического излучения - см. рисунок 2.
-
2) Включить лазер с наименьшей длиной волны поверяемого прибора FX85, как описано в 7.2.3.
ческом тестере ОТ-2-ЗА установить длину волны измеряемого
-
3) В опти
оптического излучения, равную длине волны источника оптического излучения поверяемого пр
-
4) Подать
ибора FX85.
оптическое излучение от поверяемого прибора FX85 на вход
измерителя мощности оптического тестера ОТ-2-ЗА, подсоединив ОКС.
-
5) Снять показания измерителя мощности оптического тестера течение 15 мин
-
6) Рассчитать нестабильность Q, дБ оптического излучения прибора FX85 по формуле
ут с интервалом в 5 с.
, уровня мощности
ОТ-2-ЗА в
источника
-
Г Р -Р
O = 10-lg 1 + 2--=--—
“ Р +Р
\ max г
1 + Р ’
max ' * min J
(12)
максимальное и минимальное значение
где Р и
'г-* Л шах
оптического излучения, Вт.
7) Повторить перечисления 2) - 6) для всех длин волн излучения оптического излучения прибора FX85.
мощности
источника
Результаты считают удовлетворительными, если измеренное значение нестабильности
находится в пределах
-
- ±0,03 дБ для одномодовых источников оптического излучения прибора FX85;
-
- ±0,05 дБ для многомодовых источников оптического излучения прибора FX85.
Определение абсолютной погрешности при измерении обратных потерь производят с использованием кабелей оптических калибровочных, обозначение и параметры которых указаны в таблице 7.
Таблица 7
|
Обозначение кг калибр |
беля оптического ОБОЧНОГО |
Значение обратных потерь, дБ, на длинах волн 1310 нм, 1490 нм, 1550 нм и 1625 нм |
|
"-■Ц |
1 ДБ" |
-14± 1 |
|
"-35 дБ" |
-35 ±2 | |
|
"-45 дБ" |
-45 ±2 | |
|
"-60 дБ" |
бо +3/ | |
Определение обратных потерь кабелей оптических калибровочных изложено в приложении Б.
Определение абсолютной погрешности при измерении обратных потерь производят на каждой длине волны проверяемого прибора FX85.
Для определения абсолютной погрешности при измерении обратных потерь необходимо выполнить следующие операции.
-
1) Последовательным нажатием кнопки [MODE] установить режим измерителя обратных потерь - см. рисунок 5.
-
2) Нажать кнопку [F2 LASER], появится меню, показанное на рисунке 3. „ - -
и А, ▼ выбрать лазер с наименьшей длиной волны поверяемого нажать кнопку [Shift / J ], появится меню режима ORL; показанное :
//С''чг
-
3) Кнопкам прибора FX85 и на рисунке 10.
МРВ МП.2736-2013
a ORL
-64.85 dBLASER: 1310nm
CALIBR LASER REF C
Рисунок 10
-
4) Закрыть оптический разъем измерителя обратных потерь прибора FX85 защитным колпачком и выполнить калибровку нулевого уровня, нажав кнопку [F1 CALIBR],
-
5) Открыть оптический разъем измерителя обратных потерь прибора FX85 и присоединить к
нему кабель оптический калибровочный "-14 дБ".
кнопку [F3 REF_C], на экране появится измеренное значение
-
6) Нажать
обратных потерь - см. рисунок 11.

Default
EXIT
Рисунок 11
-
7) Кнопками А, ▼ установить значение обратных потерь такое же, как у кабеля оптического калибровочного (в дальнейшем оно обозначается Ro).
После этого нажать кнопку [Shift / J ].
-
8) Отсоединить кабель оптический калибровочный "-14 дБ" от проверяемого прибора FX85 И присоединить его вновь; выполнить указанное действие пять раз, фиксируя каждой раз показания прибора FX85.
-
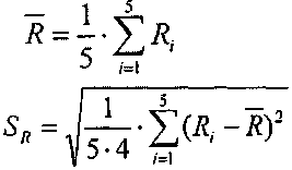
9) Рассчитать среднее значение показаний R, дБ, и среднее квадратическое отклонение Slt, дБ, по формулам:

(13)
где Rj- обратные потери, измеренные поверяемым прибором FX85, дБ;. /'- номер наблюдения.
- и
7 //
итать границы (без учета знака) абсолютной погрешности при R > дБ, ПО
-
10) Рассч измерении обратных потерь кабеля оптического калибровочного Д формуле
(15)
значение величины обратных потерь кабеля оптического
где Ro
калибровочного, дБ;
ARo - погрешность измерения обратных потерь кабеля оптического калибровочного (см. Приложение Б), дБ.
11) По очереди присоединить кабели оптические калибровочные "-35 дБ", и повторить действия по
>0 дБ" к проверяемому прибору FX85 6)-10).
11) для всех длин волн
если границы абсолютной
Результаты считают удовлетворительными, погрешности при измерении обратных потерь находятся в пределах:
-
- ±0,5 дБ для значений обратных потерь в диапазоне от минус 50 до минус 14 дБ;
-
- ±1 дБ для значений обратных потерь в диапазоне от минус 60 до минус 50 дБ.
8.1 Резуль
тэты поверки оформляются протоколом поверки, рекомендуемая
форма которого приведена в приложении А.
8.2 Если применению, то
по результатам поверки прибор FX85 признан пригодным к на него наносят поверительное клеймо и выдают свидетельство о
поверке по форме, установленной ТКП 8.003 (приложение Г).
-
8.3 Если по результатам поверки прибор FX85 признан непригодным к применению, прверительное клеймо гасят, свидетельство о поверке аннулируют и выписывают заключение о непригодности по форме ТКП 8.003 (приложение Д) с указанием причин. Прибор FX85 к применению не допускается.

Приложение А
(рекомендуемое)
Форма протокола поверкинаименование организации, проводящей поверку
Аттестат аккредитацииВУ/
от
____________________________года
поверки тестера оптического тип FX85__
принадлежащего_________
Изготовитель
Дата проведения поверки
Поверка проводится по
Средства поверки
наименование организации
наименование изготовителя
с... по...
обозначение документа, по которому проводят поверку
|
Нак |
менование средства измерений, тип |
Заводской номер |
Условия поверки
-
- температура окружающего воздуха
-
- относительная влажность________
-
- атмосферное
давление
__________°C; _ %;
кПа
Результаты поверки 1 Внешний осмотр _
2 Опробование
соответствует/не соответствует
3 Определение
соответствует/не соответствует
метрологических характеристик
ние относительной погрешности при измерении оптической
3.1 Определе мощности на длинах волн калибровки (градуировки)
Длина волны
нм
|
Измеренная моищ |
юсть |
Разность, % |
Средняя разность, % |
СКО, % |
Границы погрешности, % |
Предел допускаемой погрешности, % | ||
|
ОТ-2-ЗА |
Измери мощнс |
тель юти | ||||||
|
Диап |
азон |
Границы погрешности, % | ||||||
|
Pmin |
Ртах |
Измерено |
Предел допускаемой погрешности,'.% . | |||||
3.2 Определение относительной погрешности при измерении относительных уровней оптической мощности
Длина волны
нм
оптической мощности
|
Pmin |
Ртах |
погрешности, % погрешности, % | ||
|
3.3 Определена |
ie уровня мощности источника оптического излучения | |||
|
Длина волны, нг |
и |
Уровень мощности источника излучения, дБм | ||
|
Измерено |
Допускаемое значение, не менее | |||
-
3.4 Определение нестабильности уровня мощности источника оптического излучения
Длина волны, нг
л
Нестабильность уровня мощности источника излучения, дБм
Измерено
Допускаемое значение, не более
3.5 Определение абсолютной погрешности при измерении обратных потерь
Длина волны
нм
Обратные потери, дБ
Кабель оптический калибровочный
FX85
Разность,
Средняя разность,

Г раницы погрешности,
Предел допускаемой погрешности,

Заключение
годен/не годен
Свидетельство
(заключение о непригодности) №____________
Поверитель
подпись
расшифровка подписи


Приложение Б
Определение обратных потерь кабеля оптического калибровочного
Определение обратных потерь кабеля оптического калибровочного проводят на длинах волн 1310 нм, 1490 нм, 1550 нм и 1625 нм с использованием оптического тестера ОТ-2-ЗА и оптического разветвителя.
Для определения обратных потерь необходимо выполнить следующие действия.
а) Собрать схему согласно рисунку Б.1, включить источник излучения оптического тестера ОТ-2-ЗА и измерить оптическую мощность Ро , Вт, на выходе разъема типа */АРС кабеля оптического калибровочного ОК-К.
i Тестер оптический ОТ-2-ЗА
FC/UPC
__.__L—____
I
I
Уровень мощности Но
ИИ - источники излучения оптического тестера OT-2-3A, ИМ - измеритель оптической мощности оптического тестера ОТ-2-ЗА, ОК-К - кабель оптический калибровочный с выходным разъемом FC/UPC, АРС - оптический разъем со скошенным торцом (например, FC/APC)
Рисунок Б.1
б) Собрать схему согласно рисунку Б.2 и измерить оптическую мощность Pi , Вт, на выводе 3
оптического разветвителя.
I
I
Уровень мощности Pi
ИИ - источники излучения оптического тестера OT-2-3A; ИМ -измеритель оптической мощности оптического тестера OT-2-3A; ОК-К - кабель оптический калибровочный с выходным разъемом FC/UPC; АРС - оптические разъемы со скошенным торцом (например, FC/APC); ОР - оптический разветвитель
Рисунок Б.2 {
в) Отсоединить вывод 2 оптического разветвителя от ОК-К и присоединить его вновь; указанное действие повторяют четыре раза, фиксируя каждый раз показания ИМ.
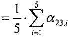
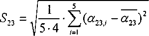
г) При каждом измерении рассчитать значение затухания сггз,/. дБ, между выводами 2 и 3 оптического разветвителя, среднее значение затухания а23, дБ, и
среднее квадратическое отклонение 523 , дБ, по формулам
( Р А = 10-log -f
**23,i



(Б.1)
(Б.2)
(Б.З)
мощность на наблюдении, дБм;
/- номер наблюдения.
где Рц -
выводе 3 оптического разветвителя при i-ом
оптический I, используя оптический рисунку Б.З.
оптическую мощность
д) Отсоединить кабель разветвителя и схему согласно
Измерить разветвителя.
калибровочный от оптического кабель соединительный ОКС, собрать
Р2 , Вт, на выводе 2 оптического
I
Уровень мощности Рг
ИИ - источники излучения оптического тестера ОТ-2-ЗА;
ИМ - измеритель мощности оптического тестера ОТ-2-ЗА; ОКС - оптический кабель соединительный; АРС - оптические разъемы со скошенным торцом (например, FC/APC);
ОР - оптический разветвитель
Рисунок Б.З
е) Не нарушая соединения ОКС с источником излучения оптического тестера
ОТ-2-ЗА и с выводом 1 оптического разветвителя, собрать схему согласно рисунку Б.4 и измерить оптическую мощность Рз ,Вт, на выводе 3 оптического разветвителя.

i
Уровень мощности Рз
ИИ - источники излучения оптического тестера ОТ-2-ЗА;
ИМ - измеритель оптической мощности оптического тестера ОТ-2-ЗА; ОКС - оптический кабель соединительный;
АРС - оптические разъемы со скошенным торцом (например, FC/APC); ОР - оптический разветвитель
Рисунок Б.4
ж) Рассчитать значение выражения 10-log(P2/Р3). Оно должно быть больше 55 дБ.
Если 10-logC/3, //’-,)< 55 дБ, необходимо очистить оптические разъемы оптических сое, действия по перечислениям а) - е).
динительных кабелей и оптического разветвителя и повторить
►ду 2 оптического разветвителя подключить кабель оптический согласно рисунку Б.5 и измерить оптическую мощность Р3к, Вт, на
з) К выво калибровочный выводе 3 оптического разветвителя.
I
I
Уровень мощности Рзк
ИИ - источники излучения оптического тестера ОТ-2-ЗА;
ИМ - измеритель оптической мощности оптического тестера ОТ-2-ЗА; ОКС - оптический кабель соединительный; ОР - оптический разветвитель; АРС - оптические разъемы со скошенным торцом (например, FC/APC); ОК-К - кабель оптический калибровочный с выходным разъемом FC/UPC
Рисунок Б.5
и) Отсоеди разветвителя и присоединить его вновь.
Указанное фиксируют значение разветвителя.
нить кабель оптический калибровочный от вывода 2 оптического
действие повторяют четыре раза; после каждого присоединения оптической мощности на выводе^'3: оптического
ждом измерении рассчитать значение обратных потерь кабеля
!0,., дБ, среднее значение^, дБ, и среднее
к) При ка
оптического калибровочного Rt квадратическое отклонение S/tii, дБ, по формулам
ROi =10-log
3K,i
+ rz23
(Б.4)
(Б.5) (Б.6)
где Рзк,/ - мощность на выводе 3 оптического разветвителя при i-ом присоединении
кабеля оптического калибровочного, Вт;
/- номер наблюдения;
л) Рассчитать погрешность при измерении обратных потерь кабеля оптического калибровочного, Д7?о, дБ , по формуле
(Б.7)
0ОО = ю • lg(l + 0ОО /100) - предел допускаемой относительной
где погрешности п тестера ОТ-2-ЗА, дБ;
О.», - п
относительных
ри измерении относительных уровней мощности оптического редел допускаемой относительной погрешности измерения уровней мощности оптического тестера ОТ-2-ЗА, %.
