Методика поверки «Хроматографы жидкостные YL9100 plus/YL9300» (МП 205-18-2018)
УТВЕРЖДАЮ

Заместитель директора по ной метрологии ФГУП «ВНИИМС»
Иванникова 2018 г.
Хроматографы жидкостные YL9100 pIus/YL9300
Методика поверки
МП 205- 18 -2018
Москва 2018 г.
Настоящая методика распространяется на хроматографы жидкостные YL9100 plus/YL9300 (далее - хроматографы), изготовленные «YL Instruments Со., Ltd», Республика Корея, и устанавливает методику их первичной и периодической поверок.
Интервал между поверками -1 год.
-
1 ОПЕРАЦИИ ПОВЕРКИ
-
1.1 При проведении поверки выполняют операции, указанные в таблице 1.
-
Таблица 1 - Операции при поверке
Наименование операции |
Номер пункта инструкции |
Внешний осмотр |
4.1 |
Опробование
|
|
Определение метрологических характеристик: |
4.3 |
- определение относительного среднего квадратического отклонения выходного сигнала |
4.3.1 |
- определение относительного изменения выходного сигнала за 8 часов непрерывной работы |
4.3.2 |
-
1.2 Поверку хроматографа модели YL9100 plus выполняют для детектора (детекторов), входящих в комплект поставки хроматографа. При наличии в комплекте хроматографа нескольких детекторов допускается проведение поверки для части из них (на основании заявления владельца СИ или другого лица, представляющего СИ на поверку) в соответствии с п. 16 «Порядок проведения поверки средств измерений, требования к знаку поверки и содержанию свидетельства о поверке» (угв. приказом Министерства промышленности и торговли РФ от 2 июля 2015 г. № 1815).
-
1.3 Если при проведении той или иной операции поверки получен отрицательный результат, дальнейшее выполнение поверки прекращают.
-
1.4 При проведении периодической поверки хроматографов, эксплуатируемых по НД на методики измерений, отвечающим требованиям ГОСТ Р 8.563-2009, проверяют показатели точности результатов измерений в соответствии с процедурами и нормативами контроля, регламентированными в НД на методику измерений.
-
2 СРЕДСТВА ПОВЕРКИ
-
2.1 При проведении поверки применяют следующие средства поверки:
-
-
- ГСО № 7141-95М - стандартный образец состава бензола в метаноле с массовой концентрацией 0,1 г/дм1;
-
- Весы электронные лабораторные неавтоматического действия X (per. № 60903-15), НПВ не более 220 г, I (специального) класса точности по ГОСТ OIML R 76-1-2011;
-
- D-глюкоза квалификации «ч.д.а.» по ГОСТ 6038-79;
-
- посуда мерная лабораторная стеклянная по ГОСТ 1770-74;
-
- вода дистиллированная по ГОСТ 6709-72.
Примечание - Допускается применение аналогичных средств поверки, обеспечивающих определение метрологических характеристик поверяемых средств измерений с требуемой точностью.
-
- температура окружающего воздуха, °C
20 ±5
от 84 до 106,7
от 30 до 90
-
- атмосферное давление, кПа
-
- относительная влажность воздуха, %
-
3.1 Хроматограф подготавливают к работе в соответствии с Руководством по эксплуатации.
-
3.2 Перед проведением поверки подготавливают контрольные растворы и элюенты, устанавливают параметры хроматографирования в соответствии с таблицей 2. Методика приготовления контрольного раствора глюкозы приведена в приложении 1.
Таблица 2 - Условия хроматографирования
Детектор |
Контрольный раствор |
Массовая концентрация, мг/дм3 |
Объем пробы, мкл |
Условия хроматографирования |
Спектрофотометрические YL9120 (модель YL9100 plus), YL 9320 (модель YL9300) |
Бензол в метаноле |
100 |
40 |
Элюент: ацетонитрил : вода 80:20, колонка С18 (4,6x150 мм), температура колонки (40,0±0,1) °C; скорость потока элюента 1 см3/мин; длина волны 254 нм |
Детектор на диодной матрице YL9160 |
Бензол в метаноле |
100 |
40 |
Элюент: ацетонитрил : вода 80:20, колонка С18 (4,6x150 мм), температура колонки (40,0±0,1) °C; скорость потока элюента 1 см3/мин; длина волны 254 нм |
Рефрактометрический YL9I70 |
Глюкоза в воде |
100 |
20 |
Элюент: ацетонитрил : вода 80:20, колонка NH2 (4,6x250 мм), температура колонки (30,0±0,1) °C; скорость потока элюента 1 см^/мин |
Детектор испарительного лазерного светорассеива-ния YL9180 ELSD |
Глюкоза в воде |
100 |
20 |
Элюент: ацетонитрил : вода 80:20, колонка NH2 (4,6x250 мм), температура колонки (30,0±0,1) °C; скорость потока элюента 1 см3/мин |
-
3.3 Поверку выполняют после выхода хроматографа на режим и установления заданных параметров.
-
4 ПРОВЕДЕНИЕ ПОВЕРКИ
-
4.1 Внешний осмотр
-
При внешнем осмотре устанавливают:
-
- соответствие комплектности хроматографа паспортным данным;
-
- четкость маркировки;
-
- исправность механизмов и крепежных деталей.
-
4.2 Опробование
-
4.2.1 При опробовании проводят определение амплитуды флуктуационных шумов и дрейфа нулевого сигнала.
-
После выхода хроматографа на режим записывают в течение не менее 60 минут нулевой сигнал каждого детектора на наиболее чувствительной шкале.
Амплитуду флуктуационных шумов нулевого сигнала (Ах) принимают равным максимальному значению амплитуды повторяющихся колебаний нулевого сигнала с периодом не более 20 с.
Значение дрейфа нулевого сигнала принимают равным смещению нулевого сигнала в течение 60 минут.
Значения амплитуды флуктуационных шумов и дрейфа нулевого сигнала не должны превышать значений, приведенных в НД на хроматограф (Приложение 2).
-
4.2.2 Проверка идентификационных признаков ПО
Проверку идентификационных данных выполняют, проверяя соответствие идентификационного наименования и версии ПО хроматографа (выбирая пункт меню «Help» -«About» или «Помощь» - «О программе») наименованию и версии ПО, указанной в описании типа (таблица 3).
Таблица 3 - Идетнтификационные данные
Идентификационные данные (признаки) |
Значение |
Идентификационное наименование ПО |
YL-Clarity |
Номер версии (идентификационный номер ПО) |
Не нижеУег. 7.4.0 |
-
4.3 Определение метрологических характеристик
-
4.3.1 Определение относительного среднего квадратического отклонения выходного сигнала
-
Измерения проводят после выхода хроматографа на режим. Контрольный раствор, объем дозирования и условия выполнения измерений должны соответствовать таблице 2.
При наличии в комплекте хроматографа автосамплера измерения проводят с применением автоматического дозирования, при отсутствии - с применением ручного дозирования.
Контрольный раствор (таблица 2) вводят в хроматограф не менее 6 раз, измеряют значения выходного сигнала (времени удерживания и площади пика), вычисляют среднее арифметическое значение выходного сигнала (X) по результатам не менее 5 последовательных измерений.
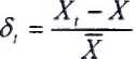
Относительное среднее квадратическое отклонение выходного сигнала рассчитывают по формуле (1).
100
п-1

где X - '-тое значение параметра выходного сигнала (высоты, площади пика, времени удерживания), мВ, мВ-c, с;
X - среднее арифметическое значение параметра выходного сигнала (высоты, площади пика, времени удерживания), мВ, мВ-c, с;
п - число анализов.
Значения относительного среднего квадратического отклонения выходного сигнала не должны превышать значений, приведенных в НД на хроматограф, для автоматического или ручного дозирования, (Приложение 2), соответственно проведенной процедуре дозирования при поверке.
-
4.3.2 Определение относительного изменения выходного сигнала за 8 часов непрерывной работы.
Условия измерений аналогичны, описанным в п.3.1. Проводят операции, по п.4.3.1. Через 8 часов непрерывной работы повторяют измерения по п.4.3.1.
Относительное изменение выходного сигнала (площади пика) за 8 часов непрерывной работы хроматографа рассчитывают по формуле (2)

100,
(2)
где X, - среднее арифметическое значение выходного сигнала (площади пика, времени удерживания) через 8 часов непрерывной работы, мВ с, с.
4.3.5 Значения относительного изменения выходного сигнала не должны превышать норм, приведенных в НД на хроматограф (Приложение 2)
5 ОФОРМЛЕНИЕ РЕЗУЛЬТАТОВ ПОВЕРКИ
5.1 Результаты поверки хроматографов заносят в протокол.
-
5.2 Положительные результаты поверки анализатора оформляют выдачей Свидетельства о поверке в соответствии с Порядком проведения поверки средств измерений, требования к знаку поверки и содержанию свидетельства о поверке (утв. приказом Министерства промышленности и торговли РФ от 2 июля 2015 г. № 1815) с указанием поверенного детектора (детекторов).
В соответствии с п. 16 вышеуказанного Порядка при проведении поверки хроматографов жидкостных модели YL9100 plus в свидетельстве указывают объем поверки (перечень поверенных детекторов).
Знак поверки наносят в свидетельство о поверке.
-
5.3 На хроматографы, не удовлетворяющие требованиям настоящей методики, выдают извещение о непригодности с указанием причин в соответствии с Порядком проведения поверки средств измерений, требования к знаку поверки и содержанию свидетельства о поверке (утв. приказом Министерства промышленности и торговли РФ от 2 июля 2015 г. №1815).
Начальник отдела ФГУП «ВНИИМС» С.В. Вихрова

Е.Г. Оленина
Старший научный сотрудник ФГУП «ВНИИМС»
ПРИЛОЖЕНИЕ 1
(Рекомендуемое)
МЕТОДИКА ПРИГОТОВЛЕНИЯ КОНТРОЛЬНЫХ РАСТВОРОВ
Методика предназначена для приготовления контрольного водного раствора глюкозы с массовой концентрацией 100 мг/дм2 3.
-
1 СРЕДСТВА ИЗМЕРЕНИЙ, ПОСУДА, РЕАКТИВЫ
-
1.1 Весы электронные лабораторные неавтоматического действия X (per. № 60903-15), НПВ не более 220 г, I (специального) класса точности по ГОСТ OIML R 76-1-2011.
-
1.2 Посуда мерная лабораторная стеклянная по ГОСТ 1770-74:
-
- колбы мерные 2-50-2, 2-1000-2.
-
1.3 Пипетка градуированная вместимостью 2-2-2-5 по ГОСТ 29227-91.
-
1.4 Стаканы или бюксы для взвешивания.
-
1.5 D-глюкоза квалификации «ч.д.а.» по ГОСТ 6038-79 (Чистый реактив D-глюкоза безводная, CAS № 50-99-7, массовая доля основного вещества не менее 99,5 %).
-
1.6 Вода дистиллированная по ГОСТ 6709-72.
ПРИЛОЖЕНИЕ 2
(Обязательное)
Метрологические характеристики хроматографов жидкостных YL9100 plus/YL9300
Таблица 2-1 -Метрологические характеристики хроматографов YL9100 plus со спектро-фотометрическим детектором YL9120
Наименование характеристики |
Значение |
Амплитуда флуктуационных шумов нулевого сигнала, В, не более |
0,7-10’5 |
Дрейф нулевого сигнала, В/ч, не более |
1,0-10^ |
Предел детектирования по бензолу, г/см3 |
1,0-10-8 |
Предел допускаемого относительного среднего квадратического отклонения выходного сигнала, %: при автоматическом вводе пробы | |
- площади пика |
1 |
- высоты пика |
1 |
- времени удерживания |
0,3 |
при ручном вводе пробы | |
- площади пика |
2 |
- высоты пика |
2 |
- времени удерживания |
1 |
Пределы допускаемого относительного изменения выходного сигнала за 8 часов непрерывной работы хроматографа, %: |
±3 |
- площади пика | |
- высоты пика |
±3 |
- времени удерживания |
±1 |
Таблица 2-2 -Метрологические характеристики хроматографов YL9100 plus с диодно-матричным детектором YL9160
Наименование характеристики |
Значение |
Амплитуда флуктуационных шумов нулевого сигнала, В, не более |
2,5-10’5 |
Дрейф нулевого сигнала, В/ч, не более |
4-10“* |
Предел детектирования по бензолу, г/см3 |
5-Ю-8 |
Предел допускаемого относительного среднего квадратического отклонения выходного сигнала, %: при автоматическом вводе пробы |
1 |
- по площади пиков | |
- по высоте пиков |
1 |
-по времени удерживания |
0,3 |
при ручном вводе пробы | |
- по площади пиков |
2 |
- по высоте пиков |
2 |
-по времени удерживания |
1 |
Пределы допускаемого относительного изменения выходного сигнала за 8 часов непрерывной работы хроматографа, %: |
±3 |
- площади пика | |
- высоты пика |
±3 |
- времени удерживания |
±1 |
Таблица 2-3 - Метрологические характеристики хроматографов YL9100 plus с рефрактометрическим детектором YL9170
Наименование характеристики |
Значение |
Амплитуда флуктуационных шумов нулевого, В. не более |
1,0-10^ |
Дрейф нулевого сигнала, В/ч, не более |
1,0-10’3 |
Предел детектирования по глюкозе, г/см3 |
3-10"7 |
Предел допускаемого относительного среднего квадратического отклонения выходного сигнала, %: при автоматическом вводе пробы
при ручном вводе пробы
|
1 1 0,3 2 2 1 |
Пределы допускаемого относительного изменения выходного сигнала за 8 часов непрерывной работы хроматографа, %:
|
±3 ±3 ±1 |
Таблица 2-4 - Метрологические характеристики хроматографов YL9100 plus с детектором испарительного лазерного светорассеяния YL9180
Наименование характеристики |
Значение |
Амплитуда флуктуационных шумов нулевого сигнала, В, не более |
1,0-10^ |
Дрейф нулевого сигнала, В/ч, не более |
1.0-10’3 |
Предел детектирования по глюкозе, г/см3 |
3-10"8 |
Предел допускаемого относительного среднего квадратического отклонения выходного сигнала, %: при автоматическом вводе пробы | |
- по площади пиков |
1 |
- по высоте пиков |
1 |
-по времени удерживания |
0,3 |
при ручном вводе пробы | |
- по площади пиков |
2 |
- по высоте пиков |
2 |
-по времени удерживания |
1 |
Пределы допускаемого относительного изменения выходного сигнала за 8 часов непрерывной работы хроматографа, %: |
±3 |
- площади пика | |
- высоты пика |
±3 |
- времени удерживания |
±1 |
Таблица 2-5 - Метрологические характеристики хроматографов YL9300 (спектрофото-метрический детектор YL9320)
Наименование характеристики |
Значение |
Амплитуда флуктуационных шумов нулевого сигнала, В, не более |
0,7-10"5 |
Дрейф нулевого сигнала, В/ч, не более |
1,0-1 О’4 |
Предел детектирования по бензолу, г/см3 |
1,0-10-7 |
Предел допускаемого относительного среднего квадратического отклонения выходного сигнала, %: при автоматическом вводе пробы
при ручном вводе пробы
|
1 1 0,3 2 2 1 |
Пределы допускаемого относительного изменения выходного сигнала за 8 часов непрерывной работы хроматографа, %:
|
±3 ±3 ±1 |
УСЛОВИЯ ПОВЕРКИ И ПОДГОТОВКА К НЕЙ
-
3.1 При проведении поверки соблюдают следующие условия:
ПРОЦЕДУРА ПРИГОТОВЛЕНИЯ
-
2.1 Взвешивают в стакане (100±1) мг глюкозы, затем количественно переносят в мерную колбу вместимостью 1000 см3, многократно омывая стакан дистиллированной водой, доводят раствор в колбе до метки дистиллированной водой, перемешивают.
-
2.2 Контрольные растворы используют сразу после приготовления, не хранят.