Методика поверки «Система измерений количества и параметров нефти сырой на УПСВ (УПСВ-1) Восточно-Янгтинского месторождения» (НА.ГНМЦ.0294-18 МП)
УТВЕРЖДАЮ
ИНСТРУКЦИЯ
Государственная система обеспечения единства измерений
Система измерений количества и параметров нефти сырой на УПСВ
(УПСВ-1) Восточно-Янгтинского месторождения
Методика поверки
НА.ГНМЦ.0294-18 МП
Казань
2018
|
РАЗРАБОТАНА |
Обособленным подразделением Головной научный метрологический центр АО «Нефтеавтоматика» в г. Казань (ОП ГНМЦАО «Нефтеавтоматика») |
|
ИСПОЛНИТЕЛИ: |
Целищева Е.Ю., Сайфугалиев Б.111. |
Настоящая инструкция распространяется на систему измерений количества и параметров нефти сырой на УПСВ (УПСВ-1) Восточно-Янгтинского месторождения (далее - СИКНС) и устанавливает методику ее первичной и периодической поверки
Интервал между поверками СИКНС: один год.
1 Операции поверкиПри проведении поверки выполняют следующие операции:
-
1.1 Внешний осмотр (п.п. 6.1);
-
1.2 Подтверждение соответствия программного обеспечения (далее - ПО) СИКНС (п.п. 6.2)
-
1.3 Опробование (п п. 6 3)
-
1.4 Определение метрологических характеристик (далее - MX):
-
1.4.1 Определение MX средств измерений (далее - СИ), входящих в состав СИКНС (п.п. 6.4.1):
-
1.4.2 Определение пределов допускаемой относительной погрешности измерений массы сырой нефти (п.п. 6.4.2)
-
-
2.1 Рабочий эталон 2-го разряда в соответствии с частью 2 Государственной поверочной схемы для средств измерений массы и объема жидкости в потоке, утвержденной приказом Росстандарта от 07.02.2018 г. № 256 в диапазоне расходов, соответствующему диапазону расходов СИКНС.
-
2.2 Средства поверки в соответствии с документами на поверку СИ, входящих в состав СИКНС.
-
2.3 Допускается применение аналогичных средств поверки, обеспечивающих определение MX поверяемой СИКНС с требуемой точностью.
При проведении поверки соблюдают требования, определяемые: в области охраны труда и промышленной безопасности:
-
- «Правила безопасности в нефтяной и газовой промышленности», утверждены приказом Ростехнадзора от 12.03.2013 № 101;
-
- Трудовой кодекс Российской Федерации;
в области пожарной безопасности:
-
- СНиП 21-01-37 «Пожарная безопасность зданий и сооружений»;
-
- «Правила противопожарного режима в Российской Федерации», утверждены постановлением Правительства РФ №390 от 25.04.2012;
-
- СП 12.13130.2009 «Определение категорий помещений, зданий и наружных установок по взрывопожарной и пожарной опасности»;
-
- СП 5.13130 2009 «Системы противопожарной защиты. Установки пожарной сигнализации и пожаротушения автоматические. Нормы и правила проектирования»;
в области соблюдения правильной и безопасной эксплуатации электроустановок:
-
- ПУЭ «Правила устройства электроустановок»;
в области охраны окружающей среды:
-Федерального закона от 10.01.2002 г. № 7-ФЗ «Об охране окружающей среды» и других законодательных актов по охране окружающей среды, действующих на территории РФ.
4 Условия поверкиПри проведении поверки соблюдают условия в соответствии с требованиями нормативной документации (далее - НД) на поверку СИ, входящих в состав СИКНС.
Таблица! - Характеристики измеряемой среды
|
Наименование характеристики |
Значение |
|
Измеряемая среда |
сырая нефть |
|
Рабочий диапазон плотности измеряемой среды, кг/мЗ |
от 820,0 до 880,0 |
|
Рабочий диапазон температуры измеряемой среды, °C |
от +5 до +58 |
|
Рабочий диапазон давления измеряемой среды, МПа |
от 0,4 до 4,0 |
|
Объемная доля воды в сырой нефти, % |
не более 10,0 |
|
Диапазон измерений массового расхода сырой нефти, т/ч |
от 5 до 50 |
Подготовку к поверке гроводят в соответствии с инструкцией по эксплуатации СИКНС и НД на позерку СИ, входящих в состав СИКНС.
При подготовке к поверке проверяют наличие действующих свидетельств о поверке и (или) знаков поверки на СИ, входящих в состав СИКНС.
6 Проведение поверки-
6.1 Внешний осмотр
При внешнем осмотре должно быть установлено соответствие СИКНС следующим требованиям:
-
- комплектность СИКНС должна соответствовать технической документации:
-
- на компонентах СИКНС не должно быть механических повреждений и дефектов покрытия, ухудшающих внешний вид и препятствующих применению;
-
- надписи и обозначения на компонентах СИКНС должны быть четкими и соответствующими технической документации.
-
6.2 Подтверждение соответствия ПО.
6 2.1 Проверка идентификационных данных ПО программы измерительновычислительного комплекса Вектор-02 (далее - ИВК).
Чтобы определить идентификационные данные ПО ИВК необходимо выполнить нижеперечисленные процедуры
В меню навигации выбрать пункт «Сервис». В меню «Сервис» выбрать пункт «О программе». На экран выводится окно, в левом нижнем углу которого указан номер версии (идентификационный номер) ПО. При нажатии на клавишу «Рассчитать» в строке «Контр.Сумма CRC32:» появится цифровой идентификатор ПО (контрольная сумма исполняемого кода), рассчитанный по алгоритму CRC-32.
Полученные идентификационные данные ПО ИВК заносят в соответствующие разделы протокола по форме приложения А
-
6.2.2 Если идентификационные данные ПО, указанные в описании типа СИКНС и полученные в ходе выполнения п.6.2.1 идентичны, то делают вывод о подтверждении соответствия ПО СИКНС ПО, зафиксированному во время проведения испытаний в целях утверждения типа, в противном случае результаты поверки признают отрицательными
-
6.3 Опробование.
Опробование проводят в соответствии с НД на поверку СИ, входящих в состав СИКНС.
5 4 Определение MX.
6.4.1 Определение MX СИ, входящих в состав СИКНС, проводят в соответствии с НД, приведенными в таблице 2.
Та б л и ц а 2 - Перечень НД на поверку СИ
|
Наименование СИ |
НД |
|
Счетчики-расходомеры массовые Micro Motion CMF 200 (далее-ПР) |
МП 45115-16 «ГСИ. Счетчики-расходомеры массовые Micro Motion. Методика поверки» с изменением №1 МИ 3151-2008 «Счетчики-расходомеры массовые. Методика поверки на месте эксплуатации трубопоршневой поверочной установкой в комплекте с поточным преобразователем плотности» МИ 3272-2010 «Счетчики-расходомеры массовые. Методика поверки на месте эксплуатации компакт-прувером в комплекте с турбинным преобразователем расхода и поточным преобразователем плотности» МИ 3189-2009 «Рекомендация. ГСИ. Счетчики-расходомеры массовые Micro Motion фирмы «Emerson Process Management». Методика повеоки комплектом трубопоршневой поверочной установки и поточного преобразователя плотности» МИ 3313-2011 «ГСИ. Счетчики-расходомеры массовые. Методика поверки с помощью эталонного счетчика-расходомера массового» |
|
Влагомеры нефти поточные УДВН-1пмЗ |
МП 0309-6-2015 «Инструкция. ГСИ. Влагомеры нефти поточные УДВН-1пм. Методика поверки» МИ 2366-2005 «Рекомендация. Государственная система обеспечения единства измерений. Влагомеры нефти типа УДВН. Методика поверки» МИ 3303-2011 «ГСИ. Влагомеры нефти поточные. Методика поверки» |
|
Датчик избыточного давления Метран-150ТОЗ |
МП 4212-012-2013 «Датчики давления Метран-150. Методика поверки» |
|
Датчик температуры Термопреобразователь сопротивления ТСМУ JUMO |
МП 60922-15 «Термопреобразователь сопротивления 90.2020, 90.2050, 90.2210, 90.2220, 90.2230, 90.2240, 90.2250, 90.2820. Методика поверки» |
|
Расходомер жидкости турбинный ЕНХА |
МП 11735-06:
|
-
6.4.2 Определение относительной погрешности измерений массы сырой нефти.
При прямом методе динамических измерений за погрешность измерений массы сырой нефти 5М, %, принимают пределы допускаемой относительной погрешности измерений ПР.
Относительная погрешность ПР в диапазоне расходов на рабочей измерительной линии (далее - ИЛ) не должна превышать ±0,25%, относительная погрешность ПР в диапазоне расходов на резервно-контрольной ИЛ не должна превышать ±0,20%.
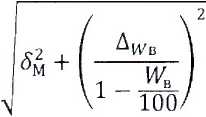
Значения пределов относительной погрешности измерений массы сырой нефти не должны превышать ±0,25%.
-
6.4.3 Определение пределов допускаемой относительной погрешности измерений массы не-го сырой нефти.
Пределы относительной погрешности измерений массы нетто нефти 8МН, %, вычисляют по формуле
8МИ = ±1,1-


(1)
где Ди-В - пределы допускаемой абсолютной погрешности измерений массовой доли воды в сырой нефти, %;
HZB - массовая доля воды в сырой нефти, %:
Ди/хс - пределы допускаемой абсолютной погрешности измерений массовой доли хлористых солей в обезвоженной дегазированной нефти, %;
WKC - массовая доля хлористых солей в обезвоженной дегазированной нефти, %;
Ди/Мп ■ пределы допускаемой абсолютной погрешности измерений массовой доли механических примесей в обезвоженной
дегазированной нефти, %;
1УМП - массовая доля механических примесей в обезвоженной
дегазированной нефти, %;
Пределы допускаемой абсолютной погрешности измерения массовой доли воды в сырой нефти Д.Ув, % рассчитывают по формуле:
^в = 7----Рв2°фв----- (2)
С1 “ Тою) ‘ рн™ + Ш) ’ рв2°где Д<рв - пределы допускаемой абсолютной погрешности измерений объемной доли воды поточного влагомера, %.
<рв - объемная доля воды в сырой нефти, измеренная поточным влагомером, %
рв_о - плотность пластовой воды при 20°С , кг/м3.
р - плотность обезвоженной дегазированной нефти при 20°С
Пределы допускаемой абсолютней погрешности измерения массовой доли механических примесей в обезвоженной дегазированной нефти ДИ/М[[, %-
рассчитывают по формуле:

где /?мп,гмп - воспроизводимость и повторяемость метода измерений массовой доли механических примесей в обезвоженной дегазированной нефти по ГОСТ 6370, %
Пределы допускаемой абсолютной погрешности измерения массовой доли хлористых солей в обезвоженной дегазированной нефти Дц/хс, %, рассчитывают в соответствии с ГОСТ 33701 с учетом пересчета в единицы массовой доли хлористых солей по формуле:

(4)
где /?хс-гхс " воспроизводимость и повторяемость метода измерений массовой концентрации хлористых солей в обезвоженной дегазированной нефти по ГОСТ 21534, %
Пределы допускаемой относительной погрешности измерений массы нетто сырой нефти при объемной доле воды в сырой нефти до 5% не должны превышать ±0,35%, при объемной доле воды в сырой нефти от 5% до 10% не должны превышать ±0,4%
7 Оформление результатов поверки-
7.1 При положительных результатах поверки оформляют свидетельство о поверке СИКНС в соответствии с требованиями документа «Порядок проведения поверки средств измерений, требования к знаку поверки и содержанию свидетельства о поверке», утвержденного приказом Минпромторга России № 1815 от 02.07.2015 г. На оборотной стороне свидетельства о поверке системы указывают:
-
- наименование измеряемой среды;
-
- значения пределов относительной погрешности измерений массы сырой нефти;
-
- идентификационные признаки ПО СИКНС.
Знак поверки наносится на свидетельство о поверке СИКНС.
-
7.2 При отрицательных результатах поверки СИКНС к эксплуатации не допускают, свидетельство о поверке аннулируют и выдают извещение о непригодности к применению в соответствии с документом «Порядок проведения поверки средств измерений, требования к знаку поверки и содержанию свидетельства о поверке», утвержденным приказом Минпромторга России № 1815 от 02.07.2015 г.
Приложение А
(рекомендуемое)
Форма протокола подтверждения соответствия ПО СИКНС
Место проведения поверки:__________________________________________________________________
НаименованиеСИ:________________________________________________________________
Заводской номер СИ: №________________________________________________________________
Идентификационные данные ПО_____________________________________________________
(наименование ПО)
|
Идентификационные данные |
Значение, полученное во время поверки СИКНС |
Значение, указанное в описании типа СИКНС |
|
Идентификационное наименование ПО | ||
|
Номер версии (идентификационный номер ПО) | ||
|
Цифровой идентификатор ПО | ||
|
Другие идентификационные данные |
Заключение: ПО СИКНС соответствует/не соответствует ПО, зафиксированному во время испытаний в целях утверждения типа СИКНС.
Должность лица проводившего поверку:
(подпись) (инициалы, фамилия)
Дата поверки: «______» _____________ 20___г.
8
