Методика поверки «ГАЗОАНАЛИЗАТОР ФЛЮОРИТ-Ц» (5К1.552.045 ДП)
ФЛЮОРИТ-Ц
Методика поверки
ГАЗОАНАЛИЗАТОР ФЛЮОРИТ-Ц
Методика поверки
' ' 7 ' ''5К1.552.045 ДП
XУтверждена
5К1.552.045 ДП-ЛУ
Госреестр № 20628-00
♦
СИ. ГАЗОАНАЛИЗАТОР ФЛЮОРИТ-Д
Методика поверки

Ангарск 2006 г.
♦
Содержание
1. Оппрация поверки
............................................................2
2 . Срадства поверки
............................................................2

3 . Трабевепотт ббвелетфиквции поверитврер.

-
4. Трабевешия безопоатоств
-
6. Попсововкв бповеркв.....
-
7. Проведения поверки......
.4
.4
.4
.4
.5
♦
Пк' евжеоие А
................................................................13

Настоящая методика предназначена для ознакомления поверителя, с правилами и порядком проведения первичной и периодической поверок газоанализатора ФЛЮОРИТ-Ц (далее газоанализатор), предназначенного для измерения объемной доли кислорода в инертных газах и азоте, выпускаемого в соответствии с техническими условиями 5К1.552.045 ТУ.
Газоанализатор подвергается поверке или калибровке в зависимости от сферы его применения в соответствии с Законом РФ «Об обеспечении единства измерений». Поверка производится согласно ПР 50.2.006-94.
Рекомендуемая периодичность поверки - один раз в год.
: Периодичность калибровки устанавливается руководителем
метрологической службы юридического лица - владельца газоанализатора.
1 Операции поверкиQ
-
1.1 При проведении поверки должны быть выполнены следующие операции:
-
- внешний осмот’ (п. 7.1);
-
- опробование (п. 7..);
-
- проверка герметичности газового канала (п. 7.2.1);
-
- измерение электрического сопротивления изоляции (п. 7.2.2);
-
- определение метрологических характеристик (п. 7.3):
-
- определение основной относительной погрешности газоанализатора (п. 7.3.1);
-
- определение времени задержки и времени установления показаний (п. 7.3.2).
Если в процессе выполнения отдельной операции поверки будет получен отрицательный результат, то дальнейшая ‘овенкa не производится, а газоанализатор бракуется.
-
1.2 Норма времени на поверку одного газоанализатора -12 ч.

♦
-
2.1 При проведении поверкидолжныпрныеняться срьдства поверки, указанные в таблице 2.1.
Таблица 2.1
Номер пункта методики поверки

Наименование и тип (условное _ обозначение) основного или вспомогательного средства поверки, обозначение нормативного документа, регламентирующею технические требования и (или) метрологические и основные технические характеристики средств поверки.
Манометр 0-100 кПа. КТ 0,4,
Источник сжатого газа (воздух, азот, аргон) с давлением не менее 60 кПа. Секундомер, КТ 3. Вентиль запорный, условный проход Dy=2 мм, 0-100 кПа.
Мегаомметр Ml 102 500 В, 500 МОм, КТ 1, ТУ 25-04-800-71 Побудитель расхода газа ПВМ, производительность не менее 5 см7с, ТУ 6-84 552.960.014 ТУ.
С Поверочные газовые смеси (в дальнейшем ГСО-ПГС)
;лород-азот ТУ 6-16-2956-92.
7.3

ГСО 3732-87
ГСО 372.-87
ГСО 382о-°'
|
Объемная доля |
Относительная погрешность |
|
кислорода в |
аттестации ГСО-ПГС |
|
ГСО-ПГС, % |
(по кислороду), не более, % |
|
5,0+2,0 |
±1 |
|
15,0±5,0 |
■ ±1 . |
|
70±20 |
±1 |
Постоянный резистор С2-33, 100 Ом, 0,25 Вт.
Вольтметр В7-38, 10 В, входное сопротивление не менее 1МОм, ТУ4 ТГ2.710.002 ТУ. • ■
Термометр 0-50 °С, цена деления 0,1 °С.
Барометр 80-106 кПа, погрешность не более ±0,13 кПа. Магазин сопротивлений 0-10 кОм, КТ 0,2.
Миллиамперметр (0-5,0-20)мА, КТ 0,5. .

Регистрирующий прибор (0-5, 4-20)мА, КТ 1, ГОСТ 7164-78 Кран механический поворотный КМп4М-422.
ТУ6-83 5Е4.460.130 ТУ
Примечание - Допускается применение других средств поверки, обеспечивающих контроль метрологических характеристик с требуемой точностью.
3 Требования к квалификации поверителя-
3.1 К проведению поверки допускаются лица, аттестованные в качестве поверителей средств измерений физико-химических величин, изучившие руководство по эксплуатации газоанализатора 5К1.552.045 РЭ и настоящую методику.
4.1- Пои проведении поверки должны выполнятся требования безопасности, изложенные в. руководстве по эксплуатации газоанализатора и в эксплуатационной документации на средства поверки, указанные в таблице 2.1 настоящей методики.
♦
5 Условия ПОВЕРКИ
-
5.1 При проведении -оверки должны быть следующие условия:
-
- температура окружающей среды от плюс 18 до плюс 22 °С;
-
- атмосферное давление от 84 до 106,7 кПа;
-
- относительная влажностт зщего воздуха от 30 до 60 %;

-
- расход анализируемого воздуха через чувствительный
элемент от 2,4 до 2,6 см3/с;
-
- расход анализируемого газа через байпас от 0,5 до 10 см3/с;
-
- давление анализируемого газа на входе в газоанализатор от 4 до
-
600 кПа.

, 6.1 Подготовку газоанализатора производите в соответствии с
руководством по его эксплуатации, подготовку средств поверки - в соответствии с указаниями в их эксплутационной документации.
-
6.2 Газоанализатор и средства поверки перед поверкой зыдержите в условиях по п. 5.1 не менее 2 ч.
-
7.1 Внешний осмотр
-
7.1.1 При внешнем осмотре должно быть установлено соответствие газоанализатора следующим требованиям:
-
- комплектность и маркировка составляющих газоанализатора должны соответствовать указаниям в руководстве по его эксплуатации;
-
- на корпусах составляющих газоанализатора не должно быть царапин, вмятин и других дефектов, влияющих на метрологические
>истики, ухудшающих внешний вид и снижающих механическую
- соединители и кабель «СЕТЬ» не должны иметь повреждений электрической изоляции; .
П’и несоответствии газоанализатора вышеперечисленным требования, газоанализатор бракуется и его дальнейшая поверка не производится. ,
-
7.2 Опробование
-
7.2.1 Проверка герметичности газового канала газоанализатора
-
7.2.1.1 Проверку герметичности газового канала проводите при выключенном электрич'.ком питании. Штуцеры «ВЫХОД» и «БАЙПАС» . закройте заглушками, к штуцеру «ВХОД» через тройник подсоедините манометр на 100 кПа и через запорный вентиль - источник сжатого газа. Давление в газовом канале п авно повышайте до 50 кПа, газовый канал отсеките от источника давления и .ыдержите под давлением не менее 5 мин, после чего измерьте давление. Через 15 мин вновь измерьте давление, рассчитайте спад . давления.
Спад давления газа за 15 мин не должен быть более 2 кПа.
-
7.2.2 Измерение электрического сопротивления изоляции
-
7.2.2.1 Измерение электрическс.о сопротивления изоляции
газоанализатора производите на вьпк.юч щом газоанализаторе . мегаомметром на 500 В по ГОСТ 12997-84. Измергш сопротивление между закороченными штырьками сетевой вилки и клеммой «ЗЕМЛЯ» при включенной кнопке «СЕТЬ». .
6 5К1.552.045ДП
штырьками сетевой вилки и клеммой «ЗЕМЛЯ» при включенной кнопке «СЕТЬ».
; Электрическое сопротивление изоляции должно быть не менее 40 МОм.
7.3 Оопеделенни меттогоггччсткх хааактеристик
-
7.3.1 Определение основной относительной погрешности газоанализатора в диапазоне измерений от 1 до 100 % производите с помощью поверочных газовых смесей (ГСО-ПГС), а в диапазоне измерений от 1-10'6 до 1 % - независимым поэлементным методом.
-
7.3.1.1 для определения основной относительной погрешности газоанализатора <с помощью ГСО-ПГС газоанализатор подготовьте и включите в работ, ■ з соответствии с руководством по эксплуатации 5К1.552.045 РЭ. К разъему «ВЫХОД» подсоедините миллиамперметр. На вход газоанализатора поо^юдно подайте ПГС согласно таблице 7.1.
Таблица 7.1
|
Номер ГСО- ПГС в реестре |
Объемная дол; |
кислорода, % |
Допускаемая относительная погрешность аттестации, не более, % |
|
номинальное значение |
допускаемое отклонение | ||
|
ГС03724-87 |
5,0 |
±2,0 |
±1,0 |
|
ГС03726-87 |
15,0 |
+5,0ф |
+1,0 |
|
ГСОЗ 732-87 |
70,0 |
+20,0 |
. +1,0 |
После установления показаний произвед ..е отсчет показаний по цифровому табло и по миллиамперметру и рассчитайте основную погрешность газоанализатора по показаниям цифровою _абло по формуле

где 5 - основная погрешность газоанализатора, %; П - показания газоанализатора, %;
С - объемная доля кислорода в ГСО-ПГС, %.
Основную погрешность газоанализатора по выходному сигналу 0-5 мА рассчитывайте по формуле
(0,1 + 1,98-J)-n-С
(2)
а по выходному сигналу 4-20 мА по формуле

5 [0,1 + 0,619-(1-4)]-п-С 40^
(3)
где J - показания миллиамперметра, мА;
0,1-1 - нижний предел каждого диапазона измерений, %;
1,98 и 0,619 - коэффициенты пропорциональности, ' %/мА;
4 - нижнее значение выходного сигнала, для выходного сигнала
4-20 мА;
п - коэффициент при переключателе «ДИАПАЗОНЫ».
Основная относительная погрешность, определяемая с помощью ПГС, не должна быть более ±4 %.
-
7.3.1.2 При определении основной овносительнои погрешности газоанализатора в диапазоне 1-10'6 — 1 % границы основной отгосолеоьней пнгеешности рассчитывайте по формулам:

(4)
= 8Е+8т+|(1Д2+|8тпГ)'2,(5)

5е - составляющая основной погрешности газоанализатора, обусловленная погрешностью преос .азования ЭДС чувствительного элемента в показания газоанализатора, %;
5т - сост-аюляпоптая основной по1р'--Ости газоанализатора, обусловленная отличием температуры рабочей зоны чувствительного элемента от температуры, принятой в гомuнальней статической характеристике преобразования, %;
бтп - предел погрешности газоанализатора, обусловленный
погрешностью термопары ТПР, применяемой в газоанализаторе, %;
-
1,1 - предел погрешности газоанализатора, обусловленный
колебаниями объемной доли кислорода в воздухе, %.
-
7.3.1.2.1 Для определения еоставляощих <щ и 8Т основной погрешности газоанализатор подготовьте и включите в работу в соответствии с руководством по эксплуатации 5К1.552.045 РЭ. После прогрева н- вход газоанализатора, с помощью побудителе расхода газа подайте атмо^ Ферный воздух и, выждав установление показаний, измерьте и запишите температуру рабочей зоны чувствительного элемента, как указано в руководстве ■ по эксплуатации, и термоэлектродвижущую силу чувствительного элемента (в дальнейшем ТЭДС).
Для измерение ТЭДС Е к гнездам ЭДС газоанализатора подсоедините универсальный вольтметр В7-38. ТЭДС считать положительной, если клемма «ПЛЮС» вольтметра соедин ^на с гнездом «+» ЭДС.
Отсоедините датчик от блока измерений. Соберите схему, представленную на рисунке 1.
С помощью магазина сспотивлений выведите последовательно


«, А»
V i tv. : 4
показание газоанализатора на значет-ия, указанные в таблице 7.2, каждый раз записывая значение задаваемого нап,'мкение. Ориентировочные значение напряжение приведены в таблице 7.2.

Таблица 7.2
|
Показания газоанализатора, % |
Ориентировочные значения напряжения, мВ |
|
5х10'б |
плюс 298 |
|
5х10'5 |
' плюс 253 |
|
5x10" |
плюс 208 |
|
5x10’3 |
плюс 163 У- - |
|
5x10'2 |
плюс 118^ |
|
0,5 |
плюс 73 |



«+» ЭДС «-» - гнезда, расположенные на задней панели блока измерений;
V - универсальный вольтметр В7-38;
Ri - постоянный резистор С2-33,100 Ом, 0,25 Вт;
R2 - ма~азин сопротивлений 0-10 кОм, кл. 0,2;
Е - источник питания постоянного тока Б5-46,10 В.
-
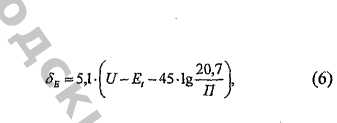
7.3.1.2.2
[ьтрезв ьтзмовешям рассчитдатезначенш 6Е ия

формуле:
где 5,1 - - коэффициент, обусловленный выбором величин, %/мВ; .
единиц физических
единиц физических
U — задаваемое напряжение, мВ;
Et-ТЭДС чувствительного элемента, мВ;
45 - коэффициент, обусловленный выбором величин, мВ;
10
5К1.552.045 ДП
20,7-номияальная объемная доля кислорода в атмосферном воздухе, %;
П - показания газоанализатора, %.
-
7.3.1.2.3 СостаСлсющляюосновнсн погрешноети газоанализатора То, % рассчитайте, используя результат измерений температуры рабочей зоны чувствительного элемента (п. 7.3.1.2.1), по формуле:
6T=0,25(T-997)-Ig^,
(7)
где 0,25 - коэффициент пропорциональности, %/К;
Т - измеренная температура рабочей зоны чувствительного элемента, К;
907 - номинальная температура рабочей зоны чувствительного
. элемента, К. .
-
7.3.1.2.4 Составляющую основной погрешности бтп, % рассчитайте по формуле: .
6тп=[о,1 + 0,0011T-273)]-1g^l
П
7.3.1.2.5 Рассчитайте гранич*,.' значение основной погрешности, подставляя измеренные значения частных погрешностей измерений формулы (4), (5).
Пределы допускаемой основной относительной газоанализатора должны быть:
(8)
относительной
составляющих
погрешности
-
- +10 % - при измерении объемной доли кислорода от 1-10"6 до 1-1О~5%;
-
- ±6 % - при измерении объемной доли кислорода от 1-10’5 до 1 -10'3%;
-
- . +4 % - при измерении объемной доли кислорода от 1-10’3 до 100 %.
7.3.2 Ввемя з ааержки и впeмяycтттоглоння пoиaзaтий ггз'-гаотлзaатиa определите на диапазоне измерений 1-100 %. _
-
7.3.2.1 Гaзoaгзлизатop птиеoтгвьтeиьте^oчитe вpтрoтрв'гтo*вeтcтвии с руководством по эксплуатации 5К1.552.045 РЭ. Для проведения испытаний используйте кран КМП4М-422, к противоположным штуцерам игторгги подсоедините ГСО-ПГС 'Ха ГСО 3724-87 и № ГСО 3726-87. К оставшемуся свободным штуцеру подсиреинитр вход газоанализатора. К разъему
«ВЫХОД» подключите регистрирующий прибор. На вход газоанализатора подайте ГСО-ПГС № ГСО 3724-87 и выждите установления показаний. После этого на вход газоанализатора подайте ГСО-ПГС № ГСО 3726-87 .и ведите запись показаний на диаграммной ленте до установления показаний. Затем вновь на вход газоанализатора подайте ГСО-ПГС № ГСО 3724-87 и ведите запись показаний на диаграммной ленте до их установления.
По записи на диаграммной ленте определите следующие характеристики:
♦
— время задержки показаний - время от момента изменения объемной доли кислорода на входе газоанализатора до момента, когда изменение показаний составит 0,1 от полного изменения показаний;
- время установления показаний - время с момента изменения объемной доли кислорода на входе в газоанализатор до момента, когда изменение показаний составит 0,9 от полного изменения показаний.
Время задержки показаний и время установления показаний расст-.айте как среднее арифметическое из соответствующих времен, определ.'ных при увеличении и уменьшении объемной доли кислорода.
Время задержки показаний не должно быть более 4 с, а время ;ния показаний газоанализатора не должно быть более 30 с.
установле!
-
7.3.2.2 X л поверки оформляетсяпротокопомпроизвольной формы. Запись результатов поверки оформляется протоколом, рекомендуемая форма протокола приведена в приложении.
-
8.1 При про.ожитооLm./ результатах поверки должно быть выдано свидетельство о поверке, а в разделе «Сведения о поверке» руководства по эксплуатации - внесена запись «.одон», заверенная клеймом и подписью поверителя.
Допускается нанесение поверителт-того клейма на корпуса датчика и блока измерений газоанализатора.
-
8.2 При отрицательных результатах поверки дЬлжно быть выдано извещение о нопоигодности газоанализатора к применению, а в раздел «сведения о поверке (калибровке)» руководства по эксплуатации внесена
12 5К1.552.045 ДП
на корпусах датчика и блока измерений газоанализатора должны быть погашены.
З & 7 -/J?
♦
♦
ПРИЛОЖЕНИЕ А
(рекомендуемое)
ФОРМА ПРОТОКОЛА ПОВЕРКИ
«____»________________20___г.
ПРОТОКОЛ
поверки газоанализатора ФЛЮОРИТ-Ц
Принадлежащего_______
завод-изготовитель
Заводской Ха_________
Дата выпуска ____________
Диапазон измерений_____
Дата поверки (калибровки)
-
1 Внешний ос^ск^та_______
указать дефекты
—
-
2 Опробование _________________________________________________
-
2.1 Герметичность газового канала проверялась при избыточном давлении
-
0,5 кПа, спад давления при проверке герметичности________кПа за 15 мин.
-
2.2 Сопротивление изоляции составляет ______ МОм.
-
3 Определение метрологических характеристик
-
3.1 Определеннее сновнойотиосительнойногрешносои
-
Результаты определения основной относительной погрешности с помощью ПГС представ-щны в таблице 1, а поэлементным способом в таблице 2.

Таблица 1
|
Объемная доля кислорода в ГСО-ПГС, % |
Показания газоанализатора по цифровому табло, % |
Основная относительная погрешность по цифровому табло, % |
Показания миллиамперметра, Y |
Объемная доля кислорода, рс-считанная по выходному сигналу, % •...... |
Основная относительная погрешность по выходному сигналу, % |
Допускаемая основная относительная погрешность, % |
|
♦ |
±4 |

Таблица 2
|
Показания газоанализатора в поверяемой точке, % |
Напряжение задатчика, мВ |
Измеренная температура, К |
ТЭДС чувствительного элемента, мВ |
Составляющие основной погрешности, % |
Границы основной относительной погрешности %а |
Допускаемая основная относительная погрешносг, % | |||
|
ЙЕ |
St |
§тп |
верхнее значение (5 мин) |
нижнее значение (5 макс) | |||||
|
5-1 О’6 5-10‘5 5-1С4 5-10'3 5-Ю’2 0,5 |
и с |
±10 ± 6 ± 6 ±4 ±4 ' ±4 | |||||||
-
3.2 Определение времеен задержки показашпй и времеш установления показаний '
Результаты определена времени задержки и времени установления показаний приведены в таблице 3.

Таблица 3
|
Участок диапазона измерений, %о |
Измеренное время задержки показаний Тод, с |
Измеренное время установления показаний То,9, с |
Предел допускаемого времени задержки показаний Тодд, с |
Предел допускаемого времени установления показаний То.9Д. с |
|
1-100 |
4 -Л-- |
30 |
Поверитель
4 Вывод
годен, не годен
подпись, фамилия, инициалы
ЛИСТ РЕГИСТРАЦИИ ИЗМЕНЕНИЙ
|
а |
№№ листов (страниц) |
Всего листов (страниц) №докум. |
№ докум. |
Входящий № сопроводит, документа и дата |
Подпись |
Дата | |||
|
измененных |
заме-нен-ных |
новых |
анну-лиро-ван-иых | ||||||
|
Ч |
0ее |
с |
5г /09- о & |
Я.О |
4в О <о. | ||||
|
5 |
3Affo ")/S. |
/3^ |
?a.<> eg-е | ||||||
|
& |
V\< |
А |
ск/^Ь-об |
ts-tz. | |||||
|
г | |||||||||
|
% | |||||||||
|
< |
V | ||||||||
|
k'JI | |||||||||
|
МЛ1 | |||||||||

ЛИСТ РЕГИСТРАЦИИ ИЗМЕНЕНИИ
МЕТОДИКИ ПОВЕРКИ
газоанализатор
ФЛЮОРИТ-Ц
|
Основание изменения |
Отметка о внесении изменений в |
Дата внесения изменения |
Подпись ответственного за внесение изменений | ||||
|
Наименование документа |
J” документа |
Дата |
контрольный экземпляр |
рабочий экземпляр | |||
|
X |
> | ||||||
|
* | |||||||
|
О' | |||||||
|
5 | |||||||
|
РФ | |||||||
|
__ |
_ | ||||||
|
* |
ь | ||||||
|
с | |||||||
