Инструкция «ГСИ. СИСТЕМА ИЗМЕРЕНИЙ КОЛИЧЕСТВА И ПОКАЗАТЕЛЕЙ КАЧЕСТВА НЕФТИ №1008 НА ВХОДЕ МАРИЙСКОГО НПЗ» (МП 0789-14-2018)
ФЕДЕРАЛЬНОЕ АГЕНТСТВО ПО ТЕХНИЧЕСКОМУ РЕГУЛИРОВАНИЮ И МЕТРОЛОГИИ
Федеральное государственное унитарное предприятие «Всероссийский научно-исследовательский институт расходометрии» Государственный научный метрологический центр
ФГУП «ВНИИР»
УТВЕРЖДАЮ
ИНСТРУКЦИЯ
Государственная система обеспечения единства измерений
СИСТЕМА ИЗМЕРЕНИЙ КОЛИЧЕСТВА И ПОКАЗАТЕЛЕЙ КАЧЕСТВА НЕФТИ № 1008 НА
ВХОДЕ МАРИЙСКОГО НПЗ
Методика поверки
МП 0789-14-2018
НачальникДЗИО-14
______'Ту' Р.Н. Груздев
/
Тел. отдела: +7 (843) 299-70-52
Казань
2018
РАЗРАБОТАНА
ФГУП «ВНИИР»
ИСПОЛНИТЕЛИ
УТВЕРЖДЕНА
Левина А.П.
ФГУП «ВНИИР»
Настоящая инструкция распространяется на систему измерений количества и показателей качества нефти № 1008 на входе Марийского НПЗ (далее - СИКН) и устанавливает методику периодической (первичной) поверки при эксплуатации, а так же после ремонта.
Первичная и периодическая поверка СИКН и средств измерений (СИ), входящих в состав СИКН, выполняется согласно части 1 ст. 13 Федерального закона «Об обеспечении единства измерений» от 26 июня 2008 г. № 102-ФЗ и приказу Минпромторга России от 2 июля 2015 г. №1815.
Поверка СИКН проводится на месте ее эксплуатации. Поверку СИКН допускается проводить в меньшем диапазоне измерений расхода нефти, чем указано в описании типа на СИКН.
За значение минимального расхода СИКН принимают значение минимального расхода рабочего преобразователя расхода (согласно свидетельству о поверке), или значение минимального расхода, указанного в описании типа СИКН, если оно больше. За значение максимального расхода СИКН принимают значение суммы максимальных расходов рабочих преобразователей расхода (согласно свидетельствам об их поверке), или значение максимального расхода, указанного в описании типа СИКН, если оно меньше.
На основании письменного заявления владельца СИКН допускается проводить периодическую поверку СИ, предназначенных для измерений параметров измеряемой среды в ограниченном диапазоне измерений.
При поверке СИ в ограниченном диапазоне измерений соответствующая запись должна быть сделана в свидетельстве о поверке и (или) в паспорте (формуляре) СИ.
Методика поверки разработана в соответствии с требованиями РМГ 51-2002 «ГСИ. Документы на методики поверки средств измерений. Основные положения».
Интервал между поверками СИКН - 12 месяцев.
1 Операции поверки-
1.1 При проведении поверки выполняют операции, приведенные в таблице 1.
Таблица! - Операции поверки
|
Наименование операции |
Номер пункта документа по поверке |
Проведение операции при | |
|
первичной поверке |
периодической поверке | ||
|
Внешний осмотр |
7.1 |
Да |
Да |
|
Подтверждение соответствия программного обеспечения СИКН |
7.2 |
Да |
Да |
|
Опробование |
7.3 |
Да |
Да |
|
Определение(контроль) метрологических характеристик |
7.4 |
Да |
Да |
2 Средства поверки
-
2.1 Основное средство поверки
-
2.1.1 Рабочий эталон 1-го или 2-го разряда, в соответствии с Приказом Федерального агентства по техническому регулированию и метрологии (Росстандарт) от 07.02.2018 г. № 256 «Об утверждении Государственной поверочной схемы для средств измерений массы и объема жидкости в потоке, объема жидкости и вместимости при статических измерениях, массового и объемного расходов жидкости» с диапазоном измерений расхода, обеспечивающим возможность поверки расходомеров массовых Promass, входящих в состав СИКН, во всем диапазоне измерений.
-
2.2 Средства поверки, указанные в документах на методики поверки СИ, входящих в состав СИКН, приведены в таблице 5 настоящей инструкции.
-
2.3 Допускается применять другие аналогичные по назначению средства поверки утвержденных типов, если их метрологические и основные технические характеристики аналогичны или лучше указанных в документах, приведенных в таблице 2,3 настоящей инструкции.
-
3.1 Поверку СИКН осуществляют аккредитованные в соответствии с законодательством Российской Федерации об аккредитации в национальной системе аккредитации на проведение поверки средств измерений юридические лица и индивидуальные предприниматели.
-
3.2 К поверке допускаются лица, изучившие инструкцию по эксплуатации на поверяемую СИКН и имеющие квалификационную группу по технике безопасности не ниже II в соответствии с «Правилами техники безопасности при эксплуатации электроустановок потребителей».
-
4.1 При проведении поверки соблюдают требования, определяемые:
-
- в области охраны труда - Трудовым кодексом Российской Федерации;
-
- в области промышленной безопасности - Федеральными нормами и правилами в области промышленной безопасности «Правила безопасности в нефтяной и газовой промышленности» (приказ Ростехнадзора от 12 марта 2013 г. № 101 «Об утверждении Федеральных норм и правил в области промышленной безопасности «Правила безопасности в нефтяной и газовой промышленности»), Руководством по безопасности «Рекомендации по устройству и безопасной эксплуатации технологических трубопроводов» (приказ № 784 от 27 декабря 2012 г. «Об утверждении Руководства по безопасности «Рекомендации по устройству и безопасной эксплуатации технологических трубопроводов»), а также другими действующими отраслевыми документами;
-
- в области пожарной безопасности - Федеральным законом Российской Федерации от 22 июля 2008 г. № 123-ФЗ «Технический регламент о требованиях пожарной безопасности», Постановлением Правительства Российской Федерации от 25 апреля 2012 г. № 390 «О противопожарном режиме» (вместе с «Правилами противопожарного режима в Российской Федерации»), СНиП 21.01-97 (с изм. № 1,2) «Пожарная безопасность зданий и сооружений»;
-
- в области соблюдения правильной и безопасной эксплуатации электроустановок -Правилами технической эксплуатации электроустановок потребителей;
-
- в области охраны окружающей среды - Федеральным законом Российской Федерации от 10 января 2002 г. № 7-ФЗ (ред. 12 марта 2014 г.) «Об охране окружающей среды» и другими действующими законодательными актами на территории РФ.
-
4.2 В соответствии с классификацией помещений и наружных установок по взрывопожарной и пожарной опасности согласно Свода правил СП 12.13130.2009 «Определение категории помещений, зданий и наружных установок по взрывопожарной и пожарной опасности» помещение СИКН с размещенным внутри оборудованием, относится:
-
- к категории помещений - Ан;
-
- по классу взрывоопасных зон - В1-а;
-
- по категории и группе взрывопожарной смеси - П-АТЗ.
В соответствии с ГОСТ 30852.11-2002 (МЭК 60079-12:1978) «Электрооборудование взрывозащищенное. Часть 12. Классификация смесей газов и паров с воздухом по безопасным экспериментальным максимальным зазорам и минимальным воспламеняющим токам» нефть относится к категории взрывоопасносной смеси - ПА. В соответствии с ГОСТ 30852.5-2002 (МЭК 60079-4:1975) Электрооборудование взрывозащищенное. Часть 4. Метод определения температуры самовоспламенения» нефть относится к группе взрывоопасной смеси ТЗ.
-
4.3 Площадка СИКН должна содержаться в чистоте без следов нефти и должна быть оборудована первичными средствами пожаротушения согласно Правил противопожарного режима в Российской Федерации.
-
4.4 СИ и вспомогательные устройства, применяемые при выполнении измерений, должны иметь взрывозащищенное исполнение в соответствии с требованиями ГОСТ 30852.0-2002 «Электрооборудование взрывозащищённое. Часть 0. Общие требования».
-
4.5 Вторичную аппаратуру и щиты управления относят к действующим электроустановкам с напряжением до 1000 В, на которые распространяются Правила технической эксплуатации электроустановок потребителей, Правила устройства электроустановок.
-
4.6 В целях безопасной эксплуатации и технического обслуживания СИКН разрабатываются инструкция по эксплуатации СИКН, инструкции по видам работ, инструкции о взаимоотношениях принимающей и сдающей нефть сторонами.
Поверка СИКН осуществляется на месте ее эксплуатации.
-
5.1 При проведении поверки соблюдают условия в соответствии с требованиями документов на методики поверки СИ, входящих в состав СИКН.
-
5.2 Метрологические и основные технические характеристики СИКН при проведении поверки должны соответствовать требованиям, приведенным в таблице 2 и таблице 3 соответственно.
Таблица 2 - Метрологические характеристики СИКН
|
Наименование характеристики |
Значение |
|
Диапазон расхода измеряемой среды, м3/ч (т/ч) |
от 60 до 403 (от 53 до 345) |
|
Пределы допускаемой относительной погрешности измерений массы брутто нефти, % |
±0,25 |
|
Пределы допускаемой относительной погрешности измерений массы нетто нефти, % |
±0,35 |
Таблица 3 - Основные технические характеристики СИКН
|
Наименование характеристики |
Значение |
|
Измеряемая среда |
нефть по ГОСТ Р 51858-2002 «Нефть. Общие технические условия» |
|
Количество измерительных линий, шт. |
3(1 рабочая, 1 резервная и 1 контрольная) |
|
Давление измеряемой среды, МПа:
|
от 0,4 до 1,0 1,2 |
|
Диапазон температуры измеряемой среды, °C |
от 13,4 до 32,7 |
|
Режим работы СИКН |
непрерывный |
|
Вязкость кинематическая измеряемой среды, сСт, не более:
|
13,5 5,8 |
Продолжение таблицы 3
|
Наименование характеристики |
Значение |
|
Диапазон плотности измеряемой среды, кг/м3:
|
от 859,5 до 884,0 от 856,1 до 875,0 |
|
Давление насыщенных паров, кПа (мм рт.ст.), не более |
66,7 (500) |
|
Массовая доля воды, %, не более |
0,5 |
|
Массовая концентрация хлористых солей, мг/дм3, не более |
100 |
|
Массовая доля механических примесей, %, не более |
0,05 |
|
Массовая доля серы, %, не более |
1,8 |
|
Массовая доля сероводорода, млн'1 (ppm), не более |
20 |
|
Массовая доля метил- и этилмеркаптанов в сумме, млн'1 (ppm), не более |
40 |
|
Массовая доля органических хлоридов во фракции, выкипающей до температуры 204 °C, млн'1, (ppm), не более |
10 |
|
Содержание свободного газа |
не допускается |
|
Параметры электрического питания:
|
380+38 (трехфазное), 220+22 (однофазное) 50+1 |
|
Условия эксплуатации:
|
от -50 до +50 от +5 до +40 |
-
6.1 При подготовке к поверке проводят работы в соответствии с инструкцией по эксплуатации СИКН и документами на методики поверки СИ, входящих в состав СИКН.
-
7 Проведение поверки
-
7.1.1 При внешнем осмотре проверяют комплектность и внешний вид.
-
7.1.1.1 Комплектность СИКН должна соответствовать ее описанию типа и эксплуатационной документации.
-
7.1.1.2 При проверке внешнего вида должны выполняться требования:
-
-
- на компонентах СИКН не должно быть механических повреждений и дефектов покрытий, ухудшающих внешний вид и препятствующих ее применению и проведению поверки;
-
- надписи и обозначения на компонентах СИКН должны быть четкими и читаемыми без применения технических средств, соответствовать технической документации;
-
- СИ, входящие в состав СИКН, должны быть поверены и иметь пломбы, несущие на себе знак поверки, в соответствии с их методикой поверки и (или) описанием типа.
-
7.1.2 СИ, входящие в состав СИКН поверяют в соответствии с методиками поверки, указанными в таблице 5.
-
7.1.3 Проверяют наличие действующих свидетельств о поверке и эксплуатационнотехнической документации на СИ, входящие в состав СИКН.
-
7.1.4 СИКН непрошедшая внешний осмотр, к поверке не допускается.
-
7.2.1 Проверяют соответствие идентификационных данных ПО системы сведениям, приведенным в описании типа на СИКН.
-
7.2.1.1 Идентификационные данные ПО СИКН должны соответствовать сведениям,
-
приведенным в таблице 4.
Таблица 4 - Идентификационные данные ПО
|
Идентификационные данные (признаки) |
Значение | |
|
ПО ИВК (рабочий) |
ПО ИВК (резервный) | |
|
Идентификационное наименование ПО |
- |
- |
|
Номер версии (идентификационный номер) ПО |
24.75.01 |
24.75.00 |
|
Цифровой идентификатор ПО (контрольная сумма исполняемого кода) |
ЕВЕ1 |
Е825 |
-
7.2.2 Определение идентификационных данных ПО контроллеров измерительновычислительных OMNI-6000 (далее - ИВК) проводят в следующей последовательности:
-
- включить питание ИВК, если питание было выключено;
-
- на передней панели ИВК в режиме индикации нажать клавиши «Статус», «Дисплей»;
-
- нажатием клавиши «|» (стрелка вниз) переместиться до конца списка;
-
- на экран ИВК выводится цифровой идентификатор ПО (цифровой идентификатор ПО должен соответствовать информации, указанной в описании типа).
-
7.2.3 Полученные результаты идентификации ПО СИКН должны соответствовать данным указанным в описании типа на СИКН.
-
7.2.4 В случае, если идентификационные данные ПО СИКН не соответствуют данным указанным в описании типа на СИКН, поверку прекращают. Выясняют и устраняют причины вызвавшие несоответствие. После чего повторно проверяют идентификацию данных ПО СИКН.
-
7.3.1 Опробование проводят в соответствии с документом на поверку СИ, входящих в состав СИКН.
-
7.3.2 Проверяют действие и взаимодействие компонентов СИКН в соответствии с инструкцией по эксплуатации СИКН, возможность получения отчета.
-
7.3.3 Проверяют герметичность СИКН.
-
7.3.4 На элементах и компонентах СИКН не должно быть следов протечек нефти.
-
7.4 Определение (контроль) метрологических характеристик
-
7.4.1.1 Относительную погрешность измерений массы брутто нефти §МБ, %, в соответствии с ГОСТ Р 8.595-2004 «ГСИ. Масса нефти и нефтепродуктов. Общие требования к методикам выполнения измерений» при прямом методе динамических измерений СИКН принимают равной относительной погрешности измерений массы нефти расходомеров массовых Promass.
-
7.4.1.2 Результат поверки признают положительным, если значение относительной погрешности СИКН при измерении массы брутто нефти не превышает ±0,25 %.
-
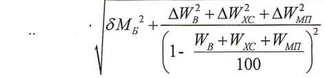
7.4.2.1 Относительную погрешность измерений массы нетто нефти ЗМН, %, определяют по формуле:
5МН =±1,1-

(1)
где 8Мб - относительная погрешность СИКН при измерениях массы брутто нефти, %, A W в - абсолютная погрешность измерений массовой доли воды в лаборатории, %, вычисляется по формуле (4);
A^TW — абсолютная погрешность измерений массовой доли механических примесей в лаборатории, %, по формуле (4);
Д^с - абсолютная погрешность измерений массовой доли хлористых солей в лаборатории, %, вычисляемые по формуле:
Л^=0Д-^, (2)
Рн
где 8(рхс — абсолютная погрешность измерений массовой концентрации хлористых солей в нефти, мг/дм3, по формуле (4);
- плотность нефти при условиях измерений (рхс, кг/м3;
WB - массовая доля воды в нефти, %, определенная в лаборатории;
Wмп - массовая доля механических примесей в нефти, %, определенная в лаборатории;
Wxc — массовая доля хлористых солей в нефти, %, определенная в лаборатории и вычисляемая по формуле:
^=0.1-^, (3)
Рн
где (рхс - массовая концентрация хлористых солей в нефти, мг/дм3, определенная в лаборатории.
-
7.4.2.2 Абсолютную погрешность измерений массовой доли воды, массовой концентрации хлористых солей и массовой доли механических примесей в нефти определяют в соответствии с ГОСТ Р ИСО 5725-6-2002 «Точность (правильность и прецизионность) методов и результатов измерений. Часть 6. Использование значений точности на практике».
Допускается до оценки промежуточных показателей прецизионности и правильности стандартных методов измерений в каждой лаборатории определять погрешности измерений в соответствии с ГОСТ 33701-2015 «ГСИ. Определение и применение показателей точности методов испытаний нефтепродуктов».
-
7.4.2.3 Для доверительной вероятности Р = 0,95 и двух измерений соответствующего показателя качества нефти абсолютную погрешность его измерений вычисляют по формуле:
7а2-г2-0,5
(4)
где R и г - пределы воспроизводимости и повторяемости (сходимости) метода определения соответствующего показателя качества нефти.
-
7.4.2.4 Значения воспроизводимости и сходимости определяют:
- для массовой доли воды по ГОСТ 2477-2014 «Нефть и нефтепродукты. Метод определения содержания воды»;
-
- для массовой доли механических примесей по ГОСТ 6370-83 «Нефть, нефтепродукты и присадки. Методы определения механических примесей»;
-
- для массовой концентрации хлористых солей по ГОСТ 21534-76 «Нефть. Методы определения содержания хлористых солей».
-
7.4.2.5 Воспроизводимость метода определения массовой концентрации хлористых солей по ГОСТ 21534 принимают равной удвоенному значению сходимости.
-
7.4.2.6 Результат поверки признают положительным, если значения относительной погрешности измерений массы нетто нефти СИКН не превышают ±0,35 %.
-
7.5 Определение метрологических характеристик СИ, входящих в состав СИКН, проводят в соответствии с документами, приведенными в таблице 5, с учетом требований, предъявляемых к СИКН.
Таблица 5 - СИ и методики их поверки
|
Наименование СИ |
Документ |
Интервал между поверками, месяцы |
|
Расходомеры массовые Promass |
МИ 3151-2008 «ГСИ. Счетчики-расходомеры, массовые. Методика поверки на месте эксплуатации трубопоршневой поверочной установкой в комплекте с поточным преобразователем плотности» |
12 |
|
Преобразователи давления измерительные Cerabar S РМР |
МИ 1997-89 «Рекомендация. ГСИ. Преобразователи давления измерительные. Методика поверки» |
12 |
|
Т ермопреобразователи сопротивления платиновые серии TR в комплекте с преобразователями измерительными Петр РСРТМТ181 |
МИ 2672-2005 «Рекомендация. ГСИ. Датчики температуры с унифицированным выходным сигналом. Методика поверки с помощью калибраторов температуры серии ATC-R исполнения "В" фирмы АМЕТЕК Denmark A/S, Дания» ГОСТ 8.461-2009 «ГСИ. Термопреобразователи сопротивления. Методы и средства поверки» Документ «Преобразователи измерительные серии Петр. Методика поверки», разработанным и утвержденным ВНИИМС, декабрь 2003 г. |
12 |
|
Преобразователь плотности жидкости измерительный (мод. 7835) |
МИ 2816-2012 «Рекомендация. ГСИ. Преобразователи плотности поточные. Методика поверки на месте эксплуатации» МИ 2403-95 «ГСИ. Рекомендация. ГСИ. Поточные вибрационные преобразователи плотности. Методика поверки на месте эксплуатации» Документ «Рекомендация. ГСИ. Плотномеры вибрационные поточные. Методика поверки», утвержденному ФГУП ВНИИР в марте 2005 г. |
12 |
|
Влагомер нефти поточный УДВН-1пм |
МИ 2366-2005 «Рекомендация. ГСИ. Влагомеры нефти типа УДВН. Методика поверки» |
12 |
Продолжение таблицы 5
|
Наименование СИ |
Документ |
Интервал между поверками, месяцы |
|
Измерительновычислительные контроллеры OMNI-6000 |
МИ 3156-2008 «Рекомендация. ГСИ. Измерительно-вычислительные контроллеры OMNI-6000, OMNI-3000, входящие в состав систем измерений количества и показателей качества нефти и нефтепродуктов. Методика поверки» |
12 |
|
Термометры ртутные стеклянные лабораторные ТЛ-4 |
ГОСТ 8.279-78 «ГСИ. Термометры стеклянные жидкостные рабочие. Методы и средства поверки» |
36 |
|
Манометры показывающие для точных измерений МПТИ |
МИ 2124-90 «Рекомендация. ГСИ. Манометры, вакуумметры, мановакуумметры, напоромеры, тягомеры и тягонапоромеры показывающие и самопишущие. Методика поверки» Документ 5Ш0.283.421 МП «Манометры, вакуумметры и мановакуумметры показывающие для точных измерений МПТИ, ВПТИ и МВПТИ. Методика поверки», утвержденной ГЦИ СИ ФГУП «ВНИИМС» в 2011г. |
12 |
Расходомер UFM 3030, не участвующий в определении массы нефти, и результаты измерений, которого не влияют на погрешность измерений массы нефти, калибруется в соответствии с действующими документами.
8 Оформление результатов поверки-
8.1 Результаты поверки оформляют протоколом по форме, приведенной в Приложении А.
-
8.2 При положительных результатах поверки оформляют свидетельство о поверке СИКН по форме Приложения 1 «Порядок проведения поверки средств измерений, требования к знаку поверки и содержанию свидетельства о поверке», утвержденным Приказом Минпромторга России от 02.07.2015 № 1815 (далее - порядок проведения поверки СИ).
На оборотной стороне свидетельства о поверке СИКН указывают диапазон измерений расхода и пределы допускаемой относительной погрешности измерений массы (брутто, нетто) нефти.
Знак поверки наносится на свидетельство о поверке СИКН.
-
8.3 При отрицательных результатах поверки СИКН к эксплуатации не допускают, свидетельство о поверке аннулируют и выдают извещение о непригодности по форме Приложения 2 документа «Порядок проведения поверки средств измерений, требования к знаку поверки и содержанию свидетельства о поверке», утвержденного приказом Минпромторга России от 02.07.2015 № 1815.
Приложение А
(рекомендуемое)
Форма протокола поверки
ПРОТОКОЛ ПОВЕРКИ №___________
Стр. _ из
Наименование средства измерений:_______________________________
Тип, модель, изготовитель:________________________________________
Заводской номер:_______________________________________________
Владелец:________________________________________________________
Наименование и адрес заказчика:_________________________________
Методика поверки:_____________________________________________
Место проведения поверки:______________________________________
Поверка выполнена с применением:_____________________________
Условия проведения поверки:
Температура окружающей среды:______
Атмосферное давление:_____________
Относительная влажность:____________
РЕЗУЛЬТАТЫ ПОВЕРКИ
-
1. Внешний осмотр:______________________________
(соответствует/не соответствует)
-
2. Подтверждение соответствия программного обеспечения СИКН: ■_____________________________
(соответствует/не соответствует)
-
3. Опробование:______________________________
(соответствует/не соответствует)
-
4. Определение метрологических характеристик
-
4.1 Определение относительной погрешности СИКН при измерениях массы брутто нефти
-
Относительную погрешность измерений массы брутто нефти ЗМБ, %, в соответствии с ГОСТ Р 8.595-2004 «ГСП. Масса нефти и нефтепродуктов. Общие требования к методикам выполнения измерений» при прямом методе динамических измерений СИКН принимают равной относительной погрешности измерений массы нефти расходомеров массовых Promass ±0,25 %.
Стр. _ из
-
4.2 Определение относительной погрешности СИКН при измерении массы нетто нефти
Таблица 1 - Результаты измерений и вычислений
|
5МБ,°/о |
Wxc,% |
wMn, % |
дд;, % |
д^с, % |
8МН,°/О | ||
должность лица, проводившего поверку
подпись
________________ Дата поверки
Ф.И.О.
12
