Методика поверки «ГСИ. РАСХОДОМЕРЫ-СЧЕТЧИКИ ВИХРЕВЫЕ ИРВИС-РС4М» (МП 0954-1-2019)
ФЕДЕРАЛЬНОЕ АГЕНТСТВО ПО ТЕХНИЧЕСКОМУ РЕГУЛИРОВАНИЮ И МЕТРОЛОГИИ
Федеральное государственное унитарное предприятие «Всероссийский научно-исследовательский институт расходометрии»
Государственный научный метрологический центр
ФГУП «ВНИИР»
УТВЕРЖДАЮ
Первый заместитель директора по научной работе-

« 2019 г.
Заместйгель директора по качеству
2___В.А. Фафурин
ИНСТРУКЦИЯ
Государственная система обеспечения единства измерений
РАСХОДОМЕРЫ-СЧЕТЧИКИ ВИХРЕВЫЕ ИРВИС-РС4М
Методика поверки
МП 0954-1-2019
Начад^шкдгдела НИО-1
P-А. Корнеев
отдела: 272-12-02
г. Казань
2019 г.
Настоящая методика поверки распространяется на расходомеры-счетчики вихревые ИРВИС-РС4М (далее - расходомеры-счетчики), предназначенные для измерения и индикации объемного расхода и объема при рабочих условиях водорода, гелия, неагрессивных горючих и инертных газов (далее - газы), водяного пара, и вычисления объемного расхода (объема) газов, приведенных к стандартным условиям по ГОСТ 2939-63, массового расхода пара, количества тепловой энергии на основании измеренных температуры, давления и объемного расхода.
Допускается проводить поверку только используемых каналов ввода и вывода на основании письменного заявления владельца, оформленного в произвольной форме.
Настоящая инструкция устанавливает методику первичной и периодической поверок.
Интервал между поверками - 3 года.
1 ОПЕРАЦИИ ПОВЕРКИПри проведении поверки выполняют следующие операции:
-
- внешний осмотр (пункт 6.1);
-
- опробование (пункт 6.2);
-
- определение метрологических характеристик (пункт 6.3);
-
- оформление результатов поверки (пункт 7).
-
2.1 При проведении поверки применяют следующие средства поверки:
-рабочий эталон 1-го разряда единицы объемного расхода газа в соответствии с приказом Госстандарта от 29.12.2018 г. № 2825 с пределами допускаемой относительной погрешности ±0,3 % в диапазоне значений, соответствующих диапазону измерений поверяемого расходомера-счетчика (далее - эталон расхода);
-
- рабочий эталон единицы избыточного давления 2 разряда в соответствии с приказом Росстандарта от 29.06.2018 № 1339 в диапазоне значений избыточного давления, соответствующих диапазону измерений поверяемого средства измерений (далее - эталон единицы избыточного давления);
-
- рабочий эталон единицы абсолютного давления 3 разряда по ГОСТ Р 8.840-2013 в диапазоне значений абсолютного давления, соответствующих диапазону измерений поверяемого средства измерений (далее - эталон единицы атмосферного давления);
-
- рабочий эталон 3 разряда единицы электрического сопротивления постоянного тока в соответствии с приказом Росстандарта от 15.02.2016 № 146 в диапазоне от 1 до 2000 Ом;
-
- рабочий эталон 2 разряда единицы силы постоянного электрического тока в соответствии с приказом Росстандарта от 01.10.2018 № 2091 в диапазоне от 0 до 25 мА;
-
- частотомер электронно-счетный 43-63 (регистрационный номер в Федеральном информационном фонде 9084-90) (далее - частотомер), пределы измерений от 0,1 до 200 МГц, пределы допускаемой относительной погрешности по частоте опорного генератора ±5 ■ 10’7 Гц;
-
- нутромер микрометрический НМ (регистрационный номер в Федеральном информационном фонде 35818-13) (далее - нутромер);
-штангенциркуль электронный ШЦЦ-Ш-400 (500, 630, 800, 1000)
(регистрационный номер в Федеральном информационном фонде 36767-08) (далее -штангенциркуль);
-
- термогигрометр ИВА-6А-Д (регистрационный номер в Федеральном информационном фонде 46434-11), диапазон измерения влажности от 0 до 98 %, пределы абсолютной погрешности ±2 %; диапазон измерения температуры от минус 20 °C до плюс 6СГС, пределы абсолютной погрешности ±0,3 °C; диапазон измерения атмосферного давления от 70 до 110 кПа, пределы абсолютной погрешности ±0,25 кПа;
-
- персональный компьютер с программным обеспечением «ИРВИС-ТП»;
-
- стенд проверки герметичности (устройство для создания пневматического давления ИРВС 9105.0000.00), верхний предел измерения давления не менее наибольшего значения давления, указанного в паспорте на расходомер-счетчик, относительная погрешность измерения давления не более ± 0,15%.
-
- имитатор измерительного трубопровода для монтажа расходомеров-счетчиков ИРВИС-РС4М-Пр, ИРВИС- РС4М-В
-
- источник питания постоянного тока напряжением 18 В (при отсутствии в комплекте поставки блока индикации и питания и для расходомеров-счетчиков с автономным питанием);
-
- средства поверки в соответствии с документами на поверку преобразователя температуры, входящего в состав расходомера-счетчика.
-
2.2 Допускается применение аналогичных средств поверки, обеспечивающих определение метрологических характеристик поверяемых СИ с требуемой точностью.
-
3.1 При проведении поверки соблюдают требования:
-
- правил технической эксплуатации электроустановок потребителей;
-
- правил безопасности при эксплуатации средств поверки, приведенных в их эксплуатационной документации;
-
- инструкций по охране труда, действующих на объекте.
-
3.2 К проведению поверки допускаются лица, изучившие настоящую инструкцию, эксплуатационные документы расходомера-счетчика, средств поверки и прошедшие инструктаж по технике безопасности.
-
3.3 К средствам поверки и используемому при поверке оборудованию обеспечивают свободный доступ.
-
3.4 Освещенность должна обеспечивать отчетливую видимость применяемых средств поверки, снятие показаний с приборов.
-
3.5 Конструкция соединительных элементов расходомера-счетчика и средств поверки должна обеспечивать надежность крепления расходомера-счетчика и фиксацию его положения в течение всего цикла поверки.
-
3.6 При появлении течи измеряемой среды и других ситуаций, нарушающих процесс поверки, поверка должна быть прекращена.
-
3.7 Подключение расходомеров-счетчиков к средствам поверки проводится в соответствии с эксплуатационными документами расходомеров-счетчиков и средств поверки.
-
4.1 При проведении поверки расходомеров-счетчиков должны соблюдаться следующие условия:
-
- температура окружающего воздуха от плюс 15 до плюс 25 °C;
-
- относительная влажность от 30 до 80 %;
-
- атмосферное давление от 84 до 106,7 кПа;
-
- измеряемая среда - воздух, природный газ;
-
- температура измеряемой среды от плюс 15 до плюс 25 °C.
-
4.2 Допускается изменение температуры и давления измеряемой среды не более ±1 °C и ±0,02 МПа соответственно за время одного измерения.
-
4.3 Условия монтажа и требования к измерительным участкам должны соответствовать пункту 2.2.1.7 «Расходомеры-счетчики вихревые ИРВИС-РС4М. Руководство по эксплуатации. ИРВС 9100.0000.00 РЭ5». Допускается применение прямых участков с отклонениями от требований эксплуатационных документов при условии совместной градуировки расходомера-счетчика с этими участками на эталоне расхода. Расходомеры-счетчики, комплектуемые устройствами подготовки потока, должны поверяться совместно с ними.
-
4.4 При проведении поверки первичного преобразователя температуры должны быть соблюдены условия, изложенные в пункте 7 ГОСТ 8.461-2009 «Государственная система обеспечения единства измерений. Термопреобразователи сопротивления из платины, меди и никеля. Методика поверки».
Перед проведением поверки выполняют следующие подготовительные операции:
-
5.1 Проверяют соблюдения условий разделов 2-4 настоящей инструкции.
-
5.2 При периодической поверке расходомеров-счетчиков проводят профилактические работы по очистке внутренней поверхности первичного преобразователя от возможных смолистых и иных отложений ершом или льняной тряпкой, смоченной в бензине, извлекают первичный преобразователь расхода (кроме исполнения ИРВИС-РС4-Пар). Для исполнения типа ИРВИС-РС4-Пп-ППС извлекают детектор вихрей и, сняв защитную крышку, соблюдая чрезвычайные меры предосторожности, колонковой либо беличьей кистью № 1-3, смоченной в спирто-бензиновой смеси, промывают нить чувствительного элемента. Сборку производят в обратной последовательности.
-
5.3 Расходомер-счетчик перед началом поверки после включения питания выдерживают не менее 15 мин.
-
5.4 Подготавливают к работе средства поверки в соответствии с их эксплуатационними документами.
-
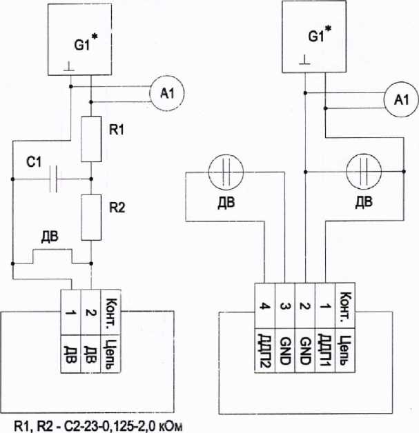
5.5 Проводят необходимые соединения расходомера-счетчика и средств поверки, согласно эксплуатационным документам расходомера-счетчика и средств поверки. Выполняют внешние электрические соединения в соответствии с Приложением А.
-
5.6 Подключают расходомер-счетчик к персональному компьютеру с предустановленным программным обеспечением (далее - ПО) «ИРВИС-ТП», воспользовавшись одним из интерфейсов связи, и устанавливают связь расходомера-счетчика и персонального компьютера.
-
5.7 Производят настройку режимов работы расходомера-счетчика с помощью клавиатуры блока интерфейса и питания (далее - БИП) или ПО «ИРВИС-ТП». Правила работы с меню расходомера-счетчика и ПО «ИРВИС-ТП» описаны в эксплуатационных документах расходомера-счетчика. Настройке для проведения поверки подлежат параметры, приведенные в таблице 1.
аблица 1
Наименование настройки |
Контакт |
Настраиваемые параметры |
Импульсный выход |
CTRL |
|
Частотный выход |
CTRL |
|
Условия поверки |
— |
• тип рабочего газа |
-
5.8 Расходомеры-счетчики модификаций ИРВИС-РС4М-В, ИРВИС-РС4М-Пр, поставляемые без измерительного участка, монтируют на имитаторе измерительного трубопровода с внутренним диаметром DN300. С помощью штангенциркуля и/или нутромера измеряют и заносят в память расходомера-счетчика внутренний диаметр измерительного участка трубопровода. Измерения проводят в трех плоскостях, в соответствии с рисунком 1 Приложения Б (для ИРВИС-РС4М-Пар в соответствии с рисунком 2 Приложения Б) и определяю среднеарифметическое значение результатов измерений.
-
6.1 Внешний осмотр
При проведении внешнего осмотра устанавливают:
-
- отсутствие механических повреждений и дефектов расходомера-счетчика и соединительных кабелей;
-
- соответствие комплектности, внешнего вида и маркировки требованиям эксплуатационных документов.
Результаты внешнего осмотра считают положительными, если:
-
- на расходомере-счетчике и соединительных кабелях отсутствуют механические повреждения и дефекты, препятствующие его применению;
-
- комплектность расходомера-счетчика, его внешний вид и надписи соответствуют требованиям эксплуатационной документации.
-
6.2 Опробование
Проводят проверку общей работоспособности и подлинности программного обеспечения (далее - ПО) расходомера-счетчика. При этом:
-
- проводят проверку идентификации ПО путем считывания версии и контрольной суммы ПО с индикатора блока индикации пункт меню «Установки«/«Контроль» ПО и сравнения считанных значений со значениями указанными в паспорте;
-
- с помощью эталона расхода, вентилятора или компрессора в измерительном участке или имитаторе создают стационарный поток воздуха со значением расхода, не выходящим за пределы измерения поверяемого расходомера-счетчика.
Опробование производят по измерительной схема Q, приведенной в Таблице А.1 Приложения А.
Результаты проверки общей работоспособности и подлинности ПО расходомера-счетчика считают положительными, если:
-
- в процессе эксплуатации не возникало индикации сбоев, коммуникационных ошибок, сообщений о нештатных ситуациях;
-
- считанные идентификационные данные совпадают с указанными в паспорте;
-
- при изменении потока воздуха в измерительном участке или имитаторе показания на индикаторе расходомера-счетчика или на мониторе подключенного персонального компьютера по каналам измерения давления, температуры и объемного (массового) расхода соответствуют условиям опробования.
-
6.3 Проверка герметичности
Заглушают присоединительные фланцы расходомеров-счетчиков.
Для расходомеров-счетчиков модификаций ИРВИС-РС4М-Пр и ИРВИС-РС4М-В, поставляемых без измерительного участка, проверку герметичности проводят с использованием имитатора измерительного участка.
Проверку герметичности расходомера-счетчика проводят с помощью стенда проверки герметичности путем создания в полости первичного преобразователя давления, равного наибольшему значению давления, указанному в паспорте на расходомер-счетчик.
Давление следует поднимать плавно в течение 1 мин.
Результаты проверки герметичности считают удовлетворительными, если в течение 5 мин после создания испытательного падение давления не превысило 0,2 %.
-
6.4 Определение метрологических характеристик
-
6.4.1 Определение относительной погрешности при измерении объемного расхода (объема) газа при рабочих условиях проводят одним из следующих методов:
-
-
- проливным методом по частотному выходу по пункту 6.4.2;
-
- проливным методом по импульсному выходу по пункту 6.4.3;
-
- имитационным методом по пункту 6.4.4.
-
6.4.2 Определение относительной погрешности при измерении объемного расхода (объема) газа при рабочих условиях проливным методом по частотному выходу.
Поверку проводят по измерительной схеме Q в соответствии с таблицей А.1 приложения А с помощью эталона расхода. Поверку проводят с использованием частотного выхода расходомера-счетчика.
Измерения проводят в следующих точках диапазона расхода: QiW1I6, 0,7-QHaH6, 0,4-()наиб, 0,25-Онаиб, 0,l-QHaH6, Qhshm С ДОПуСКаеМЫМ отклонением 5% (QHaHM, QHaH6 -наименьшее, наибольшее значения измеряемого объемного расхода при рабочих условиях соответственно, которые приведены в паспорте).
С клавиатуры БИП контрольный выход первичного преобразователя (далее - ПП) переключают в режим «FQ» и к нему подключают частотомер (отсчетное устройство эталона объемного расхода), работающий в режиме измерения не менее 1000 периодов поступающих на его вход импульсов. На каждом значении объемного (массового) расхода осуществляют не менее 3 измерений значений объемного (массового) расхода с помощью эталона расхода и расходомера-счетчика.
Измеренное значение объемного расхода поверочной среды при рабочих условиях определяют следующим образом.
При поверке на эталоне расхода в качестве начального приближения объемный расход в расчетном сечении ПП принимают равным объемному расходу эталона расхода в
сечении приведения:
Qpci QcnyiJ
(1)
где Qpcj - объемный расход в расчетном сечении ПП, м3/ч;
Q*- объемный расход эталона объемного расхода в расчетном сечении, м3/ч.
Примечание - За расчетное принимается сечение эталона объемного расхода расположенное на расстоянии 2 DN от первичного преобразователя расходомера-счетчика ниже по потоку.
Вычисляют давление Р, Па, температуру TpCi, К, и расход Qpct, м3/ч, в расчетном сечении ПП.
р =
pci
(2)
где Р
cnyi
^рс-спу
Qpc,
1 + ^рс~спу 2. R-T,
-
- давление воздуха в расчетном сечении эталона расхода, Па (измеряется в соответствии с эксплуатационными документами эталона расхода), Па;
-
- коэффициент приведения давления (указан в «Расходомеры-счетчики вихревые ИРВИС-РС4М. Паспорт. ИРВС 9100.0000.00 ПС5»);
-
- объемный расход в расчетном сечении ПП, м3/ч;
-
- площадь расчетного сечения ПП, м2;
где
R
?’
где

к
рс
Т
РС‘
R
Tt
где

-
- удельная газовая постоянная, Дж/кг-К (для воздуха R = 287,1 Дж/кг-К);
-
- температура в расчетном сечении эталона объемного расхода, К (измеряется в соответствии с эксплуатационными документами эталона расхода).

(3)
-
- температура в расчетном сечении эталона расхода, К (измеряется в соответствии с эксплуатационными документами эталона расхода);
-
- коэффициент адиабаты расширения (для воздуха k = 1,4);
-
- объемный расход в расчетном сечении ПП, м3/ч;
- площадь расчетного сечения ПП, м2;
- температура воздуха в расчетном сечении ПП, К;
-
- удельная газовая постоянная, Дж/кг-К (для воздуха R = 287,1 Дж/кг-К);
-
- температура в расчетном сечении эталона расхода, К (измеряется в соответствии с эксплуатационными документами эталона расхода).

(4)
- объемный расход эталона объемного расхода в расчетном сечении, м3/ч;
Рст - давление воздуха в расчетном сечении эталона расхода, Па (измеряется в соответствии с эксплуатационными документами эталона расхода);
Т - температура воздуха в расчетном сечении ПП, К;
Р - давление воздуха в расчетном сечении ПП, Па;
Q - объемный расход в расчетном сечении ПП, м3/ч;
Tt - температура в расчетном сечении эталона объемного расхода, К (измеряется в соответствии с эксплуатационной документацией поверочной установки).
Площадь расчетного сечения ПП F, м3 определяется по формуле:
(5)
1 celS)
-
- коэффициент сужения потока в следе за телом обтекания (указан в «Расходомеры-счетчики вихревые ИРВИС-РС4М. Паспорт. ИРВС 9100.0000.00 ПС5»);
-
- площадь проходного поперечного сечения ИРВИС-РС4М в месте установки тела обтекания при 20 °C, м2.
arcsin

(6)
где

-
- внутренний диаметр ПП расходомера-счетчика при 20 °C, м (указан в «Расходомеры-счетчики вихревые ИРВИС-РС4М. Паспорт. ИРВС 9100.0000.00 ПС5»);
-
- характерный размер тела обтекания при 20 °C, м (указан в «Расходомеры-счетчики вихревые ИРВИС-РС4М. Паспорт. ИРВС 9100.0000.00 ПС5»).
Для ИРВИС-РС4М-Пп и ИРВИС-РС4М-Пр значение Fce20 указано в «Расходомеры-счетчики вихревые ИРВИС-РС4М. Паспорт. ИРВС 9100.0000.00 ПС5»; для ИРВИС-РС4М-В значение Fce20 рассчитывается по формуле 6.
Уточняют расход в расчетном сечении ПП, повторяя три раза вычисления по формулам 2-4.
Вычисленное значение расхода в расчетном сечении ПП, QPC., м3/ч, определяют по
формуле |
Qpc* ~ 3600 • Kq^ • Fce20 • d20 ■ KTi ■ Ke- f, (7) |
ГДе KQ, КТ1 |
|
ке |
- поправочный коэффициент на влияние расширения газа за телом обтекания. |
f |
- среднеарифметическое значение частоты импульсов, Гц. |
Поправочный коэффициент, учитывающий вязкость измеряемой среды, KQlJ
представляется в виде функциональной зависимости.
„ / Ref
(8)
соответствующее
Re \ /авт где: Re, - модифицированное число Рейнольдса;
Re/uTO1 — модифицированное число Рейнольдса, автомодельному режиму.
Вид градуировочной зависимости приведен в «Расходомеры-счетчики вихревые ИРВИС-РС4М. Паспорт. ИРВС 9100.0000.00 ПС5».
Число Рейнольдса, Rlf определяют по формуле:
7,
(9)
где: р г pci |
- плотность поверочной среды в расчетном сечении ПП (для воздуха -при температуре торможения), кг/м3; |
Vi |
- динамическая вязкость поверочной среды в расчетном сечении ПП (для воздуха - при температуре торможения), Па с. Для воздуха определяется согласно ГСССД 109-89 «Воздух сухой. Коэффициенты динамической вязкости и теплопроводности при температурах 150... 1000 К и давлениях от соответствующих разряженному газу до 100 МПа»; |
f |
- среднеарифметическое значение частоты импульсов, Гц. |
Если поверочная среда воздух, плотность в расчетном сечении ПП вычисляют по
формуле: |
(10) Г ст 1 cnyi |
где А™ / ст |
- плотность воздуха при стандартных условиях (Рст= 101,325 кПа, Тст = 293,15 К), кг/м3; |
К |
- коэффициент сжимаемости воздуха. |
В случае табличного представления зависимости поправочный коэффициент, учитывающий вязкость, КОг) получают линейной интерполяцией табличных данных.
Поправочный коэффициент Кг, на изменение размеров элементов конструкции ПП вычисляют по формуле:
Л'./.,=1 + «г-(Т;-293,15)? (11)
где ат - коэффициент температурного расширения элементов конструкции ПП (указан в «Расходомеры-счетчики вихревые ИРВИС-РС4М. Паспорт. ИРВС 9100.0000.00 ПС5»),
Поправочный коэффициент на влияние расширения газа за телом обтекания, Кс
вычисляют по формуле:


-103%,
(13)
*>1+с.
(12)
где: Сг |
- условно-постоянная величина, учитывающая влияние свойств газа и конструктивных особенностей на расширение газа за телом обтекания (указана в «Расходомеры-счетчики вихревые ИРВИС-РС4М. Паспорт. ИРВС 9100.0000.00 ПС5»), |
f Т |
|
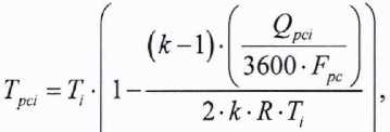
Относительную погрешность при измерении объемного расхода (объема) газа и пара при рабочих условиях определяют по формуле:
Результаты определения относительной погрешности при измерении объемного расхода (объема) газа при рабочих условиях проливным методом по частотному выходу считают положительными, если значение относительной погрешности при измерении объемного расхода, объема газа при рабочих условиях, не превышает значений, указанных в описании типа в соответствии с модификацией расходомера счетчика.
-
6.4.3 Определение относительной погрешности при измерении объемного расхода (объема) газа при рабочих условиях проливным методом по импульсному выходу.
Поверку проводят по измерительной схеме Q в соответствии с таблицей А.1 приложения А с помощью эталона расхода. Поверку проводят с использованием импульсного выхода расходомера-счетчика.
Измерения проводят в следующих точках диапазона расхода: QhhhS, 0,7-Qnail6, 0,4-QHaH6, 0,25-QHaH6, 0,l-QHaH6, Qh3hm с допускаемым отклонением 5% (QHaHM, Qh3h6 -наименьшее, наибольшее значения измеряемого объемного расхода при рабочих условиях соответственно, которые приведены в «Расходомеры-счетчики вихревые ИРВИС-РС4М. Паспорт. ИРВС 9100.0000.00 ПС5»),
Перед началом поверки необходимо выбрать поверочную среду либо с клавиатуры БИП, либо с помощью ПО «ИРВИС-ТП»,
В каждой точке объемного расхода проводят не менее трех измерений накопленного объема,^, м3, при этом накопленный объем должен быть не менее Ипем, м3, который определяют по формуле
^=0,1-^, (14)
где: Qm - текущее значение объемного расхода при рабочих условиях в расчетном
сечении эталона объемного расхода, м3/ч.
Объем воздуха, измеренный расходомером-счетчиком, м3, рассчитывают по формуле:
HCT=7V-/r. (15)
где N
количество импульсов, считанных с импульсного выхода расходомера-счетчика за время измерения, импульсы;
вес импульса расходомера-счетчика (указаны в документе «Расходомеры-счетчики вихревые ИРВИС-РС4М. Паспорт. ИРВС 9100.0000.00 ПС5»), м3/импульс.
Относительную погрешность при измерении объема газа при рабочих условиях, Sv , %, рассчитывают для каждого измерения по формуле:
•100
(16)
где — объем воздуха в расчетном сечении, измеренный эталоном расхода, м3;
К - объем воздуха, измеренный расходомером-счетчиком, м3.
Результаты поверки считают положительными, если значение относительной погрешности при измерении объемного расхода, объема газа при рабочих условиях не превышает значений, указанных в паспорте «Расходомеры-счетчики вихревые ИРВИС-РС4М. Паспорт. ИРВС 9100.0000.00 ПС5».
-
6.4.4 Имитационный метод поверки.
Имитационный метод поверки может применяться для всех моделей расходомеров-счетчиков. При имитационном методе поверки проводят проверку проходного сечения ПП на отсутствие заметного износа и проверка характерного размера тела обтекания на отсутствие заметного износа.
-
6.4.4.1 Проверка проходного сечения ПП на отсутствие заметного износа
Примечание - проверку проходного сечения ПП на отсутствие заметного износа проводят только при периодической поверке.
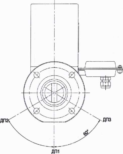
Нутромером проводят измерения диаметров входного и выходного сечений ПП в трех плоскостях, в соответствии с рисунком 1 Приложения Б (для ИРВИС-РС4М-Пар в соответствии с рисунком 2 Приложения Б).
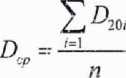
Определяют среднее значение диаметра ПП. Dcp, мм, по формуле
Я

(17)
где D — результат /-го измерения диаметра проходного сечения ПП,
приведенный к 20 °C, мм;
количество измерений (для ИРВИС-РС4М-Пп-16-27 п-3, для всех остальных исполнений и Ду п=6).
(18)
где D - результат /-го измерения диаметра проходного сечения ПП, мм;
апч - температурный коэффициент линейного расширения материала проточной части (для ИРВИС-РС4-Пп-16 и ИРВИС-РС4М-Пп-75 апч = 1,0166 10"5, для ИРВИС-РС4М-Г1ар апч = 1,5268-10’5);
tu - температура окружающей среды во время измерения, °C.
Вычисления величин должны проводиться с точностью до 5 значащих цифр. Результат измерения считают положительным, если выполняется условие:
^ср ^201 —
(19)
где D20 - диаметр проходного сечения ПП при 20 °C, мм (указан в
«Расходомеры-счетчики вихревые ИРВИС-РС4М. Паспорт. ИРВС 9100.0000.00 Г1С5»);
- величина поля допуска диаметра проходного сечения ПП, которая приведена в таблице 2.
Таблица 2 - Величина поля допуска диаметра проходного сечения
Типоразмер первичного преобразователя, Dy |
Величина поля допуска диаметра проходного сечения ПП, До ,мм |
27 |
0,13 |
50 |
0,16 |
80 |
0,19 |
100 |
0,22 |
150 |
0,25 |
200 |
0,29 |
300 |
0,32 |
-
6.4.4.2 Проверка характерного размера тела обтекания на отсутствие заметного износа
Примечание - проверку характерного размера тела обтекания на отсутствие заметного износа проводят только при периодической поверке.
Извлекают тело обтекания (кроме модификации ИРВИС-РС4-Пар). Микрометром производят измерения характерного размера тела обтекания J,, мм, в соответствии с рисунком 3 Приложения Б (для исполнения ИРВИС-РС4-Пар использовать штангенциркуль нониусный ШЦ-П-250-0,05, рисунок 4 Приложения Б).
Определяют среднее значение характерного размера тела обтекания, d , мм, по формуле
п
где - результат z-го измерения характерного размера тела обтекания,
приведенный к 20 °C, мм.
J20l = rf, • (1 +1,5268 ■ 10’5 ■ (г„ - 20)), (21)
где d. - результат /-го измерения характерного размера тела обтекания, мм;
t — температура окружающей среды во время измерения, °C.
Вычисления величин должны проводиться с точностью до 5 значащих цифр. Результат измерения считают положительным, если выполняется условие:
\^ср ~ ^201 - ’ (22)
где d2a - характерный размер тела обтекания при 20 °C, мм (указан в «Расходомеры-счетчики вихревые ИРВИС-РС4М. Паспорт. ИРВС 9100.0000.00 ПС5»);
д^ - величина поля допуска характерного размера тела обтекания, которая приведена в таблице 3.
Таблица 3 - Величина поля допуска характерного размера тела обтекания
Типоразмер первичного преобразователя, Dy |
Номинальный характерный размер тела обтекания, мм |
Величина поля допуска характерного размера тела обтекания Д^ ,мм |
27 |
8,5 |
0,08 |
50 |
15 |
0,09 |
80 |
24 |
0,11 |
100 |
24 |
0,11 |
150 |
36 |
0,13 |
200 |
48 |
0,13 |
300 |
48 |
0,13 |
Результаты поверки имитационным методом считают положительными, если выполняются условия 19 и 22.
-
6.4.5 Определение относительной погрешности расходомера-счетчика при измерении температуры
Примечание - определение относительной погрешности расходомера-счетчика при измерении температуры допускается проводить при проведении операций по пункту 6.4.7.
Проверяют наличие свидетельства о поверке первичного преобразователя температуры, сроком действия не менее трех лет.
Определяют относительную погрешность преобразования входных сигналов сопротивления Pt 100. К расходомеру-счетчику подключают эталон единицы сопротивления в соответствии с измерительной схемой V, приведенной в таблице А.2 приложения А. Подают электрический сигнал сопротивления Pt 100 по ГОСТ 6651—2009 соответствующий наименьшему, наибольшему и среднему значению диапазона измерений температуры.
Считывают значение входного сигнала с помощью ПО «ИРВИС ТП». Для каждого измерения вычисляют относительную погрешность при измерении входных сигналов сопротивления от преобразователей температуры Pt 100, Зг, %, по формуле

t -t
■100,
(23)
1/3 У D1H
273,15 + /,га
где /■ - значение температуры, соответствующее сопротивлению измеренному
расходомером-счетчиком, °C;
- значение температуры, соответствующее сопротивлению заданному эталоном единицы сопротивления, °C.
Результаты определения относительной погрешности преобразования входных сигналов сопротивления Pt 100 считают положительными, если рассчитанная относительная погрешность при каждом измерении не превышает ±0,1 %.
Рассчитывают относительную погрешность расходомера-счетчика при измерении температуры по формуле
3r=^+fnnT, (24)
где § - пределы основной допускаемой относительной погрешности
преобразования входных сигналов сопротивления Pt 100 (равны ±0,1 %), %
g - пределы допускаемой относительной погрешности первичного преобразователя температуры (определены по формуле 25), %.
Пределы допускаемой относительной погрешности первичного преобразователя температуры рассчитывают по формулам:
- для расходомеров-счетчиков с диапазоном измеряемых температур от минус 40 до плюс 100 °C
•100,

$ппт ~ ±
- для расходомеров-счетчиков с диапазоном измеряемых температур от минус 40 до плюс 250 °C
0,15 + 0,002-|/а.,| 273,15+ /_
•100,
(26)
Результаты считают положительными, если рассчитанная относительная погрешность расходомера-счетчика при измерении температуры не превышает ±0,25 %.
-
6.4.6 Определение относительной погрешности расходомера-счетчика при измерении абсолютного давления
Примечание - определение относительной погрешности расходомера-счетчика при измерении абсолютного давления допускается проводить при проведении операций по пункту 6.4.7.
К расходомеру-счетчику подключают эталон единицы абсолютного давления в соответствии с измерительной схемой V, приведенной в таблице А.2 приложения А. Эталон единицы абсолютного давления подключают непосредственно к первичному преобразователю абсолютного давления или к внутренней полости первичного преобразователя расхода. Последовательно создают абсолютное давление, соответствующее наименьшему (или атмосферному), наибольшему и среднему значению диапазона измерений абсолютного давления. Допускается при измерении абсолютного давления использовать сумму показаний эталона единицы избыточного давления и значение атмосферного давления, измеренного эталоном единицы абсолютного давления.
Считывают значение абсолютного давления с помощью ПО «ИРВИС ТП», измеренное расходомером-счетчиком Дзм, кПа, и эталоном единицы абсолютного давления, Р^т, кПа. Для каждого измерения вычисляют относительную погрешность расходомера-счетчика при измерении абсолютного давления, 8р, %, по формуле

(27)
где Р U3.U |
- значение абсолютного давления, измеренное расходомером-счетчиком, кПа; |
р эт |
- значение абсолютного давления, измеренное эталоном единицы давления, кПа. |
Результаты считают положительными, если рассчитанная относительная погрешность расходомера-счетчика при измерении абсолютного давления не превышает ±0,3 %.
-
6.4.7 Определение основной относительной погрешности расходомера-счетчика при измерении объемного расхода (объема) газа, приведенного к стандартным условиям, или массы газа, с учетом погрешностей измерения объемного расхода, давления, температуры и вычисления коэффициента сжимаемости, энергосодержания природного газа (без учета погрешности определения теплоты сгорания газа), количества тепловой энергии (без учета погрешности вычисления энтальпии водяного пара).
Примечание - поверку проводят только для алгоритма, установленного в расходомере-счетчике.
В ПО «ИРВИС ТП» вводят исходные данные в соответствии с конфигурацией расходомера-счетчика из меню «установки» расходомера-счетчика (измеряемая среда, компонентный состав или иные параметры в зависимости от настройки), а также пределы допускаемой относительной погрешности измерений объемного расхода при рабочих условиях, приведенные в паспорте. К расходомеру-счетчику подключают средства поверки в соответствии с измерительной схемой V, приведенной в таблице А.2 приложения А.
С помощью ПО «ИРВИС ТП» задают значения объемного расхода при рабочих условиях, с помощью эталона единицы сопротивления задают сопротивление по ГОСТ 6651-2009, соответствующее значениям температуры, с помощью эталона давления задают значение давления, в соответствии с режимами функционирования, приведенными в Таблице 4.
Таблица 4 - Режимы
Режим функционирования |
Параметры измеряемой среды | ||
Объемный расход при рабочих условиях, м3/ч |
Температура, °C |
Давление, кПа | |
1 |
(^наиб |
(наиб |
Р найм |
2 |
0,5Q„a„6 |
среднее значение диапазона измерений температуры |
среднее значение диапазона измерений давления |
3 |
ОДОнаиб |
Хнаим |
Рнаиб |
где QHaH6 - наибольшее значение диапазона измерения объемного расхода газа, м3/ч;
tHa™, tHan6 - наименьшее и наибольшее значение диапазона измерения температуры соответственно, °C;
Рнаим, Рнаиб - наименьшее и наибольшее значение диапазона измерения абсолютного давления соответственно, кПа.
Пр имечание - Рнаим допускается принимать равным атмосферному.
Для установленных режимов функционирования с помощью ПО «ИРВИС-ТП» рассчитывают время набора контрольного количества объема, при стандартных условиях (массы газа, энергосодержания природного газа, количества теплоты водяного пара в зависимости от назначения), соответствующее одному импульсу, тэт, с. Для этого в соответствующие поля в окне ПО «ИРВИС-ТП» подставляют заданные значения объемного расхода при рабочих условиях, температуры и давления.
После выдержки на установленных режимах в течение 3 минут с помощью частотомера измеряют период прохождения одного импульса, тИзм, с. Операцию повторяют не менее трех раз.
Для каждого измерения вычисляют относительную погрешность расходомера-счетчика при измерении времени набора контрольного количества объема газа, приведенного к стандартным условиям, массы газа, энергосодержания природного газа, количества теплоты водяного пара, дт, %, по формуле
(28)
где тизл< ~ измеренное значение периода прохождения одного импульса, с;
т - рассчитанное значение периода прохождения одного импульса с помощью ПО «ИРВИС ТП», с;
Для каждого измерения рассчитывают относительную погрешность расходомера-счетчика при измерении объемного расхода (объема) газа, приведенного к стандартным условиям, или массы газа, с учетом погрешностей измерения объемного расхода, давления, температуры и вычисления коэффициента сжимаемости, энергосодержания природного газа, количества теплоты водяного пара, ^ирвис_рсш ■> <^°> п0 формуле
^ИРВИС-РСАМ = + + ^ППТ + ^Мет ’ (^9)
где - пределы допускаемой относительной погрешности при измерении
объемного расхода (объема) газа при рабочих условиях, %;
S - относительная погрешность расходомера-счетчика при измерении времени набора контрольного количества объема газа, приведенного к стандартным условиям, массы газа, энергосодержания природного газа, количества теплоты водяного пара, %;
g - пределы допускаемой относительной погрешности первичного преобразователя температуры. %;
— пределы допускаемой методической погрешности градуировки (принимается равной 0 для модификаций ИРВИС-РС4М-Пп и ИРВИС-РС4М-В; принимается равной 1 для модификации ИРВИС-РС4М-Пр), %.
Результаты считают положительными, если рассчитанная относительная погрешность расходомера-счетчика при измерении объемного расхода (объема) газа, приведенного к стандартным условиям, или массы газа, с учетом погрешностей измерения объемного расхода, давления, температуры и вычисления коэффициента сжимаемости, энергосодержания природного газа (без учета погрешности определения теплоты сгорания газа), количества тепловой энергии (без учета погрешности вычисления энтальпии водяного пара), не превышает значений, указанных в паспорте «Расходомеры-счетчики вихревые ИРВИС-РС4М. Паспорт. ИРВС 9100.0000.00 ПС5».
-
6.4.8 Определение относительной погрешности при измерении счетчика времени наработки
Примечание - не проводится при отсутствии блока интерфейса и питания в комплектации расходомера-счетчика.
К расходомеру-счетчику подключают эталон единицы частоты (частотомер) в соответствии с «измерительной схемой RS» приложения А. Входят в меню «Установки»/«Часы/тест» блока интерфейса и питания, клавишей «РЕЖИМ» выбирают «ДА» и нажимают клавишу «ВВОД». Измеряют период времени прохождения 1000 импульсов с помощью эталона единицы частоты (частотомера). Определяют относительную погрешность при измерении интервала времени и счетчика времени наработки, 5р, %, по формуле
^=““-•100, (30)
где гч - период 1000 импульсов кварцевого генератора расходомера-счетчика (указан з паспорте «Расходомеры-счетчики вихревые ИРВИС-РС4М. Паспорт. ИРВС 9100.0000.00 ПС5»), с:
г0 _ период 1000 импульсов, измеренный эталоном единицы частоты, с.
Результаты считают положительными, если рассчитанная относительная погрешность расходомера-счетчика при измерении интервала времени и счетчика времени наработки не превышает ±0,01 %.
-
6.4.9 Определение относительной погрешности преобразований цифровых сигналов в выходные аналоговые (токовые)
Примечание - не проводится яри отсутствии блока интерфейса и питания в комплектации расходомера-счетчика.
Операции по данному пункту7 проводят в случае наличия в составе расходомера-счетчика токового интерфейса. К расходомеру-счетчику подключают эталон единицы силы постоянного электрического тока в соответствии с измерительной схемой I, приведенной в таблице А.З приложения А.
Определение относительной погрешности преобразований цифровых сигналов в выходные аналоговые (токовые) проводят при выполнении операций по пункту 6.4.7 данной методики. Считывают мгновенные значения измеренных параметров расходомера-счетчика с помощью ПО «ИРВИС ТП.» в соответствии с таблицей 4. Значение силы тока, соответствующее параметру, считанному с помощью ПО «ИРВИС ТП», рассчитывают по формуле
'(Л,.)+4, (31)
л наиб найм
где - максимальное значение измеряемого постоянного тока, мА;
/ - минимальное значение измеряемого постоянного тока, мА;
X _ максимальное значение измеряемого параметра, соответствующее максимальному значению границы диапазона аналогового сигнала силы постоянного тока, в абсолютных единицах измерений;
X - минимальное значение измеряемого параметра, соответствующее минимальному значению границы диапазона аналогового сигнала силы постоянного тока, в абсолютных единицах измерений;
X - значение измеряемого параметра, соответствующее задаваемому аналоговому сигналу силы постоянного тока, считанное с помощью ПО «ИРВИС ТП», в абсолютных единицах измерений.
Считывают значение выходного сигнала с дисплея эталона единицы силы постоянного электрического тока, /,„Л), мА, и определяют относительную погрешность преобразований цифровых сигналов в выходные аналоговые (токовые) 8вых, %, по формуле
100, (32)
2 ахи
Результаты испытаний считают положительными, если относительная погрешность преобразований цифровых сигналов в выходные аналоговые (токовые) при каждом измерении не превышает ±0,2 %.
7 ОФОРМЛЕНИЕ РЕЗУЛЬТАТОВ ПОВЕРКИ-
7.1 Результаты поверки оформляют в виде протокола произвольной формы.
-
7.2 При положительных результатах поверки на расходомер-счетчик выписывают свидетельство о поверке, пломбируют и наносят знак поверки в соответствии с приказом Минпромторга России № 1815 от 02 июля 2015 г. «Об утверждении Порядка проведения поверки средств измерений, требования к знаку поверки и содержанию свидетельства о поверке».
-
7.3 В паспорт «Расходомеры-счетчики вихревые ИРВИС-РС4М. Паспорт. ИРВС 9100.0000.00 ПС5» записывают значение контрольной суммы градуировочных таблиц Р, Т, Q. Контрольная сумма градуировочных таблиц Р, Т, Q считывается с помощью ПО «ИРВИС-ТП».
-
7.4 При отрицательных результатах поверки расходомер-счетчик к эксплуатации не допускают и выдают извещение о непригодности к применению с указанием причин в соответствии с приказом Минпромторга России №1815 от 2 июля 2015 г. «Об утверждении Порядка проведения поверки средств измерений, требования к знаку поверки и содержанию свидетельства о поверке».
Таблица А. 1 - Измерительная схема Q (Расход)
Наименование |
Присоединение |
Контакт |
Примечания | |
С использованием БИП | ||||
Частотомер (отсчетное устройство эталона расхода) |
Х2 |
CTRL, GND |
Внешний | |
ИРВИС-РС4М-Пп |
БИЗ |
Х2< >Х7 |
Согласно технической |
— |
ИРВИС-РС4М-Пар |
Исполнение 2 | |||
ИРВИС-РС4М-Пар |
Х2< >Х4 |
Исполнение 1 | ||
ИРВИС-РС4М-В(Пр) |
документации |
- | ||
С использованием внешнего источника питания (ВИП) | ||||
Частотомер (отсчетное устройство эталона расхода) |
Х7 |
CTRL, GND |
ИРВИС-РС4М-Пп ИРВИС-РС4М-Пар(исполнение 2) | |
Х4 |
ИРВИС-РС4М-Пр(В), ИРВИС-РС4М-Пар(исполнение 1) | |||
ИРВИС-РС4М-Пп |
ВИП<>Х7 |
+18 В, GND |
— | |
ИРВИС-РС4М-Пар |
Исполнение 2 | |||
ИРВИС-РС4М-Пар |
ВИП<>Х4 |
Исполнение 1 | ||
ИРВИС-РС4М-В(Пр) |
- |
Таблица А.2 - Измерительная схема V (объем, приведенный к стандартным условиям, масса)
Наименование |
Присоединение |
Контакт |
Примечания | ||
С использованием БИП | |||||
Частотомер 1 |
Генератор импульсов |
- |
Внешний | ||
Частотомер 2 |
Х2 |
CTRL, GND |
Внешний | ||
МО |
Внутренняя полость ппд |
— |
Диапазон измерения в соответствии с ППД. | ||
Магазин сопротивлений |
Х5 |
ППТ1.ППТ2 | |||
Х9 |
ИРВИС-РС4М-Пар(исполнение 2) | ||||
Генератор импульсов |
ППС |
Х6 |
ДВ1.ДВ2 |
Подключение в соответствии с рис. 3 | |
ДДП |
ДДПI, GND | ||||
ПЭВМ |
СОМ 1 (2)<>Х1 |
SG, TXD, RXD |
- | ||
ИРВИС-РС4М-Пп |
БИЗ |
Х2<>Х7 |
Согласно технической документации |
- | |
ИРВИС-РС4М-Пар |
Исполнение 1 | ||||
ИРВИС-РС4М-Пар |
Х2<>Х4 |
Исполнение 2 | |||
ИРВИС-РС4М-В(Пр) |
- |
С использованием внешнего источника питания (ВИП) | ||||
Частотомер 1 |
Генератор импульсов |
- |
Внешний | |
Частотомер 2 |
Х7 |
CTRL, GND |
ИРВИС-РС4М-Пп ИРВИС-РС4М-Пар(исполнение 2) | |
Х4 |
ИРВИС-РС4М-Пр(В), ИРВИС-РС4М-Пар(исполнение 1) | |||
МО |
Внутренняя полость ППД |
— |
Диапазон измерения в соответствии с ППД. | |
Магазин сопротивлений |
Х5 |
ППТ1,ППТ2 |
- | |
Х9 |
ИРВИС-РС4М-Пар(исполнение 2) | |||
Генератор импульсов |
ППС |
Х6 |
ДВ1.ДВ2 |
Подключение в соответствии с рис. 3 |
ДДП |
ДДП1,ОИО | |||
ИРВИС-РС4М-Г |
[п |
ВИП<>Х7 |
+18 В. GND |
- |
ИРВИС-РС4М-Пар |
Исполнение 2 | |||
ИРВИС-РС4М-Пар |
ВИП< >Х4 |
Исполнение 1 | ||
ИРВИС-РС4М-В(Пр) |
- |
Таблица А.З - Измерительная схема 1 (Ток
Наименование |
Присоединение |
Контакт |
Примечания | |
ПЭВМ через ПИ |
XI |
D+; D-; GND |
При необходимости между контактами D+; D- установить согласующий резистор. | |
Миллиамперметр |
ХЗ |
It ; Ip; Iqp; Iqhopm |
Внешний | |
ИРВИС-РС4М-Пп |
ВИЗ |
Х2<>Х7 |
Согласно технической документации |
- |
ИРВИС-РС4М-Пар |
Исполнение 2 | |||
ИРВИС-РС4М-Пар |
Х2< >Х4 |
Исполнение 1 | ||
ИРВИС-РС4М-В(Пр) |
- | |||
Таб лица А. 4-Измерительная схема Т (Время наработки' | ||||
Наименование |
Присоединение |
Контакт |
Примечания | |
Частотомер |
Х8 |
14(общий), 15 |
Внешний | |
ИРВИС-РС4М-Пп |
ВИЗ |
Х2<>Х7 |
Согласно технической документации |
- |
ИРВИС-РС4М-Пар |
Исполнение 2 | |||
ИРВИС-РС4М-Пар |
Х2< >Х4 |
Исполнение 1 | ||
ИРВИС-РС4М-В(Пр) |
- |
БЙП UPBUC-PC4M
Верхняя крышка снято

XI СРМ5)



XI (РИ7) Повернуто


хг Повернуто

Рисунок 1 - Схемы подключения БИП расходомера-счетчика
ХЗ Повернуто

ПП ИРВИС-РС4М-Пп, ЙРВИС-РС4М-ПаР, исполнение 2
Х7

Х6 Х41 Х5

Примечания
-
1. Клеммник Х4 подключен к Х7.
-
2. Клеммник Х9 только для модификации
ИРВИС-РС4М-Пар(исполнение 2),
ПП ЙРВИС-РС4М-Пр, ИРВЙС-РС4М-В, ИРВИС-РС4М-Пар(исполнение 1)
Х6 <ддп> Повернуто

Х6 сппо Повернуто


Повернуто

Повернуто
Повернуто



Примечания
-
1, Для модификации ЙРВИС-РС4М-ПР; HPEUC-PC4M-B и ИРВИС-РС4м-Пар(исполнение 1)
-
2. Для модификации ИРВИС-РС4М-Пп и ИРВИС-РС4М-Пср<испалнение 2)
-
3. Для модификации ИРВИС-РС4М-Пп.
-
4, Для модификации ИРРВИС-РС4М-Пар(исполнение 2)
Рисунок 2 - Схемы подключения первичного преобразователя расходомера-счетчика
ППсДВтипа ППС
ПП с ДВ типа ДДП

С1-К73-17-0,68 мкФ-63В
Рисунок 3 - схема подключения генератора сигналов к ПП расходомера-счетчика
Приложение Б (справочное) Схема измерения внутреннего диаметра
Измерение диаметров входного и выходного сечений ПП проводить в диаметральных плоскостях ДП1...ДПЗ на глубине 5...15 мм от торца ПП.
Рисунок 1 - Схема измерения диаметров входного и выходного сечений ПП ИРВИС-РС4М-Пп

I

ДП1
Измерение диаметров входного и выходного сечения ПП проводить в в диаметральных плоскостях ДП1...ДПЗ на глубине 5...15 мм от торца ПП.
Рисунок 2 - Схема измерения диаметров входного и выходного сечений ПП ИРВИС-РС4М-Пар

Измерения проводить в 3-х сечениях ТО:
А -сечение по центру самого нижнего отверстия канала перетока ТО (ось трубы).
0 -сечение на расстоянии 0,4Dy выше сечения А. С -сечение на расстоянии 0,4Dy ниже сечения А.
Рисунок 3 - Схема измерения характерного размера «d» тела обтекания (ТО) ИРВИС-РС4М-Пп (Пр, В)

Измерения проводить в 3-х сечениях ТО: А -сечение по центру нижнего отверстия ТО (ось трубы).
В -сечение на расстоянии 0,4Dy выше сечения А.
С -сечение на расстоянии 0,4Dy ниже сечения А.
Рисунок 4 - Схема измерения характерного размера «d» тела обтекания (ТО) ИРВИС-РС4М-Пар
24 из 24