Методика поверки «ГСИ. Комплекс газоаналитический модернизированный КЭРТ» (МП-242-2239-2018)
Федеральное государственное унитарное предприятие
«Всероссийский научно-исследовательский институт метрологии им. Д.И. Менделеева»
oj
еИ" ииой<3
&■
\ * 0rfi7y*^ *
и гич я 2011г
»мая 2018 г.
УТВЕРЖДАЮ .о. директора енделеева» А.Н. Пронин
Государственная система обеспечения единства измерений
КОМПЛЕКС ГАЗОАНАЛИТИЧЕСКИЙ МОДЕРНИЗИРОВАННЫЙ КЭРТ
Методика поверки
МП-242-2239-2018Руководитель научно- исследовательского отдела Государственных эталонов в области Химических измерений М им. Д. И. Менделеева” Ю.А. Кустиков
\
ФГУП “

Инженер А.А. Нечаев
Санкт-Петербург 2018 г.
Настоящая методика поверки распространяется на комплекс газоаналитический модернизированный КЭРТ рабочий эталон 1-го разряда в соответствии с ГОСТ 8.578-2014 (далее - комплекс) и устанавливает методы и средства его первичной поверки при выпуске из производства, после ремонта и периодической поверки в процессе эксплуатации.
Интервал между поверками - 1 год.
1 ОПЕРАЦИИ ПОВЕРКИ-
1.1 При проведении поверки выполняют операции, указанные в таблице 1.
Таблица 1
|
Наименование операции |
Номер пункта методики поверки |
Проведение операции при | |
|
первичной поверке |
периодической поверке | ||
|
1 Внешний осмотр |
6.1 |
да |
да |
|
2 Опробование |
6.2 | ||
|
2.1 Проверка герметичности |
6.2.1 |
да |
да |
|
3. Подтверждение соответствия программного обеспечения |
6.3 |
да |
да |
|
4. Определение метрологических характеристик |
6.4 | ||
|
4.1 Определение диапазонов и относительной погрешности измерения |
6.4.1 |
да |
да |
|
расхода газа 4.2 Определение абсолютной погрешности воспроизведения относительной влажности приготавливаемой газовой смеси на выходе |
6.4.2 |
да |
да |
|
комплекса | |||
|
4.3 Определение абсолютной погрешности |
6.4.3 |
да |
да |
|
измерения температуры в термостате 4.4 Определение относительной |
6.4.4 |
да |
да |
|
погрешности заданного значения массовой концентрации целевого компонента в смеси на выходе комплекса | |||
-
1.2 Если при проведении той или иной операции поверки получен отрицательный результат, дальнейшую поверку прекращают.
-
1.3 Поверку датчиков контроля стабильности входящих в комплекс, проводить в соответствии с документом МП-242-1655-2013 «Датчики газов электрохимические Drager Polytron 3000 I Drager Polytron 7000. Методика поверки», утвержденному ГЦИ СИ ФГУП «ВНИИМ им Д.И. Менделеева» в декабре 2013 г. На период эксплуатации комплекса датчики контроля стабильности должны иметь действующие свидетельства о поверке.
-
2.1 При проведении поверки применяют средства, указанные в таблице 2.
Таблица 2
|
Номер пункта методики поверки |
Наименование и тип основного или вспомогательного средства поверки; обозначение нормативного документа, регламентирующего технические требования и (или) метрологические (MX) и основные технические характеристики средства поверки |
|
6.2 6.4 |
Азот газообразный особой чистоты сорт 1-й по ГОСТ 9293-74. Редуктор баллонный газовый одноступенчатый БКО-50-4 соответствует ГОСТ 13861. Манометр эталонный МО, кл. 0,4, верхний предел измерений 0,6 МПа (per. № 5768-67). Вентиль точной регулировки ВТР-1 (или ВТР-1-М160), диапазон рабочего давления (0-150) кгс/см2, диаметр условного прохода 3 мм. Трубка медицинская поливинилхлоридная (ПВХ) по ТУ6-01-2-120-73, 6x1,5 мм Тройник со штуцерами на трубки 4x1,5 и 6x1,5 мм. |
|
6.4.1 |
Калибратор расхода газа Met Lab ML-500, диапазон измерений от 2 см3/мин до 50 дм3/мин, пределы допускаемой относительной погрешности измерений ±0,4 %. (рег№ 47471-11) |
|
6.4.2 |
Гигрометр Rotronic модификации Hygrolog NT, диапазон измерений относительной влажности от 0 до 100 %, пределы допускаемой относительной погрешности ±1,0 %. (рег№ 64196-16) |
|
6.4.3 |
Термометр сопротивления платиновый низкотемпературный ТСПН-4М в комплекте с преобразователем сигналов ТС и ТП «Теркон», диапазон температур от 0 до ±156 °C, пределы допускаемой абсолютной погрешности ±0,01 °C (per № 23245-08). |
|
6.4.4* |
Генератор газовых смесей ГГС модификации ГГС-Т (per № 62151-15) входящий в состав вторичного эталона по ГОСТ 8.578-2014 с комплектом источников микропотоков: эталон сравнения - источник микропотока паров несимметричного диметилгидразина (НДМГ) Хд.2.706.140-ЭТ158 по ГОСТ 8.578-2014, эталон сравнения - источник микропотока паров диоксида азота (NO2) Хд.2.706.140-ЭТ6 по ГОСТ 8.578-2014, эталон сравнения - источник микропотока паров гидразина (N2H4) Хд.2.706.140-ЭТ179 по ГОСТ 8.578-2014. Генератор влажного газа ГВГ модификации ГВГ-901, диапазон задания относительной влажности 2-96%, пределы допускаемой абсолютной погрешности воспроизведения заданных значений относительной влажности ±1,0 % (per №60571-15). Спектрофотометр UV-1800, рабочая длина волны от 190 до 1100 нм, пределы допускаемых значений абсолютной погрешности по шкале длины волны ±1 нм (рег№ 19387-08). Трубка фторопластовая 6.3x1 мм Тройник фторопластовый под трубку 6.3 х 1 мм |
|
6 |
Прибор комбинированный Testo-622, диапазон измерений относительной влажности от 0 до 100%, пределы допускаемой абсолютной погрешности ±2,0 %, диапазон измерений температуры от -10 до ±60 °C, пределы допускаемой абсолютной погрешности ±0,4 °C, диапазон измерений атмосферного давления от -300 до 1200 гПа, пределы допускаемой абсолютной погрешности ±3,0 гПа. |
Примечание: для п.6.4.4 используются средства измерения и инструменты, указанные в документах: «Методика измерений массовой концентрации несимметричного диметилгидразина в увлажненной газовой смеси фотометрическим методом. МИ-242/4-2015» зарегистрированная в Федеральном информационном фонде под № ФР. 1.31.2016.22396, «Методика измерений массовой концентрации диоксида азота в увлажненной газовой смеси фотометрическим методом. МИ-242/5-2015»
зарегистрированная в Федеральном информационном фонде под № ФР. 1.31.2016.22395, «Методика измерений массовой концентрации паров гидразина (гидразин-гидрата) в газовых смесях с азотом (воздухом) фотометрическим методом. МИ-243/01-2016» зарегистрированная в Федеральном информационном фонде под № ФР. 1.31.2016.25187.
-
2.2 Допускается использовать средства поверки, не приведенные в перечне, но обеспечивающие определение (контроль) метрологических характеристик поверяемых средств измерений с требуемой точностью.
-
2.3 Все средства поверки должны иметь действующие свидетельства о поверке, эталоны сравнения и стандартные образцы состава: ГС в баллонах под давлением -действующие паспорта.
-
3.1 Помещение, в котором проводят поверку, должно быть оборудовано приточновытяжной вентиляцией.
-
3.2 При монтаже и работе с приборами должны соблюдаться требования «Правил технической эксплуатации электроустановок» и «Правил техники безопасности при эксплуатации электроустановок потребителей», утвержденные органами Г осэнергонадзора.
-
3.3 При работе с газовыми смесями в баллонах под давлением должны соблюдаться требования «Правил устройства и безопасной эксплуатации сосудов, работающих под давлением», утвержденные Госгортехнадзором.
-
3.4 Концентрации вредных компонентов в воздухе рабочей зоны должны соответствовать требованиям ГОСТ 12.1.005-88.
-
4.1 При проведении поверки должны соблюдаться следующие условия:
-
- диапазон температуры окружающего воздуха, °C: от +15 до +25;
-
- диапазон относительной влажности окружающего воздуха, %: от 30 до 80;
-
- диапазон атмосферного давления, кПа: от 84 до 106,7;
-
- изменение атмосферного давления за время проведения поверки не должно превышать 3 кПа;
-
- изменение температуры окружающего воздуха за время проведения поверки не должно превышать 2 °C.
-
5.1 Подготавливают поверяемый газоаналитический комплекс КЭРТ к работе в соответствии с указаниями Руководства по эксплуатации (далее - РЭ).
-
5.2 Выдерживают ГС в баллонах под давлениям в помещении, в котором проводят поверку, в течение 24 ч, средства поверки - в течение 2 ч.
-
5.3 Проверяют наличие паспортов и сроки годности ГС в баллонах под давлениям, срок действия свидетельств о поверке на средства поверки.
-
5.4 Подготавливают к работе средства поверки в соответствии с указаниями их эксплуатационной документации.
-
5.5 Подготовить к работе средства измерения и инструменты, указанные в
документах: «Методика измерений массовой концентрации несимметричного
диметилгидразина в увлажненной газовой смеси фотометрическим методом. МИ-242/4-2015», «Методика измерений массовой концентрации диоксида азота в увлажненной газовой смеси фотометрическим методом. МИ-242/5-2015», «Методика измерений массовой концентрации паров гидразина (гидразин-гидрата) в газовых смесях с азотом (воздухом) фотометрическим методом. МИ-243/01-2016» в соответствии с НТД на них перед выполнением работ по передаче единицы.
При подготовке к работе средств измерения проводят следующие операции:
-
1) Включение, прогрев и проведение предварительных тестовых настроек генератора газовых смесей ГГС-Т, спектрофотометра UV-1800, генератора влажного газа ГВГ-901.
-
2) Вывод на режим генератора газовых смесей ГГС-Т, установка в него и вывод на режим:
-
- эталона сравнения - источника микропотока NO2 Хд.2.706.139-ЭТ6 согласно паспорту на ИМ при использовании документа «Методика измерений массовой концентрации диоксида азота в увлажненной газовой смеси фотометрическим методом. МИ-242/5-2015»;
-
- эталона сравнения - источника микропотока НДМГ Хд.2.706.140-ЭТ158 согласно паспорту на ИМ при использовании документа «Методика измерений массовой концентрации несимметричного диметилгидразина в увлажненной газовой смеси фотометрическим методом. МИ-242/4-2015»;
-
- эталона сравнения - источника микропотока гидразина Хд.2.706.140-180 согласно паспорту на ИМ при использовании документа «Методика измерений массовой концентрации паров гидразина (гидразин-гидрата) в газовых смесях с азотом (воздухом) фотометрическим методом. МИ-243/01-2016».
-
3) Подготовить основные и вспомогательные средства согласно документам «Методика измерений массовой концентрации диоксида азота в увлажненной газовой смеси фотометрическим методом. МИ-242/5-2015», «Методика измерений массовой концентрации несимметричного диметилгидразина в увлажненной газовой смеси фотометрическим методом. МИ-242/4-2015» и «Методика измерений массовой концентрации паров гидразина (гидразин-гидрата) в газовых смесях с азотом (воздухом) фотометрическим методом. МИ-243/01-2016».
-
4) Подготовить к работе калибратор расхода газа Met Lab ML-500 согласно РЭ на него.
-
5) Подготовить к работе термометр сопротивления платиновый низкотемпературный ТСПН-4М в комплекте с преобразователем сигналов ТС и ТП «Теркон» согласно РЭ на него.
-
6) Подготовить к работе установку УРТ-1 и аналитический блок комплекса КЭРТ (ДМК-21-Г, ДМК-21-0) согласно РЭ комплекса.
-
6.1 Внешний осмотр
При внешнем осмотре устанавливают соответствие поверяемого комплекса следующим требованиям:
-
- отсутствие внешних повреждений, влияющих на работоспособность;
-
- исправность органов управления;
-
- маркировка и комплектность, соответствующая указаниям РЭ;
-
- четкость надписей на панелях.
Результаты внешнего осмотра считают положительными, если комплекс соответствует перечисленным выше требованиям.
-
6.2 Опробование
6.2.1 Проверка герметичности газовой системы комплекса
Проверка герметичности газовой системы комплекса проводится следующим образом:
-
- удалить воду из установки УРТ-1 согласно п. 2.2.7 РЭ на комплекс;
-
- подсоединить редуктор к баллону с азотом (воздухом, инертным газом), а выход редуктора - к выходному штуцеру «ВЫХОД 1» установки УРТ-1; подсоединить к штуцеру установки «СБРОС» эталонный манометр с пределом измерения 0,16 МПа (1,6 кгс/см1 2);
-
- закрыть заглушками остальные входы и выходы установки УРТ-1;
-
- задать максимальный расход по регулятору РРГ 1 (Qt);
-
- установить с помощью редуктора давление (0,10 ± 0,01) МПа (1,0 ± 0,1 кгс/см2), герметично перекрыть линию подачи газа от редуктора к установке.
-
- зафиксировать показания эталонного манометра. Через 10 мин. повторно зафиксировать показания манометра.
Спад давления не должен превышать 0,01 МПа (0,1 кгс/см2).
-
6.2.2 Работоспособность аналитического блока проверяется согласно п. 2.4. РЭ на аналитический блок. В ходе процедуры проверки работоспособности должны отсутствовать сообщения о неисправности или несоответствия расхода норме.
-
6.2.3 Датчики стабильности должны включаться и выходить в режим прогрева сенсора. После прогрева сенсора на экране датчика должны отображаться значения измеренной массовой концентрации.
-
6.3 Подтверждение соответствия программного обеспечения
Подтверждение соответствия ПО проводится в несколько этапов. На первом этапе проверяется номер версии встроенного ПО установки УРТ-1, на втором этапе проверяется номер версии и контрольная сумма автономного ПО установки УРТ-1, на третьем этапе проверяется номер версии и контрольная сумма автономного ПО аналитического блока.
-
1) Проверка номера версии встроенного ПО установки УРТ-1
При включении установки УРТ-1 на дисплее появляются следующее меню:
Для входа в настройки установки необходимо зайти в меню НАСТРОЙКИ нажатием соответствующего поля на экране. Появится следующее меню:
> КОНТРАСТНОСТЬ <
ЗАВОДСКИЕ УСТАНОВ. ВРЕМЯ ПРОГРЕВА РРГ УСРЕДНЕНИЕ ТЕМПЕРАТУРЫ ИЗМЕРИТЕЛЬНЫЙ ТЕСТ ИНВЕРС.ИЗОБРАЖЕНИЯ СКОРОСТЬ ПРОКРУТКИ
ПО v.1.0
|
т | ||
|
X |
4 |
♦-J |
-
3) Проверка номера версии ПО аналитического блока
Номер версии автономного ПО аналитического блока отображается в свойствах исполняемого файла «dmk21.exe». Для просмотра номера версии необходимо найти в папке программы «ДМК-21» файл «dmk21.exe». Правой клавишей мыши нажать на ярлык файла, в выпадающем меню нажать пункт «Свойства файла». В открывшемся окне открыть вкладку «Версия». Номер версии файла будет являться номером версии автономного ПО.
Контрольная сумма автономного программного обеспечения проверяется по исполняемому файлу «dmk21.exe» с помощью программы HashTab или другой аналогичной по алгоритму MD5 и должна соответствовать указанному в описании типа СИ.
-
6.4 Определение метрологических характеристик
6.4.1 Определение диапазонов и относительной погрешности измерения расхода газа.
Оценивается разность показаний регуляторов расхода газа и калибратора расхода газа Met Lab ML-500 по каждому из каналов. Исследования проводятся на газе азоте следующим образом:
-
1) Подсоединить редуктор к баллону с газом (азотом, воздухом);
-
2) Подать питание в установку УРТ-1, прогреть прибор в течение 30 мин;
-
3) Слить воду с насытителя (барботера) - см РЭ п. 2.2.7 и каплеуловителя - см РЭ п. 2.2.8;
-
4) Зафиксировать ноль по всем каналам;
-
5) Подключить выход редуктора к входу «ВХОД 1» при исследовании канала 1, к входу «ВХОД 2» при исследовании канала 2 и 3, остальные входы заглушить;
-
6) К выходу установки «ВЫХОД 1» подключить калибратор расхода газа Met Lab ML-500, штуцер «СБРОС» заглушить;
-
7) Редуктором установить давление газа на входе установки (0,20 ± 0,05) МПа;
-
8) Установить следующие значения расхода через исследуемый регулятор: 10, 25, 50, 75, 100 % (в % от верхнего предела регулирования данного регулятора) и зафиксировать показания калибратора расхода газа Met Lab ML-500, соответствующие этим расходам. Повторить операцию при уменьшении расхода от 100 % до 10. Число измерений в каждой точке - 3. Результаты записать в таблицу 3.
Таблица 3
|
Канал № . . .; |
Засход - . . . | |||
|
Показания УРТ-1, Qy, см3/мин |
Показания калибратора расхода газа Met Lab ML-500, Qc, см3/мин |
Относительная погрешность Qj'_Qc -100,% Qc | ||
|
при увеличении |
при уменьшении |
среднее | ||
Результат испытания считают положительным, если максимальное значение
относительной погрешности в каждом из последовательных измерений не превышает пределов допускаемых значений относительной погрешности по выбранному каналу расхода газа, приведённом в таблице 4:
Таблица 4 Диапазоны измерений и регулирования расхода по каналам, пределы
й относительной
УРТ-1
Канал
Диапазон измерений расхода (приведенный к температуре 20 °C и давлению 101,4 кПа), см3/мин
Пределы допускаемой относительной погрешности измерения расхода, %
|
1 |
от 100 до 5000 включ. |
±1,5 |
|
2 |
от 100 до 5000 включ. | |
|
3 |
от 30,0 до 500,0 включ. |
-
6.4.2 Определение абсолютной погрешности воспроизведения относительной влажности приготавливаемой газовой смеси на выходе комплекса
Определение абсолютной погрешности относительной влажности приготавливаемой газовой смеси на выходе комплекса проводится с использованием гигрометра Rotronic модификации Hygrolog NT.
Подключить гигрометр к выходу «ВЫХОД 1» установки УРТ-1.
Задать последовательно на выходе комплекса следующие значения относительной влажности: 30, 50 и 80 %. Относительную влажность смеси на выходе комплекса ф рассчитать согласно РЭ на комплекс.
После выхода установки УРТ-1 на заданный режим и установления постоянных показаний гигрометра, записать измеренное значение относительной влажности Фг по гигрометру.
Определить значение абсолютной погрешности относительной влажности для каждой точки по формуле (1):
Ь<Р = <Ррасч~(Рг (1)
Результат испытаний считают положительным, если максимальное значение абсолютной погрешности относительной влажности на выходе комплекса в каждом из последовательных измерений не превышает ± 3 %.
-
6.4.3 Определение абсолютной погрешности измерения температуры в термостате Проверка диапазона температур в термостате и определение предела абсолютной
погрешности измерения температуры проводится с помощью образцового платинового термометра сопротивления ТСПН-4М, подключенного к преобразователю сигналов ТС и ТП прецизионного «ТЕРКОН», в следующей последовательности:
а) установить термометр сопротивления в держатель для источников микропотоков и поместить в термостатируемую камеру установки УРТ-1, закрутить крышку держателя;
б) установить расход газа через термостат (QT) 100 см3/мин (см. РЭ комплекс);
в) установить температуру термостата 30 °C;
г) контролировать ход нагрева по показаниям на дисплее и через 90 мин после окончания переходного процесса зафиксировать показания термометра Тт и установки Ту и определить абсолютную погрешность измерения температуры по формуле:
A(t)i =Тт-Ту, °C; (2)
д) Повторить операции в) и г) для температур 60, 90, 120 °C, определив абсолютные погрешности A(t)2 - A(t)4.
Комплекс считается выдержавшим проверку, если наибольшее значение абсолютной погрешности A(t)i - A(t)2 не превышает ± 0,1 °C, A(t)2 - A(t)4 не превышает ±0,2 °C.
-
6.4.4 Определение относительной погрешности заданного значения массовой концентрации целевого компонента в смеси на выходе комплекса
Определение относительной погрешности проводится следующим образом:
-
1) Включить и прогреть генератор газовых смесей ГГС-Т и генератор влажного газа ГВГ-901 в соответствии с РЭ на них.
-
2) Установить в ГГС-Т эталон сравнения - источник микропотока НДМГ, дождаться выхода на режим источника (время выхода источника на режим указано в паспорте на источник).
-
3) Приготовить последовательно сухие газовые смеси с помощью генератора ГГС-Т с характеристиками указанными в таблице 1 Приложения А.
-
4) Произвести 8 измерений массовой концентрации Са по каждой газовой смеси на выходе генератора ГГС-Т в соответствии с документами «Методика измерений массовой концентрации диоксида азота в увлажненной газовой смеси фотометрическим методом» МИ-242/5-2015, «Методика измерений массовой концентрации несимметричного диметилгидразина в увлажненной газовой смеси фотометрическим методом» МИ-242/5-2015, «Методика измерений массовой концентрации паров гидразина (гидразин-гидрата) в газовых смесях с азотом (воздухом) фотометрическим методом. МИ-243/01-2016».
-
5) Рассчитать среднее показание массовой концентрации (Сс , мг/м3) по формуле:
Q=-£ca (3)
ПТ
п - число измерений (п =8).
-
6) Собрать газовую схему указанную в п.З Приложения А.
-
7) Приготовить последовательно увлажненные газовые смеси с помощью генераторов ГГС-Т и ГВГ-901 с характеристиками указанными в таблице 2 Приложения А.
-
8) Произвести 8 измерений массовой концентрации CBJli на выходе смесительной камеры в соответствии с документами «Методика измерений массовой концентрации диоксида азота в увлажненной газовой смеси фотометрическим методом» МИ-242/5-2015, «Методика измерений массовой концентрации несимметричного диметилгидразина в увлажненной газовой смеси фотометрическим методом» МИ-242/5-2015, «Методика измерений массовой концентрации паров гидразина (гидразин-гидрата) в газовых смесях с азотом (воздухом) фотометрическим методом. МИ-243/01-2016».
-
9) Рассчитать среднее показание массовой концентрации (Свл , мг/м3) по формуле:
(4)
'-'ВЛ / . я.//,
ПТ
п - число измерений (п =8).
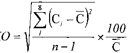
-
10) Рассчитать среднее квадратическое отклонение (СКО) показаний массовой концентрации сухой и влажной газовой смеси по формуле:

(5)
СКО не должно превышать 3%.
-
11) Рассчитать действительное значение массовой концентрации целевого компонента в увлажненной газовой смеси на выходе смесительной камеры (СдЛ, мг/м3) по формуле (6):
С
(6)
СД —С3 вл
^вл ~
'-'С
где С3 - заданное значение массовой концентрации целевого компонента в сухой газовой смеси на выходе генератора ГГС-Т, мг/м3.
-
12) Установить в аналитический блок ленту ПЛП из комплекта (для ДМК-21-Г использовать ПЛП ЛИ-1А-Г и ПЛП ЛИ-1 А-А, для ДМК-21-0 использовать ПЛП ЛИ-2Б);
Примечание: для каждой газовой смеси использовать новую ленту ПЛП, выбранную из комплекта случайным образом.
-
13) Приготовить последовательно увлажненные газовые смеси с помощью генераторов ГГС-Т и ГВГ-901 с характеристиками указанными в таблице 2 Приложения А, подать на аналитический блок.
-
14) В соответствии с РЭ на комплекс провести 8 измерений массовой концентрации (Сю, мг/м3 )с помощью аналитического блока и рассчитать среднее арифметическое
значение результатов измерений (Ск , мг/м3):
с~к=-£с«.(7)
П ]
п - число измерений (п =8).
-
15) Результаты определения относительной погрешности заданного значения массовой концентрации компонента считаются положительными, если удовлетворяется следующее уравнение (8):
•100<10
(8)
-
7.1. Результаты поверки вносят в протокол, форма которого приведена в Приложении Б.
-
7.2. Комплекс, удовлетворяющий требованиям настоящей методики поверки, признается годным и на него выдается свидетельство о поверке установленной формы (при первичной или периодической поверке).3
-
7.3. Комплекс, не удовлетворяющий требованиям настоящей методики, к дальнейшей эксплуатации не допускается и на него выдается извещение о непригодности.3
п На территории РФ оформление свидетельства о поверке и извещения о непригодности осуществляется в соответствии с Приказом Министерства промышленности и торговли РФ от 2 июля 2015 г. № 1815 "Об утверждении Порядка проведения поверки средств измерений, требования к знаку поверки и содержанию свидетельства о поверке"
ПРИЛОЖЕНИЕ А
1. Список газовых смесей с НДМГ, NO2, N2H4 приготавливаемых на генераторе ГГС-Т при поверке:
Таблица 1
|
Целевой компонент | |||
|
НДМГ |
0,1 |
0,5 |
0,8 |
|
N2H4 |
0,1 |
0,5 |
0,8 |
|
NO2 |
2 |
10 |
16 |
2. Список увлажненных газовых смесей с НДМГ (для ДМК-21-Г), с NO2 (для ДМК-21-О), N2H4 (для ДМК-21-Г) приготавливаемых с помощью генераторов ГГС-Т и ГВГ-901 при поверке:
Таблица 2
|
Целевой компонент |
Массовая концентрация, мг/м5 / Относительная влажность, % | ||
|
НДМГ |
0,1/60 |
0,5 / 60 |
0,8 / 60 |
|
N2H4 |
0,1/60 |
0,5 / 60 |
0,8 / 60 |
|
NO2 |
2/60 |
10/60 |
16/60 |
3. Газовая схема для создания увлажненных газовых смесей:
ПРИЛОЖЕНИЕ Б
Форма протокола поверки комплекса газоаналитического КЭРТ
Заводской номер___________________________
Принадлежит____________________________
Дата поверки______________________________
Условия поверки:
температура окружающего воздуха____________________________
атмосферное давление_______________________________________
относительная влажность воздуха_______________________________
Средства поверки__________________________________________________________
Поверено в соответствии с документом «Комплекс газоаналитический модернизированный КЭРТ. Методика поверки. МП-242-2239-2018»
Результаты поверки
-
1 Результаты внешнего осмотра________________________________
-
2 Результаты опробования
2.2 Результаты проверки герметичности____________________________
3. Результаты подтверждения соответствия программного обеспечения
4 Определение метрологических характеристик
4.1 Определение диапазонов и относительной погрешности измерения расхода газа Канал № . . .; Расход - . . .
|
Показания УРТ-1, Qy, см3/мин |
Показания калибратора расхода газа Met Lab ML-500, Qc , см3/мин |
Относительная погрешность, Qj/_Qc -100,% Qc | |||
|
при увеличении |
при уменьшении |
среднее |
Полученное значение |
Допускаемое значение | |
|
±1,5 | |||||
4.2 Определение абсолютной погрешности воспроизведения относительной влажности приготавливаемой газовой смеси на выходе комплекса
-
4.3 Определение абсолютной погрешности измерения температуры в термостате
4.4 Определение относительной погрешности заданного значения массовой концентрации целевого компонента в смеси на выходе комплекса
|
Целевой компоне нт |
Тип ПЛП/ зав № |
Заданный режим: Массовая концентрация, мг/м3 / отн. влажность, % |
Значение массовой концентрации, измеренное аналитическим блоком комплекса Ск , мг/м3 |
Действител ьное значение массовой концентрац ии , мг/м3 |
Относительная погрешность 8, % | |
|
Получен ное значение |
Допускав мое значение | |||||
|
НДМГ |
0,1/60 |
±10 | ||||
|
0,5 / 60 | ||||||
|
0,8 / 60 | ||||||
|
N2H4 |
0,1/60 | |||||
|
0,5 / 60 | ||||||
|
0,8/60 | ||||||
|
NO2 |
2/60 | |||||
|
10/60 | ||||||
|
16/60 | ||||||
Заключение____________________________________
Поверитель_________________________________________.
12
В правом верхнем углу экрана должен отображаться номер версии ПО.
Проверка контрольной суммы и номера версии автономного ПО установки УРТ-1 Номер версии автономного ПО отображается в свойствах исполняемого файла «urt-1 .ехе». Для просмотра номера версии необходимо найти в папке программы «URT-1 Control Software» файл «urt-l.exe». Правой клавишей мыши нажать на ярлык файла, в выпадающем меню нажать пункт «Свойства файла». В открывшемся окне открыть вкладку «Версия». Номер версии файла будет являться номером версии автономного ПО.
Контрольная сумма автономного программного обеспечения проверяется по исполняемому файлу «urt-l.exe» с помощью программы HashTab или другой аналогичной по алгоритму MD5 и должна соответствовать указанному в описании типа СИ.
Газ-разбавитель
Смесительная камера
Увлажненная газовая смесь
Примечание: смесительная камера и все трубопроводы должны быть выполнены из фторопласта.
