Методика поверки «ГСИ. Система измерительная контроля загазованности АСУТП трубопровода внешнего транспорта нефти от узла отключающих задвижек до Береговых сооружений» (МП 3105/1-311229-2018)

Регистрационный номер записи в реестре аккредитованных лиц RA.RU.311229
/3 : Л-г.,.-• 1(Ю
« ТВЕР/КДАЮхх
f - Технический директор h ООО I
Метрологии «СТП»
-/___И.А. Яценко
2018 г.
SSL
Государственная система обеспечения единства измерений
Система измерительная контроля загазованности АСУТП трубопровода внешнего транспорта нефти от узла отключающих задвижек до Береговых сооружений
МЕТОДИКА ПОВЕРКИ
МП 3105/1-311229-2018
г. Казань
2018
СОДЕРЖАНИЕ
-
4 Требования техники безопасности и требования к квалификации поверителей 4
-
7 Проведение поверки
-
7.1 Внешний осмотр
-
7.2 Опробование
-
7.3 Определение погрешности измерительного канала довзрывоопасных концентраций горючих газов и паров
-
-
8 Оформление результатов поверки
ПРИЛОЖЕНИЕ А (рекомендуемое) Форма протокола поверки
ПРИЛОЖЕНИЕ Б (рекомендуемое) Схема подачи газовых смесей на вход датчика оптического инфракрасного Drager PIR 7000 исполнения 334 11
ПРИЛОЖЕНИЕ В (обязательное) Технические характеристики газовых смесей, используемых при поверке измерительного канала довзрывоопасных концентраций горючих газов и паров 12
1 ВВЕДЕНИЕ
-
1.1 Настоящая методика поверки распространяется на систему измерительную контроля загазованности АСУТП трубопровода внешнего транспорта нефти от узла отключающих задвижек до Береговых сооружений (далее - ИС) и устанавливает методику первичной поверки до ввода в эксплуатацию и после ремонта, а также методику периодической поверки в процессе эксплуатации.
-
1.2 Допускается проведение поверки отдельных измерительных каналов (далее - ИК) и (или) отдельных автономных блоков из состава ИС в диапазоне измерений, указанном в описании типа, или меньшем диапазоне в соответствии с заявлением владельца ИС с обязательным указанием в свидетельстве о поверке информации об объеме проведенной поверки.
-
1.3 Интервал между поверками ИС - 1 год.
2 ОПЕРАЦИИ ПОВЕРКИ
При проведении поверки должны быть выполнены операции, приведенные в таблице 2.1.
Таблица 2.1 - Операции поверки
|
Наименование операции |
Номер пункта методики поверки |
Проведение операции при | |||
|
первичной поверке |
периодической поверке | ||||
|
перед вводом в эксплуатацию |
после ремонта (замены) ИПИК |
после ремонта (замены) связующих компонентов ИК | |||
|
Внешний осмотр |
7.1 |
Да |
Да |
Да |
Да |
|
Опробование |
7.2 |
Да |
Да |
Да |
Да |
|
Определение погрешности ИК довзрывоопасных концентраций горючих газов и паров |
7.3 |
Да |
Да |
Да |
Да |
|
ИП - измерительный преобразователь. | |||||
3 СРЕДСТВА ПОВЕРКИ
-
3.1 При проведении поверки применяют эталоны и средства измерений (далее - СИ), приведенные в таблице 3.1.
Т аблица 3.1 - Основные эталоны и СИ
|
Номер пункта методики поверки |
Наименование и тип основного и вспомогательного средства поверки и метрологические и основные технические характеристики средства поверки |
|
7.3 |
Термогигрометр ИВА-6 (далее - термогигрометр) (регистрационный номер 46434-11): диапазон измерений атмосферного давления от 700 до ИООгПа, пределы допускаемой абсолютной погрешности измерения атмосферного давления ±2,5 гПа; диапазон измерений относительной влажности от 0 до 98 %, пределы допускаемой основной абсолютной погрешности измерения относительной влажности ±2 % в диапазоне от 0 до 90 %, ±3 % в диапазоне от 90 до 98 %; диапазон измерений температуры от минус 40 до плюс 60 °C, пределы допускаемой основной абсолютной погрешности температуры ±1 °C в диапазоне от минус 40 до минус 20 °C, ±0,3 °C в диапазоне от минус 20 до плюс 60 °C |
|
Номер пункта методики поверки |
Наименование и тип основного и вспомогательного средства поверки и метрологические и основные технические характеристики средства поверки |
|
7.3 |
Ротаметр с местными показаниями РМ-А-0,063 (регистрационный номер 19325-12): верхний предел измерений объемного расхода 0,063 м3/ч, пределы допускаемой приведенной погрешности от верхнего предела измерений ±4 % |
|
7.3 |
Азот газообразный особой чистоты сорт 2 по ГОСТ 9293-74 в баллонах под давлением |
|
7.3 |
Стандартные образцы состава газовые смеси (далее - ГС) состава метан - азот (ГСО 9750-2011), выпускаемые по ТУ 6-16-2956-92 в баллонах под давлением |
|
7.3 |
Калибровочный адаптер для датчика оптического инфракрасного Drager PIR 7000 исполнения 334 |
-
3.2 Допускается применение аналогичных средств поверки, обеспечивающих определение метрологических характеристик ИС с требуемой точностью.
-
3.3 Все применяемые эталоны должны быть аттестованы; СИ должны иметь действующий знак поверки и (или) свидетельство о поверке, и (или) запись в паспорте СИ, заверенную подписью поверителя и знаком поверки; поверочные ГС - действующие паспорта.
4 ТРЕБОВАНИЯ ТЕХНИКИ БЕЗОПАСНОСТИ И ТРЕБОВАНИЯ К КВАЛИФИКАЦИИ ПОВЕРИТЕЛЕЙ
-
4.1 При проведении поверки должны соблюдаться следующие требования:
-
- корпуса, применяемых СИ, компонентов ИС, работающих под напряжением, должны быть заземлены в соответствии с их эксплуатационной документацией;
-
- ко всем используемым СИ, компонентам ИС должен быть обеспечен свободный доступ для заземления, настройки и измерений;
-
- работы по соединению вспомогательных устройств должны выполняться до подключения к сети питания;
-
- обеспечивающие безопасность труда, производственную санитарию и охрану окружающей среды;
-
- предусмотренные «Правилами технической эксплуатации электроустановок
потребителей», правилами промышленной безопасности и охраны труда, действующими на территории объектов ООО «ЛУКОЙЛ-НИЖНЕВОЛЖСКНЕФТЬ-КАЛМЫКИЯ»,
Федеральными нормами и правилами в области промышленной безопасности «Правила безопасности в нефтяной и газовой промышленности», эксплуатационной документацией ИС, ее компонентов и применяемых средств поверки;
-
- предусмотренные федеральными нормами и правилами в области промышленной безопасности «Общие правила взрывобезопасности для взрывопожароопасных химических, нефтехимических и нефтеперерабатывающих производств», утвержденных приказом Федеральной службы по экологическому, технологическому и атомному надзору от 11.03.2013 № 96;
-
- предусмотренные другими документами, действующими на территории объектов ООО «ЛУКОИЛ-НИЖНЕВОЛЖСКНЕФТЬ-КАЛМЫКИЯ» в сфере безопасности, охраны труда и окружающей среды.
-
4.2 К работе по поверке должны допускаться лица:
-
- достигшие 18-летнего возраста;
-
- прошедшие инструктаж по технике безопасности в установленном порядке;
-
- имеющих квалификационную группу по технике безопасности не ниже II в соответствии с «Правилами техники безопасности при эксплуатации электроустановок потребителей»;
-
- изучившие эксплуатационную документацию на ИС, СИ, входящие в состав ИС, и средства поверки;
-
- изучившие требования безопасности, действующие на территории объектов ООО «ЛУКОЙЛ-НИЖНЕВОЛЖСКНЕФТЬ-КАЛМЫКИЯ», а также предусмотренные «Правилами технической эксплуатации электроустановок потребителей».
-
4.3 При появлении загазованности и других ситуаций, нарушающих нормальный ход работ, поверку прекращают.
5 УСЛОВИЯ ПОВЕРКИ
-
5.1 При проведении поверки должны соблюдаться следующие условия:
-
- температура окружающего воздуха, °C от плюс 15 до плюс 25
-
- относительная влажность, % от 30 до 80
-
- атмосферное давление, кПа от 84 до 106
-
5.2 Допускается проводить поверку при условиях, сложившихся на момент проведения поверки и отличающихся от указанных в пункте 5.1, но удовлетворяющих условиям эксплуатации ИС и средств поверки.
6 ПОДГОТОВКА К ПОВЕРКЕ
-
6.1 Перед проведением поверки выполняют следующие подготовительные операции:
-
- изучают техническую и эксплуатационную документацию ИС;
-
- изучают настоящую инструкцию и руководства по эксплуатации средств поверки;
-
- подготавливают средства поверки с соблюдением указаний эксплуатационной документации;
-
- проверяют заземление СИ, работающих под напряжением;
-
- контролируют фактические условия поверки на соответствие требованиям раздела 5 настоящей инструкции;
-
- средства поверки выдерживают при температуре, указанной в разделе 5 настоящей инструкции, не менее трех часов, если время их выдержки не указано в инструкции по эксплуатации;
-
- проверяют параметры конфигурации ИС (значения констант, коэффициентов, пределов измерений и уставок) на соответствие данным, зафиксированным в эксплуатационных документах ИС;
-
- выполняют иные необходимые подготовительные и организационные мероприятия.
-
6.2 Проверяют наличие следующей документации:
-
- руководства по эксплуатации ИС;
-
- формуляра ИС;
-
- свидетельства о предыдущей поверке ИС (при периодической поверке).
-
6.3 Поверку продолжают при выполнении всех требований, описанных в пунктах 6.1 и
-
6.2 настоящей инструкции.
7 ПРОВЕДЕНИЕ ПОВЕРКИ
7.1 Внешний осмотр
-
7.1.1 При внешнем осмотре ИС проверяют:
-
- соответствие состава ИС, монтажа, маркировки и пломбировки компонентов ИС требованиям технической и эксплуатационной документации ИС;
-
- заземление компонентов ИС, работающих под напряжением;
-
- отсутствие повреждений и дефектов, препятствующих проведению поверки ИС.
-
7.1.2 Результаты внешнего осмотра считают положительными, если состав и комплектность ИС, монтаж, маркировка и пломбировка составных частей и компонентов ИС соответствуют требованиям технической и эксплуатационной документации ИС, компоненты ИС, работающие под напряжением, заземлены, а также отсутствуют повреждения и дефекты, препятствующие проведению поверки ИС.
-
7.2 Опробование
7.2.1 Подтверждение соответствия программного обеспечения ИС
-
7.2.1.1 Соответствие программного обеспечения (далее - ПО) ИС проверяют сравнением идентификационных данных внешнего ПО с соответствующими идентификационными данными, зафиксированными при испытаниях в целях утверждения типа ИС и отраженными в таблице 7.1.
Таблица 7.1 - Идентификационные данные внешнего ПО ИС
|
Идентификационные данные (признаки) |
Значение |
|
Идентификационное наименование ПО |
SoftMaster |
|
Номер версии (идентификационный номер) ПО |
не ниже 3.71 |
|
Цифровой идентификатор ПО |
- |
-
7.2.1.2 Идентификационные данные ПО определяют в соответствии с руководством по эксплуатации ИС.
-
7.2.1.3 Проверяют возможность несанкционированного доступа к ПО ИС и наличие процедуры аутентификации (ввод пользователя и пароля).
-
7.2.1.4 Результаты опробования считают положительными, если идентификационные данные ПО ИС совпадают с идентификационными данными, которые приведены в таблице 7.1, исключается возможность несанкционированного доступа к ПО ИС, обеспечивается аутентификация.
7.2.2 Проверка работоспособности ИС
Проверку работоспособности ИС проводят одновременно с определением метрологических характеристик по пунктам 7.3 настоящей инструкции.
7.3 Определение погрешности ИК довзрывоопасных концентраций горючих газов и паров
-
7.3.1 Определение погрешности выполняют для каждого ИК довзрывоопасных концентраций горючих газов и паров в соответствии с заявлением владельца ИС.
-
7.3.2 Определение погрешности ИК довзрывоопасных концентраций горючих газов и паров выполняют комплектно на месте эксплуатации.
-
7.3.2.1 Собирают схему в соответствии с приложением Б настоящей инструкции.
-
7.3.2.2 На вход датчика оптического инфракрасного Drager PIR 7000 исполнения 334 (далее - Drager PIR 7000) подают ГС, содержащий поверочный компонент в последовательности №№ 1-2-3 (соответственно определяемому компоненту и диапазону измерений), приведенные в приложении В настоящей инструкции. Подачу ГС осуществляют посредством калибровочного адаптера.
-
7.3.2.3 Фиксируют значение температуры окружающей среды в месте установки Drager PIR 7000 tynn , °C, измеренное термогигрометром.
-
7.3.2.4 Фиксируют значение атмосферного давления в месте установки Drager PIR 7000 ратм , кПа, измеренное термогигрометром.
-
7.3.2.5 Расход ГС устанавливают (0,5±0,1) дм3/мин. Расход ГС фиксируют по показаниям ротаметра, регулируя вентилем точной регулировки. Время подачи ГС - не менее 45 с.
-
7.3.2.6 При подаче каждой ГС фиксируют установившиеся показания ИК довзрывоопасных концентраций горючих газов и паров с дисплея сенсорной панели в соответствующем ПКУ или с монитора автоматизированного рабочего места оператора ИС.
-
7.3.2.7 Для диапазона измерений от 0 до 50 % нижнего концентрационного предела распространения пламени (далее - НКПР) в каждой реперной точке вычисляют абсолютную погрешность Днкпр, % НКПР, по формуле
^HKnPi_^l Сд(, (1)
где С - показания ИК довзрывоопасных концентраций горючих газов и паров в /-ой реперной точке, % НКПР;
С - действительное значение содержания определяемого компонента в ГС в /-ой реперной точке, % НКПР (берут из паспорта на ГС).
-
7.3.2.8 Для диапазона измерений свыше 50 до 100% НКПР в каждой реперной точке вычисляют относительную погрешность Знкпр > по формуле
«НКПР, = 5^100. (2)
’-'да
-
7.3.2.9 Полученные результаты вносят в протокол поверки ИС, форма которого приведена в приложении А настоящей инструкции.
-
7.3.2.10 Результаты определения погрешности ИК довзрывоопасных концентраций горючих газов и паров считают положительными, если рассчитанная погрешность ИК довзрывоопасных концентраций горючих газов и паров в каждой реперной точке не выходит за пределы:
а) если атмосферное давление, измеренное термогигрометром, находится в пределах от 90,6 до 104,8 кПа:
- для диапазона измерений от 0 до 50 % НКПР АСп1ах, % НКПР:
Дс„„. . (3)
где С - верхний предел диапазона измерений ИК довзрывоопасных концентраций горючих газов и паров, % НКПР;
- для диапазона измерений свыше 50 до 100 % НКПР 5Стах, %:
С
О С maxi

(4)
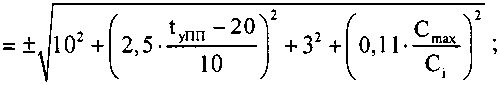
б) если атмосферное давление, измеренное термогигрометром, не находится в пределах от 90,6 до 104,8 кПа:
- для диапазона измерений от 0 до 50 % НКПР АСп1ах, % НКПР: атм РнУ | 1 0 1 Г ^~'тах
3,3 J I ’ юо)
1 *УПП 20
10 7
где Риу - нормальное условие (атмосферное давление) поверки Drager PIR 7000, кПа;
- для диапазона измерений свыше 50 до 100 % НКПР 3Сп1ах, %:
атм РнУ |
-20У
уПП
10 )
(5)
(6)
8 ОФОРМЛЕНИЕ РЕЗУЛЬТАТОВ ПОВЕРКИ
-
8.1 Результаты поверки ИС оформляют протоколом с указанием даты и места проведения поверки, условий поверки, применяемых эталонов, результатов расчета погрешности. Рекомендуемая форма протокола поверки ИС приведена в приложении А настоящей инструкции.
-
8.2 При положительных результатах поверки ИС оформляют свидетельство о поверке ИС в соответствии с утвержденным порядком.
-
8.2.1 При положительных результатах поверки отдельных ИК из состава ИС оформляют свидетельство о поверке ИС в соответствии с утвержденным порядком с указанием информации об объеме проведенной поверки.
-
8.2.2 При наличии свидетельств о поверке ИС в части отдельных ИК, они прикладываются к свидетельству о поверке ИС.
-
-
8.3 Отрицательные результаты поверки ИС оформляют в соответствии с утвержденным порядком. При этом выписывается извещение о непригодности к применению ИС с указанием причин непригодности.
ПРИЛОЖЕНИЕ А
(рекомендуемое)
Форма протокола поверки
Дата_____._____.20___г.
Поверитель: (наименование юридического лица или индивидуального предпринимателя, выполнившего поверку)
Место проведения поверки:
Наименование поверяемого средства измерений:
Заводской номер ИС:
Условия проведения поверки:
а) температура окружающего воздуха, °C:
-
- в месте установки ВИК
-
- в местах установки первичных ИП ИК
б) относительная влажность, % ________
в) атмосферное давление, кПа ________
Наименование эталонов и вспомогательных средств: (с указанием заводского номера и свидетельства о поверке (свидетельства об аттестации))
Поверка проведена в соответствии с документом:
Проведение поверки:
-
1. Внешний осмотр: соответствует (не соответствует) требованиям 7.1 методики поверки.
-
2. Опробование: соответствует (не соответствует) требованиям 7.2 методики поверки.
3 Определение погрешности ИК довзрывоопасных концентраций горючих газов и паров
3.1 Состав ИК довзрывоопасных концентраций горючих газов и паров
|
№ИК |
Диапазон измерений |
Наименование СИ |
Заводской номер |
Обозначение |
Пределы допускаемой погрешности ИК в соответствии с описанием типа ИС |
|
от 0 до 100% НКПР |
Датчик оптический инфракрасный Drager PIR 7000 исполнения 334 | ||||
|
Удаленный контроллер RC500 RTU системы измерительно-управляющей ExperionPKS |
3.2 Результаты определения погрешности ИК довзрывоопасных концентраций горючих газов и паров комплектно
3.2.1 Результаты определения абсолютной погрешности ИК довзрывоопасных концентраций горючих газов и пар<
|
№ИК |
СД,%НКПР |
С, % НКПР |
t °C 1уПП ’ |
Ратм > кПа |
Днкпр, % НКПР |
ДСтах,%НКПР |
|
Максимальная полученная абсолютная погрешность 3.2.2 Результаты определения относительной погрешности V |
% НКПР К довзрывоопасных концентраций горючих газов и паров | |||||
|
№ИК |
СД,%НКПР |
С, % НКПР |
t °C 1уПП ’ |
Ратм, кПа |
^НКПР > % |
^Стах’ 0//° |
Максимальная полученная относительная погрешность
%
где Сд - действительное значение содержания определяемого компонента в ГС, % НКПР (берут из паспорта на ГС);
С - показания ИК довзрывоопасных концентраций горючих газов и паров в z-ой реперной точке, % НКПР;
tynn - значение температуры окружающей среды в месте поверки, °C;
Лнкпр - абсолютная погрешность ИК довзрывоопасных концентраций горючих газов и паров, % НКПР;
ДСтах ~ пРеДелы абсолютной погрешности ИК довзрывоопасных концентраций горючих газов и паров, % НКПР;
8НКПР _ относительная погрешность ИК довзрывоопасных концентраций горючих газов и паров, %;
8Стах _ пределы относительной погрешности ИК довзрывоопасных концентраций горючих газов и паров, %.
Результаты определения погрешности ИК довзрывоопасных концентраций горючих газов и паров: положительные (отрицательные).
ПРИЛОЖЕНИЕ Б
(рекомендуемое)
Схема подачи ГС на вход датчика оптического инфракрасного Drager PIR 7000 исполнения 334
Схема Б.1 - Схема подачи ГС на вход датчика оптического инфракрасного Drager PIR 7000 исполнения 334
Условные обозначения:
-
1 - источник ГС;
-
2 - редуктор с вентилем точной регулировки (при использовании ГС в баллонах под давлением);
-
3 - вентиль точной регулировки (при использовании ГС в баллонах под давлением);
-
4 - индикатор расхода (ротаметр);
-
5 - адаптер калибровочный (показан условно);
6-поверяемый датчик оптический инфракрасный Drager PIR 7000 исполнения 334 (показан условно);
7 - автоматизированное рабочее место оператора ИС.
ПРИЛОЖЕНИЕ В
(обязательное) Технические характеристики ГС, используемых при поверке ИК довзрывоопасных концентраций горючих газов и паров
Таблица В.1 - Технические характеристики ГС, используемых при поверке ИК
довзрывоопасных концентраций горючих газов и паров
|
Определяемый/ поверочный компонент |
Диапазон измерений, объемная доля определяемого компонента, % (% НКПР) |
Номинальное значение объемной доли поверочного компонента, пределы допускаемого отклонения, % (ориентировочное значение поправочного коэффициента) |
Пределы допускаемой погрешности аттестации |
Номер по реестру стандартных образцов или источник получения ГС | ||
|
ГС№ 1 |
ГС №2 |
ГС№3 | ||||
|
метан (СНдУметан |
от 0 до 4,4 (от 0 до 100 % НКПР) |
азот |
Сорт 2 по ГОСТ 9293-74 | |||
|
2,20±0,25 (1,00) |
4,15±0,25 (1,00) |
±0,8 % измеряемой величины |
ГСО 9750-2011 | |||
12 из 12
