Методика поверки «Счетчики газа объемные диафрагменные RS» (МП 208-078-2018)
УТВЕРЖДАЮ
Заместитель директора по
Счетчики газа объемные диафрагменные RS
Методика поверки
МП 208-078-2018 г. Москва
2018
1 Область примененияНастоящая методика распространяется на счетчики газа объемные диафрагменные RS (далее - счетчики) и устанавливает методы и средства их первичной и периодической поверки.
Интервал между поверками 10 лет.
2 Нормативные ссылкиВ настоящей методике использованы ссылки на следующие нормативные документы:
ГОСТ 8.324 -2002 ГСИ. Счетчики газа. Методика поверки
ГОСТ 12.0.004-90 Система стандартов безопасности труда. Организация обучения безопасности труда. Общие положения
Приказ Минпромторга России № 1815 от 02 июля 2015 года «Порядок проведения поверки средств измерений, требования к знаку поверки и содержанию свидетельства о поверке»
РМГ 29-2013 ГСИ. Метрология. Основные термины и определения
Примечание - При пользовании настоящей методикой целесообразно проверить действие ссылочных нормативных документов в информационной системе общего пользования - на официальном сайте Федерального агентства по техническому регулированию и метрологии в сети Интернет или по ежегодно издаваемому информационному указателю «Национальные стандарты», который опубликован по состоянию на 1 января текущего года, и по соответствующим ежемесячно издаваемым информационным указателям, опубликованным в текущем году. Если ссылочный документ заменен (изменен), то при пользовании настоящим стандартом следует руководствоваться заменяющим (измененным) документом. Если ссылочный документ отменен без замены, то положение, в котором дана ссылка на него, применяется в части, не затрагивающей эту ссылку.
3 Термины, определения и обозначенияВ настоящей методике применены термины по ГОСТ 8.324 и РМГ 29.
4 Операции поверки-
4.1 При проведении поверки должны быть выполнены операции, указанные в таблице 1.
Таблица 1 - Операции, выполняемые при поверке
|
Операции поверки |
Вид поверки | |
|
первичная |
периодическая | |
|
Внешний осмотр |
Да |
Да |
|
Опробование |
Да |
Да |
|
Определение относительной погрешности измерений объема газа |
Да |
Да |
-
4.2 При проведении первичной поверки до ввода в эксплуатацию допускается проведение поверки на основании выборки. К счетчикам применим общий уровень контроля II при использовании AQL 1% по ГОСТ Р ИСО 2859-1-2007.
-
4.3 Каждая партия должна состоять из единиц продукции одного вида, класса, типоразмера и состава, произведенных в практически одинаковых условиях в один и тот же период времени.
-
4.4 Выбор единиц продукции для составления выборки проводят методом отбора простой случайной выборки после того, как все единицы продукции сформированы в партию.
-
4.5 Объемы партий и выборки, а также соответствующее им допустимое количество счетчиков не прошедших поверку, приведены в таблице 2. 1
Таблица 2
|
Объем партии, шт |
Объем выборки, шт |
Приемочное число, шт |
Браковочное число, шт |
|
51-90 |
13 |
0 |
1 |
|
91-150 |
20 |
0 |
1 |
|
151-280 |
32 |
1 |
2 |
|
281-500 |
50 |
1 |
2 |
|
501-1200 |
80 |
2 |
3 |
Допускается применение аналогичных средств поверки, обеспечивающих определение метрологических характеристик поверяемых средств измерений с требуемой точностью.
6 Требования безопасности и требования к квалификации поверителейПри проведении поверки должны быть соблюдены требования безопасности, приведенные в эксплуатационной документации на средства поверки и поверяемый счетчик. Лица, проводящие поверку должны пройти инструктаж по технике безопасности согласно ГОСТ 12.0.004.
Все работы по монтажу и демонтажу счетчиков выполняют при неработающей поверочной установке. Перед монтажом должна быть проверена исправность заземления, разъемных соединений, кабелей связи и питания.
Конструкция соединительных элементов счетчика и поверочной установки должна обеспечивать надежность крепления счетчика и фиксацию его положения в течение всего цикла поверки.
Поверку должны осуществлять специалисты организаций, аккредитованных на право поверки, изучившие эксплуатационную документацию на поверяемый счетчик и инструкцию по технике безопасности. К проведению измерений при поверке и обработке результатов измерений допускают лиц изучивших настоящую методику.
7 Условия проведения поверкиПри проведении поверки соблюдают следующие условия:
-
- поверочная среда
воздух
от 15 до 25
от 30 до 80 от 84,0 до 106,7
1
1
1
-
- температура окружающего воздуха и поверочной среды, °C
-
- относительная влажность воздуха, %
-
- атмосферное давление, кПа
-
- разность температур окружающего воздуха и поверочной среды, не более, °C
-
- скорость изменения температуры окружающего воздуха и поверочной среды, не более, °С/ч
-
- время выдержки счетчика до начала поверки при условиях проведения поверки, не менее, ч
Подготовка к работе средств поверки и поверяемого счетчика проводится в соответствии с прилагаемой к ним эксплуатационной документации.
-
9 Проведение поверки
При внешнем осмотре устанавливают соответствие счетчика следующим требованиям:
надписи и обозначения на счетчике должны быть четкими и соответствовать требованиям эксплуатационной документации на счетчик;
должны отсутствовать повреждения, влияющие на метрологические характеристики;
пломбы должны находиться на местах, определенных в технической документации на счетчик;
на маркировочной табличке счетчика должны быть нанесены товарный знак предприятия-изготовителя, знак утверждения типа, заводской номер, год изготовления, наибольшее избыточное давление, максимальный и минимальный расход.
-
9.2 Опробование
Для проверки герметичности присоединения счетчика к поверочной установке необходимо создать в системе избыточное давление, либо давление разряжения при перекрытой запорной арматуре после чего, выдержать в таком состоянии счетчик в течение 1 минуты. При этом показания датчика давления, который контролирует давление в системе, не должны изменяться.
9.2.2 Проверка функционированияПроверку функционирования счетчика проводят, пропуская через него поток измеряемой среды со значением расхода не менее 10% от максимального. При этом показания отсчетного устройства должны равномерно увеличиваться. Данную операцию повторяют при максимальном значении расхода.
9.2.3 Определение потери давленияПотери давления на поверяемом счетчике определяют при максимальном значении расхода счетчика с помощью U-образного мановакуумметра или других средств измерений перепада давления, входящих в состав поверочной установки.
Потери давления на счетчике допускается определять одновременно при определении относительной погрешности как разность давлений на входе и выходе счетчика.
Результаты поверки считают положительными, если потери давления не превышают допускаемых значений указанных в РЭ или паспорте на счетчик определенного типоразмера.
9.4 Определение относительной погрешности измерений объема газа-
9.4.1 Относительная погрешность счетчика при измерении объема газа осуществляется методом сравнения объема воздуха (газа), измеренного счетчиком и поверочной установкой на расходах в соответствии с таблицей 4. Допускается групповая поверка счетчиков до 7 штук.
Таблица 4 - Значения расходов для типоразмеров счетчиков при определении относительной погрешности измерений объема
|
Типоразмер |
-----------------------------5 -----——--- Расход, м /ч | ||
|
Qmin |
0,2 Qmax |
Qmax | |
|
Gl,6 |
0,016 |
0,50 |
2,5 |
|
G2,5 |
0,025 |
0,80 |
4 |
|
G4 |
0,04 |
1,20 |
6 |
|
G6 |
0,06 |
2,00 |
10 |
При определении относительной погрешности на каждом из расходов необходимо выполнить одновременно два условия: значение контрольного объема измеряемой среды должно быть не менее 0,01 м2 3, а значение времени накопления объема должно быть не менее 100 с.
Отклонение расходов, задаваемых эталонной установкой от вышеприведенных значений, не должны превышать:
-
- для Q тах - минус 5 %;
-
- для Q min - плюс 5 %;
-
- для0,2Отах-±3 %.
-
9.4.2 При каждом значении расхода поверку проводят до трех раз. Если по результатам первого измерения основная относительная погрешность счетчика не превышает предела допускаемой относительной погрешности, повторные измерения не проводят. В противном случае измерения повторяют и за результат принимают среднее арифметическое из полученных значений.
-
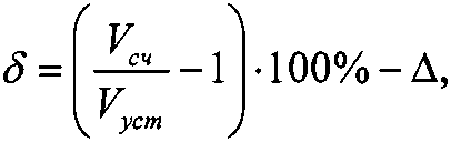
9.4.3 Основную относительную погрешность измерений объема газа для счетчиков вычисляют по формуле 1:

(1)
где VC4 - объем газа, измеренный счетчиком, м3; VycT - объем газа, измеренный эталонной установкой, м3;
J - поправочный коэффициент, вычисляемый по формуле 2%

-
9.4.4 Результаты поверки счетчика считают положительным, если относительная погрешность измерений объема газа в диапазонах расхода не превышает:
Qmhh < Q < 0,1QH0M ± 3 %
0?lQHoM<Q<QMaKC ±1,5%
10 Оформление результатов поверки-
10.1 Результаты поверки оформляют протоколом поверки, форма которого приведена в Приложении А, или распечатывают протокол поверки из архива памяти поверочной установки.
-
10.2 Положительные результаты первичной поверки оформляют записью в паспорте на счетчик в соответствии с Приказом Минпромторга России №1815. Положительные результаты периодической поверки оформляют записью в паспорте, и/или свидетельством о поверке в соответствии с Приказом Минпромторга России №1815.
Знак поверки наносится на навесную пломбу, ограничивающую доступ к передней панели электронного отсчетного устройства в соответствии с Приложением Б, и в паспорт на счетчик или на свидетельство о поверке
9.3. При отрицательных результатах первичной поверки счетчик считают непригодным к применению и в эксплуатацию не допускают. При отрицательных результатах периодической поверки счетчик считают непригодным к применению, знак поверки гасят и оформляют извещение о непригодности счетчика с указанием причин в соответствии с Приказом Минпромторга России
Б.А. Иполитов
А.М. Шаронов
Приложение А (рекомендуемое)
Форма протокола поверки
Протокол поверки счетчиков газа_______________
Наименование и номер СИ:_________________
-
1 Внешний осмотр:_____________________
-
2 Опробование:
-
2.1 Проверка герметичности_________________
-
2.2 Проверка функционирования:____________________
-
2.3 Проверка потери давления:_____________________
-
3 Определение относительной погрешности измерений объема газа
|
QyCT, м3/ч |
Тэт, °C |
p 1 атм, кПа |
ДР, кПа |
V ¥ уст, м3 |
vC4, м3 |
5у, % | |
|
Qmin | |||||||
|
о,1 QH0M | |||||||
|
Qhom | |||||||
|
Qmax |
Результат поверки:________________
Поверитель________________________
(подпись)
Приложение Б (обязательное)

Рисунок Б.1 - Обозначение места для нанесения знака поверки
9
Средства поверки
При поверке счетчиков применяют следующие средства поверки:
Рабочий эталон 1-го разряда по ГОСТ Р 8.618-2014 с пределами допускаемой относительной погрешности ±0,5% и диапазоном измерений от 0,016 до 10 м3/ч.
Поверочные установки любого принципа действия должны удовлетворять следующим требованиям:
избыточное давление (или разряжение), создаваемое установкой, должно превышать потери давления в средствах поверки, счетчике и соединительной арматуре;
установки должны иметь в своем составе средства измерений температуры и давления.
При отсутствии в составе установки средств измерений для контроля параметров окружающей среды применяют:
гигрометр психрометрический типа ВИТ-1, диапазон измерения относительной влажности от 20 до 90 %, погрешность ±7 %; диапазон измерений температуры от 0 до 25 °C, абсолютная погрешность ±0,2 °C;
барометр-анероид М 67, диапазон измерений от 81130 до 105320 Па (от 610 до 790 мм рт. ст.), абсолютная погрешность ±106 Па (±0,8 мм рт.ст.);
Все средства поверки должны поверены и (или) иметь свидетельства об аттестации.
где Ар - разность значений абсолютных давлений в поверочной установке и поверяемом счетчике, Па;
р - абсолютное давление в поверяемом счетчике, Па.
