Методика поверки «Комплекс аппаратно-программный «Аист-контроль»» (651-19-012 ΜΠ)
УТВЕРЖДАЮ
Первый заместитель

2019 г.
работе
Комплекс аппаратно-программный «Аист-контроль»
Методика поверки
651-19-012 МП
2019 г.
1 ОБЩИЕ СВЕДЕНИЯ-
1.1 Настоящая методика распространяется на комплексы аппаратно-программные «Аист-контроль» (далее - комплексы), изготавливаемые обществом с ограниченной ответственностью «Автоматизированные интеллектуальные системы транспорта» (ООО «АИСТ») и обществом с ограниченной ответственностью «НПП «ГОРИЗОНТ» (ООО «НПП «ГОРИЗОНТ») и устанавливает объем и методы первичной и периодических поверок.
-
1.2 Периодическая поверка производится один раз в два года.
-
2.1 При поведении поверки должны соблюдаться следующие условия: температура окружающего воздуха от минус 10 до +40 °C;
относительная влажность до 95 %.
-
2.2 Средства поверки измерителя должны быть подготовлены к работе в соответствии с их инструкциями по эксплуатации.
-
2.3 Проведение первичной и периодической поверки комплексов по измерению скорости движения транспортных средств (ТС) должно производиться только на месте эксплуатации комплекса с оборудованием, перечисленным в таблице 2.
-
2.4 Первичная и периодическая поверка комплексов по измерению текущего времени и координат может проводиться в лабораторных условиях.
-
2.5 При перемещении комплексов на новое место или нарушения пломбировки комплексов относительно крепежа, должны быть проведены операции в объеме периодической поверки.
-
3.1 При проведении поверки должны выполняться операции, указанные в таблице 1.
Таблица 1 - Операции поверки
Наименование операции |
№ пункта методики |
Первичная поверка |
Периодичес кая поверка |
Внешний осмотр |
8.1 |
да |
да |
Опробование |
8.2 |
да |
да |
Определение абсолютной погрешности привязки текущего времени комплексов к шкале UTC(SU) |
8.3 |
да |
да |
Определение погрешности измерений скорости движения транспортных средств в зоне контроля |
8.4 |
да |
да |
Определение погрешности измерений скорости движения транспортных средств на контролируемом участке |
8.5 |
да |
да |
Определение погрешности (по уровню вероятности 0,95 и геометрическом факторе PDOP < 3) определения координат в плане |
8.6 |
да |
да |
-
3.2 Допускается проведение поверки меньшего числа измеряемых величин, которые используются при эксплуатации по соответствующим пунктам настоящей методики поверки. Соответствующая запись должна быть сделана в эксплуатационных документах и свидетельстве о поверке на основании решения эксплуатирующей организации. Метрологические характеристики, поверяемые в обязательном порядке определены в п 8.3 и 8.6.
-
3.3 При получении отрицательных результатов поверки по любому пункту таблицы 1 комплексы бракуются и направляется в ремонт.
4.1 При проведении поверки рекомендуется применять средства поверки, указанные в таблице 2.
Таблица 2
№ пункта методики поверки |
Наименование рабочих эталонов или вспомогательных средств поверки; номер документа, регламентирующего технические требования к рабочим эталонам или вспомогательным средствам; разряд по государственной поверочной схеме и (или) метрологические и основные технические характеристики средства поверки |
8.3 |
Источник первичный точного времени УКУС-ПИ 02ДМ, пределы допускаемой абсолютной погрешности синхронизации шкалы времени выходного сигнала частотой 1 Гц (1PPS) относительно шкалы времени UTC(SU) в режиме синхронизации по сигналам ГНСС ГЛОНАСС/GPS ±1 мкс |
8.4 |
Имитатор параметров движения транспортных средств «Сапсан 3»: диапазон имитируемых скоростей от 1 до 400 км/ч; погрешность имитации скорости ±0,03 км/ч |
8.4, 8.5 |
Аппаратура навигационно-временная потребителей глобальных навигационных спутниковых систем ГЛОНАСС/GPS/GALILEO/SBAS NV08C-MCM, NV08C-CSM и NV08C-CSM-DR, пределы допускаемой инструментальной погрешности измерения скорости ±0,1 м/с |
8.6 |
GNSS-приемник спутниковый геодезический многочастотный SIGMA, предел допускаемой абсолютной погрешности измерения длины базиса в плане ±3 (3+5 -10’7 D) мм, где D - измеренная длина базиса в мм |
Вспомогательное оборудование | |
8.3 |
Электронный дисплей |
4.2 |
Зместо указанных в таблице 2 средств поверки допускается применять другие |
аналогичные средства поверки. обеспечивающие определение метрологических характеристик с требуемой точностью.
-
4.3 Все средства поверки должны быть исправны, поверены и иметь свидетельства о поверке или оттиск поверительного клейма на приборе или в технической документации.
-
5.1 Поверка должна осуществляться лицами, аттестованными в качестве поверителей в установленном порядке, имеющих высшее или среднее техническое образование, практический опыт в области радиотехнических измерений.
-
6.1 При проведении поверки комплексов следует соблюдать требования безопасности, устанавливаемые руководством по эксплуатации на комплексы и руководствами по эксплуатации используемого при поверке оборудования.
-
7.1 Перед проведением поверки поверитель должен изучить инструкции по эксплуатации поверяемых комплексов и используемых средств поверки.
-
8 ПРОВЕДЕНИЕ ПОВЕРКИ
При проведении внешнего осмотра должно быть установлено соответствие комплексов следующим требованиям:
-
- комплектность комплексов должна соответствовать комплектности, указанной в паспорте;
-
- на корпусе комплексов должны быть нанесены маркировка и заводской номер, пломбировка должна быть в целостности;
-
- комплексы не должны иметь механических повреждений, влияющих на его работу. Результаты поверки по данному пункту считать положительными, если
обеспечивается выполнение всех перечисленных в пункте требований.
8.2 Опробование-
8.2.1 Подготовить комплексы к работе, проверить включение электропитания комплексов.
8.2.2 Проверить идентификационные данные ПО. Данные должны соответствовать приведенным в таблице 3.
Таблица 3 - Идентификационные данные метрологически значимой части ПО
Идентификационные данные (признаки) |
Значение |
Идентификационное наименование ПО |
Aistcontrol |
Номер версии (идентификационный номер) ПО |
не ниже 1.01 beta |
Цифровой идентификатор ПО |
8595fO62b622954d2926c39bea8938214283c23d |
Алгоритм вычисления контрольной суммы исполняемого кода |
SHA1 |
-
8.2.3 Проследовать на ТС через зону контроля видеомодуля. Убедиться, что видеомодуль из состава комплексов фиксирует ТС, и на монитор выводится результат:
-
- изображение зафиксированного ТС;
-
- значения даты и времени в момент фиксации;
-
- значение скорости ТС;
-
- распознанный государственный регистрационный знак.
Да тч и к: “ ». “ /• "•
■ ’И.'М :-‘|-н mi -Л :«1Г •н-зч'. XZv, ни.
*bi шин, нч lv,n. н-:.
GPS: 55.590687, 36.651028
Дата/Время: 04.12.2017 14:12:23
Скорость: 54 клл/ч________________________________________
-
8.2.4 При наличии контролируемого участка, выполнить действия пункта 8.2.3. для каждого видеомодуля.
-
8.2.5 Результаты поверки по пункту 8.2 считать положительными, если обеспечивается выполнение требований, перечисленных в пунктах 8.2.2 и 8.2.3. При получении отрицательных результатов дальнейшее проведение поверки прекращают.
-
8.3.1 Определение проводится путем сравнения времени, записанного на формируемом видеокадре, со значением эталонного времени. В качестве эталонного времени используется значение времени UTC(SU) с источника первичного точного времени.
-
8.3.2 Собрать схему в соответствии с рисунком 1.
1Гц

Рисунок 1
-
8.3.3 Обеспечить радиовидимость сигналов навигационных космических аппаратов ГЛОНАСС и GPS в верхней полусфере. В соответствии с эксплуатационной документацией на комплексы и УКУС-ПИ 02ДМ подготовить их к работе.
-
8.3.4 С помощью интерфейсной программы комплексов сделать не менее 10 фотографий средства визуализации, записать командой PrintScreen фото изображений: индицируемое время и время, наложенное на изображение комплексами в соответствии с рисунком 2.
Рисунок 2
8.3.5 Определить абсолютную погрешность синхронизации шкалы времени комплексов с национальной шкалой времени UTC(SU) по формуле (1):
T(j) — T(j) — Тдейст ( ] )
где Тдейст - действительное значение шкалы времени UTC(SU) в j-й момент времени, с;
T(j) - измеренное комплексами значение шкалы времени UTC(SU) в j-й момент времени, с.
-
8.3.6 Результаты поверки считать положительными, если, для каждого результата измерений, погрешность привязки текущего времени комплексов к шкале UTC(SU) находится в пределах ±10мс.
-
8.4.1 Определение погрешности измерений скорости ТС в зоне контроля по видеокадрам.
-
8.4.1.1 Определение погрешности измерений скорости в зоне контроля проводится сравнением значения скорости, измеренной комплексами и значения скорости с эталонного навигационного приемника.
-
8.4.1.2 Настроить комплексы на режим измерений, использующий метод по видеокадрам.
-
8.4.1.3 Подключить эталонный навигационный приемник к персональному компьютеру с установленным программным обеспечением для записи данных в файл с эталонного навигационного приемника, и разместить их в автомобиле.
-
8.4.1.4 Установить частоту выдачи данных эталонным навигационным приемником (темп решения) 10 Гц. Начать запись данных с эталонного навигационного приемника.
-
8.4.1.5 Проехать на автомобиле зону контроля не менее 5 раз с разными скоростями, при этом две скорости должны быть минимально и максимально возможными на данном участке дороги.
-
Рекомендуется выбирать минимально и максимально возможные скорости движения автомобиля основываясь, в первую очередь, на обеспечении безопасности участников движения во время поверки.
-
8.4.1.6 Остановить запись данных с эталонного навигационного приемника.
-
8.4.1.7 По данным с комплексов определить время фиксации автомобиля в зоне контроля для всех проездов.
-
8.4.1.8 Выбрать из записанных данных с эталонного навигационного приемника данные, соответствующие моментам времени, зафиксированных комплексами, для всех проездов.
-
8.4.1.9 Для скоростей в диапазоне от 0 до 100 км/ч включительно для каждого из комплексов рассчитать значение абсолютной погрешности измерений скорости ТС в зоне контроля по формуле:
Д^=^-Гэ,
где V\— значение скорости в зоне контроля, измеренное комплексами для i-ro проезда, выраженное в км/ч.
-
8.4.1.10 Для скоростей в диапазоне свыше 100 до 350 км/ч рассчитать относительную погрешность измерений скорости для каждого проезда по формуле:
5Vi= 100% (У{ - V3i)/V3i.
-
8.4.1.11 Результаты поверки считать положительными, если значения абсолютной погрешности измерений скорости ТС в зоне контроля для скоростей до 100 км/ч (включительно) находятся в пределах ±1 км/ч, для скоростей свыше 100 км/ч до 350 км/ч находятся в пределах ±1 %
-
8.4.2 Определение погрешности измерений скорости ТС в зоне контроля радарным методом.
Определение погрешности измерений скорости в зоне контроля проводится сравнением значения скорости, измеренной комплексами и значения скорости, заданного имитатором.
-
8.4.2.1 Разместить в зоне видимости камеры комплексов на расстоянии от 3 до 30 метров метку с ГРЗ.
-
8.4.2.2 Разместить рядом с ГРЗ имитатор скорости. Установить имитируемую скорость из ряда 1, 70, 90, 120, 150, 180, 250, 320 км/ч.
-
8.4.2.3 Подключить к комплексам ПК с установленным ПО.
-
8.4.2.4 Запустить ПО и ввести IP адрес комплексов. Установить режим «автоматический» и нажать кнопку «измерение».
-
8.4.2.5 Зафиксировать измеренное комплексами значение скорости.
-
8.4.2.6 Провести измерение значений скорости для всего ряда имитируемых скоростей 1, 70, 90, 120, 150, 180, 250, 320 км/ч.
-
8.4.2.7 Рассчитать абсолютную погрешность измерения скорости ТС по формуле:
AVi=VKi-V3i,
где V'ji - имитируемая скорость ТС из ряда 1, 70, 90, 120, 150, 180, 250, 320 км/ч.
VKi - скорость ТС, измеренная комплексами при имитируемой скорости Vai;
-
8.4.2.8 Результаты поверки считать положительными, если значения абсолютной погрешности измерений скорости во всем диапазоне находятся в пределах ±2 км/ч.
-
8.5.1 Определение погрешности измерений скорости на контролируемом участке дороги проводится сравнением значения скорости, измеренной комплексами и значения скорости с эталонного навигационного приемника.
8.5.2. Подключить эталонный навигационный приемник к персональному компьютер) с установленным программным обеспечением для записи данных в файл с эталонного навигационного приемника, и разместить их в автомобиле.
-
8.5.3 Установить частоту выдачи данных эталонным навигационным приемником (темп решения) 10 Гц. Начать запись данных с эталонного навигационного приемника.
-
8.5.4 Проехать на автомобиле контролируемый участок дороги не менее 3 раз с разными скоростями в каждом диапазоне измерений, при этом две скорости должны быть минимально и максимально возможными на данном участке дороги.
Рекомендуется выбирать минимально и максимально возможные скорости движения автомобиля основываясь, в первую очередь, на обеспечении безопасности участников движения на контролируемом участке дороги во время поверки.
-
8.5.5 Остановить запись данных с эталонного навигационного приемника.
-
8.5.6 По данным с комплексов определить время фиксации автомобиля на въезде и выезде с контролируемого участка дороги для всех проездов.
-
8.5.7 Выбрать из записанных данных с эталонного навигационного приемника данные, соответствующие интервалам времени нахождения автомобиля на контролируемом участке дороги для всех проездов.
-
8.5.8 Определить среднюю скорость движения автомобиля на контролируемом участке дороги по данным с эталонного навигационного приемника по формуле:
где *' - значение скорости на контролируемом участке дороги по шинмм с эталонного навигационного приемника для i-ro проезда, выраженное в км ч;
'./И) _ значение мгновенной скорости по данным с эталонного навигационного приемника для i-ro проезда, выраженное в км/ч:
N - количество значений мгновенной скорости по данным с эталонного навигационного приемника для i-ro проезда.
-
8.5.9 Для скоростей в диапазоне от 0 до 100 км/ч включительно рассчитать значение абсолютной погрешности измерений скорости ТС на контролируемом участке дороги по формуле:
дг = г -
v
где значение скорости на контролируемом участке дороги, измеренное
комплексами для i-ro проезда, выраженное в км/ч.
8.5.1О Для скоростей в диапазоне свыше 100 до 350 км/ч рассчитать относительна ю погрешность измерений скорости для каждого проезда но формуле:
= 100% (V, - V(1)/V„.
-
8.5.11 Результаты поверки считать положительными, если значения абсолютной погрешности измерений скорости ГС для скоростей до 100 км/ч (включительно) находятся в пределах ±1 км/ч. для скоростей свыше 100 км/ч до 350 км/ч находятся в пределах • 1 '
-
8.6.1 С помощью геодезического приемника определить значения широты и долготы (L и Z?) расположения комплексов.
-
8.6.2 Осуществить запись NMEA сообщений с частотой 1 сообщение в 1 с для геодезического приемника и поверяемых комплексов в течение 5 минут.
-
8.6.3 Определить систематическую составляющую погрешности определения координат для строк, в которых значение PDOP <3. например, для координаты В (широта .
JB(j) = B(j) - Bdei,cme(j).
дв=1.у;дво))где ВдеиствО)~ Действительное значение координаты В в j-ый момент времени, секунды:
B(j) - измеренное значение координаты В в j-й момент времени, секунды: N - количество измерений.
Аналогичным образом определить систематическую составляющую погрешности определения координаты L (долгота).
-
8.6.4 Определить среднее квадратическое отклонение (СКО) случайной составляющей погрешности определения координат, например, для координаты В (широта):
.V-/
Аналогичным образом определить СКО случайной составляющей погрешности определения координаты L (долгота).
-
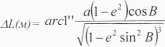
8.6.5 Перевести значения погрешностей определения координат в плане (широты и долготы) из угловых секунд в метры:
- для широты:
л(1-е2)
ДВ(м) = аг<* | Z ц J/>'
V(l-e2sin2 В)
- для долготы:

■AL
где а — большая полуось эллипсоида (WGS-84: а — 6378137 м. IB-90.il:
а = 6378136 м):
е - первый эксцентриситет эллипсоида (WGS-84: е2 = 6.69437999014 10”. 11 УМ).: .
= 6.6943662 10 О:
Г = 0.000004848136811095359933 радиан (arcГ').
-
8.6.6 Определить абсолютную погрешность (при доверительной вероятности 0,95)
определения координат в плане:
пв = ± (VdB(M)2 + d£(M)2 + 2 • V°b(m)2 + аДм)2}
-
8.6.7 Результаты поверки считать положительными, если значения абсолютной погрешности (по уровню вероятности 0.95 и геометрическом факторе РООГ < М определения координат в плане находятся в пределах ±5 м.
-
9.1 На комплексы, прошедшие поверку с положительными результатами, выдастся свидетельство о поверке по форме, установленной приказом Минпромторга России № 1815 от 02.07.2015.
Для комплексов с измерением скорости в зоне контроля на оборотной стороне свидетельства о поверке указываются модели и заводские номера видеомодулей, входящих в состав поверяемых комплексов, а также указывается адрес места установки.
Для комплексов с измерением скорости на контролируемом участке на оборотной стороне свидетельства о поверке указываются модели и заводские номера видеомодулей, адреса мест установки видеомодулей на рубежах въезда и выезда, а также контролируемое направление движения между рубежами.
-
9.2 При отрицательных результатах поверки комплексы к применению нс допускаются, свидетельство о поверке аннулируется и на них выдается извещение о непригодности в соответствии с приказом Минпромторга России № 1815 от 02.07.2015.
В. И. Д об ро во: 11 .с к и й
10