Методика поверки «ГСИ. Датчики давления ЭМИС-БАР» (МП ЭБ 100.000.00)
ЗАКРЫТОЕ АКЦИОНЕРНОЕ ОБЩЕСТВО «ЭЛЕКТРОННЫЕ И МЕХАНИЧЕСКИЕ ИЗМЕРИТЕЛЬНЫЕ СИСТЕМЫ» (ЗАО «ЭМИС»)
СОГЛАСОВАНО:
АО «ЭМИС»
Александровский
2018 г.

ГОСУДАРСТВЕННАЯ СИСТЕМА ОБЕСПЕЧЕНИЯ ЕДИНСТВА ИЗМЕРЕНИЙ ИНСТРУКЦИЯ
Датчики давления ЭМИС-БАР Методика поверкиЭБ 100.000.00 МП
г. Челябинск
2018
Настоящая инструкция распространяется на датчики давления ЭМИС-БАР, серийно выпускаемые по технической документации ЗАО «ЭМИС», г. Челябинск. Датчики давления ЭМИС-БАР (далее - датчики, преобразователи) предназначены для непрерывного измерения давления (избыточного, разрежение-избыточного, абсолютного и дифференциального (разности давлений) и преобразования измеренного давления в унифицированный выходной сигнал постоянного тока от 4 до 20 мА с наложенным на него цифровым сигналом в стандарте HART или цифровой (Profibus РА; FOUNDATION Fieldbus; 232/485 RTU/Modbus; WirelessHART), а также отображения измеренного значения на дисплее.
Инструкция устанавливает методику первичной (до ввода в эксплуатацию, а также после ремонта) и периодической (в процессе эксплуатации по истечению интервала между поверками) поверок датчиков давления ЭМИС-БАР.
Интервал между поверками - пять лет.
Первичную и периодическую поверку проводят органы Государственной метрологической службы или юридические лица, аккредитованные на право поверки в соответствии с действующим законодательством.
Первичную и периодическую поверку должен проходить каждый экземпляр датчиков. Периодической поверке могут не подвергаться датчики, находящиеся на длительном хранении.
Внеочередной поверке в объеме периодической подвергают датчики в случае утраты документов, подтверждающих прохождение поверки, вводе в эксплуатацию после длительного хранения (более одного интервала между поверками) или неудовлетворительной работе.
Поверка проводится в полном диапазоне измерений (при коэффициенте перенастройке г=1). В данном случае при перенастройке диапазонов измерений, в пределах, установленных в эксплуатационной документации, не влияющих на пределы допускаемой основной приведенной погрешности, внеочередная поверка датчиков не проводится.
Периодическую поверку датчиков, используемых для измерений на меньшем числе диапазонов измерений (коэффициентов перенастройки), допускается на основании решения главного метролога или руководителя юридического лица производить только для применяемых диапазонов измерений. В этом случае при перенастройке необходимо будет проводить внеочередную поверку датчиков.
1 Операции поверки-
1.1 При проведении поверки выполняют операции, указанные в таблице 1.
Таблица 1 - Операции поверки
|
Наименование операции поверки |
Номер пункта |
Проведение операции при поверке | |
|
первичной |
периодической | ||
|
1 Внешний осмотр |
5.1 |
Да |
Да |
|
2 Опробование |
5.2 |
Да |
Да |
|
3 Проверка идентификационных данных программного обеспечения |
5.3 |
Да |
Да |
|
4 Определение основной погрешности |
5.4 |
Да |
Да |
|
5 Определение вариации выходного сигнала |
5.5 |
Да |
Да |
|
6 Оформление результатов поверки |
5.6 |
Да |
Да |
-
1.2 При получении отрицательного результата в процессе выполнения любой из операций поверки датчик бракуют и его поверку прекращают.
-
1.3 После устранения недостатков, вызвавших отрицательный результат, датчик вновь предоставляют на поверку.
-
2.1 При проведении поверки применяют основные средства поверки:
-
- калибратор давления СРС6050 (регистрационный №70999-18);
-
- калибратор давления CPG2500 (регистрационный №54615-13);
-
- мультиметр Fluke 8846А (регистрационный №57943-14);
-
- вольтметр универсальный В7-54/3 (регистрационный №15250-12);
-
- мера электрического сопротивления МС3050М (регистрационный №46843-11).
-
2.2 Средства поверки должны быть исправны, аттестованы и иметь действующие свидетельства о поверке в соответствии с приказом Минпромторга №1815. Вспомогательные средства измерений должны обеспечивать необходимые режимы поверки и так же иметь действующие свидетельства о поверке или клеймо, удостоверяющее ее проведение.
-
2.3 Допускается применение аналогичных средств поверки, обеспечивающих определение метрологических характеристик поверяемых датчиков с требуемой точностью.
При проведении поверки должны соблюдаться следующие требования и процедуры обеспечения безопасности:
-
- проведение технических и организационных мероприятий по обеспечению безопасности проводимых работ в соответствии с ГОСТ 12.2.007.0;
-
- подготовка к работе средств поверки в соответствии с технической документации на эти средства;
Общие требования безопасности при проведении поверки - согласно ГОСТ 12.3.019.
4 Условия поверки и подготовка к ней4.1.При проведении поверки соблюдают следующие условия:
-
- температура окружающего воздуха (20±5)°С;
-
- относительная влажность окружающего воздуха от 20 до 95 %;
-
- давление в помещении, где проводят поверку (далее атмосферное давление), в пределах от 84 до 106,7 кПа или от 630 до 795 мм рт. ст.;
Допускается использовать воздух или нейтральный газ при поверке датчиков с верхними пределами измерений более 2,5 МПа при условии соблюдения соответствующих правил безопасности;
-
- колебания давления окружающего воздуха, вибрация, тряска, удары, наклоны, магнитные поля (кроме земного) и другие воздействия, влияющие на работу и метрологические характеристики датчика, должны отсутствовать;
-
- импульсную линию, через которую подают измеряемое давление, допускается соединять с дополнительными сосудами, емкость каждого из которых не более 50 литров.
-
4.2 При поверке датчиков разности давления с приемными камерами для подвода большего давления («плюсовая» камера) и меньшего давления («минусовая» камера) значение измеряемой величины (разности давлений) устанавливают, подавая соответствующее значение избыточного давления в «плюсовую» камеру датчика, при этом «минусовая» камера сообщается с атмосферой.
При поверке датчиков разности давлений с малыми пределами измерений для уменьшения влияния на результаты поверки не устраненных колебаний давления окружающего воздуха «минусовая» камера датчика может соединяться с камерой эталонного СИ, сообщающейся с атмосферой, если это предусмотрено в конструкции СИ. При поверке датчиков разности давлений в «минусовой» камере может поддерживаться постоянное опорное давление, создаваемое другим эталонным задатчиком или основным задатчиком измеряемой величины с дополнительным блоком опорного давления.
При поверке датчиков разряжения и датчиков давления-разрежения значение измеряемой величины допускается устанавливать, подавая с противоположной стороны чувствительного элемента датчика соответствующее значение избыточного давления, если это предусмотрено конструкцией датчика.
При поверке датчиков избыточного давления допускается принимать нижний предел измерения равный атмосферному давлению.
-
4.3 Перед проведением поверки датчиков выполняют следующие подготовительные работы:
-
- выдерживают датчик не менее 1 ч при температуре, указанной в п.4.1, если иное не указано в технической документации на датчик;
-
- устанавливают датчик в рабочее положение с соблюдением указаний технической документации;
-
- проверяют на герметичность в соответствии с п.п.4.3.1 - 4.3.4 систему, состоящую из соединительных линий для передачи давления, эталонных СИ и вспомогательных средств для задания и передачи измеряемой величины.
-
4.3.1 Проверку герметичности системы, предназначенной для поверки датчиков давления, разности давлений, разрежения с верхними пределами измерений менее 100 кПа, абсолютного давления с верхними пределами измерений более 250 кПа, проводят при значениях давления (разрежения), равных верхнему пределу измерений поверяемого датчика.
Проверку герметичности системы, предназначенной для поверки датчиков давления-разряжения, проводят при давлении, равном верхнему пределу измерений избыточного давления.
Проверку герметичности системы, предназначенной для поверки датчиков разрежения с верхним пределом измерений 100 кПа, проводят при разряжении, равном 0,9-0,95 значения атмосферного давления.
Проверку герметичности системы, предназначенной для поверки датчиков абсолютного давления с верхними пределами измерений 250 кПа и менее, проводят в соответствии с п.4.3.3.
-
4.3.2 При проверке герметичности системы, предназначенной при поверке датчиков, указанных в п.4.3.1, на место поверяемого датчика устанавливают датчик, герметичность которого проверена, или любое другое средство измерений, имеющее погрешность (приведенную к значениям давления, указанным в п.4.3.1) не более ±2,5 % и позволяющее зафиксировать изменение давления на величину ±0,5 % от заданного значения давления. Затем в системе создают давление, указанное в п.4.3.1, и отключают источник давления. Если в качестве эталонного СИ применяют грузопоршневой манометр, то его колонку и пресс также отключают.
Систему считают герметичной, если после трехминутной выдержки под давлением, равным или близким верхнему пределу измерений, не наблюдают падения давления (разряжения) в течение последующих 2 минут. При необходимости время выдержки под давлением может быть увеличено.
Допускается изменение давления (разряжения), обусловленное изменением температуры окружающего воздуха и температуры измеряемой среды в пределах ±(0,5-1)°С.
-
4.3.3 Поверку герметичности системы, предназначенной для поверки датчиков абсолютного давления с верхними пределами измерений 250 кПа и менее, проводят следующим образом:
Устанавливают в системе заведомо герметичный датчик или любое другое средство измерений абсолютного давления, отвечающее требованиям к СИ в соответствии с п. 4.3.2. Создают в системе абсолютное давление не более 0,7 кПа и поддерживают в течение 2-3 минут, после чего отключают устройство, создающее абсолютное давление, и эталонное СИ при необходимости (например, отключают колонки грузопоршневого манометра).
После выдержки системы в течение 3 минут изменение давления не должно превышать ±0,5% верхнего предела измерений поверяемого датчика.
Допускается поправка при изменении температуры окружающего воздуха и рабочей среды.
-
4.3.4 Проверку герметичности системы рекомендуется проводить при давлении (разрежении), соответствующем наибольшему давлению (разряжению) из ряда верхних пределов измерений поверяемых датчиков.
-
5 Проведение поверки
При проведении внешнего осмотра проверяется:
-
- соответствие его внешнего вида технической документации и отсутствие видимых дефектов;
-
- соответствие комплектности перечню, указанному в паспорте;
-
- соответствие серийного номера, указанному в паспорте;
-
- наличие на корпусе датчика таблички с маркировкой, соответствующей паспорту или документу, его заменяющего.
Результатом внешнего осмотра считают положительным, если комплектность и серийный номер соответствуют указанным в паспорте, маркировка и надписи на корпусе соответствуют эксплуатационной документации, отсутствуют механические повреждения, способные повлиять на работоспособность датчика. При невыполнении этих требований поверка прекращается и датчик бракуется.
5.2 Опробование-
5.2.1 При опробовании проверяют герметичность и работоспособность датчика, функционирование устройства коррекции «нуля».
-
5.2.2 Работоспособность датчика проверяют, изменяя измеряемую величину от нижнего до верхнего предельного значения. При этом должно наблюдаться изменение выходного сигнала и индикации на дополнительных выходных устройствах датчика.
Работоспособность датчиков давления - разряжения проверяют только при избыточном давлении; работоспособность датчиков - разряжения с верхним пределом измерений 100 кПа проверяют при изменении разряжения до значения 0,9 атмосферного давления (не менее).
-
5.2.3 Функционирование коррекции «нуля» проверяют, задав одно (любое) значение измеряемого давления в пределах, оговоренных руководством по эксплуатации. Воздействуя на данную функцию, проверяют наличие изменения выходного сигнала на всех выходных устройствах. Затем сбрасывают измеряемую величину и при атмосферном давлении на входе в датчик вновь устанавливают выходной сигнал в соответствии с исходными значениями.
-
5.2.4 Проверку герметичности датчика рекомендуется совмещать с операцией определения его основной погрешности.
Методика проверки герметичности датчика аналогична методике проверки герметичности системы (п. п. 4.3.1-4.3.4), но имеет следующую особенность: изменение давления (разрежения) определяют по изменению выходного сигнала или по изменению показаний цифрового индикатора поверяемого датчика, включенного в систему (п.4.3.2);
В случае обнаружения негерметичности системы с установленным поверяемым датчиком следует раздельно проверить герметичность системы и датчика.
5.3 Проверка идентификационных данных программного обеспечения-
5.3.1 В качестве идентификации программного обеспечения (далее ПО) принимается версия (идентификационный номер) ПО. Методика проверки идентификационного номера ПО датчика заключается в установлении версии ПО прибора, которую можно установить при помощи подключенного к датчику HART-модема (протоколы HART, WirelessHART), или преобразователь Profibus, или преобразователя интерфейса Fieldbus - USB с программным обеспечением для связи с персональным компьютером и считывания информации с цифрового выхода датчика. Могут использоваться другие устройства для считывания информации, предусмотренные технической документацией на датчик.
-
5.3.2 Датчики считаются прошедшими поверку с положительным результатом, если версия ПО соответствует значению, указанному в паспорте на датчик.
-
5.4.1 Основную погрешность датчика определяют по одному из способов:
-
1) По эталону на входе датчика устанавливают номинальные значения входного параметра (давления), а по другому эталону измеряют соответствующее значение выходного параметра (тока или напряжения). При поверке датчика по его цифровому сигналу к выходу подключают приемное устройство, поддерживающее соответствующий цифровой коммуникационный протокол для считывания информации при установленных номинальных значениях входной измеряемой величины;
-
2) В обоснованных случаях по эталону устанавливают номинальные значения выходного параметра (тока или напряжения) а по другому эталону измеряют соответствующие значения входного параметра (давления).
Примечания:
1. При поверке датчиков с HART-сигналом к выходу подключают портативный HART-коммуникатор, или HART-модем с программным обеспечением для связи с персональным компьютером и считывания информации с цифрового выхода датчика. Могут использоваться другие устройства для считывания информации и управления датчиками по другим коммуникационным протоколам, предусмотренным технической документацией на датчики.
-
5.4.2 Схемы включения датчиков для измерения выходного сигнала при проведении поверки приведены в технической документации на датчик.
Эталон включают в схему поверки в соответствии с их руководством по эксплуатации.
-
5.4.3 Устанавливают следующие критерии достоверности поверки:
Рвам - наибольшая вероятность, при которой любой дефектный экземпляр датчика может быть ошибочно признан годным;
(5м) ва - отношение возможного наибольшего модуля основной погрешности экземпляра датчика, который может быть ошибочно признан годным, к пределу допускаемой основной погрешности.
Допускаемые значения критериев достоверности поверки: Рвам =0,20 и (5м)ватах = 1,25.
-
5.4.4 Устанавливают следующие параметры поверки:
m - число поверяемых точек в диапазоне измерений, т>5; в основных случаях и при отсутствии эталона с необходимой дискретностью воспроизведения измеряемой величины, допускается уменьшать число поверяемых точек до 4 или 3;
п - число наблюдений при экспериментальном определении значений погрешности в каждой из поверяемых точек при изменениях входной измеряемой величины от меньших значений к большим (прямой ход) и от больших значений к меньшим (обратный ход), n = 1. В обоснованных случаях и в соответствии с технической документацией на датчик допускается увеличивать число наблюдений в поверяемых точках до 3 или 5, принимая при этом среднеарифметическое значение результатов наблюдений за достоверное значение в данной точке;
ук - абсолютное значение отношения контрольного допуска к пределу допускаемой основной погрешности;
ар - отношение предела допускаемой погрешности эталонных СИ, применяемых при поверке, к пределу допускаемой основной погрешности поверяемого датчика.
Значения ук и ар выбирают по таблице 2 (п.5.4.5) в соответствии с принятыми критериями достоверности поверки.
-
5.4.5 Выбор эталонов для определения основной погрешности поверяемых датчиков осуществляют, исходя из технических возможностей и технико-экономических предпосылок с учетом критериев достоверности поверки (п.5.4.3) и в соответствии с таблицей 2.
Таблица 2
поверки
ы и
|
(Хр |
0,2 |
0,25 |
0,33 |
0,4 |
0,5 |
|
7к |
0,94 |
0,93 |
0,91 |
0,82 |
0,70 |
|
Рвам |
0,20 |
0,20 |
0,20 |
0,10 |
0,05 |
|
(5м) ва |
1,14 |
1,18 |
1,24 |
1,22 |
1,20 |
Примечание - Таблица составлена в соответствии с п.5.э.З критериями достоверности поверки, согласно МИ 187-86 «ГСИ. Критерии достоверности параметры методик поверки» и МИ 188-86 «ГСИ. Установление значение параметров методик поверки».
-
5.4.6 При выборе эталонов для определения погрешности поверяемого датчика (в каждой поверяемой точке) соблюдают следующие условия:
-
1) При поверке датчиков с выходным аналоговым сигналом постоянного тока, значения которого контролируют непосредственно в мА



(1)
где Др - предел допускаемой абсолютной погрешности эталонного СИ, контролирующего входную величину (давление), кПа, Мпа;
Рт -диапазон измерений поверяемого датчика, МПа;
А; - предел допускаемой абсолютной погрешности эталонного СИ, контролирующего электрический выходной сигнал датчика, мА;
Io, Im - соответственно нижнее и верхнее предельное значение выходного сигнала датчика, мА;
dp - то же, что в 5.4.4;
у - предел допускаемой основной приведенной погрешности поверяемого датчика, % диапазона измерений.
Основная погрешность датчика, выраженная в процентах от диапазона измерений, численно равна основной погрешности, выраженной в процентах от диапазона изменения выходного сигнала датчика с линейной функцией преобразования измеряемой величины.
Для датчиков с выходным аналоговым сигналом постоянного напряжения U расчетные значения выходного сигнала определяют по формулам, структура которых идентична структурам формул для датчиков с выходным аналоговым сигналом постоянного тока I раздела 5.4 с заменой обозначений постоянного тока на соответствующие обозначения постоянного напряжения Up, Uo, Um.
-
2) При поверке датчиков с выходным аналоговым сигналом постоянного тока, значение которого контролируют по падению напряжения на эталонном сопротивлении в мВ или В
(2)
где Др, Pm - то же, что в формуле (1);
Ди - предел допускаемой абсолютной погрешности эталонного СИ, контролирующего выходной сигнал датчика по падению напряжения на эталонном сопротивлении, мВ или В;
Дя- предел допускаемой абсолютной погрешности эталонного сопротивления, Ом; Яэт- значение эталонного сопротивления, Ом;
Um, Uo - соответственно верхнее и нижнее предельные значения напряжений (мВ или В) на эталонном сопротивлении, определяемые по формулам:
Um ~ Im ‘ К-эт И Uo ~ 1о ' Р-эт
-
3) При поверке датчика с выходным цифровым сигналом

(3)
где все обозначения те же, что и в формулах (1) и (2).
-
5.4.7 Расчетные значения выходного сигнала поверяемого датчика для заданного номинального значения входной измеряемой величины определяют по формулам (4-12):
1) Для датчиков с линейной возрастающей зависимостью выходного сигнала постоянного тока (I) от входной измеряемой величины (Р)

4 / Р — Р Р ~РУ
т п
где 1р - расчетное значение выходного сигнала постоянного тока (мА);
Р - номинальное значение входной измеряемой величины; для датчиков давления-разряжения значение Р в области разрежения подставляется в формулу (4) со знаком минус;
Рп - нижний предел измерений для всех датчиков, кроме датчиков давления-разрежения, для которых значение Рп численно равно верхнему пределу измерений в области разрежения Рт (-) и в формулу (4) подставляется со знаком минус;
Io, Im, Pm - то же, что и в формуле (1).
Для стандартных условий нижний предел измерений всех поверяемых датчиков равен нулю.
2) Для датчиков с линейно убывающей зависимостью выходного сигнала постоянного тока от входной измеряемой величины

Р-Р
т п
(5)
-
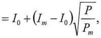
3) Для датчиков с выходным сигналом постоянного тока и функцией преобразования входной измеряемой величины по закону квадратного корня

(6)
где Р - входная измеряемая величина - разность давлений (перепад давления) для датчиков разности давлений, предназначенных для измерения расхода рабочей среды;
Pm - диапазон измерений поверяемого датчика разности давлений. Остальные обозначения те же, что и в формуле (1).
-
4) Для датчиков с выходным сигналом постоянного тока, значения которого контролируют по падению напряжения на эталонном сопротивлении R3T
Up=R3t-Ip, (7)
где Up- расчетное значение падения напряжения на эталонном сопротивлении, В;
1р - расчетное значение выходного сигнала постоянного тока (А), определяемое по формулам (4 - 6).
-
5) Для датчиков с выходным информационным сигналом в цифровом формате:
- с линейно возрастающей функцией датчика
где Np - расчетное значение выходного сигнала в цифровом формате;
Nm, No - соответственно верхнее и нижнее предельные значения выходного информационного сигнала датчик в цифровом формате;
Р, Pm, Рп —то же, что и формуле (4);
- с линейно убывающей функцией преобразования

(9)
- с функцией преобразования по закону квадратного корня
(10)
где Р, Pm - то же, что в формуле (6); остальные обозначения те же, что в формулах (8,9).
-
5.4.8 Поверку датчиков с программным обеспечением выбора функции преобразования входной измеряемой величины в соответствии с одним из видов (4 - 6, 8 - 10) производят при программной установке линейно возрастающей зависимости выходного сигнала (4) или (8), если иное не предусмотрено технической документацией на датчик.
После выполнения поверки датчик может быть перепрограммирован в соответствии с требуемой функцией преобразования входной измеряемой величины.
Перед определением основной погрешности соблюдают требования п. 4.3 и, при необходимости, корректируют значения выходного сигнала, соответствующие нижнему и верхнему предельным значениям измеряемой величины. Эту корректировку выполняют после подачи и сброса измеряемой величины, значения которой устанавливают:
-
- для датчиков абсолютного давления с верхним пределом измерений до 0,25 МПа включительно - в пределах от атмосферного давления до 80-100% верхнего предела измерений;
-
- для остальных датчиков - в пределах 80-100 % верхнего предела измерений;
-
- для датчиков давления-разряжения - в пределах 50-100 % от верхнего предела измерений в области избыточного давления.
При периодической поверке и в случае ее совмещения с операцией поверки герметичности датчика корректировку значений выходного сигнала выполняют после выдержки датчика при давлении (разряжении) в соответствии с условиями п. 4.3.
Установку выходного сигнала выполняют с максимальной точностью, обеспечиваемой устройством коррекции датчика и разрешающей способностью эталонов.
Погрешность установки (без учета погрешности эталонов) не должна превышать 0,2-0,3 предела допускаемой основной погрешности поверяемого датчика.
-
5.4.9 Проверку основной погрешности датчиков давления производят в пяти точках, достаточно равномерно распределенных в диапазоне измерений, соответствующих нижнему и верхнему предельным значениям выходной величины с допуском в пределах 5% этих значений. Интервал между значениями измеряемой величины не должен превышать 30% диапазона измерений.
Основную погрешность определяют при значении измеряемой величины, полученной при приближении к нему как от меньших значений (при прямом ходе), так и от больших значений (при обратном ходе).
Перед поверкой при обратном ходе датчик выдерживают в течение 1 минуты под воздействием верхнего предельного значения измеряемого параметра, соответствующего предельному значению выходного сигнала.
Допускается выдержку датчиков давления-разряжения производить только на верхнем пределе измерений избыточного давления.
При периодической поверке основную погрешность определяют в два цикла: до корректировки диапазона изменения выходного сигнала и после корректировки диапазона. Второй цикл допускается не проводить, если основная погрешность уд<ук -у.
При поверке датчиков с верхним пределом измерений разрежения 0,1 МПа, если атмосферное давление Рб< 0,1 МПа, допускается устанавливать максимальное значение разрежения в пределах 0,90-0,95 Рб, где Рб - атмосферное давление. Расчетное значение выходного сигнала при установленном значении разряжения определяют по формуле (4) и (8).
При поверке датчиков абсолютного давления с верхним пределами измерений 0,25 МПа и выше основную погрешность определяют по методике, изложенной в п. 5.4.10 с соблюдением условий, изложенных в п. 5.4.8, п. 5.4.9. По методике п. 5.4.10 допускается определять основную погрешность датчиков абсолютного давления с верхними пределами измерений от 0,1 до 0,25 МПа.
-
5.4.10 Определение основной погрешности датчиков абсолютного давления с верхними пределами измерений 0,25 МПа (допускается 0,1 МПа) и выше проводят с использованием эталонов разрежения и избыточного давления.
В этом случае поверку датчика выполняют при подаче избыточного давления и разрежения, расчетные значения которых определяют с учетом действительного значения атмосферного давления в помещении, где проводят поверку.
Расчетные значения выходного сигнала датчика с линейно возрастающей функцией преобразования определяют по формуле:
- для датчиков с токовым выходным сигналом
/ = I +(l -I
- для датчиков с выходным сигналом в цифровом формате
(11)
(12)
где 1р, Io, Im, Np, No, Nm - то же что в формулах (4) и (8);
Рб- атмосферное давление в помещении, где проводят поверку, МПа;
Рт(а)- верхний предел измерений датчика абсолютного давления, МПа;
Р(+) - избыточное давление, подаваемое в датчик, МПа;
Р(_) - разрежение, создаваемое в датчике; значение разрежения в МПа подставляют в формулы (11) и (12) со знаком минус.
Расчетные значения избыточного давления и разрежения вычисляют по формулам
Р(+) - Ра - Рб,
Р(-) — Рб " Ра ,
(В)
(14)
где Ра- номинальное значение абсолютного давления, МПа.
Вблизи нуля абсолютного давления датчик поверяют, создавая на его входе разрежение Рт(_) = (0,90...0,95)-Рб, (15)
при котором расчетное значение выходного сигнала определяют по формуле
= Л + Об)
Значение выходного сигнала в цифровом формате (N) определяют по формуле такой же структуры, заменяя обозначение I на обозначение N.
Расчетные значения выходного сигнала при атмосферном давлении на входе датчика определяют по формуле
/р = /о+(4-/о)^> (17)
Лп(а)
Максимальное значение избыточного давления Рт(+), при котором расчетное значение выходного сигнала Ip = 1т, определяют по формуле
Рт(+) ~ Рт(а) “ Рб, 0 $)
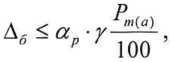
При поверке датчика с верхними пределами измерений Рт(а) < 2,5МПа, значение атмосферного давления Рб определяют с погрешностью не более, чем

(19)
где Дб - абсолютная погрешность, МПа;
(хр, у - то же, что в п. 5.4.4, п. 5.4.6;
Рт(а)- верхний предел измерений поверяемого датчика.
При поверке датчиков с верхним пределами измерений Рт(а)> 2,5 МПа в формулах (11 - 18) допускается подставлять значение Рб = 0,1 МПа, если атмосферное давление находится в пределах от 0,098 до 0,102 МПа.
В зависимости от верхних пределов измерений поверяемых датчиков их основную погрешность определяют при ш значениях измеряемой величины в соответствии с таблицей 3 и с учетом требований п. 5.4.9.
Таблица 3
|
Верхние пределы измерений, МПа |
Число поверяемых точек, ш | |
|
В области Ра < Рб |
В области Ра> Рб | |
|
0,1 |
3 |
- |
|
0,16 |
2 |
2 |
|
0,25 |
1 |
3 |
|
От 0,4 до 2,5 |
1 |
4 |
|
Свыше 2,5 |
- |
5 |
-
5.4.11 Основную погрешность уд в % нормирующего значения (п. 5.4.6) вычисляют по приведенным ниже формулам.
При поверке датчиков по способу 1 (п. 5.4.1):
П=7ТТ'100> (2°)
•100,
(21)
■100,
(22)
где I - значение выходного сигнала постоянного тока, полученное экспериментально при номинальном значении измеряемой величины, мА;
U - значение падения напряжения на эталонном сопротивлении, полученное экспериментально при измерении выходного сигнала и номинальном значении входной измеряемой величины (давления), мВ или В;
N - значение выходного сигнала датчика в цифровом формате, полученное экспериментально при номинальном значении измеряемой величины;
остальные обозначения те же, что в формулах (1,2, 8).
При поверке датчиков по способу 2 (п. 5.4.1):
•100,
(23)
где Р - значение входной измеряемой величины (давления), полученное экспериментально при номинальном значении выходного сигнала, кПа, МПа;
Рвом - номинальное значение измеряемой величины при номинальном значении выходного сигнала, кПа, МПа;
Pm —диапазон измерений поверяемого датчика, кПа, МПа.
Вычисление уд выполняют с точностью до третьего знака после запятой.
5.5 Определение вариации выходного сигнала-
5.5.1 Вариацию выходного сигнала определяют при каждом поверяемом значении измеряемой величины, кроме значений, соответствующих нижнему и верхнему пределам измерений, по данным, полученным экспериментально при определении основной погрешности (п. 5.4).
-
5.5.2 Вариацию выходного сигнала уг в % нормирующего значения (п. 5.4.6) вычисляют по приведенным ниже формулам.
При поверке датчиков по способу 1 (п. 5.4.1):
\1-Г
•100,
(24)
J---------- • 100,
-
(25)
-
(26)
|дг-лг|
•100,
где I, Г - значения выходного сигнала постоянного тока, полученные экспериментально при одном и том же номинальном значении входной измеряемой величины при прямом и обратном ходе соответственно, мА;
U, U’ - значения падения напряжения на эталонном сопротивлении, полученные экспериментально при измерениях выходного сигнала и при одном и том же номинальном значении входной измеряемой величины при прямом и обратном ходе соответственно, мВ, В;
N, N’ - значения выходного сигнала датчика в цифровом формате, полученные экспериментально при одном и том же номинальном значении входной измеряемой величины при прямом и обратном ходе соответственно.
Остальные обозначения те же, что в формулах (1,2,9).
При поверке датчиков по способу 2 (п. 5.4.1):
/г

(27)
где Р, Р’ - значения входной измеряемой величины (давления), полученные экспериментально при прямом и обратном ходе при одном и том же номинальном значении выходного сигнала, кПа, МПа;
Pm - то же, что и в формуле (23).
-
5.5.3 Вариацию выходного сигнала датчиков не определяют, если предел ее допускаемого значения не превышает 0,5 предела допускаемой основной погрешности.
-
5.6.1 Датчик признают годным при первичной поверке, если на всех поверяемых точках модуль основной погрешности | уд |<| /к •/1.
-
5.6.2 Датчик признают негодным при первичной поверке, если хотя бы в одной поверяемой точке модуль основной погрешности | |>| /1.
-
5.6.3 Датчик признают годным при периодической поверке, если на всех поверяемых точках при первом или втором цикле определения основной погрешности | уд |<| /к •/1.
-
5.6.4 Датчик признают негодным при периодической поверке:
-
- если при первом цикле поверки хотя бы в одной поверяемой точке модуль основной погрешности |/э |>| (^)ватах -/|;
-
- если при втором цикле поверки хотя бы в одной поверяемой точке модуль основной погрешности | уд |>| /к • у |.
Обозначения: (<5‘ЛУ)вап1ах- по п. 5.4.3; /к - по п. 5.4.4; у - по п. 5.4.6.
-
5.6.5 Допускается вместо вычислений по экспериментальным данным значений погрешности уд контролировать ее соответствие предельно допускаемым значениям.
-
6.1 Положительные результаты поверки удостоверяются оттиском поверительного клейма, который наносится в паспорт и/или оформляется свидетельство о поверке. Знак поверки наносится в соответствующий раздел паспорта и/или на бланк свидетельства о поверке
-
6.2 При отрицательном результате поверки поверяемый датчик не допускается к дальнейшему применению, выдают извещение о непригодности.
-
1 Настоящая рекомендация разработана отделом разработки датчиков давления и метрологического оборудования ЗАО «ЭМИС»
Исполнитель: Е.М. Малик
-
2 Утверждена ЗАО КИП «МЦЭ» 16.06.2018
15
