Инструкция «ГСИ. СИстема измерений количества и показателей качества нефти №253 АО "Татнефтепром-Зюзеевнефть" при УПВСН ТПП "ТатРИТЭКнефть"» (НА.ГНМЦ.0315-18 МП)
УТВЕРЖДАЮ
Директор ОП ГНМЦ
мэтика»

Немиров
2018 г.
ИНСТРУКЦИЯ
Государственная система обеспечения единства измерений
Система измерений количества и показателей качества нефти № 253 АО «Татнефтепром-Зюзеевнефть» при УПВСН ТПП «ТатРИТЭКнефть»
Методика поверки
НА.ГНМЦ.0315-18 МП
Казань
9Л1Я
РАЗРАБОТАНА |
Обособленным подразделением Головной научный метрологический центр АО «Нефтеавтоматика» в г. Казань (ОП ГНМЦ АО «Нефтеавтоматика») |
ИСПОЛНИТЕЛИ: |
Давыдова Е Н., Стеряков О В. |
Настоящая инструкция распространяется на систему измерений количества и показателей качества нефти № 253 АО «Татнефтепром-Зюзеевнефть» при УПВСН ТПП «ТатРИТЭКнефть» (далее - СИКН) и устанавливает методику ее первичной и периодической поверки.
Интервал между поверками СИКН: один год.
1 Операции поверкиПри проведении поверки выполняют следующие операции:
-
1.1 Внешний осмотр (п п. 6.1);
-
1.2 Подтверждение соответствия программного обеспечения (далее - ПО) СИКН (п.п. 6.2):
-
1.3 Опробование (п.п. 6.3);
-
1.4 Определение метрологических характеристик (далее - MX):
-
1.4.1 Определение MX средств измерений (далее - СИ), входящих в состав СИКН (п.п. 6.4.1).
-
1.4.2 Определение пределов допускаемой относительной погрешности измерений массы брутто нефти (п.п. 6.4.2),
-
1.4.3 Определение пределов допускаемой относительной погрешности измерений массы нетто нефти (п.п. 6 4 3).
-
-
2.1 Рабочий эталон 2-го разряда в соответствии с частью 2 Государственной поверочной схемы для средств измерений массы и объема жидкости в потоке, утвержденной приказом Росстандарта от 07.02.2018 г. № 256 в диапазоне расходов, соответствующему диапазону расходов СИКН.
-
2.2 Средства поверки в соответствии с документами на поверку СИ, входящих в состав системы.
-
2.3 Допускается применение аналогичных средств поверки, обеспечивающих определение MX поверяемых СИ с требуемой точностью
При проведении поверки соблюдают требования, определяемые: в области охраны труда и промышленной безопасности:
-
- «Правила безопасности в нефтяной и газовой промышленности», утверждены приказом Ростехнадзора от 12.03.2013 № 101;
-
- Трудовой кодекс Российской Федерации;
в области пожарной безопасности:
-
- СНиП 21-01-97 «Пожарная безопасность зданий и сооружений»;
-
- «Правила противопожарного режима в Российской Федерации», утверждены постановлением Правительства РФ №390 от 25.04.2012,
-
- СП 12.13130.2009 «Определение категорий помещений, зданий и наружных установок по взрывопожарной и пожарной опасности»;
-
- СП 5.13130.2009 «Системы противопожарной защиты. Установки пожарной сигнализации и пожаротушения автоматические. Нормы и правила проектирования»
в области соблюдения правильной и безопасной эксплуатации электроустановок:
-
- ПУЭ «Правила устройства электроустановок»;
в области охраны окружающей среды:
-Федерального закона от 10 СИ.2002 г. № 7-ФЗ «Об охране окружающей среды» и других законодательных актов по охране окружающей среды, действующих на территории РФ.
4 Условия поверкиПри проведении поверки соблюдают условия в соответствии с требованиями нормативных документов (далее - НД) на поверку СИ, входящих в состав СИКН
5 Подготовка к поверкеПодготовку к поверке проводят в соответствии с инструкцией по эксплуатации СИКН и НД на поверку СИ, входящих в состав СИКН.
При подготовке к поверке проверяют наличие действующих свидетельств о поверке и (или) знаков поверки на СИ, входящие в состав СИКН.
6 Проведение поверки6 1 Внешний осмотр
При внешнем осмотре должно быть установлено соответствие СИКН следующим требованиям:
-
- комплектное^ СИКН должна соответствовать технической документации;
-
- на компонентах СИКН не должно быть механических повреждений и дефектов покрытия, ухудшающих внешний вид и препятствующих применению;
-
- надписи и обозначения на компонентах СИКН должны быть четкими и соответствующими технической документации.
-
6.2 Подтверждение соответствия ПО СИКН.
-
6.2.1 Проверка идентификационных данных ПО автоматизированного рабочего места - АРМ-Оператора «ПЛАЗМА» (далее - АРМ оператора).
-
6.2.1.1 Чтобы определить идентификационные данные АРМ оператора необходимо нажать кнопку «О программе» на мониторе АРМ оператора, расположенную вверху основной мнемосхемы. Появится окно «О программном обеспечении», в котором отобразятся идентификационное наименование ПО версия ПО и контрольная сумма. Полученные идентификационные данные ПО заносят в протокол по форме приложения А.
-
6.2.2 Проверка идентификационных данных ПО контроллеров измерительно-вычислительных OMNI-6000 (далее - контроллер).
Чтобы определить идентификационные данные ПО контроллеров (рабочего и резервного) необходимо выполнить нижеперечисленные процедуры. На клавиатуре контроллера нажимают кнопку «Статус», затем «Ввод». На дисплее контроллера появятся данные в виде списка. Нажимая на кнопку «[», перемещаются вниз до строк «Revision No» и «EPROM Checksum». В строке «Revision No» указан номер версии (идентификационный номер) ПО В строке «EPROM Checksum» указан цифровой идентификатор ПО (контрольная сумма исполняемого кода), рассчитанный по алгоритму CRC-16. Полученные идентификационные данные ПО контроллеров заносят в соответствующие разделы протокола по форме приложения А.
6 2 3 Если идентификационные данные, указанные в описании типа СИКН и полученные в ходе выполнения п п. 6 2 1.1 и 6.2.2.1 идентичны то делают вывод о подтверждении соответствия ПО СИКН ПО, зафиксированному во время проведения испытаний в целях утверждения типа в противном случае результаты поверки признают отрицательными.
-
6.3 Опробование.
Опробование проводят в соответствии с НД на поверку СИ, входящих в состав СИКН.
-
6.4 Определение MX.
-
6.4.1 Определение MX СИ, входящих в состав СИКН, проводят в соответствии с НД, приведенными в таблице 1.
Таблица1- Перечень НД на поверку СИ
Наименование СИ |
НД |
Счетчики-расходомеры массовые Micro Motion (далее - ПР) |
«Рекомендация. ГСИ. Счетчики - расходомеры массовые «Micro Motion» фирмы «Fisher Rosemount». Методика поверки передвижной поверочной установкой МЭУ-100-4 0» МП 0061-14-2013 «ГСИ. Счетчики-расходомеры массовые, входящие в состав систем измерений количества и показателей качества нефти, систем измерений количества и показателей качества нефтепродуктов, систем измерений количества воды. Методика поверки установками эталонными мобильными типа «ПАКВиК» МИ 3151-2008 «ГСИ. Счетчики-расходомеры массовые. Методика поверки на месте эксплуатации трубопоршневой поверочной установкой в комплекте с поточным преобразователем плотности» МИ 3272-2010 «ГСИ. Счетчики-расходомеры массовые. Методика поверки на месте эксплуатации компакт-прувером в комплекте с турбинным преобразователем расхода и поточным преобразователем плотности» МИ 3313-2011 «Рекомендация. ГСИ. Счетчики- расходомеры массовые. Методика поверки с помощью эталонного счетчика-расходомера массового» |
Влагомеры нефти поточные УДВН-1пм2 |
МИ 2366-96 «Рекомендация. ГСИ. Влагомеры товарной нефти типа УДВН. Методика поверки» |
Преобразователи измерительные 644 к датчикам температуры |
МИ 2470-2000 «Рекомендация. ГСИ. Преобразователи измерительные 144, 244, 444, 644, 3144, 3244 MV к датчикам температуры с унифицированным выходным сигналом фирмы «Fisher-Rosemount». США. Методика пеоиодической поверки» |
Преобразователи измерительные 644 |
МП 14683-09 «Преобразователи измерительные 248, 644, 3144Р, 3244MV. Методика поверки» |
Т ермопреобразовател и сопротивления платиновые серии 65. Термопреобразователи сопротивления Rosemount 0065 |
ГОСТ 8 461-2009 «ГСИ. Термопреобразователи сопротивления из платины, меди и никеля. Методика поверки» |
Наименование СИ |
нд |
Преобразователи давления измерительные 3051 |
МИ 1997-89 «Рекомендация. ГСИ. Преобразователи давления измерительные. Методика поверки» |
Измерительно вычислительные контроллеры Omni 6000 |
«Рекомендация. ГСИ. Измерительно-вычислительные контроллеры OMNI-3000/6000 и их модификации OMNI-3000 PC, OMNI-3000/6000 NEMA-4 и OMNI-3000/6000 NEMA-7. Методика поверки» |
Преобразователи расхода |
МИ 2820-2003. «Рекомендации ГСИ. Преобразователи расхода турбинные. Методика поверки весовым методом» МИ 2421-02 «Рекомендации ГСИ. Расходомеры-счетчики жидкости мод. АТ 868, PT 868-R, 2РТ868, DF868, ХМТ868, РТ 878 фирмы GE PANAMETRICS Ltd (Ирландия). Методика поверки. |
Термометры |
ГОСТ 8.279-78 «Термометры стеклянные жидкостные рабочие. Методы и средства поверки» |
Манометры показывающие |
5Ш0.283.421 МП «Манометры, вакуумметры и мановакуумметры показывающие для точных измерений МПТИ, ВПТИ и МВПТИ. Методика поверки» |
-
6.4.2 Определение относительной погрешности измерений массы брутто нефти
Согласно ГОСТ Р 8.595-2004 «ГСИ. Масса нефти и нефтепродуктов. Общие требования к методикам выполнения измерений» при прямом методе динамических измерений за погрешность измерений массы боутто нефти %, принимают предел допускаемой относительной погрешности измерений ПР.
Относительная погрешность ПР в диапазоне расходов на рабочей измерительной линии (далее - ИЛ) не должна превышать ±0,25%, относительная погрешность ПР в диапазоне оасходов на контрольно-резервной ИЛ не должна превышать ±0,20%.
Значения пределов допускаемой относительной погрешности измерений массы брутто нефти не должны превышать ±0,25%.
-
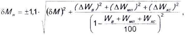
6.4.3 Определение пределов допускаемой относительной погрешности измерений массы нетто нефти.
Пределы относительной погрешности измерений массы нетто нефти вычисляют по формуле

(1)
где - пределы относительной погрешности измерений массы нетто нефти,
%;
SM - пределы допускаемой относительной погрешности измерений массы брутто нефти, %;
ди; - абсолютная погрешность измерений массовой доли воды в нефти, %;
ДИ7„„ - абсолютная погрешность измерений массовой доли механических примесей в нефти, %;
дил - абсолютная погрешность измерений массовой доли хлористых солей в нефти, %;
Ив - массовая доля воды в нефти, %;
И - массовая доля механических примесей в нефти, %;
ИдС - массовая доля хлористых солей в нефти, %, вычисляемая по формуле
^=0.1' —
Р . (2)
где <рхс - массовая концентрация хлористых солей в нефти определенная в лаборатории по ГОСТ 21534-76, мг/дм3;
р - плотность нефти, измеренная в лаборатории, кг/м3.
Абсолютные погрешности измерений в лаборатории массовой доли воды, механических примесей, хлористых солей определяют в соответствии с ГОСТ 33701-2015.
Для доверительной вероятности Р - 0,95 и двух измерениях соответствующего показателя качества нефти абсолютную погрешность измерений (Д % массы) вычисляют по формуле

где И и г - воспроизводимость и сходимость (повторяемость) метода определения соответствующего показателя качества нефти, значения которых приведены в ГОСТ 2477-2014, ГОСТ 6370-83, ГОСТ 21534-76.
Воспроизводимость метода определения концентрации хлористых солей по ГОСТ 21534-76 принимают равной удвоенному значению сходимости (повторяемости) г, % массы. Значение сходимости (повторяемости) гхс, выраженное по ГОСТ 21534-76 в мг/дм3, переводят в % массы по формуле
(4) где гхс - сходимость (повторяемость) метода по ГОСТ 21534-76, мг/дм3
Значения пределов относительной погрешности измерений массы нетто нефти не должны превышать ±0.35%.
7 Оформление результатов поверки-
7.1 При положительных результатах поверки оформляют свидетельство о поверке СИКН в соответствии с требованиями документа «Порядок проведения поверки средств измерений, требования к знаку поверки и содержанию свидетельства о поверке», утвержденного приказом Минпромторга России № 1815 от 02 07.2015 г. На оборотной стороне свидетельства о поверке системы указывают.
-
- наименование измеряемой среды,
-
- значения пределов относительной погрешности измерений массы брутто нефти:
-
- идентификационные признаки ПО СИКН.
Знак поверки наносится на свидетельство о поверке СИКН.
-
7.2 При отрицательных результатах поверки СИКН к эксплуатации не допускают, свидетельство о поверке аннулируют и выдают извещение о непригодности к применению в соответствии с документом «Порядок проведения поверки средств измерений, требования к знаку поверки и содержанию свидетельства о поверке», утвержденным приказом Минпромторга России № 1815 от 02.07.2015 г.
Приложение А
(рекомендуемое)
Форма протокола подтверждения соответствия ПО СИКН
Лесто проведения поверки:__________________________________________________________________
Наименование СИ:______
Заводской номер СИ:______
Идентификационные данные ПО_______________________________________________________
(наименование ПО)
Идентификационные данные |
Значение, полученное во время поверки СИКН |
Значение,указанное в описании типа СИКН |
Идентификационное наименование ПО | ||
Номер версии (идентификационный номер ПО) | ||
Цифровой идентификатор ПО | ||
Другие идентификационные данные |
Заключение: ПО СИКН соответствует/не соответствует ПО, зафиксированному во время испытаний в целях утверждения типа СИКН.
Должность лица проводившего поверку:
(подпись) (инициалы, фамилия)
Дата поверки: «______» _____________ 20____ г.
8