Методика поверки «ГСОЕИ. Наборы мер толщины стального проката» (ΜΠ 87-261-2020)
Уральский научно-исследовательский институт метрологии - филиал Федерального государственного унитарного предприятия «Всероссийский научно-исследовательский институт метрологии им. Д. И. Менделеева»
(УНИИМ - филиал ФГУП «ВНИИМ им. Д.И. Менделеева»)
УТВЕРЖДАЮ
ГОСУДАРСТВЕННАЯ СИСТЕМА ОБЕСПЕЧЕНИЯ ЕДИНСТВА ИЗМЕРЕНИЙ
НАБОРЫ МЕР ТОЛЩИНЫ СТАЛЬНОГО ПРОКАТА
МЕТОДИКА ПОВЕРКИ
МП 87-261-2020 г. Екатеринбург2020
ПРЕДИСЛОВИЕ
-
1 РАЗРАБОТАНА:
УНИИМ - филиалом ФГУП «ВНИИМ им. Д.И. Менделеева»
-
2 ИСПОЛНИТЕЛИ
Врио зав. отделом 23
Цай И.С.,
Клюшина А.М.
Инженер I категории лаб. 261
-
3 УТВЕРЖДЕНА УНИИМ - филиалом ФГУП «ВНИИМ им. Д.И. Менделеева»
-
4 ВВЕДЕНА ВПЕРВЫЕ
-
-
8.3 Определение абсолютной погрешности измерений толщины мер
-
8.4 Определение отклонения действительного значения толщины мер от номинального
ПРИЛОЖЕНИЕ А (рекомендуемое) Форма протокола поверки
|
Государственная система обеспечения единства измерений. Наборы мер толщины стального проката Методика поверки |
МП 87-261-2020 |
Дата введения в действие «___»______2020 г.
1 ОБЛАСТЬ ПРИМЕНЕНИЯНастоящая методика поверки (далее - МП) распространяется на наборы мер толщины стального проката (далее - наборы мер или меры), изготовленных Thermo Fisher Scientific Messtechnik GmbH, Германия, предназначенных для хранения и передачи единицы длины в области измерений толщины при испытаниях, поверке и калибровке средств измерений толщины стального проката, принцип действия которых основан на радиационном методе.
Настоящая МП устанавливает процедуру первичной и периодической поверок мер.
Интервал между поверками - один год.
2 НОРМАТИВНЫЕ ССЫЛКИВ настоящей МП использованы ссылки на следующие документы:
-
- Приказ Минпромторга РФ от 02.07.2015 г. № 1815 «Об утверждении Порядка проведения поверки средств измерений, требования к знаку поверки и содержанию свидетельства о поверке»;
-
- Государственная поверочная схема для средств измерений длины в диапазоне от 1-Ю’9 до 100 м и длин волн в диапазоне от 0,2 до 50 мкм, утвержденная приказом Федерального агентства по техническому регулированию от 29.12.2018 № 2840.
-
3.1 При проведении поверки набора мер должны выполняться операции согласно таблице 1.
Таблица 1 - Операции поверки
|
Наименование операции |
Номер пункта |
|
Внешний осмотр |
8.1 |
|
Определение действительных значений толщины мер |
8.2 |
|
Определение абсолютной погрешности измерений толщины мер |
8.3 |
|
Определение отклонения действительного значения толщины мер от номинального значения |
8.4 |
-
3.2 Если при выполнении той или иной операции выявлено несоответствие установленным требованиям, поверка приостанавливается, выясняются и устраняются причины несоответствия, после этого повторяется поверка по операции, по которой выявлено несоответствие.
-
3.3 В случае повторного выявления несоответствия установленным требованиям поверку прекращают, выдается извещение о непригодности.
-
4.1 При проведении поверки применяют следующие средства поверки:
-
- рабочий эталон единицы длины 4 разряда по Государственной поверочной схеме для средств измерений длины в диапазоне от Г10'9 до 100 м и длин волн в диапазоне от 0,2 до 50 мкм, утвержденной приказом Федерального агентства по техническому регулированию и метрологии от 29 декабря 2018 г. №2840 (меры длины концевые плоскопараллельные);
-
- оптиметры электронные вертикальные и горизонтальные ИКВэ, ИКГэ, per. №52617-13;
-
- прибор для измерения температуры окружающего воздуха, диапазон измерений температуры от плюс 15 до плюс 25 °C, погрешность измерений температуры не более ± 1 °C;
-
- прибор для определения относительной влажности воздуха, диапазон измерений относительной влажности воздуха от 20 до 80 %, абсолютная погрешность измерений относительной влажности воздуха не более ± 5 %.
-
4.2 При проведении поверки допускается применение не указанных в п. 4.1 средств измерений, обеспечивающих определение метрологических характеристик мер с требуемой точностью.
-
4.3 Эталоны, применяемые для поверки, должны быть поверены, если представлены средствами измерений утвержденного типа, и иметь действующие свидетельства о поверке или аттестованы, если представлены средствами измерений неутвержденного типа, и иметь действующие свидетельства об аттестации, средства измерений - поверены и иметь действующие свидетельства о поверке.
К проведению измерений при поверке допускаются лица из числа специалистов, допущенных к поверке, работающих в организации, аккредитованной на право поверки СИ в соответствующей области, и ознакомившиеся с эксплуатационной документацией на наборы мер и настоящей МП.
6 ТРЕБОВАНИЯ БЕЗОПАСНОСТИПри проведении поверки соблюдают требования по обеспечению безопасности, установленные в организации, занимающейся поверкой. Специальных требований по обеспечению безопасности не предъявляется.
7 УСЛОВИЯ ПОВЕРКИ И ПОДГОТОВКА К НЕЙ-
7.1 Поверку следует проводить при температуре окружающей среды от плюс 15 до плюс 25 °C и относительной влажности воздуха не более 80 %.
-
7.2 Поверяемые меры и средства поверки выдерживают в помещении, где проводится поверка, не менее 3 часов.
-
7.3 Меры протирают чистой сухой салфеткой из мягкой льняной или хлопчатобумажной ткани.
-
8 ПРОВЕДЕНИЕ ПОВЕРКИ
При внешнем осмотре мер устанавливают:
-
- соответствие комплектности набора мер Паспорту;
-
- отсутствие на поверхности мер следов коррозии, царапин, забоин и других дефектов, влияющих на эксплуатационные свойства и внешний вид;
-
- наличие на мерах маркировки с указанием номера меры.
-
8.2.1 Толщину мер определить при помощи оптиметра со сферическим наконечником методом непосредственной оценки или методом сравнения. Метод непосредственной оценки используется для мер толщиной до 0,2 мм включ. Толщину свыше 0,2 мм определить методом сравнения используя меры длины концевые плоскопараллельные. При методе непосредственной оценки используют диапазон показаний (шкала) оптиметра, при методе сравнения используют дополнительно меры длины концевые плоскопараллельные.
-
8.2.2 Толщину мер определить не менее чем в девяти точках, равномерно расположенных на рабочей поверхности меры. Толщину в каждой контролируемой точке измерить один раз.
При определении толщины методом непосредственной оценки поместить меру на стол оптиметра и последовательно подводя каждую контролируемую точку под измерительный наконечник, снять показания по шкале оптиметра.
При определении толщины методом сравнения оптиметр установить в нулевое первоначальное положение по концевой мере, соответствующей номинальной толщине меры. Затем вместо концевой меры на стол оптиметра поместить поверяемую меру и провести измерения.
-
8.2.3 Действительное значение толщины меры Ьд, мм, вычислить по формуле
th,
ha= —
п , (1)
где Ьц - значение толщины j-той меры в i-ой точке, мм;
п - число измерений.
8.3 Определение абсолютной погрешности измерений толщины мер-
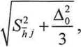
8.3.1 Вычислить среднее квадратическое отклонение среднего арифметического результата измерений толщины S^-, мм, по формуле
(2)
( «(«-!)
-
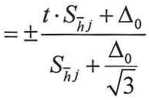
8.3.2 Вычислить абсолютную погрешность измерений толщины меры мм, по формуле


(3)
где t - коэффициент Стьюдента (при я=9 и доверительной вероятности Р=0,95 /=2,306);
До - погрешность эталона, используемого для измерений толщины, мм.
-
8.3.3 Мера считается прошедшей операцию поверки с положительным результатам, если абсолютная погрешность находится в интервале ±0,002 мм.
-
8.4.1 Отклонение действительного значения толщины меры от номинального значения Aj, мм, вычислить по формуле
Ду - hQJ,
(4)
где hOj - номинальное значение толщины j-той меры, мм.
-
8.4.2 Мера считается прошедшей операцию поверки с положительным результатам, если отклонение действительной толщины меры от номинального значения находится в интервале ±0,02 мм.
-
9.1 Результаты поверки оформляют протоколом, форма протокола поверки приведена в приложении А к настоящей МП.
-
9.2 Положительные результаты поверки оформляют согласно Приказу Минпромторга России № 1815 от 02.07.2015 г. выдачей свидетельства о поверке.
Знак поверки наносится на свидетельство о поверке.
-
9.3 Отрицательные результаты поверки оформляют согласно Приказу Минпромторга России № 1815 от 02.07.2015 г. выдачей извещения о непригодности с указанием причин непригодности.
Исполнители:
Врио зав. отделом 23
Инженер I категории лаб.261
И.С. Цай
.М. Клюшина
ПРИЛОЖЕНИЕ А
(рекомендуемое)
Форма протокола поверки
Протокол поверки №____от______20 г.(первичная, периодическая)
(ненужное зачеркнуть)
Наименование и тип Набор мер толщины стального проката
Заводской номер ____________________________________________________________
Изготовитель_________________________________________________________________
Принадлежит ___________________________________________________________
Метрологические характеристики______________________________________________
Номер по Госреестру _______________
Документ на поверку МП 87-261-2020 «ГСИ. Наборы мер толщины стального проката. Методика поверки».
Средства поверки:_____________________________________________________________
Условия проведения поверки: температура окружающей среды ____°C,
относительная влажность воздуха____%
Результаты внешнего осмотра соответствуют, не соответствуют требованиям 8.1 МП.
(ненужное зачеркнуть)
Результаты определения метрологических характеристик
|
№ точки измерения |
Толщина, мм | |||
|
Мера № |
• • • |
... |
Мера № | |
|
1 | ||||
|
■ • • • | ||||
|
9 | ||||
|
Действительное значение толщины мер, мм | ||||
|
Абсолютная погрешность измерений толщины мер, мм | ||||
|
Отклонение действительного значения толщины мер от номинального значения, мм | ||||
Абсолютная погрешность измерений толщины мер соответствуют, не соответствуют требованиям 8.3 МП. (ненужное зачеркнуть)
Отклонение действительного значения толщины мер от номинального значения соответствуют, не соответствуют требованиям 8.4 МП.
(ненужное зачеркнуть)
Заключение по результатам поверкиНабор мер толщины стального проката соответствует, не соответствует требованиям МП. (ненужное зачеркнуть)
Набор мер толщины стального проката поверен в диапазоне измерений, указанном в ОТ.
Организация, проводящая поверку _____________________________
Поверитель ______________ ________________________
(подпись) (инициалы, фамилия)
Дата поверки «_____»_________________20___г.
Выдано свидетельство о поверке (извещение о непригодности)
№______________от «___»______________20___г.
9
