Методика поверки «Газоанализаторы метана "ДЛС-Пергам Сельма"» (МП-242-2011-2017)
Федеральное государственное унитарное предприятие
«Всероссийский научно-исследовательский институт метрологии им. Д.И. Менделеева» ФГУП «ВНИИМ им. Д.И. Менделеева»
УТВЕРЖДАЮ

линский
2017 г.
Ль
Директор енделеева"

Государственная система обеспечения единства измерений
Газоанализаторы метана «ДЛС-Пергам Сельма» Методика поверки МП-242-2011-2017
Заместитель руководителя научно-исследовательского отдела - государственных эталонов в области Ли с ических измерений


ИИ

й>1. Д.И. Менделеева" ______А.В. Колобова "10" апреля 2017 г.
f у Разработал
руководитель НИЛ 2422 / Т.Б. Соколов
г. Санкт-Петербург 2017 г.
Настоящая методика поверки распространяется на газоанализаторы метана «ДЛС-Пергам Сельма», выпускаемые ОАО «Пергам-Инжиниринг», г. Москва, и устанавливает методы их первичной поверки до ввода в эксплуатацию и после ремонта, и периодической поверки в процессе эксплуатации.
Интервал между поверками - один год.
1 Операции поверки1.1 При проведении поверки должны бьггь выполнены операции, указанные в таблице 1. Таблица 1 - Операции поверки
Наименование операции |
Номер пункта методики поверки |
Обязательность проведения | |
при первичной поверке |
при периодической поверке | ||
1 Внешний осмотр |
6.1 |
да |
да |
2 Опробование |
6.2 |
да |
да |
3 Подтверждение соответствия программного обеспечения |
6.3 |
да |
да |
4 Определение метрологических характеристик |
6.4 | ||
4.1 Определение основной погрешности |
6.4.1 |
да |
да |
4.2 Определение вариации показаний |
6.4.2 |
да |
нет |
4.3 Определение времени установления показаний |
6.4.3 |
да |
да |
-
1.2 Если при проведении той или иной операции получен отрицательный результат, дальнейшая поверка прекращается.
-
2.1 При проведении поверки применяют средства, указанные в таблице 2.
Таблица 2 - Средства поверки
Номер пункта методики поверки |
Наименование эталонного средства измерений или вспомогательного средства поверки, номер документа, регламентирующего технические требования к средству, основные метрологические и технические характеристики |
6 |
Термометр ртутный стеклянный лабораторный ТЛ-4, ТУ 25-2021.003-88, ГОСТ 28498-90, диапазон измерений от 0 до 55 °C, цена деления 0,1 °C, погрешность ± 0,2 °C |
Секундомер механический СОПпр, ТУ 25-1894.003-90, класс точности 2 | |
Барометр-анероид контрольный М-67 ТУ 2504-1797-75, диапазон измерений давления от 610 до 790 мм рт.ст., погрешность ±0,8 мм рт.ст. | |
Психрометр аспирационный М-34-М, ТУ 52.07-(ГРПИ.405 132.001)-92, диапазон относительной влажности от 10 до 100 % при температуре от 5 до 40°C | |
6.4 |
Ротаметр РМ-0,63 ГУЗ, ГОСТ 13045-81, верхняя граница диапазона измерений объемного расхода 0,63 м3/ч, пределы допускаемой основной приведенной погрешности ±2,5 % * |
Вентиль точной регулировки ВТР-1 (или ВТР-1-М160), диапазон рабочего давления (0-150) кгс/см2, диаметр условного прохода 3 мм * | |
Редуктор баллонный кислородный одноступенчатый БКО-50-4 по ТУ 3645-026-00220531-95 * | |
Трубка медицинская поливинилхлоридная (ПВХ) по ТУ6-01-2-120-73, 6><1,5 мм * | |
Стандартные образцы газовых смесей состава метан-воздух (ГСО 10540-2014) в баллонах под давлением (характеристики приведены в Приложении А) |
-
2.2 Все средства измерений, кроме отмеченных знаком «*» в таблице 2, должны иметь действующие свидетельства о поверке, стандартные образцы состава в баллонах под давлением -действующие паспорта.
-
2.3 Допускается использование других средств поверки, обеспечивающих определение метрологических характеристик газоанализаторов с требуемой точностью Ч
-
3.1 Помещение, в котором проводят поверку, должно быть оборудовано приточновытяжной вентиляцией. Не допускается сбрасывать ГС в атмосферу рабочих помещений.
-
3.2 Содержание вредных компонентов в воздухе рабочей зоны должно соответствовать требованиям ГОСТ 12.1.005-88.
-
3.3 Должны выполняться требования техники безопасности для защиты персонала от поражения электрическим током согласно классу I ГОСТ 12.2.007.0-75.
-
3.4 Требования техники безопасности при эксплуатации ГС в баллонах под давлением должны соответствовать федеральным нормам и правилам в области промышленной безопасности "Правила промышленной безопасности опасных производственных объектов, на которых используется оборудование, работающее под избыточным давлением" (утверждены приказом Ростехнадзора № 116 от 25.03.2014 г.).
-
4.1 При проведении поверки должны соблюдаться следующие условия:
-
- температура окружающей среды, °C 20 ± 5;
-
- диапазон относительной влажности окружающей среды, % от 30 до 80;
-
- атмосферное давление, кПа 101,3 ± 4,0,
мм рт.ст. 760 ± 30;
-
- расход ГС (если не указано иное), дм3/мин - 6,0 ±0,5;
-
- механические воздействия, внешние электрические и магнитные поля (кроме поля Земли), влияющие на метрологические характеристики, должны быть исключены.
5 Подготовка к поверке-
5.1 Выполнить мероприятия по обеспечению условий безопасности.
-
5.2 Проверить наличие паспортов и сроки годности ГС в баллонах под давлением.
-
5.3 Баллоны с ГС выдержать при температуре поверки не менее 24 ч.
-
5.4 Выдержать газоанализатор и средства поверки при температуре поверки в течение не менее 4 ч.
-
5.5 Подготовить поверяемый газоанализатор и эталонные средства измерений к работе в соответствии с эксплуатационной документацией.
-
5.6 Рекомендуемая схема подачи ГС на газоанализатор приведена на рисунке 1.
’Допускается использование стандартных образцов состава газовых смесей (ГС), не указанных в настоящей методики поверки, при выполнении следующих условий:
-
- номинальное значение и пределы допускаемого отклонения содержания определяемого компонента в ГС должны соответствовать указанному для соответствующей ГС из приложения А;
-
- отношение погрешности, с которой устанавливается содержание компонента в ГС к пределу допускаемой основной погрешности поверяемого газоанализатора, должно быть не более 1/3.
4
Сброс

1 - баллон с ГС; 2 - редуктор баллонный; 3 - вентиль точной регулировки трассовый; 4 - индикатор расхода (ротаметр); 5 - оптический блок газоанализатора.
Примечания
-
1) При подаче ГС от баллонов под давлением допускается использовать вместо поз. 2 и 3 вентиль точной регулировки трассовый ВТР-1 (или ВТР-1-М160) или аналогичный.
-
2) Насосный агрегат газоанализатора должен быть выключен.
Рисунок 1 - Рекомендуемая схема подачи ГС на оптический блок газоанализатора
от баллонов под давлением
6 Проведение поверки-
6.1 Внешний осмотр
-
6.1.1 При внешнем осмотре устанавливают соответствие газоанализатора следующим требованиям:
-
- соответствие комплектности (при первичной поверке) требованиям раздела 3 руководства по эксплуатации;
-
- соответствие маркировки требованиям раздела 6 руководства по эксплуатации;
-
- газоанализатор не должен иметь повреждений, влияющих на работоспособность.
-
6.1.2 Газоанализатор считают выдержавшим внешний осмотр, если он соответствует указанным выше требованиям.
-
6.2 Опробование
-
6.2.1 При опробовании проверяют общее функционирование газоанализатора при включении электрического питания согласно требованиям раздела 12 руководства по эксплуатации.
По окончанию времени прогрева газоанализатор переходит в режим измерений.
-
6.2.2 Подключить ротаметр на выход насосного агрегата, включить насосный агрегат, зафиксировать значение расхода анализируемой газовой смеси.
-
6.2.3 Результат опробования считают положительным, если:
-
- органы управления газоанализатора функционируют;
-
- во время тестирования отсутствуют сообщения об отказах;
-
- после окончания времени прогрева газоанализатор переходит в режим измерений (на дисплее отображается измерительная информация);
-
- значение расхода анализируемой среды, обеспечиваемое насосным агрегатом равно (6,0±0,5) дм3/мин.
-
6.3 Подтверждение соответствия программного обеспечения
Для проверки соответствия ПО выполняют следующие операции:
-
- проводят визуализацию идентификационных данных ПО газоанализатора (номер версии встроенного ПО отображается при просмотре свойств файла «GLD Bumper MPS.exe» средствами ОС Microsoft Windows, значение контрольной суммы можно получить, воспользовавшись свободно распространяемым ПО, реализующим алгоритм MD5, например «MD5summer» (http://www.md5summer.org));
-
- сравнивают полученные данные с идентификационными данными, установленными при проведении испытаний для целей утверждения типа и указанными в Описании типа газоанализаторов (приложение к Свидетельству об утверждении типа).
Результат подтверждения соответствия ПО считают положительным, если идентификационные данные соответствуют указанным в Описании типа газоанализаторов (приложение к Свидетельству об утверждении типа).
-
6.4 Определение метрологических характеристик
-
6.4.1 Определение основной погрешности газоанализатора
-
6.4.1.1 Определение основной абсолютной погрешности газоанализатора проводят по схеме рисунка 1 в следующем порядке:
-
1) Подают на вход газоанализатора ГС (Приложение А) в последовательности:
-
- №№ 1-2-3-2-1-3 - при первичной поверке;
-
- №№ 1 - 2 - 3 - при периодической поверке.
Расход ГС устанавливают равным (6,0±0,5) дм3/мин, время подачи каждой ГС не менее 30 с, насосный агрегат газоанализатора должен быть выключен.
-
2) Фиксируют установившиеся показания газоанализатора при подаче каждой ГС;
-
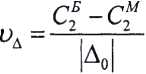
3) Значение основной абсолютной погрешности газоанализатора в i-ой точке , объемная доля метана, млн'1, находят по формуле
(1)
где Q - установившиеся показания газоанализатора в i-ой точке поверки, объемная доля метана, млн'1;
С° - действительное значение содержания метана в i-ой ГС, объемная доля, млн'1.
Результат определения основной абсолютной погрешности считают положительным, если значения основной абсолютной погрешности во всех точках поверки не превышают ±(0,1 + 0,09 Свх) млн'1, где Свх - объемная доля метана на входе газоанализатора, млн'1
-
6.4.2 Определение вариации показаний газоанализатора
Определение вариации показаний газоанализатора допускается проводить одновременно с определением основной погрешности по п. 6.4.1 при подаче ГС № 2.
Вариацию показаний, Рд, в долях от пределов допускаемой основной абсолютной погрешности, для диапазонов измерений, для которых нормированы пределы допускаемой основной абсолютной погрешности, рассчитывают по формуле

(2)
где Cf, - результат измерений содержания определяемого компонента при подходе к
точке поверки 2 со стороны больших и меньших значений, объемная доля метана, млн'1;
- пределы допускаемой основной абсолютной погрешности поверяемого газоанализатора, объемная доля метана, млн'1.
Результат считают положительным, если полученное значение вариации показаний газоанализатора не превышает 0,2 в долях от пределов допускаемой основной погрешности.
-
6.4.3 Определение времени установления показаний
Определение времени установления показаний допускается проводить одновременно с определением основной абсолютной погрешности по п.6.4.1 при подаче ГС №1 и ГС № 3 в следующем порядке:
-
1) Подают на газоанализатор ГС№3, зафиксировать установившееся значение показаний поверяемого измерительного канала газоанализатора.
-
2) Рассчитывают значение, равное 0,9 от показаний газоанализатора, полученных в п. 1);
-
3) Подают на газоанализатор ГС № 1, дожидаются установления показаний газоанализатора (отклонение показаний от нулевых не должно превышать 0,5 в долях от пределов допускаемой основной абсолютной погрешности), затем, не подавая ГС на газоанализатор продувают газовую линию ГС № 3 в течение не менее 1 мин., подают ГС на газоанализатор и включают секундомер. Фиксируют время достижения показаниями газоанализатора значения, рассчитанного на предыдущем шаге.
Результат считают положительным, если время установления показаний по уровню 0,9 не превышает 1 с.
7 Оформление результатов поверки-
7.1 При проведении поверки оформляют протокол результатов поверки произвольной формы.
-
7.2 Результатом поверки является подтверждение пригодности средства измерений к применению или признание средства измерений непригодным к применению. Если газоанализатор по результатам поверки признан пригодным к применению, то на него или техническую документацию наносится оттиск поверительного клейма или выдается свидетельство о поверке установленной формы. На оборотной стороне свидетельства о поверке указывают:
-
- перечень эталонов, с помощью которых произведена поверка газоанализатора;
-
- перечень влияющих факторов с указанием их значений;
-
- метрологические характеристики газоанализатора;
-
- указание на наличие Приложения — протокола поверки (при его наличии);
-
- дату поверки;
-
- наименование подразделения, выполнявшего поверку.
Свидетельство о поверке должно быть подписано:
На лицевой стороне:
-
- руководителем подразделения, производившего поверку,
-
- поверителем, производившим поверку;
На оборотной стороне:
-
- руководителем подразделения, производившего проверку (не обязательно),
-
- поверителем, производившим поверку.
-
7.3 Если газоанализатор по результатам поверки признан непригодным к применению, оттиск поверительного клейма гасится, свидетельство о поверке аннулируется, выписывается извещение о непригодности установленной формы.
Приложение А
(обязательное)
Технические характеристики ГС, необходимых для проведения поверки газоанализаторов
Таблица А.1
Определяемый компонент |
Диапазон измерений объ-емной доли определяемого компонента |
Номинальное значение объемной доли определяемого компонента в ГС, пределы допускаемого отклонения |
Погрешность аттестации |
Номер ГС по реестру ГСО или источник ГС | ||
ГС№1 |
ГС №2 |
ГС№3 | ||||
Метан (СН4) |
от 0,1 до 100 млн’1 |
0,001 % ± 30 % отн. |
±4 % отн. |
ГСО 10540-2014 | ||
0,005 % ± 20 % отн. |
0,0090 % ± 20 % отн. |
±3 % отн. |
ГСО 10540-2014 |
Примечание - изготовители и поставщики ГС - предприятия-производители стандартных образцов состава газовых смесей, прослеживаемых к государственному первичному эталону единиц моляр-ной доли и массовой концентрации компонентов в газовых средах ТЭТ 154-2011.
8