Методика поверки «Навигационная аппаратура потребителей ГНСС STONEX S411» (МП АПМ 04-18)
УТВЕРЖДАЮ
Генеральный директор ООО «Автопрогресс-М»
Навигационная аппаратура потребителей ГНСС STONEX S4II
Методика поверки
МП АПМ 04-18 г. Москва
2018 г.
Настоящая методика поверки распространяется на навигационную аппаратуру потребителей ГНСС STONEX S4II (далее - аппаратура), производства «Stonex Sri.». Италия и устанавливает методику её первичной и периодической поверки.
Интервал между поверками - 1 год.
1 Операции поверкиПри проведении поверки должны выполняться операции, указанные в таблице 1.
Таблица 1.
|
№№ пункта |
Наименование операции |
Проведение операций при | |
|
Первичной поверке |
периодической поверке | ||
|
7.1 |
Внешний осмотр |
Да |
Да |
|
7.2 |
Опробование |
Да |
Да |
|
7.3 |
Определение абсолютной и средней квадратической погрешностей измерений длины базиса в режиме «Дифференциальные кодовые измерения (dGNSS)» |
Да |
Да |
2 Средства поверки
При проведении поверки должны применяться эталоны, приведённые в таблице 2. Таблица 2.
|
№ пункта документа по поверке |
Наименование эталонов и их основные метрологические и технические характеристики |
|
7.1 |
Эталоны не применяются |
|
7.2 |
Эталоны не применяются |
|
7.3 |
Тахеометр электронный 1-го разряда по ГОСТ Р 8.750-2011; Эталонный линейный базис по ГОСТ 8.503; Рулетка РЗНЗК по ГОСТ 7502-98. |
Допускается применять другие средства поверки, обеспечивающие определение метрологических характеристик с точностью, удовлетворяющей требованиям настоящей методики поверки.
3 Требования к квалификации поверителейК проведению поверки допускаются лица, изучившие эксплуатационные документы на аппаратуру, имеющие достаточные знания и опыт работы с ней.
4 Требования безопасностиПри проведении поверки, меры безопасности должны соответствовать требованиям по технике безопасности согласно эксплуатационной документации на аппаратуру, поверочное оборудование, правилам по технике безопасности, которые действуют на месте проведения поверки и правилам по технике безопасности при производстве топографо-геодезических работ ПТБ-88 (Утверждены коллегией ГУГК при СМ СССР 09.02.1989 г.. № 2/21).
5 Условия проведения поверкиПри проведении поверки в должны соблюдаться следующие нормальные условия измерений:
-
- температура окружающей среды, °C....................................... (20±5)
-
- относительная влажность воздуха. %...................................... не более 80
-
- атмосферное давление, кПа (мм рт. ст.)...............................84,0.. 106,7 (630..800)
- изменение температуры окружающей среды во время измерений, °С/ч ....не более 2 Полевые измерения (измерения на открытом воздухе) должны проводиться при отсутствии осадков, порывов ветра и при температуре окружающей среды в диапазоне от -30 до +60 °C
6 Подготовка к поверкеПеред проведением поверки должны быть выполнены следующие подготовительные работы:
-
- проверить наличие действующих свидетельств о поверке на средства поверки:
-
- аппаратуру и средства поверки привести в рабочее состояние в соответствии с её эксплуатационной документацией:
-
- аппаратура должна быть установлена на специальных основаниях (фундаментах) или штативах, не подвергающихся механическим (вибрация, деформация, сдвиги) и температурным воздействиям.
-
7 Проведение поверки
При внешнем осмотре должно быть установлено соответствие аппаратуры следующим требованиям:
-
- отсутствие коррозии, механических повреждений и других дефектов, влияющих на эксплуатационные и метрологические характеристики аппаратуры;
-
- наличие маркировки и комплектности согласно требованиям эксплуатационной документации на аппаратуру.
При опробовании должно быть установлено соответствие аппаратуры следующим требованиям:
-
- отсутствие качки и смещений неподвижно соединённых деталей и элементов аппаратуры;
-
- правильность взаимодействия с комплектом принадлежностей:
-
- работоспособность всех функциональных режимов;
-
- идентификационные данные программного обеспечения (далее - ПО) должны
соответствовать данным, приведённым в таблице 3.
Таблица 3 - Идентификационные данные программного обеспечения
|
Идентификационное наименование ПО |
Stonex Cubo |
|
Помер версии (идентификационный номер ПО), не ниже |
v.3 |
Для идентификации ПО «Stonex СиЬо», установленного на контроллере, следует запустить ПО — номер версии высвечивается при запуске программы. В качестве альтернативного варианта идентификации ПО в главном меню ПО необходимо нажать кнопку «Детали», затем выбрать пункт «О программе».
7.3 Определение абсолютной и средней квадратической погрешностей измерений длины базиса в режиме «Дифференциальные кодовые измерения (dGPS)»Абсолютная и средняя квадратическая погрешности измерений длины базиса в режиме «Дифференциальные кодовые измерения (dGPS)» определяется не менее чем 10-и кратным измерением контрольной длины базиса, действительное значения которой расположено в диапазоне от 0.1 до 3.0 км и определено электронным тахеометром 1 разряда по ГОСТ Р 8.7502011.
Установить поверяемую аппаратуру над центрами пунктов базиса и привести её спутниковые антенны к горизонтальной плоскости.
В качестве базовой станции использовать средство фазовых измерений приращения координат по сигналам ГНСС в диапазоне от 1 до 50 км с пределом абсолютной погрешности измерений приращений координат (при доверительной вероятности 0.95) не более ± 2 • (S+TIO^-D) мм, где D - измеряемое расстояние в мм.
Измерить высоту установки антенн аппаратуры с помощью рулетки.
Включить базовую станцию и настроить её на передачу дифференциальных кодовых поправок в необходимом формате.
Включить аппаратуру и настроить её на сбор данных (измерений) в соответствующем режиме измерений согласно требования руководства по эксплуатации.
Убедиться в правильности функционирования и отсутствии помех приёму сигнала со спутников.
Провести измерение на поверяемой аппаратуре при условиях, указанных в таблице 4 настоящей методики. Между каждым измерением аппаратуру необходимо снять с пункта и, не выключая её, пройти с ней не менее 50 метров вокруг и снова установить на пункт. Повторить измерения не менее 10 раз.
Выключить аппаратуру согласно требованиям руководства по эксплуатации.
Ещё раз измерить эталонным тахеометром длину базиса. Результат измерений не должен отличаться от значения Ео, полученного до начата съёмки аппаратурой, более чем на величину погрешности, приписанную эталонному тахеометру. В случае если измеренная длина базиса отличается от значения Ео, полученного до начата съёмки аппаратурой, более чем на величину погрешности, приписанную эталонному тахеометру, повторить съёмку аппаратурой заново.
Абсолютная погрешность измерений длины базиса (при доверительной вероятности 0.95) определяется как сумма систематической и случайной погрешностей по формуле:
Z4
А/, = (——
л

(1)
где
AL - погрешность измерений длины базиса в плане/по высоте, мм;
Е:) - эталонное значение длины базиса в плане/по высоте, мм;
Д. - измеренное аппаратурой значение длины базиса i измерением в плане/по высоте, мм:
п - число измерений длины базиса.
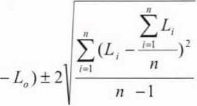
Средняя квадратическая погрешность измерений длины базиса определяется по формуле:

(2)
В качестве альтернативного метода вместо поправок, передаваемых мобильной базовой станцией, можно использовать поправки от сети постояннодействующих базовых станций. При этом необходимо использовать не менее трёх пунктов, длины базисов между которыми расположены в диапазоне от 0.1 до 3.0 км и определено электронным тахеометром 1 разряда по ГОСТ Р 8.750-2011.
Установить поверяемую аппаратуру над центром пункта и привести к горизонтальной плоскости. Измерить высоту7 установки антенны аппаратуры с помощью рулетки.
Включить аппаратуру и настроить её на сбор данных (измерений) в соответствующем режиме измерений согласно требования руководства по эксплуатации.
Убедиться в правильности функционирования и отсутствии помех приёму сигнала со спутников.
Провести измерение на поверяемой аппаратуре при условиях, указанных в таблице 4 настоящей методики. Между каждым измерением аппаратуру необходимо снять с пункта и, не выключая её, пройти с ней не менее 50 метров вокруг и снова установить на пункт. Повторить измерения не менее 10 раз на каждом пункте.
Выключить аппаратуру согласно требованиям руководства по эксплуатации.
Ещё раз измерить эталонным тахеометром длину базиса. Результат измерений не должен отличаться от значения Ео, полученного до начала съёмки аппаратурой, более чем на величину погрешности, приписанную эталонному тахеометру. В случае если измеренная длина базиса отличается от значения Lo, полученного до начала съёмки аппаратурой, более чем на величину погрешности, приписанную эталонному тахеометру, повторить съёмку аппаратурой заново.
Провести постобработку7 данных, полученных из наблюдений аппаратурой и вычислить длины контрольных базисов между' пунктами.
Абсолютная погрешность измерений длины базиса (при доверительной вероятности 0.95) определяется как сумма систематической и случайной погрешностей по формуле (1) Средняя квадратическая погрешность измерений длины базиса определяется по формуле (2) Значения абсолютной погрешности (при доверительной вероятности 0.95) и средней квадратической погрешности измерений длины базиса в режиме «Дифференциальные кодовые измерения (dGNSS)» должны соответствовать значениям, приведённым в Приложении 1 к настоящей методике поверки.
Таблица 4
|
Режим измерений |
Кол-во спутников, шт |
Время измерений, мин |
Интервал между эпохами, с |
|
Дифференциальные кодовые измерения (dGPS)» |
>6 |
0.05-0.20 |
1 |
Поверка проводится при устойчивом закреплении аппаратуры над пунктами, открытом небосводе, отсутствии электромагнитных помех и многолучевого распространения сигналов спутников, а также при хорошей конфигурации спутниковых группировок.
8 Оформление результатов поверки-
8.1 Результаты поверки оформляются протоколом, составленным в виде сводной таблицы результатов поверки по каждому пункту раздела 8 настоящей методики поверки с указанием числовых значений результатов измерений и их оценки по сравнению с допускаемыми значениями.
Рекомендуемый образец протокола поверки приведён в Приложении 2.
-
8.2 При положительных результатах поверки аппаратура признается годной к применению, и на неё выдаётся свидетельство о поверке установленной формы с указанием фактических результатов определения метрологических характеристик. Знак поверки наносится на свидетельство о поверке в виде наклейки, и (или) оттиска поверительного клейма.
-
8.3 При отрицательных результатах поверки аппаратура признается непригодной к применению, и на неё выдаётся извещение о непригодности установленной формы с указанием основных причин.
Руководитель отдела ООО «Автопрогресс - М»
К.А. Ревин
Приложение 1 (обязательное)
Метрологические характеристики
|
Наименование характеристики |
Значение |
|
Границы допускаемой абсолютной погрешности измерений длины базиса1) (при доверительной вероятности 0,95), мм, в режимах: - «Дифференциальные кодовые измерения (dGPS)»:
|
±2-1000 ±2-1500 |
|
Допускаемая средняя квадратическая погрешность измерений длины базиса1), мм, в режимах: - «Дифференциальные кодовые измерения (dGPS)»:
|
1000 1500 |
ПРОТОКОЛ №____________
Тип прибора:_______, заводской номер:_________, Условия поверки:_________
Методика поверки:
Средства поверки_____________________
Наименование средств поверки, основные метрологические характеристики
Внешний осмотр:
|
№ |
Наименование операции |
Результаты поверки |
|
1. |
Проверка наличия правильной маркировки на приборе и футляре | |
|
2. |
Проверка комплектности | |
|
3. |
Проверка отсутствия (наличия) механических повреждений | |
|
4. |
Проверка отсутствия (наличия) коррозии |
Опробование:
|
№ |
Наименование операции |
Результаты поверки |
|
1. |
отсутствие качки и смещений неподвижно соединённых деталей и элементов аппаратуры | |
|
2. |
правильность взаимодействия с комплектом принадлежностей | |
|
3. |
работоспособность всех функциональных режимов | |
|
4. |
наименование ПО, номер его версии |
Результаты поверки в режиме «Дифференциальные кодовые измерения (dGPS)»
|
Измерение длины базиса | ||||||
|
№ изм. |
Значение длины базиса в плане, мм |
Результат измерений длины базиса в плане, мм |
Погрешность измерений длины базиса в плане, мм |
Значение длины базиса по высоте, мм |
Результат измерений длины базиса по высоте, мм |
Погрешность измерений длины базиса по высоте, мм |
|
1 | ||||||
|
2 | ||||||
|
3 | ||||||
|
4 | ||||||
|
5 | ||||||
|
6 | ||||||
|
7 | ||||||
|
8 | ||||||
|
9 | ||||||
|
10 | ||||||
|
Среднее значение |
- |
Среднее значение |
- | |||
|
Сист.составляющая |
- |
Сист. составляющая |
- | |||
|
Случ. составляющая (2с>) |
- |
Случ. составляющая (2о) |
- | |||
|
Абсолютная погрешность, мм |
- |
Абсолютная погрешность, мм |
- | |||
|
Заявляемое значение абс. погреш., не более, мм |
- |
Заявляемое значение абс. погреш., не более, мм |
- | |||
|
СКП, мм |
- |
СКП, мм |
- | |||
|
Заявляемое значение СКП, не более, мм |
- |
Заявляемое значение СКП, не более, мм |
- | |||
(должность)
(подпись)
(расшифровка подписи)
