Методика поверки «Система измерительная объема и массы воды из сети ПАО "НКНХ" поз. 097 цеха №04 ЗБ ОАО "ТАИФ-НК"» (МП 1602/2-311229-2018)

Регистрационный номер записи в реестре аккредитованных лиц RA.RU.311229
Технически “
ООО
■ «ст
«УТВЕРЖДАЮ»
ректор ологии «СТП»
И.А. Яценко
2018 г.

Государственная система обеспечения единства измерений
Система измерительная объема и массы воды из сети ПАО «НКНХ» поз. 097 цеха № 04 ЗБ ОАО «ТАИФ-НК»
МЕТОДИКА ПОВЕРКИ
МП 1602/2-311229-2018
г. Казань
2018
Содержание
1 ВВЕДЕНИЕ
-
1.1 Настоящая методика поверки распространяется на систему измерительную объема и массы воды из сети ПАО «НКНХ» поз. 097 цеха № 04 ЗБ ОАО «ТАИФ-НК» (далее - ИС), заводской № 097, изготовленную и принадлежащую ЗБ ОАО «ТАИФ-НК», г. Нижнекамск, и устанавливает методику первичной поверки до ввода в эксплуатацию и после ремонта, а также методику периодической поверки в процессе эксплуатации.
-
1.2 ИС предназначена для измерений объемного расхода (объема) и массового расхода (массы) воды.
-
1.3 Допускается проводить поверку ИС в меньшем диапазоне измерений на основании письменного заявления владельца ИС с соответствующим занесением диапазонов измерений в свидетельство о поверке
-
1.4 Интервал между поверками ИС - 2 года.
2 ОПЕРАЦИИ ПОВЕРКИ
При проведении поверки должны быть выполнены следующие операции:
-
- проверка технической документации (пункт 7.1);
-
- внешний осмотр (пункт 7.2);
-
- опробование (пункт 7.3);
-
- определение метрологических характеристик (пункт 7.4);
-
- оформление результатов поверки (пункт 8).
3 СРЕДСТВА ПОВЕРКИ
-
3.1 При проведении поверки ИС применяют эталоны и средства измерений (далее - СИ), приведенные в таблице 3.1.
Таблица 3.1 - Основные эталоны и СИ
|
Номер пункта методики |
Наименование и тип основного и вспомогательного средства поверки и метрологические и основные технические характеристики средства поверки |
|
5 |
Барометр-анероид М-67 с пределами измерений от 610 до 790 мм рт.ст., погрешность измерений ±0,8 мм рт.ст., по ТУ 2504-1797-75 |
|
5 |
Психрометр аспирационный М34, пределы измерений влажности от 10 до 100 %, погрешность измерений ±5 % |
|
5 |
Термометр ртутный стеклянный ТЛ-4 (№ 2) с пределами измерений от 0 до плюс 55 °C по ГОСТ 28498-90. Цена деления шкалы 0,1 °C |
|
7.4 |
Калибратор многофункциональный MC5-R-IS (далее - калибратор): диапазон воспроизведения силы постоянного тока от 0 до 25 мА, пределы допускаемой основной погрешности воспроизведения ±(0,02 % показания + 1 мкА) |
-
3.2 Допускается применение аналогичных средств поверки, обеспечивающих определение метрологических характеристик ИС с требуемой точностью.
-
3.3 Все применяемые эталоны должны быть аттестованы; СИ должны иметь действующий знак поверки и (или) свидетельство о поверке и (или) запись в паспорте (формуляре) СИ, заверенную подписью поверителя и знаком поверки.
4 ТРЕБОВАНИЯ ТЕХНИКИ БЕЗОПАСНОСТИ И ТРЕБОВАНИЯ К КВАЛИФИКАЦИИ ПОВЕРИТЕЛЕЙ
-
4.1 При проведении поверки должны соблюдаться следующие требования:
- корпуса применяемых СИ должны быть заземлены в соответствии с их эксплуатационной документацией;
-
- ко всем используемым СИ должен быть обеспечен свободный доступ для заземления, настройки и измерений;
-
- работы по соединению вспомогательных устройств должны выполняться до подключения к сети питания;
-
- обеспечивающие безопасность труда, производственную санитарию и охрану окружающей среды;
-
- предусмотренные «Правилами технической эксплуатации электроустановок потребителей» и эксплуатационной документацией оборудования, его компонентов и применяемых средств поверки.
-
4.2 К работе по поверке должны допускаться лица:
-
- достигшие 18-летнего возраста;
-
- прошедшие инструктаж по технике безопасности в установленном порядке;
-
- изучившие эксплуатационную документацию на ИС, СИ, входящие в состав ИС, и средства поверки.
5 УСЛОВИЯ ПОВЕРКИ
При проведении поверки должны соблюдаться следующие условия:
-
- температура окружающего воздуха, °C (20±5)
-
- относительная влажность, % от 30 до 80
-
- атмосферное давление, кПа от 84 до 106
6 ПОДГОТОВКА К ПОВЕРКЕ
Перед проведением поверки выполняют следующие подготовительные операции:
-
- проверяют заземление СИ, работающих под напряжением;
-
- эталонные СИ и вторичные измерительные преобразователи ИС устанавливают в рабочее положение с соблюдением указаний эксплуатационной документации;
-
- эталонные СИ и вторичные измерительные преобразователи ИС выдерживают при температуре, указанной в разделе 5, не менее трех часов, если время их выдержки не указано в эксплуатационной документации;
-
- осуществляют соединение и подготовку к проведению измерений эталонных СИ и вторичных измерительных преобразователей ИС в соответствии с требованиями эксплуатационной документации.
7 ПРОВЕДЕНИЕ ПОВЕРКИ
7.1 Проверка технической документации
-
7.1.1 При проведении проверки технической документации проверяют:
-
- наличие руководства по эксплуатации на ИС;
-
- наличие паспорта на ИС;
-
- наличие действующих свидетельств о поверке СИ, входящих в состав ИС;
-
- наличие действующего свидетельства о предыдущей поверке ИС (при периодической поверке).
-
7.1.2 Результаты проверки считают положительными при наличии всей документации по 7.1.1.
7.2 Внешний осмотр
-
7.2.1 При проведении внешнего осмотра ИС контролируют выполнение требований технической документации к монтажу СИ, измерительно-вычислительных и связующих компонентов ИС, проверяют отсутствие механических повреждений СИ, четкость надписей и обозначений.
-
7.2.2 При проведении внешнего осмотра ИС устанавливают состав и комплектность ИС. Проверку выполняют на основании сведений, содержащихся в паспорте на ИС. При этом контролируют соответствие типа СИ, указанного в паспортах на СИ, записям в паспорте на ИС.
-
7.2.3 Результаты проверки считают положительными, если монтаж СИ, измерительновычислительных и связующих компонентов ИС, внешний вид и комплектность ИС соответствуют требованиям технической документации, отсутствуют механические повреждения СИ, надписи и обозначения четкие.
-
7.3 Опробование
7.3.1 Проверка идентификационных данных программного обеспечения
-
7.3.1.1 Подлинность программного обеспечения (далее - ПО) ИС проверяют сравнением идентификационных данных ПО ИС с соответствующими идентификационными данными, зафиксированными при испытаниях в целях утверждения типа и отраженными в описании типа ИС. Проверку идентификационных данных ПО ИС проводят в соответствии с эксплуатационной документацией на ИС.
-
7.3.1.2 Проверяют возможность несанкционированного доступа к ПО ИС и наличие авторизации (введение пароля), возможность обхода авторизации, проверка реакции ПО ИС на неоднократный ввод неправильного пароля.
-
7.3.1.3 Результаты опробования считают положительными, если идентификационные данные ПО (номер версии) ИС совпадают с исходными, указанными в описании типа на ИС, исключается возможность несанкционированного доступа к ПО ИС, обеспечивается авторизация.
7.3.2 Проверка работоспособности
-
7.3.2.1 Приводят ИС в рабочее состояние в соответствии с эксплуатационной документацией. Проверяют прохождение сигналов калибратора, имитирующих входные сигналы ИС. Проверяют на мониторе автоматизированного рабочего места (далее - АРМ) оператора ИС показания по регистрируемым в соответствии с конфигурацией ИС параметрам технологического процесса.
-
7.3.2.2 Результаты опробования считают положительными, если при увеличении и уменьшении значения входного сигнала ИС соответствующим образом изменяются значения измеряемой величины на мониторе АРМ оператора ИС.
Примечание - Допускается проводить проверку работоспособности ИС одновременно с определением метрологических характеристик по пункту 7.4 данной методики поверки.
-
7.4 Определение метрологических характеристик
7.4.1 Определение приведенной погрешности преобразования входного аналогового сигнала силы постоянного тока (от 4 до 20 мА) в значение измеряемого параметра
-
7.4.1.1 Отключают первичный измерительный преобразователь измерительного канала и к соответствующему каналу подключают калибратор, установленный в режим имитации сигналов силы постоянного тока (от 4 до 20 мА), в соответствии с инструкцией по эксплуатации.
-
7.4.1.2 С помощью калибратора устанавливают электрический сигнал силы постоянного тока. В качестве реперных точек принимают точки 4; 8; 12; 16; 20 мА.
-
7.4.1.3 Считывают значения входного сигнала с монитора АРМ оператора ИС и в каждой реперной точке рассчитывают приведенную погрешность У[, %, по формуле
1о
где 1^ - значение тока, соответствующее показанию измеряемого параметра ИС в
z-ой реперной точке, мА;
1ЭТ _ показание калибратора в z-ой реперной точке, мА.
-
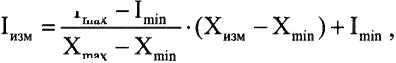
7.4.1.4 Если показания ИС можно просмотреть только в единицах измеряемой величины, то при линейной функции преобразования значение тока 1гам, мА, рассчитывают по формуле
max
max
(2)
где I - максимальное значение границы диапазона аналогового сигнала силы
постоянного тока (от 4 до 20 мА), мА;
I - минимальное значение границы диапазона аналогового сигнала силы
постоянного тока (от 4 до 20 мА), мА;
Хтах _ максимальное значение измеряемого параметра, соответствующее максимальному значению границы диапазона аналогового сигнала силы постоянного тока (от 4 до 20 мА), в абсолютных единицах измерений;
Хт1П - минимальное значение измеряемого параметра, соответствующее минимальному значению границы диапазона аналогового сигнала силы постоянного тока (от 4 до 20 мА), в абсолютных единицах измерений;
Хизм - значение измеряемого параметра, соответствующее задаваемому аналоговому сигналу силы постоянного тока (от 4 до 20 мА), в абсолютных единицах измерений. Считывают с монитора АРМ.
-
7.4.1.5 Результаты поверки считают положительными, если рассчитанная приведенная погрешность преобразования входного аналогового сигнала силы постоянного тока (от 4 до 20 мА) в значение измеряемого параметра не выходит за пределы ±0,1 %.
7.4.2 Определение относительной погрешности измерений объемного расхода (объема) воды
-
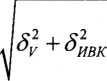
7.4.2.1 Относительную погрешность измерений объемного расхода (объема) воды, 8V, %, рассчитывают по формуле
■ (3)
где j - основная относительная погрешность измерения объемного расхода и объема воды счетчиком-расходомером электромагнитным ADMAG, %;
у - дополнительная приведенная погрешность измерения объемного расхода и объема воды счетчиком-расходомером электромагнитным ADMAG при использовании аналогового сигнала силы постоянного тока от 4 до 20 мА, %;
у _ приведенная погрешность комплекса измерительно-вычислительного CENTUM CS3000R3 при преобразовании входных аналоговых сигналов силы постоянного тока от 4 до 20 мА, %;
qg - верхний предел диапазона измерений объемного расхода воды счетчиком-расходомером электромагнитным ADMAG, м3/ч;
qH - нижний предел диапазона измерений объемного расхода воды счетчиком-расходомером электромагнитным ADMAG, м3/ч;
*7 - измеряемое значение объемного расхода воды счетчиком-расходомером
электромагнитным ADMAG, м3/ч.
-
7.4.2.2 Результаты поверки считают положительными, если рассчитанная относительная погрешность измерений объемного расхода (объема) воды не выходит за пределы ±1,39 %.
7.4.3 Определение относительной погрешности измерений массового расхода (массы) воды
-
7.4.3.1 Относительную погрешность измерений массового расхода (массы) воды, , %, рассчитывают по формуле

. Ртах Pmin <7б pmax+pmi„
у
•юо
)
(4)
где § - относительная погрешность при вычислении комплексом измерительно
вычислительным CENTUM CS3OOOR3 массового расхода и массы воды, %;
п - максимальное значение плотности воды в условиях измерений, кг/м3; р - минимальное значение плотности воды в условиях измерений, кг/м3.
-
7.4.3.2 Результаты поверки считают положительными, если рассчитанная относительная погрешность измерений массового расхода (массы) воды не выходит за пределы ±1,4 %.
8 ОФОРМЛЕНИЕ РЕЗУЛЬТАТОВ ПОВЕРКИ
-
8.1 При положительных результатах поверки оформляют свидетельство о поверке ИС в соответствии с приказом Министерства промышленности и торговли Российской Федерации от 2 июля 2015 г. № 1815 «Об утверждении Порядка проведения поверки средств измерений, требования к знаку поверки и содержанию свидетельства о поверке».
-
8.2 Отрицательные результаты поверки ИС оформляют в соответствии с приказом Министерства промышленности и торговли Российской Федерации от 2 июля 2015 г. № 1815 «Об утверждении Порядка проведения поверки средств измерений, требования к знаку поверки и содержанию свидетельства о поверке». При этом выписывается извещение о непригодности к применению ИС с указанием причин непригодности.
7 из 7
