Методика поверки «Аппаратура геодезическая спутниковая Leica GS07» (МП АПМ 86-18)
УТВЕРЖДАЮ
Генеральный директор

Аппаратура геодезическая спутниковая Leica GS07
МЕТОДИКА ПОВЕРКИ
МП АПМ 86-18
г. Москва, 2018 г.
Настоящая методика поверки распространяется на аппаратуру геодезическую спутниковую Leica GS07. производства компании «Leica Geosystems AG». Швейцария (далее -аппаратура) и устанавливает методику ее первичной и периодической поверки.
Интервал между поверками - 1 год.
1 Операции поверкиПри проведении поверки должны выполняться операции, указанные в таблице 1. Таблица 1
№ п/п |
Наименование операции |
№ пункта документа по поверке |
Проведение операций при | |
первичной поверке |
периодической поверке | |||
1 |
Внешний осмотр |
7.1 |
Да |
Да |
2 |
Опробование, проверка работоспособности функциональных режимов, идентификация программного обеспечения |
7.2 |
Да |
Да |
3 |
Определение метрологических характеристик |
7.3 | ||
3.1 |
Определение абсолютной погрешности и средней квадратической погрешности измерений длины базиса в режимах «Статика». «Быстрая статика» |
7.3.1 |
Да |
Да |
3.2 |
Определение абсолютной погрешности и средней квадратической погрешности измерений длины базиса в режимах «Кинематика», «Кинематика в реальном времени (RTK)» |
7.3.2 |
Да |
Да |
3.3 |
Определение абсолютной погрешности и средней квадратической погрешности измерений в режиме «Дифференциальные кодовые измерения dGPS)» |
7.3.3 |
Да |
Да |
2 Средства поверки
При проведении поверки должны применяться эталоны и вспомогательные средства поверки, приведенные в таблице 2
Таблица 2
№ пункта документа по поверке |
Наименование эталонов, вспомогательных средств поверки и их основные метрологические и технические характеристики |
7.3.1 |
Эталон 1-го разряда по ГОСТ Р 8.750-2011 - фазовый светодальномер (тахеометр электронный) Линейные базисы по ГОСТ 8.750-2011 Рулетка РЗНЗК по ГОСТ 7502-98 |
7.3.2 | |
7.3.3 |
Допускается применять другие средства поверки, обеспечивающие определение метрологических характеристик с точностью, удовлетворяющей требованиям настоящей методики поверки.
3. Требования к квалификации поверителейК проведению поверки допускаются лица, изучившие эксплуатационные документы на аппаратуру, имеющие достаточные знания и опыт работы с ней.
4 Требования безопасностиПри проведении поверки, меры безопасности должны соответствовать требованиям по технике безопасности согласно эксплуатационной документации на аппаратуру и поверочное оборудование, правилам по технике безопасности, действующим на месте проведения поверки, а также правилам по технике безопасности при производстве топографо-геодезических работ Г1ТБ-88 (Утверждены коллегией ГУГК при СМ СССР 09.02.1989 г.. № 2/21).
5 Условия поверкиПри проведении поверки в лабораторных условиях должны соблюдаться, следующие нормальные условия измерений:
-
- температура окружающей среды, °C (20±5)
-
- относительная влажность воздуха, %, не более 80
-
- атмосферное давление, мм рт. ст. (кПа) 630...800 (84.0... 106,7)
-
- изменение температуры окружающей среды во время поверки, °С/ч, не более 2
Полевые измерения (измерения на открытом воздухе) должны проводиться при отсутствии осадков, порывов ветра и при температуре окружающей среды от минус 40 до плюс 65 °C.
6 Подготовка к поверкеПеред проведением поверки должны быть выполнены следующие подготовительные работы:
-
- проверить наличие действующих свидетельств о поверке на эталонные средства измерений;
-
- аппаратуру и средства поверки привести в рабочее состояние в соответствии с их эксплуатационной документацией.
-
- аппаратура должна быть установлена на специальных основаниях (фундаментах) или штативах, не подвергающихся механическим (вибрация, деформация, сдвиги) и температурным воздействиям.
-
7 Проведение поверки
При внешнем осмотре должно быть установлено соответствие аппаратуры следующим требованиям:
-
- отсутствие коррозии, механических повреждений и других дефектов, влияющих на эксплуатационные и метрологические характеристики аппаратуры:
-
- наличие маркировки и комплектности согласно требованиям эксплуатационной документации на аппаратуры.
-
7.2.1 При опробовании должно быть установлено соответствие аппаратуры следующим требованиям:
-
- отсутствие качки и смещений неподвижно соединенных деталей и элементов аппаратуры;
-
- правильность взаимодействия с комплектом принадлежностей:
-
- работоспособность всех функциональных режимов.
-
7.2.2 Проверку идентификационных данных программного обеспечения (далее - ПО) проводить следующим образом:
Идентификация ПО «Leica Captivate»: "Настройки" - "О Leica Captivate" - вкладка "ПО". В появившемся диалоговом окне программы отображается наименование и версия ПО.
Идентификация ПО «Leica GeoOffice» производится через интерфейс пользователя путем выбора «Справка» -> «О программе».
В появившемся диалоговом окне программы отображается наименование и версия ПО.
Идентификация ПО «Leica Infinity» производится через интерфейс пользователя путем выбора «Help & Support» -> «About Leica Infinity».
Номер версии и наименование ПО должно соответствовать данным, приведенным в таблице 3.
Таблица 3
Идентификационное наименование ПО |
Leica Captivate |
Leica Geo Office |
Leica Infinity |
Номер версии (идентификационный номер ПО), не ниже |
3.71 |
8.40 |
3.0.1 |
7.3 Определение метрологических характеристик
7.3.1 Определение абсолютной погрешности и средней квадратической погрешности измерений длины базиса в режимах «Статика», «Быстрая статика»Абсолютная и средняя квадратическая погрешности измерений длины базиса в режимах «Статика», «Быстрая статика» определяются путем многократных измерений (не менее 5) двух контрольных длин базиса, действительные значения которых расположены в диапазоне от 0,1 до 3.0 км и определены электронным тахеометром 1 разряда по ГОСТ Р 8.750-2011.
Установить поверяемую аппаратуру над центрами пунктов базиса и привести ее спутниковые антенны к горизонтальной плоскости.
Измерить высоту установки антенн аппаратуры с помощью рулетки.
Включить аппаратуру и настроить ее на сбор данных (измерений) в соответствующем режиме измерений согласно требованиям руководства по эксплуатации.
Убедиться в правильности функционирования и отсутствии помех приему сигнала со спутников.
Провести измерения на поверяемой аппаратуре при условиях, указанных в таблице 4 настоящей методики.
Выключить аппаратуру согласно требованиям руководства по эксплуатации и провести обработку данных с использованием штатного ПО к аппаратуре.
Ещё раз измерить эталонным тахеометром длину базиса. Результат измерений не должен отличаться от значения Lt . полученного до начала съёмки аппаратурой, более чем на величину погрешности, приписанную эталонном тахеометру. В случае если измеренная длина базиса отличается от значения L , полученного до начала съёмки аппаратурой, более чем на величину погрешности, приписанную эталонном тахеометру, повторить съёмку аппаратурой заново.
Абсолютная погрешность измерений каждой длины базиса (при доверительной вероятности 0.95) определяется как сумма систематической и случайной погрешностей по формуле:
5X—_)2 | |
/^1 rl f n, -1 |
где АЛ, - погрешность измерений j длины базиса в плане/по высоте, мм;
L - эталонное значение j длины базиса в плане/по высоте, мм;
L, - измеренное поверяемой аппаратурой значение j длины базиса i измерением в плане/по высоте, мм;
п. - число измерений j длины базиса.
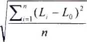
Средняя квадратическая погрешность измерений каждой длины базиса определяется по формуле:
где /7?, - средняя квадратическая погрешность измерений/ длины базиса.
Значения абсолютной погрешности (при доверительной вероятности 0,95) и средней квадратической погрешности измерений для каждой длины базиса в режимах «Статика», не должны превышать значений, приведенных в Приложении I к настоящей методике поверки.
-
7.3.2 Определение абсолютной погрешности и средней квадратической погрешности измерений длины базиса в режимах «Кинематика», «Кинематика в реальном времени (RTK)»
Абсолютная и средняя квадратическая погрешности измерений длины базиса в режимах «Кинематика», «Кинематика в реальном времени (RTK)» определяются не менее чем 10-и кратным измерением контрольной длины базиса, действительное значения которой расположено в диапазоне от 0,1 до 3,0 км и определено электронным тахеометром 1 разряда по ГОСТ Р 8.750-2011.
Установить поверяемую аппаратуру над центрами пунктов базиса и привести ее спутниковые антенны к горизонтальной плоскости.
Измерить высоту установки антенн аппаратуры с помощью рулетки.
Включить аппаратуру и настроить ее на сбор данных (измерений) в соответствующем режиме измерений согласно требования руководства по эксплуатации.
Измерить высоту установки антенн аппаратуры с помощью рулетки.
Убедиться в правильности функционирования и отсутствии помех приему сигнала со спутников.
Провести измерения на поверяемой аппаратуре при условиях, указанных в таблице 4 настоящей методики.
Выключить аппаратуру согласно требованиям руководства по эксплуатации.
Ещё раз измерить эталонным тахеометром длину базиса. Результат измерений не должен отличаться от значения Ао, полученного до начала съёмки аппаратурой, более чем на величину погрешности, приписанную эталонном тахеометру. В случае если измеренная длина базиса отличается от значения Lo. полученного до начала съёмки аппаратурой, более чем на величину погрешности, приписанную эталонном тахеометру, повторить съёмку аппаратурой заново.
Абсолютная погрешность измерений длины базиса (при доверительной вероятности 0.95) определяется как сумма систематической и случайной погрешностей по формуле:
п

п
АГ = ( —--£J±2

где -V. - погрешность измерений длины базиса в плане/по высоте, мм;
£0 - эталонное значение длины базиса в плане/по высоте, мм;
L, - измеренное аппаратурой значение длины базиса i измерением в плане/по
высоте, мм:
п - число измерений длины базиса.
Средняя квадратическая погрешность измерений длины базиса определяется по формуле:
т

где т - средняя квадратическая погрешность измерений длины базиса.
Значения абсолютной погрешности (при доверительной вероятности 0,95) и средней квадратической погрешности измерений длины базиса в режимах «Кинематика в реальном времени (RTK)» не должны превышать значений, приведенных в Приложении 1 к настоящей методике поверки.
7.3.3 Определение абсолютной погрешности и средней квадратической погрешности измерений длины базиса в режиме «Дифференциальные кодовые измерения (dGPS)»Абсолютная и средняя квадратическая погрешности измерений длины базиса в режиме «Дифференциальные кодовые измерения (dGPS)» определяется не менее чем 10-и кратным измерением контрольной длины базиса, действительное значения которой расположено в диапазоне от 0.1 до 3.0 км и определено электронным тахеометром 1 разряда по ГОСТ Р 8.УЗО-ЗОИ.
Установить поверяемую аппаратуру над центрами пунктов базиса и привести ее спутниковые антенны к горизонтальной плоскости.
Измерить высоту установки антенн аппаратуры с помощью рулетки.
Включить аппаратуру и настроить ее на сбор данных (измерений) в соответствующем режиме измерений согласно требования руководства по эксплуатации.
Убедиться в правильности функционирования и отсутствии помех приему сигнала со спутников.
Провести измерения на поверяемой аппаратуре при условиях, указанных в таблице 4 настоящей методики.
Выключить аппаратуру согласно требованиям руководства по эксплуатации.
Ещё раз измерить эталонным тахеометром длину базиса. Результат измерений не должен отличаться от значения Lo, полученного до начала съёмки аппаратурой, более чем на величину погрешности, приписанную эталонному тахеометру. В случае если измеренная длина базиса отличается от значения £0, полученного до начала съёмки аппаратурой, более чем на величину погрешности, приписанную эталонному тахеометру, повторить съёмку аппаратурой заново.
Абсолютная погрешность измерений длины базиса (при доверительной вероятности 0.95) определяется как сумма систематической и случайной погрешностей по формуле:
I.AZ = (--£„) + 21------------------.
п I п -1
где AZ, - погрешность измерений длины базиса в плане/по высоте, мм;
Д - эталонное значение длины базиса в плане/по высоте, мм;
Д - измеренное аппаратурой значение длины базиса i измерением в плане/по высоте, мм:
п - число измерений длины базиса.
Средняя квадратическая погрешность измерений длины базиса определяется по формуле:


Значения абсолютной погрешности (при доверительной вероятности 0,95) и средней квадратической погрешности измерений длины базиса в режиме «Дифференциальные кодовые измерения (dGPS)» не должны превышать значений, приведенных в Приложении 1 к настоящей методике поверки.
Таблица 4
Режим измерений |
Кол-во спутников, шт. |
Время измерений, мин |
Интервал между эпохами, с |
«Статика» |
от 30 до 60 | ||
«Быстрая статика» |
от 10 до 15 | ||
«Кинематика» |
> 6 |
от 1 до 1.5 |
1 |
«Кинематика в реальном времени (RTK)» | |||
«Дифференциальные кодовые измерения (DGPS)» |
от 0.05 до 0.20 | ||
Поверка проводится при устойчивом закреплении поверяемой аппаратуры, открытом небосводе, отсутствии электромагнитных помех и многолучевого распространения сигнала спутников, а также при хорошей конфигурации спутниковых группировок. |
-
8.1 Результаты поверки оформляются протоколом, составленным в виде сводной таблицы результатов поверки по каждому пункту раздела 7 настоящей методики поверки с указанием числовых значений результатов измерений и их оценки по сравнению с допускаемыми значениями. Рекомендуемый образец протокола приведен в Приложении 2 к настоящей методике поверки.
-
8.2 При положительных результатах поверки, аппаратура признается годной к применению и на нее выдается свидетельство о поверке установленной формы. Знак поверки наносится на свидетельство о поверке в виде наклейки и (или) поверительного клейма.
-
8.3 При отрицательных результатах поверки, аппаратура признается непригодной к применению и на нее выдается извещение о непригодности установленной формы с указанием основных причин.
Руководитель отдела ООО «Лвтопрогресс - N4»
К.А. Ревин
Приложение 1 (обязательное) М е грологические характери стики
Наименование характеристики |
Значение |
1 раницы допускаемой абсолютной погрешности измерений длины базиса (при доверительной вероятности 0.95). мм:
|
±2-(3,0+0,5'10’6-D) ±2-(5,0+0,5'10’6-D) ±2-(8+l-10’6-D) ±2-(15+l-10’6-D) ±2-(250+l-10'6-D) ±2-(250+l-10‘6-D), где D - измеряемое расстояние в мм |
Допускаемая средняя квадратическая погрешность измерений длины базиса мм:
|
3,0+0,5-10’6D 5.0+0,5-10‘6-D 8+l-10‘6-D 15+110’6-D 250+1-10’6D 250+1 -1 O'6- D, где D - измеряемое расстояние в мм |
ПРОТОКОЛ №
Дата и время проведения поверки:
Условия проведения поверки:
Внешний осмотр:
Требования |
Результаты поверки |
отсутствие коррозии, механических повреждений и других дефектов, влияющих на эксплуатационные и метрологические характеристики аппаратуры | |
наличие маркировки и комплектности согласно требованиям эксплуатационной документации на аппаратуру |
Опробование:
Требования |
Результаты поверки |
отсутствие качки и смещений неподвижно соединенных деталей и элементов аппаратуры | |
правильность взаимодействия с комплектом принадлежностей | |
работоспособность всех функциональных режимов | |
наименование ПО, номер его версии |
Результаты поверки в режиме «Статика», «Быстрая статика»:
Измерение длины базиса 1 | ||||||
№ изм. |
Значение дпины базиса в плане. мм |
Результат измерений длины базиса в плане, мм |
Погрешность измерений длины базиса в плане, мм |
Значение длины базиса по высоте, мм |
Результат измерений длины базиса по высоте. мм |
Погрешность измерений длины базиса по высоте, мм |
• | ||||||
2 | ||||||
3 | ||||||
4 | ||||||
5 | ||||||
6 | ||||||
Среднее значение |
- |
Среднее значение |
- | |||
С ист. составляющая |
- |
Сист. составляющая |
- | |||
Случ. составляющая (2а) |
- |
Случ. составляющая (2а) |
- | |||
Абсолютная погрешность, мм |
- |
Абсолютная погрешность, мм |
- | |||
Заявляемое значение абс. погреш., не более, мм |
- |
Заявляемое значение абс. погреш., не более, мм |
- | |||
СКП, мм |
- |
СКП, мм |
- | |||
Заявляемое значение СКП, не более, мм |
- |
Заявляемое значение СКП, не более, мм |
- |
Измерение длины базиса № 2 | ||||||
№ изм. |
Значение длины базиса в плане, мм |
Результат измерений ДЛИНЫ базиса в плане, мм |
Погрешность измерений длины базиса в плане, мм |
Значение длины базиса по высоте, мм |
Результат измерений длины базиса по высоте, мм |
Погрешность измерений длины базиса по высоте, мм |
1 | ||||||
2 | ||||||
3 | ||||||
4 | ||||||
5 | ||||||
6 | ||||||
Среднее значение |
- |
Среднее значение |
- | |||
Сист.составляюшая |
- |
С ист.составляющая |
- | |||
Случ. составляющая (2о) |
- |
Случ. составляющая (2а) |
- | |||
Абсолютная погрешность, мм |
- |
Абсолютная погрешность, мм |
- | |||
Заявляемое значение абс. погреш.. не более, мм |
- |
Заявляемое значение абс. погреш., не более, мм |
- | |||
СКП, мм |
- |
СКП, мм |
- | |||
Заявляемое значение СКП, не более, мм |
- |
Заявляемое значение СКП, не более, мм |
- |
Результаты поверки в режиме «Кинематика», «Кинематика в реальном времени (RTK)»:
Измерение длины базиса | ||||||
№ изм. |
Значение длины базиса в плане, мм |
Результат измерений длины базиса в плане, мм |
Погрешность измерений длины базиса в плане, мм |
Значение длины базиса по высоте, мм |
Результат измерений длины базиса по высоте, мм |
Погрешность измерений длины базиса по высоте. мм |
1 | ||||||
2 | ||||||
3 | ||||||
4 | ||||||
5 | ||||||
6 | ||||||
7 | ||||||
8 | ||||||
9 | ||||||
10 | ||||||
Среднее значение |
- |
Среднее значение |
- | |||
С ист.составляющая |
- |
С ист.составляющая |
- | |||
Случ. составляющая (2о) |
- |
Случ. составляющая (2а) |
- | |||
Абсолютная погрешность, мм |
- |
Абсолютная погрешность, мм |
- | |||
Заявляемое значение абс. погреш., не более, мм |
- |
Заявляемое значение абс. погреш., не более, мм |
- | |||
СКП. мм |
- |
СКП, мм |
- | |||
Заявляемое значение СКП. не более, мм |
- |
Заявляемое значение СКП, не более, мм |
- |
Результаты поверки в режиме «Дифференциальные кодовые измерения (dGPS)»:
Измерение длины базиса | ||||||
№ изм. |
Значение длины базиса в плане, мм |
Результат измерений длины базиса в плане, мм |
Погрешность измерений длины базиса в плане, мм |
Значение длины базиса по высоте, мм |
Результат измерений длины базиса по высоте, мм |
Погрешность измерений длины базиса по высоте, мм |
1 | ||||||
2 | ||||||
3 | ||||||
4 | ||||||
5 | ||||||
6 | ||||||
7 | ||||||
8 | ||||||
9 | ||||||
10 | ||||||
Среднее значение |
- |
Среднее значение |
- | |||
Сист.составляюшая |
- |
Сист.составляющая |
- | |||
Случ. составляющая (2о) |
- |
Случ. составляющая (2о) |
- | |||
Абсолютная погрешность, мм |
- |
Абсолютная погрешность, мм |
- | |||
Заявляемое значение абс. погреш.. не более, мм |
- |
Заявляемое значение абс. погреш., не более, мм |
- | |||
СКП, мм |
- |
СКП. мм |
- | |||
Заявляемое значение СКП, не более, мм |
- |
Заявляемое значение СКП, не более, мм |
- |