Методика поверки «ГСОЕИ. Тахометры электронные Geomax Zoom10» (МП АПМ 14-20)
УТВЕРЖДАЮ
А. С. Никитин
февраля 2020 г.
й директор гресс - М»
Государственная система обеспечения единства измерений
ТАХЕОМЕТРЫ ЭЛЕКТРОННЫЕ GEOMAX ZOOM 10
МЕТОДИКА ПОВЕРКИ
МП АПМ 14-20
г. Москва
2020 г.
МП АПМ 14-20 Настоящая методика поверки распространяется на тахеометры электронные GeoMax Zooml0 (далее - тахеометры), производства «GeoMax AG». Швейцария, и устанавливают методику их первичной и периодической поверки.
Интервал между поверками - 1 год.
1 Операции поверкиПри проведении поверки выполняются операции, указанные в таблице 1.
Таблица 1 - Операции поверки
|
№ п/п |
Наименование операции |
№ пункта документа по поверке |
Проведение операций при | |
|
первичной поверки |
периодической поверке | |||
|
1 |
Внешний осмотр |
7.1 |
Да |
Да |
|
2 |
Опробование, проверка работоспособности функциональных режимов, идентификация программного обеспечения |
7.2 |
Да |
Да |
|
3 |
Определение метрологических характеристик |
7.3 |
- |
- |
|
3.1 |
Определение абсолютной и средней квадратической погрешностей измерений расстояний |
7.3.1 |
Да |
Да |
|
3.2 |
Определение систематической составляющей погрешности компенсации компенсатора |
7.3.2 |
Да |
Да |
|
3.3 |
Определение абсолютной и средней квадратической погрешностей измерений угла |
7.3.3 |
Да |
Да |
При проведении поверки применяются эталоны и вспомогательные средства поверки, приведенные в таблице 2.
Таблица 2 - Средства поверки
|
№ пункта документа по поверке |
Наименование эталонов, вспомогательных средств поверки и их основные метрологические и технические характеристики |
|
7.3.1 |
Фазовый светодальномер (тахеометр) или эталонный базисный комплекс 2 разряда в соответствии с Государственной поверочной схемой для координатно-временных средств измерений, утверждённой Приказом Госстандарта от 29.12.2018 г. №2831 |
|
7.3.2- 7.3.3 |
Стенд универсальный коллиматорный ВЕГА УКС (per. № 44753-16) |
|
Примечание - Допускается применять другие средства поверки, обеспечивающие определение метрологических характеристик с точностью, удовлетворяющей требованиям настоящей методики. | |
К проведению поверки допускаются лица, изучившие эксплуатационные документы, имеющие достаточные знания и опыт работы с тахеометрами.
4 Требования безопасностиПри проведении поверки, меры безопасности должны соответствовать требованиям по технике безопасности согласно эксплуатационной документации, правилам по технике безопасности, действующие на месте проведения поверки и требованиям МЭК-825 «Радиационная безопасность лазерной продукции, классификация оборудования, требования и руководство для
МП АПМ 14-20 потребителей», а также правилам по технике безопасности при производстве топографогеодезических работ ПТБ-88.
5 Условия поверки-
5.1 Поверка тахеометров может быть проведена в полевых или лабораторных условиях. При проведении поверки в лабораторных условиях должны соблюдаться следующие
нормальные условия измерений:
-
- температура окружающей среды, °C (20±5)
-
5.2 Полевые измерения (измерения на открытом воздухе) проводятся при отсутствии осадков, порывов ветра и при температуре окружающей среды от минус 20 до плюс 50 °C.
Перед проведением поверки выполняются следующие подготовительные работы:
-
- проверить наличие действующих свидетельств о поверке на средства измерений:
-
- тахеометр и средства поверки привести в рабочее состояние в соответствии с их эксплуатационной документацией:
-
- тахеометр и средства поверки выдержать при нормальных условиях не менее 1 ч.
-
7 Проведение поверки
При внешнем осмотре устанавливают соответствие тахеометра следующим требованиям:
-
- отсутствие коррозии, механических повреждений и друтих дефектов, влияющих на эксплуатационные и метрологические характеристики тахеометра:
-
- наличие маркировки и комплектность согласно требованиям эксплуатационной документации, на тахеометр:
Если перечисленные требования не выполняются, тахеометр признают непригодным к применению, дальнейшие операции поверки не производятся.
7.2 Опробование, проверка работоспособности функциональных режимов, идентификация программного обеспечения-
7.2.1 При опробовании устанавливают соответствие тахеометра следующим требованиям:
-
- отсутствие качки и смещений неподвижно соединенных деталей и элементов:
-
- плавность и равномерность движения подвижных частей:
-
- правильность взаимодействия с комплектом принадлежностей;
-
- работоспособность всех функциональных режимов и узлов;
-
- дискретность отсчета измерений утлов и расстояний должны соответствовать эксплуатационной документации.
-
7.2.2 Проверку идентификационных данных программного обеспечения (далее - ПО)
проводить следующим образом:
Таблица 3 - Идентификационные данные программного обеспечения
|
Идентификационное наименование ПО |
Geo Max Zooml 0 |
X-Pad Field ,.TPS Standard" |
GeoMax Geo Office |
xPad Fusion |
|
Номер версии (идентификационный номер ПО), не ниже |
1.0.0.1 |
3.5 |
3.1.1.0 |
1.00.6.019 |
|
Цифровой идентификатор ПО |
725bc48c |
7DC1221A |
E536DEB2 |
96F5B7CF |
|
Алгоритм вычисления цифрового идентификатора ПО |
CRC32 | |||
Если перечисленные требования не выполняются, тахеометр признают непригодным к применению, дальнейшие операции поверки не производят.
7.3 Определение метрологических характеристик
7.3.1 Определение абсолютной и средней квадратической погрешностей измерений расстоянийАбсолютная погрешность измерений и СКП измерений расстояний определяется путем сличения с фазовым светодальномером (тахеометром). 2 разряда в соответствии с Государственной поверочной схемой для координатно-временных средств измерений, утверждённой Приказом Госстандарта от 29.12.2018 г. №2831.
Необходимо провести многократно, не менее 10 раз. измерения не менее 3 значений расстояний, действительные длины которых расположены в заявляемом диапазоне измерений расстояний поверяемого тахеометра и определены с помощью фазовым светодальномером (тахеометром). 2 разряда в соответствии с Государственной поверочной схемой для координатновременных средств измерений, утверждённой Приказом Госстандарта от 29.12.2018 г. №2831.
Абсолютная погрешность измерений (при доверительной вероятности 0.95) расстояний определяется по формуле:
Е БДгде AS - абсолютная погрешность измерений j-ro расстояния, мм;
So j - эталонное (действительное) значение j-ro расстояния, полученное по эталонному тахеометру;
S ij- полученное значение j-ro расстояния i-м приемом по поверяемому тахеометру: п г - число приемов измерений j-ro расстояния.
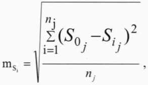
Средняя квадратическая погрешность измерений каждой линии вычисляется по формуле:

(2)
где ms - средняя квадратическая погрешность измерения j-ro расстояния.
При положительных результатах, значение абсолютной погрешности (при доверительной вероятности 0.95) и средней квадратической погрешности измерений расстояний соответствуют значениям, приведённым в Приложении А к настоящей методике поверки.
Если требование п.7.3.1, не выполняется, тахеометр признают непригодным к применению, дальнейшие операции поверки не производят.
73.2 Определение систематической составляющей погрешности компенсации компенсатораСистематическая погрешность компенсатора во всем его диапазоне определяется с помощью предметного столика коллиматорного стенда и вычисляется по выражению:
где сг{ - систематическая погрешность компенсатора.
bi - отсчет по вертикальному кругу тахеометра при наведении на марку автоколлиматора до начала наклона.
bi - отсчет по вертикальному кругу тахеометра после его наклона на i-й угол и наведении на марку автоколлиматора.
Vi - значение угла наклона оси тахеометра, фиксируемое по предметному столику.
Следует выполнить определение систематической погрешности компенсатора во всем его диапазоне с шагом Г при наклоне оси тахеометра вперед и назад от среднего положения и среднее значение принять за окончательный результат.
При положительных результатах, систематическая погрешность компенсатора соответствует значениям, приведённым в Приложении А к настоящей методике поверки.
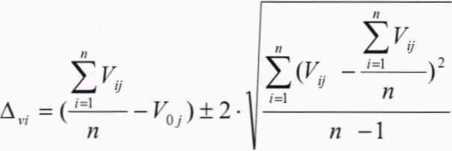
7.3.3 Определение абсолютной и средней квадратической погрешностей измерений углаАбсолютная погрешность и СКП измерений угла определяется на эталонном коллиматором стенде путем многократных измерений (не менее четырех циклов измерений, состоящих из измерений в положении «Крут право» (КП) и «Крут лево» (КЛ) горизонтального утла (90±30)° и вертикального угла (более ±20°).
Абсолютная погрешность измерений (при доверительной вероятности 0.95) горизонтального и вертикального утлов вычисляется по формуле:

(3)
где Ап - абсолютная погрешность измерений горизонтального (вертикального) утла.
Voj - значение горизонтального (вертикального) угла по эталонному коллиматорному стенду, взятое из свидетельства о поверке (сертификата о калибровке) на него,
V// - значение горизонтального (вертикального) утла, по поверяемому тахеометру.
п - число измерений.
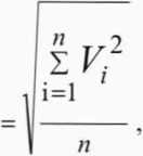
Средняя квадратическая погрешность измерений горизонтального и вертикального утлов вычисляется по формуле:
mv,

(4)
где mvi- средняя квадратическая погрешность измерений горизонтального (вертикального) угла.
Vj - разность между измеренным поверяемым тахеометром значением i-ro горизонтального (вертикального) угла и значением i-ro горизонтального (вертикального) угла по эталонному коллиматорному стенду, взятому из свидетельства о поверке на него,
п - число измерений.
При положительных результатах, значения абсолютной погрешности (при доверительной вероятности 0.95) и средней квадратической погрешности измерений утлов не превышают значений, указанных в Приложении А к настоящей методике поверки.
Если требование п.7.3.3, не выполняется, тахеометр признают непригодным к применению. дальнейшие операции поверки не производят.
8 Оформление результатов поверки
-
8.1 Результаты поверки оформляются протоколом, составленным в виде сводной таблицы результатов поверки по каждому пункту раздела 7 настоящей методики поверки.
-
8.2 При положительных результатах поверки, тахеометр признается годным к применению и на него выдается свидетельство о поверке установленной формы. Знак поверки наносится на свидетельство о поверке в виде наклейки и / или поверительного клейма.
-
8.3 При отрицательных результатах поверки, тахеометр признается непригодным к применению и на него выдается извещение о непригодности установленной формы с указанием основных причин.

К.А. Ревин
Руководитель отдела ООО «Автопрогресс - М»
Приложение А(Обязательное)
Метрологические характеристикиТаблица А.1 - Метрологические характеристики
|
Наименование характеристики |
Значение | |
|
Модификация |
GeoMax Zooml0 2" |
GeoMax Zooml0 5" |
|
Диапазон компенсации компенсатора.не менее |
±3 | |
|
Пределы допускаемой систематической составляющей погрешности компенсации компенсатора. " |
±1 |
±1 |
|
Диапазон измерений:
|
от 0 до 360 от 1.5 до 3000 от 1.5 до 350 | |
|
Дискретность отсчитывания измерений:
| ||
|
Границы допускаемой абсолютной погрешности измерений углов (при доверительной вероятности 0,95)," |
±4 |
±10 |
|
Допускаемая средняя квадратическая погрешность измерений углов. " |
2 |
5 |
|
Границы допускаемой абсолютной погрешности измерений расстояний (при доверительной вероятности 0.95). мм:
|
±2-(2+2-10-6-D) ±2-(3+2-10'6Р), где D - измеряемое расстояние, мм | |
|
Допускаемая средняя квадратическая погрешность измерений расстояний, мм:
|
2+2-ю^р з+гю^р, где D - измеряемое расстояние, мм | |
