Методика поверки «ГСОЕИ. Анализатор волоконно-оптический распределения механических напряжений и температуры DSNS-C-0.1/50-1/100-H» (МП 039.ФЗ-20)
УТВЕРЖДАЮ

Заместитель директора
ФГУП «ВНИИОФИ»
___И.С. Филимонов
«06» октября 2020 г.
Государственная система обеспечения единства измерений
АНАЛИЗАТОР ВОЛОКОННО-ОПТИЧЕСКИЙ РАСПРЕДЕЛЕНИЯ МЕХАНИЧЕСКИХ НАПРЯЖЕНИЙ И ТЕМПЕРАТУРЫ DSTS-C-0.1/50-1/100-H
МЕТОДИКА ПОВЕРКИ
МП 039.ФЗ-20
метролог
УИ «ВНИИОФИ»
С.Н. Него да ^Й)6» октября 2020 г.
Главней научный сотрудник ФГУП «ВНИИОФИ»

В.Н. Крутиков «06» октября 2020 г.
Москва
2020 г.
1 ВведениеНастоящая методика распространяется на анализатор волоконно-оптический распределения механических напряжений и температуры DSTS-C-0.1/50-1/100-Н (далее по тексту - анализатор) и устанавливает методы и средства его первичной и периодической поверки. Анализатор предназначен для распределенных измерений (регистрации) механического напряжения и температуры вдоль оптического волокна.
Интервал между поверками - 1 год.
2 Операции поверки-
2.1 При проведении первичной и периодической поверок должны быть выполнены операции, указанные в таблице 1.
Таблица 1 - Операции поверки
|
№ п/п |
Наименование операции |
Номер пункта настоящей методики |
Проведение операций при | |
|
Первичной поверке |
Периодической поверке | |||
|
1 |
Внешний осмотр |
8.1 |
Да |
Да |
|
2 |
Опробование |
8.2 |
Да |
Да |
|
о Э |
Подтверждение соответствия программного обеспечения |
8.3 |
Да |
Да |
|
4 |
Определение метрологических характеристик |
8.4 | ||
|
5 |
Определение диапазона и расчет пределов абсолютной погрешности измерений деформации |
8.4.1 |
Да |
Да |
|
6 |
Определение диапазона и расчет пределов абсолютной погрешности измерений температуры |
8.4.2 |
Да |
Да |
-
2.2 При получении отрицательных результатов при проведении хотя бы одной операции поверка прекращается.
-
2.3 Поверку средства измерений осуществляют аккредитованные в области обеспечения единства измерений юридические лица и индивидуальные предприниматели.
-
3.1 При проведении первичной и периодической поверок применяются средства поверки, указанные в таблице 2.
Таблица 2 - Средства поверки
|
Номер пункта методики поверки |
Наименование и тип (условное обозначение) основного или вспомогательного средства поверки; обозначение нормативного документа, регламентирующего технические требования и (или) метрологические и основные технические характеристики средства поверки |
Основные технические и (или) метрологические характеристики |
|
8.4.1 |
Система лазерная измерительная XL-80, (номер Федерального информационного фонда по обеспечению единства измерений 35362-13) |
|
|
8.4.2 |
Измеритель температуры двухканальный прецизионный МИТ2 модификации МИТ 2.05, (номер Федерального информационного фонда по обеспечению единства измерений 46432-11) |
|
|
8.4.2 |
Термометр сопротивления платиновый вибропрочный ТСПВ-1, (номер Федерального информационного фонда по обеспечению единства измерений 50256-12) |
/ - измеряемая температура. |
|
8.4.1 - 8.4.2 |
Вспомогательное оборудование:
|
|
|
- диапазон линейных перемещений от 0 до 300 мм. |
-
3.2 Допускается применение других средств поверки, обеспечивающих определение необходимых метрологических характеристик поверяемого средства измерений с требуемой точностью.
-
3.3 Средства измерений, используемые при проведении поверки, должны быть аттестованы (поверены) в установленном порядке.
К проведению поверки допускают лиц, изучивших настоящую методику поверки и руководства по эксплуатации (РЭ) поверяемого анализатора и средств поверки, а также их правила хранения и применения, имеющих квалификационную группу не ниже III в соответствии с правилами по охране труда при эксплуатации электроустановок указанных в приложении к приказу Министерства труда и социальной защиты РФ от 24.07.13 № 328н и имеющих опыт работы с высокоточными средствами измерений в области волоконно-оптических систем передачи информации; прошедших обучение на право проведения поверки по требуемому виду измерений.
5 Требования безопасности-
5.1 При проведении поверки соблюдают требования, установленные ГОСТ Р 12.1.031-2010, ГОСТ 12.1.040-83, правилами по охране труда при эксплуатации электроустановок, указанными в приложении к приказу Министерства труда и социальной защиты РФ от 24.07.13 № 328н, нормами и правилами устройства и эксплуатации лазеров ГОСТ 31581-2012. Оборудование, применяемое при поверке, должно соответствовать требованиям ГОСТ 12.2.003-91. Воздух рабочей зоны должен соответствовать ГОСТ 12.1.005-88 при температуре помещения, соответствующей условиям испытаний для легких физических работ.
-
5.2 Система электрического питания анализатора должна быть защищена от колебаний и пиков сетевого напряжения, искровые генераторы не должны устанавливаться вблизи анализатора.
-
5.3 Помещение, в котором проводится поверка, должно соответствовать требованиям пожарной безопасности по ГОСТ 12.1.004-91 и иметь средства пожаротушения по ГОСТ 12.4.009-83.
-
6.1 Все этапы поверки, за исключением особо оговоренных, проводят при следующих условиях:
-
- температура окружающей среды, °C........................................от +15 до +35;
-
- относительная влажность воздуха, %.......................................от 45 до 75;
-
- атмосферное давление, кПа.......................................................от 91,3 до 106;
-
- напряжение питающей сети, В..................................................от 90 до 264;
-
- частота питающей сети, Гц........................................................от 50 до 60.
-
6.2 Помещение, где проводится поверка, должно быть чистым и сухим, свободным от пыли, паров кислот и щелочей. Допускаемый перепад температуры при проведении поверки -не более 2 °C.
-
6.3 В помещении не допускаются посторонние источники электромагнитного излучения, мощные электрические и магнитные поля.
-
7.1 Оптические разъемы поверяемого анализатора и средств поверки очищают безворсовой салфеткой, смоченным изопропиловым спиртом ГОСТ 9805-84. Протирают торцы волоконно-оптических кабелей, используемых при проведении поверки.
-
7.2 Выдерживают поверяемый анализатор в условиях, указанных в 6.1 настоящей методике поверки, не менее 2 часов.
-
7.3 Включают питание всех приборов, используемых при поверке в соответствии с их РЭ. Проводят прогрев всех включенных приборов в течение не менее 2 часов.
-
8 Проведение поверки
-
8.1.1 Комплектность поверяемого анализатора должна соответствовать комплектности, приведенной в нормативной документации (руководство по эксплуатации и описание типа).
-
8.1.2 При внешнем осмотре должно быть установлено:
-
- наличие маркировки, подтверждающей тип и идентифицирующей поверяемый анализатор;
-
- отсутствие на наружных поверхностях поверяемого анализатора повреждений, влияющих на его работоспособность;
-
- отсутствие ослаблений элементов конструкции, сохранность пломб, чистота разъемов;
-
- целостность волоконно-оптических кабелей и разъемов поверяемого анализатора.
-
8.1.3 В случае обнаружения механических повреждений или нарушения целостности волоконно-оптических кабелей и разъемов необходимо связаться с производителем анализатора с помощью контактной информации, указанной в РЭ, указать характер повреждений и определить работоспособность анализатора. Если анализатор не работоспособен - дальнейшие операции поверки не проводят.
-
8.1.4 Анализатор считается прошедшим операцию поверки, если корпус, внешние элементы, органы управления и индикации не повреждены, отсутствуют механические повреждения и ослабления элементов конструкции, а комплектность анализатора соответствует разделу «Комплектность» РЭ.
-
8.2.1 Подготавливают поверяемый анализатор к работе согласно его РЭ.
-
8.2.2 Запускают на персональном компьютере (ПК) программное обеспечение (ПО) поверяемого анализатора.
-
8.2.3 Анализатор считается прошедшим операцию опробования, если ПО анализатора запускается, на мониторе, подключенном к ПК, отображается меню ПО в соответствии с РЭ на анализатор.
-
8.3.1 Проверяют соответствие заявленных идентификационных данных ПО сведениям, приведенным в описании типа на анализатор. Для этого включают анализатор, выбирают в меню ПО вкладку «About».
-
8.3.2 Анализатор считается прошедшим операцию поверки, если идентификационные данные ПО соответствуют значениям, приведенным в таблице 3.
Таблица 3 - Идентификационные данные ПО
|
Идентификационные данные (признаки) |
Значение |
|
Идентификационное наименование ПО |
DSTS Software |
|
Номер версии (идентификационный номер) ПО, не ниже |
5.0 |
|
Цифровой идентификатор ПО |
- |
-
8.4 Определение метрологических характеристик
-
8.4.1.1 Собирают установку согласно схеме, приведенной на рисунке 1. Измерения деформации проводят во всём диапазоне измерений деформации (от 0,01 до 3 %) на краях и в середине диапазона. Для этого закрепляют образец оптического волокна (ОВ) с номинальным значением длины 30 м путем намотки на оправы (на рисунке 1 показаны схематично) и подключают его к анализатору, используя, при необходимости, волоконно-оптические соединительные кабели и розетки. Создают преднатяг (предварительное удлинение) деформируемого участка ОВ. Для этого перемешают каретку с микрометрическим винтом на
расстояние 10 мм, соответствующее 0,1 % от длины растягиваемого участка ОВ. Перемещение каретки контролируют с помощью системы лазерной измерительной XL-80, для чего устанавливают на каретку отражатель из состава системы лазерной измерительной XL-80 и измеряют его перемещение согласно РЭ системы лазерной измерительной XL-80.
То sensor „ 2

From sensor
1 - поверяемый анализатор; 2 - образец ОВ с номинальным значением длины 30 м Рисунок 1 - Схема установки для определения диапазона и пределов абсолютной погрешности измерений деформации
-
8.4.1.2 С помощью поверяемого анализатора в соответствии с его РЭ проводят измерение «Baseline» и выбирают тип измерения «Relative Strain». Производят установку нуля системы лазерной измерительной XL-80 в соответствии с РЭ на нее.
-
8.4.1.3 Посредством перемещения каретки с микрометрическим винтом и контроля величины перемещения с помощью системы лазерной измерительной XL-80 производят удлинение (деформацию) образца ОВ с номинальным значением длины 30 м на величину D3m = 0,010 %, что соответствует перемещению каретки с микрометрическим винтом на 1 мм. Проводят измерение удлинения образца ОВ D,, %, где z = (1; 5), 5 раз с помощью поверяемого анализатора в соответствии с РЭ на него в одной точке по шкале длины (в середине деформируемого участка ОВ).
-
8.4.1.4 Вычисляют среднее арифметическое измеренных значений деформации ОВ Dcped-, %, ПО формуле
1=1
п
(1)
где п - количество измерений (п = 5).
-
8.4.1.5 Вычисляют среднее квадратическое отклонение (СКО) среднего арифметического результатов измерений деформации ОВ поверяемым анализатором Sd, %, по формуле
1
п -(n-V)
Х(Д-Црея)2
/=1
(2)
-
8.4.1.6 Определяют границы систематической погрешности (СП) оценки деформации ОВ без учета знака ®ц, %, по формуле
0П=Ь }-D I (3)
-
8.4.1.7 Вычисляют пределы абсолютной погрешности измерений деформации ОВ поверяемым анализатором без учета знака Дд, %, (при доверительной вероятности р = 0,95) по формуле
д° = г‘\з“+5» (4)
-
8.4.1.8 Повторяют операции п. 8.4.1.3-8.4.1.7 для значений удлинения (деформации) образца ОВ в диапазоне от 0,010 до 3 % в точках 1, 2 и 3 %.
-
8.4.1.9 Анализатор считается прошедшим операцию поверки, если диапазон измерений деформации составляет от 0,020 до 3,0 % и пределы абсолютной погрешности измерений деформации поверяемым анализатором До, %, не превышают значения ±0,015 %.
-
8.4.2.1 Собирают установку согласно схеме, приведенной на рисунке 2. Измерения температуры проводят во всём диапазоне измерений температуры (от минус 40 до плюс 125 °C) на краях и в середине диапазона. Для определения нижней границы диапазона измерений температуры поверяемым анализатором используют образец ОВ с полиимидным покрытием и номинальным значением длины 50 м. Образец ОВ с номинальной длиной 50 м помещают в камеру тепла-холода КТХ-74М.
То sensor

1 - поверяемый анализатор; 2 - образец ОВ длиной 50 метров, помещённый в камеру тепла-холода КТХ-74М;
Рисунок 2 - Схема установки для определения диапазона и пределов абсолютной погрешности измерений температуры
-
8.4.2.2 Вставляют в отверстие камеры тепла-холода КТХ-74М термометр сопротивления ТСПВ-1 и подключают его к измерителю температуры МИТ 2.05. Опускают температуру в камере до минус (40 ± 1) °C в соответствии с его РЭ. Выжидают 30 минут после достижения заданной температуры.
-
8.4.2.3 Проводят 5 измерений температуры образца ОВ с помощью МИТ 2.05 и поверяемого анализатора в соответствии с их РЭ, причём в случае анализатора в одной точке по шкале длины (в середине нагреваемого/охлаждаемого участка ОВ). Фиксируют полученные с помощью МИТ 2.05 значения результатов измерений температуры в камере Trcf °C, и температуры образца ОВ, измеренных анализатором Txt, °C, где / = (1; 5).
-
8.4.2.4 Среднее значение температуры образца ОВ Тхсред, °C, (х - номинальное значение измеряемой температуры), вычисляют по формуле
У? Ту.
'Т’„ _ ^1 = 1
1 лсред п где 0i - границы СП измерений температуры поверяемым анализатором, °C, определяемые как разность между средним арифметическим значением измеряемых температур Txcpedi °C, и средним арифметическим значением температур, полученных с помощью МИТ 2.05, Тхге/, °C;
(5)
где п - количество измерений (и = 5).
8.4.2.5 Среднее значение температуры в камере Txref, °C, (х - номинальное значение измеряемой температуры), вычисляют по формуле


(6)
8.4.2.6 СКО среднего арифметического результатов измерений температуры с помощью анализатора St , °C, вычисляют по формуле
1
ц-(ц-1)
/=1
(7)
8.4.2.7 СКО среднего арифметического результатов измерений температуры с помощью МИТ-2.05 Sr_ref, °C, вычисляют по формуле

1
п-(п-1)

(8)
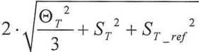
8.4.2.8 Определяют границы СП оценки температуры без учета знака 0т, °C, (при доверительной вероятности р = 0,95) по формуле
02 - границы абсолютной погрешности измерений температуры с помощью измерителя температуры МИТ 2.05, °C, указанные в описании типа на него;
0з - границы абсолютной погрешности измерений температуры с помощью термометра сопротивления ТСПВ-1, °C, указанные в описании типа на него;
04 - максимальная амплитуда колебаний температуры камеры тепла-холода КТХ-74М, °C, указанная в паспорте на нее.
-
8.4.2.9 Вычисляют границы абсолютной погрешности измерений температуры поверяемым анализатором без учета знака А^, °C, (при доверительной вероятности р = 0,95) по формуле
А

(Ю)
-
8.4.2.10 Повторяют операции п. 8.4.2.2-8.4.2.9 для значений температуры в камере тепла-холода КТХ-74М минус 20; 0; 20; 60; 90; 125 °C.
-
8.4.2.11 Анализатор считается прошедшим операцию поверки, если диапазон измерений температуры составляет от минус 40 до плюс 125 °C и границы абсолютной погрешности измерений температуры поверяемым анализатором не превышают значения ± 1,0 °C в диапазоне свыше плюс 20 до плюс 125 °C и ± 3,0 °C в диапазоне от минус 40 до плюс 20 °C включительно.
-
9.1 Результаты поверки оформляются протоколом (Приложение А). Сведения о результатах поверки передаются в Федеральный информационный фонд.
Начальник сектора Ф-3
Младший научный сотрудник лаборатории Ф-3

А.К. Митюрев
А.О. Погонышев
Приложение А (Рекомендуемое)
ФЕДЕРАЛЬНОЕ ГОСУДАРСТВЕННОЕ УНИТАРНОЕ ПРЕДПРИЯТИЕ «ВСЕРОССИЙСКИЙ НАУЧНО-ИССЛЕДОВАТЕЛЬСКИЙ ИНСТИТУТ ОПТИКО-ФИЗИЧЕСКИХ ИЗМЕРЕНИЙ»
|
(ФГУП «ВНИИОФИ») | |
|
Россия, 119361, г. Москва ул. Озерная, д. 46 |
Телефон: (495) 437-56-33; факс: (495) 437-31-47 e-mail: vniiofi(5)vniiofi.ru web-сайт: www.vniiofi.ru „ ПОВЕРКИ |
ПРОТОКОЛ ПЕРИОДИЧЕСКОЙ
Анализатор волоконно-оптический распределения механических напряжений и температуры __________________________________DSTS-C-0.1/50-1/100-Н__________________________________ (наименование, тип СИ и модификации в соответствии с описанием типа, в единственном числе)
Заводской номер: 171819-01
Владелец СИ:
ИНН владельца СИ:
Применяемые эталоны:
Применяемая методика поверки: МП 039.ФЗ-20 «ГСИ. Анализатор волоконно-
оптический распределения механических напряжений и температуры DSTS-C-0.1/50-1/100-Н. Методика поверки»
Условия поверки:
- температура окружающей среды:
- относительная влажность воздуха:
- атмосферное давление: Проведение поверки:
-
1. Внешний осмотр:
-
2. Опробование:
-
3. Идентификация программного обеспечения:
-
4. Определение метрологических характеристик:
Метрологическая характеристика
Требования технической документации
Полученные значения
Результат (соответствие)
Диапазон измерений деформации, %
от 0,020 до 3
Пределы допускаемой абсолютной погрешности измерений деформации, %
±0,015
Диапазон измерений температуры, °C
от -40 до +125
Пределы допускаемой абсолютной погрешности измерений температуры, °C:
-
- в диапазоне св. +20 до +125 °C
-
- в диапазоне от -40 до +20 °C включ.
±1,0
±3,0
-
5. Заключение по результатам поверки:
|
Поверитель: |
Дата поверки | |
|
Подпись |
Фамилия И.О. | |
|
Руководитель | ||
|
отделения: | ||
Подпись
Фамилия И.О.
