Методика поверки «ГСОЕИ. Аппаратура геодезическая спутниковая EFT M1 PLUS» (МП АПМ 65-20)
СОГЛАСОВАНО ьный директор !^прогресс-М»
. Никитин
враля 2021 г.
Государственная система обеспечения единства измерений
АППАРАТУРА ГЕОДЕЗИЧЕСКАЯ СПУТНИКОВАЯ EFT Ml PLUS
МЕТОДИКА ПОВЕРКИ МП АПМ 65-20г. Москва, 2021 г.
1 Общие положения
Настоящая методика поверки распространяется на аппаратуру геодезическую спутниковую EFT Ml PLUS, производства Hi-Target Surveying instrument Co., Ltd., КНР (далее -аппаратуру) и устанавливает методику ее первичной и периодической поверки.
Выполнение всех требований настоящей методики обеспечивает прослеживаемость поверяемого средства измерений к следующим государственным первичным эталонам:
ГПСЭ единицы длины в диапазоне до 4000 км
Интервал между поверками - 1 год.
2 Перечень операций поверки средства измерений
При проведении поверки средства измерений (далее - поверки) должны выполняться операции, указанные в таблице 1.
'аблица 1 - Операции поверки
|
Наименование операции |
№ пункта документа по поверке |
Проведение операций при | |
|
первичной поверке |
периодической поверке | ||
|
Внешний осмотр средства измерений |
7 |
Да |
Да |
|
Подготовка к поверке и опробование средства измерений |
8 |
Да |
Да |
|
Проверка программного обеспечения средства измерений |
9 |
Да |
Да |
|
Определение метрологических характеристик |
10 |
- |
- |
|
Определение диапазона, абсолютной и средней квадратической погрешностей измерений длин базисов в режимах «Статика», «Быстрая статика» |
10.1 |
Да |
Да* |
|
Определение диапазона, абсолютной и средней квадратической погрешностей измерений длин базисов в режимах «Кинематика», «Кинематика в реальном времени (RTK)» |
10.2 |
Да |
Да* |
|
Определение диапазона, абсолютной и средней квадратической погрешностей измерений длин базисов в режиме «Дифференциальный кодовый (dGNSS)» |
10.3 |
Да |
Да* |
|
Определение диапазона, абсолютной и средней квадратической погрешностей определения координат в режиме «Автономный» |
10.4 |
Да |
Да* |
* - в случае применения аппаратуры для работ, не требующих использования всех режимов измерений при периодической поверке по письменному заявлению владельца СИ допускается поверка аппаратуры по сокращенному числу режимов измерений с обязательной передачей в Федеральный информационный фонд по обеспечению единства измерений информации об объеме проведенной поверки.
3 Требования к условиям проведения поверки
При проведении поверки должны соблюдаться, следующие нормальные условия измерений:
- температура окружающей среды, °C от -45 до +65.
Полевые измерения (измерения на открытом воздухе) должны проводиться при отсутствии осадков, порывов ветра и при температуре окружающей среды в диапазоне от минус 45 до плюс 65 °C.
4 Требования к специалистам, осуществляющим поверку
К проведению поверки допускаются лица, изучившие эксплуатационную документацию на аппаратуру и средства поверки, и аттестованные в качестве поверителя средств измерений в установленном порядке.
5 Метрологические и технические требования к средствам поверки
При проведении поверки должны применяться эталоны и вспомогательные средства поверки, приведенные в таблице 2.
|
"аблица 2 - Средства поверки | |
|
№ пункта документа по поверке |
Наименование средств поверки и их основные метрологические и технические характеристики |
|
7 |
Эталоны не применяются |
|
8 | |
|
9 | |
|
10.1 |
Фазовый светодальномер (тахеометр) или эталонный базисный комплекс 2 разряда в соответствии с Государственной поверочной схемой для координатно-временных средств измерений, утверждённой Приказом Госстандарта от 29.12.2018 г., № 2831; Рулетка измерительная металлическая UM3M (per. № 22003-07) |
|
10.2 | |
|
10.3 | |
|
10.4 |
Имитатор сигналов СН-3803М (per. № 54309-13) |
Допускается применять другие средства поверки, обеспечивающие определение метрологических характеристик с точностью, удовлетворяющей требованиям настоящей методики поверки.
6 Требования (условия) по обеспечению безопасности проведения поверки
При проведении поверки, меры безопасности должны соответствовать требованиям по технике безопасности согласно эксплуатационной документации на аппаратуру и поверочное оборудование, правилам по технике безопасности, действующим на месте проведения поверки, а также правилам по технике безопасности при производстве топографо-геодезических работ ПТБ-88 (Утверждены коллегией ГУГК при СМ СССР 09.02.1989 г., № 2/21).
7 Внешний осмотр средства измерений
При внешнем осмотре должно быть установлено соответствие аппаратуры следующим требованиям:
-
- соответствие внешнего вида аппаратуры описанию типа средств измерений;
-
- пломбирование одного из крепежных винтов под аккумуляторной крышкой;
-
- отсутствие механических повреждений и других дефектов, способных оказать влияние на безопасность проведение поверки или результаты поверки.
Если перечисленные требования не выполняются, аппаратуру признают непригодной к применению, дальнейшие операции поверки не производят.
8 Подготовка к поверке и опробование средства измерений
-
8.1 Перед проведением поверки должны быть выполнены следующие подготовительные работы:
-
- проверить наличие действующих свидетельств о поверке на эталонные средства измерений;
-
- аппаратуру и средства поверки привести в рабочее состояние в соответствии с их эксплуатационной документацией;
-
- аппаратура должна быть установлена на специальных основаниях (фундаментах) или штативах, не подвергающихся механическим (вибрация, деформация, сдвиги) и температурным воздействиям.
-
8.2 При опробовании должно быть установлено соответствие аппаратуры следующим требованиям:
-
- отсутствие качки и смещений неподвижно соединенных деталей и элементов аппаратуры;
-
- правильность взаимодействия с комплектом принадлежностей;
-
- работоспособность всех функциональных режимов в соответствии с эксплуатационной документацией.
9 Проверка программного обеспечения средства измерений
Проверку идентификационных данных программного обеспечения (далее - ПО) проводить следующим образом:
-
- для идентификации ВПО, установленного в аппаратуру, необходимо подключиться к приёмнику с помощью ПО «EFT Field Survey», установленного на контроллер, и на вкладке «Связь» перейти в меню «Приёмник»;
-
- для идентификации ПО «EFT Field Survey», установленного на контроллер, необходимо запустить ПО «EFT Field Survey» и на вкладке «Проект» перейти в меню «Установки»;
-
- для идентификации ПО «EFT Seismic», установленного на контроллер, необходимо открыть меню ОС открыть пункт «Настройки», выбрать подменю «Приложения» и выбрать приложение «EFT Seismic», в открывшемся окне будет отображена необходимая информация;
-
- для идентификации ПО «Carlson SurvCE», установленного на контроллер, необходимо запустить ПО «Carlson SurvCE», перейти на вкладку «Оборудование» и выбрать пункт «0 О программе»;
-
- для идентификации ПО «Carlson SurvPC», установленного на ПК или контроллер, необходимо запустить ПО «Carlson SurvPC», перейти на вкладку «Оборудование» и выбрать пункт «О программе»;
-
- для идентификации ПО «EFT Post Processing», установленного на ПК, необходимо запустить ПО «EFT Post Processing» и выбрать в меню «Справка» пункт «О программе»;
-
- для идентификации ПО «EFT SeisMonitor», установленного на ПК, необходимо запустить ПО «EFT SeisMonitor» и выбрать в меню «Справка» пункт «О программе».
Номер версии ПО должен соответствовать данным, приведенным в таблице 3. Таблица 3
|
Идентификационное наименование ПО |
ВПО |
EFT Field Survey |
EFT Seismic |
Carlson SurvCE |
Carlson SurvPC |
EFT Post Processing |
EFT SeisMonitor |
|
Номер версии (идентификационны й номер ПО), не ниже |
1.8.4 |
4.1.1 |
4.1.1 |
5.01 |
5.0 |
1.1.0 |
1.0.0 |
-
10 Определение метрологических характеристик средства измерений
10.1 Определение диапазона, абсолютной и средней квадратической погрешностей измерений длины базиса в режимах «Статика» и «Быстрая статика»
Диапазон, абсолютная и средняя квадратическая погрешности измерений длины базиса в режимах «Статика», «Быстрая статика» определяются путем многократных измерений (не менее 5) двух интервалов эталонного базисного комплекса или двух контрольных длин базиса, определённых фазовым светодальномером (тахеометром), 2 разряда в соответствии с Государственной поверочной схемой для координатно-временных средств измерений, утверждённой Приказом Госстандарта от 29.12.2018 г. № 2831 и действительные значения которых расположены в диапазоне от 0 до 30,0 км.
Установить поверяемую аппаратуру над центрами пунктов базиса и привести ее спутниковые антенны к горизонтальной плоскости.
Измерить высоту установки антенн аппаратуры с помощью рулетки.
Включить аппаратуру и настроить ее на сбор данных (измерений) в соответствующем режиме измерений согласно требованиям руководства по эксплуатации.
Убедиться в правильности функционирования и отсутствии помех приему сигнала со спутников.
Провести измерения поверяемой аппаратурой при условиях, указанных в таблице 4 настоящей методики поверки.
Таблица 4
|
Гежим измерений |
Количество спутников, шт. |
Время измерений, мин |
Интервал между эпохами, с. |
|
Статика, Быстрая статика |
от 20,0 до 60,0 | ||
|
Кинематика, Кинематика в реальном времени (RTK), Дифференциальный кодовый (dGNSS) |
>6 |
от 0,05 до 0,20* |
1 |
|
Измерение координат на неподвижном основании |
120 | ||
|
Испытания проводятся при устойчивом закреплении испытываемой аппаратуры, открытом небосводе, отсутствии электромагнитных помех и многолучевого распространения сигнала спутников, а также при хорошей конфигурации спутниковых группировок. | |||
|
* - после выполнения инициализации или достижения сходимости | |||
Выключить аппаратуру согласно требованиям руководства по эксплуатации. Результат измерений не должен отличаться от значения , полученного до начала съёмки аппаратурой, более чем на величину погрешности, приписанную эталонному тахеометру. В случае, если измеренная длина базиса отличается от значения Lj , полученного до начала съёмки аппаратурой, более чем на величину погрешности, необходимо повторить съёмку аппаратурой заново.
Провести обработку данных с использованием штатного ПО к аппаратуре.
Абсолютная погрешность измерений длины базиса для больших длин определяется в режимах «Статика», «Быстрая статика» по приращению координат замкнутой фигуры (треугольника), длины сторон которой находятся в диапазоне от 3,0 км до 30,0 км, в соответствии с п. 6.4. МИ 2408-97 «Аппаратура пользователей космических навигационных систем геодезическая. Методика поверки».
Следует последовательно устанавливать аппаратуру на пунктах, образующих треугольник и согласно руководству по эксплуатации выполнить измерения и вычислить приращения координат между пунктами.
-
10.2 Определение диапазона, абсолютной и средней квадратической погрешностей измерений длин базисов в режимах «Кинематика», «Кинематика в реальном времени (RTK)»
Диапазон, абсолютная и средняя квадратическая погрешности измерений длины базиса в режимах «Кинематика», «Кинематика в реальном времени (RTK)» определяются путем многократных измерений (не менее 10) интервала эталонного базисного комплекса или контрольной длины базиса, определённой фазовым светодальномером (тахеометром), 2 разряда в соответствии с Государственной поверочной схемой для координатно-временных средств измерений, утверждённой Приказом Госстандарта от 29.12.2018 г. № 2831 и действительное значение которого расположено в диапазоне от 0 до 30,0 км.
Установить поверяемую аппаратуру над центрами пунктов базиса и привести ее спутниковые антенны к горизонтальной плоскости.
Измерить высоту установки антенн аппаратуры с помощью рулетки.
Включить аппаратуру и настроить ее на сбор данных (измерений) в соответствующем режиме измерений согласно требованиям руководства по эксплуатации.
Убедиться в правильности функционирования и отсутствии помех приему сигнала со спутников.
Провести измерения поверяемой аппаратурой при условиях, указанных в таблице 4 настоящей методике поверки.
Выключить аппаратуру согласно требованиям руководства по эксплуатации.
При использовании контрольной длины базиса, ещё раз измерить эталонным дальномером её значения. Результат измерений не должен отличаться от значения Ljg, полученного до начала съёмки аппаратурой, более чем на величину погрешности, приписанную эталонному дальномеру. В случае если измеренная длина отличается от значения Ь7о, полученного до начала съёмки аппаратурой, более чем на величину погрешности, необходимо повторить съёмку аппаратурой заново.
Провести обработку данных с использованием штатного ПО к аппаратуре.
Абсолютная погрешность измерений длины базиса для больших длин определяется по приращению координат замкнутой фигуры (треугольника), длины сторон которой находятся в диапазоне от 3,0 км до 30,0 км, в соответствии с п. 6.4. МИ 2408-97 «Аппаратура пользователей космических навигационных систем геодезическая. Методика поверки».
Следует последовательно устанавливать аппаратуру на пунктах, образующих треугольник и согласно руководству по эксплуатации выполнить измерения и вычислить приращения координат между пунктами.
10.3 Определение диапазона, абсолютной и средней квадратической погрешностей измерений в режиме «Дифференциальные кодовые измерения (DGPS)»
Диапазон, абсолютная и средняя квадратическая погрешности длины базиса в режиме «Дифференциальные кодовые измерения (DGPS)» определяются путем многократных измерений (не менее 10) интервала эталонного базисного комплекса или контрольной длины базиса, определённой фазовым светодальномером (тахеометром), 2 разряда в соответствии с Государственной поверочной схемой для координатно-временных средств измерений, утверждённой Приказом Росстандарта от 29.12.2018 г. № 2831 и действительное значение которого расположено в диапазоне от 0 до 30,0 км.
Установить поверяемую аппаратуру над центрами пунктов базиса и привести ее спутниковые антенны к горизонтальной плоскости.
Измерить высоту установки антенн аппаратуры с помощью рулетки.
Включить аппаратуру и настроить ее на сбор данных (измерений) в соответствующем режиме измерений согласно требованиям руководства по эксплуатации.
Убедиться в правильности функционирования и отсутствии помех приему сигнала со спутников.
Провести измерения на поверяемой аппаратуре при условиях, указанных в таблице 4 настоящей методики поверки.
Выключить аппаратуру согласно требованиям руководства по эксплуатации.
Ещё раз измерить эталонным тахеометром длину базиса. Результат измерений не должен отличаться от значения Lj, полученного до начала съёмки аппаратурой, более чем на величину погрешности, приписанную эталонному дальномеру. В случае если измеренная длина отличается от значения Lj, полученного до начала съёмки аппаратурой, более чем на величину погрешности, необходимо повторить съёмку аппаратурой заново.
Абсолютная погрешность измерений длины базиса для больших длин определяется по приращению координат замкнутой фигуры (треугольника), длины сторон которой находятся в диапазоне от 3,0 км до 30,0 км, в соответствии с п. 6.4. МИ 2408-97 «Аппаратура пользователей космических навигационных систем геодезическая. Методика поверки».
Следует последовательно устанавливать аппаратуру на пунктах, образующих треугольник и согласно руководству по эксплуатации выполнить измерения и вычислить приращения координат между пунктами.
10.4 Определение абсолютной и средней квадратической погрешностей определения координат в режиме «Автономный»
Абсолютная и средняя квадратическая погрешности измерений определения координат в режиме «Автономный» определяются с помощью имитатора сигналов космических навигационных систем ГЛОНАСС/GPS. Измерения следует выполнять в соответствии с руководством по эксплуатации при моделировании имитатором сигналов условий (сценария) неподвижности аппаратуры.
Собрать схему измерений с имитатором сигналов в соответствии с рисунком 1:
|
радионевигапионныи сигнал | ||
|
Имитатор сигналов |
-—-------1 | |
|
1 1 1 1 | ||
|
1 " 1 |
1 |
2
Аппаратура
Рисунок 1 - Схема измерений
-
1 - переизлучающая антенна;
-
2 - экранированная камера (из состава имитатора сигналов)
Составить сценарий имитации с параметрами, приведенными в таблице 5. Отслеживать значение геометрического фактора PDOP (не должно превышать 4).
Таблица 5
|
Наименование параметра имитации |
Значение параметра имитации |
|
Формируемые спутниковые навигационные сигналы |
ГЛОНАСС и GPS (код С/А без SA) |
|
Продолжительность |
120 мин. |
|
Количество каналов: - ГЛОНАСС -GPS |
8 8 |
|
Параметры среды распространения навигационных сигналов:
|
отсутствует присутствует |
|
Координаты в системе координат WGS-84:
|
60°00'000000 N 30°00'000000 Е 100,00 18,00 |
Запустить сценарий имитации.
Включить образцы аппаратуры и настроить их на сбор данных (измерений) в необходимом режиме согласно требованиям руководства по эксплуатации. Настроить образцы аппаратуры на выдачу результатов измерений в протоколе NMEA. Осуществить запись измерений в формате NMEA сообщений с частотой 1 Гц в течение 120 минут, при условиях, указанных в таблице 4.
Выключить аппаратуру согласно требованиям руководства по эксплуатации.
Провести постобработку собранных данных с помощью прикладного ПО на ПК.
11. Подтверждение соответствия средства измерений метрологическим требованиям
-
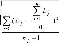
11.1 Абсолютная погрешность измерений каждой длины базиса (при доверительной вероятности 0,95) в режимах «Статика», «Быстрая статика», «Кинематика», «Кинематика в реальном времени (RTIC)», «Дифференциальные кодовые измерения (DGPS)» определяется как сумма систематической и случайной погрешностей по формуле:

./

, где
- погрешность измерений j длины базиса в плане/по высоте, мм;
L ■ - эталонное значение j длины базиса в плане/по высоте, мм;
Lj - измеренное испытываемой аппаратурой значение j длины базиса i измерением в плане/по высоте, мм;
nj - число измерений j длины базиса.
Средняя квадратическая погрешность измерений длины базиса в режимах «Статика», «Быстрая статика», «Кинематика», «Кинематика в реальном времени (RTK)», «Дифференциальные кодовые измерения (DGPS)» определяется по формуле:
т - средняя квадратическая погрешность измерений длины базиса.
Значения абсолютной (при доверительной вероятности 0,95) и средней квадратической погрешностей измерений для каждой длины базиса в режимах «Статика», «Быстрая статика», «Кинематика», «Кинематика в реальном времени (RTK)», «Дифференциальные кодовые измерения (DGPS)» в диапазоне измерений от 0 до 30000 м не должны превышать значений, приведенных в Приложении А к настоящей методике поверки.
Сумма приращений координат (невязка координат) замкнутой фигуры не должна превышать значений, вычисленных по формуле:
Wx,Y,z - ^(Д1ХГ,Р2 + (Д2х,г,г)2 + (Дзх,к,г)2 >
где WXiYiZ ~ невязка координат в плане/по высоте, мм;
Д1ХУ7 - допустимые значения погрешности приращений координат для i стороны треугольника в плане/по высоте, мм, приведенных в Приложении А к настоящей методике поверки.
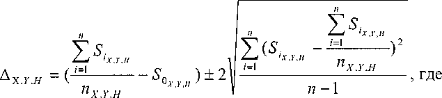
11.2. Абсолютная погрешность определения координат в режиме «Автономный» вычисляется как сумма систематической и случайной погрешности по выражению:

Y н - погрешность измерений координат X, Y, Н, мм;
S), у н - эталонные значения координат X, Y, Н задаваемые имитатором сигналов, мм;
^iXYH ~ измеРенные аппаратурой значения координат X, Y, Н, мм;
пх y н ~ число измерений координат X, Y Н.
Примечание.
X,Y - прямоугольные координаты, полученные преобразованием сферических координат (широта, долгота,) по алгоритму ГОСТ Р 51794-2001 «Системы координат. Методы преобразований координат определяемых точек»
Средняя квадратическая погрешность определения координат в режиме «Автономный» на неподвижном основании определяется по формуле:

где ТП - средняя квадратическая погрешность измерений координат.
Значения абсолютной (при доверительной вероятности 0,95) и средней квадратической погрешностей определения координат на неподвижном основании не должно превышать значений, указанных в Приложении А к настоящей методике поверки.
Если хотя бы одно из перечисленных требований не выполняется, аппаратуру признают непригодной к применению.
12 Оформление результатов поверки
-
12.1 Результаты поверки оформляются протоколом, составленным в виде сводной таблицы результатов поверки по каждому пункту разделов 7-11 настоящей методики поверки.
-
12.2 Сведения о результатах поверки средств измерений в целях подтверждения поверки должны быть переданы в Федеральный информационный фонд по обеспечению единства измерений.
-
12.3 При положительных результатах поверки аппаратура признается пригодной к применению и по заявлению владельца средств измерений или лица, представляющего средства измерений на поверку выдается свидетельство о поверке установленной формы. Нанесение знака поверки на средство измерений не предусмотрено.
-
12.4 При отрицательных результатах поверки, аппаратура признается непригодной к применению и по заявлению владельца средств измерений или лица, представляющего средства измерений на поверку выдаётся извещение о непригодности установленной формы с указанием основных причин.
Руководитель отдела
ООО «Автопрогресс-М»
К. А. Ревин
(Обязательное)
Метрологические характеристикиТаблица А.1 - Метрологические характеристики
|
Наименование характеристики |
Значение |
|
Диапазон измерений длины базиса, м |
от 0 до 30000 |
|
Границы допускаемой абсолютной погрешности измерений длины базиса (при доверительной вероятности 0,95) в режимах, мм:
|
±2-(2,5±0,3-10'6-D) ±2-(5,0±0,5-10’6-D) ±2-(5,0±0,5-10’6-D) ±2-(10,0+0,8-10-6-D) ±2-(250±l-10~6-D) ±2-(500±l-10’6-D) |
|
Границы допускаемой абсолютной погрешности определения координат (при доверительной вероятности 0,95) в режиме «Автономный», мм:
|
±2-1000 ±2-1500 |
|
Допускаемая средняя квадратическая погрешность измерений длины базиса, мм, в режимах:
|
2,5±0,3-10‘6-D 5,0±0,5-10’6-D 5,0±0,5-10'6-D 10,0±0,8-10’6-D 250,0±l-10'6-D 500,0±l-10-6-D, где D - измеряемое расстояние в мм |
|
Допускаемая средняя квадратическая погрешность измерения координат, в режиме «Автономный», мм:
|
1000 1500 |
