Методика поверки « Государственная система обеспечения единства измерений Система измерений количества и показателей качества нефти No 727» (MП 0959-14-2019)
ФЕДЕРАЛЬНОЕ АГЕНТСТВО ПО ТЕХНИЧЕСКОМУ РЕГУЛИРОВАНИЮ И МЕТРОЛОГИИ
Федеральное государственное унитарное предприятие «Всероссийский научно - исследовательский институт расходометрии»
Государственный научный метрологический центр
ФГУП «ВНИИР»
УТВЕРЖДАЮ
ИНСТРУКЦИЯ
Государственная система обеспечения единства измерений
Система измерений количества и показателей качества нефти № 727 Методика поверки
МП 0959-14-2019
Начальник НИО-14
______Р.Н. Груздев
Тел.: (843)299-72-00
г. Казань
2019
РАЗРАБОТАНА
ФГУП «ВНИИР»
ИСПОЛНИТЕЛИ
Загидуллин Р.И.
УТВЕРЖДЕНА
ФГУП «ВНИИР»
Настоящая методика поверки распространяется на систему измерений количества и показателей качества нефти № 727 (далее - СИКН) и устанавливает объём, порядок и методику проведения первичной и периодической поверок СИКН на месте ее эксплуатации.
Если очередной срок поверки средства измерений (измерительного компонента) из состава СИКН наступает до очередного срока поверки СИКН, или появилась необходимость проведения периодической или внеочередной поверки средства измерений (измерительного компонента), то поверяют только это средство измерений (измерительный компонент), при этом внеочередную поверку СИКН не проводят.
Допускается проведение поверки СИКН в части отдельных измерительных каналов в соответствии с заявлением владельца СИКН, с обязательным указанием в свидетельстве о поверке СИКН информации об объеме проведенной поверки.
Интервал между поверками - 12 месяцев.
1 Операции поверки1.1 При проведении поверки выполняют операции, приведенные в таблице 1. Таблица 1 - Операции поверки
|
Наименование операции |
Номер пункта методики поверки |
Проведение операции при | |
|
первичной поверке |
периодической поверке | ||
|
Внешний осмотр |
6.1 |
Да |
Да |
|
Подтверждение соответствия программного обеспечения СИКН |
6.2 |
Да |
Да |
|
Опробование |
6.3 |
Да |
Да |
|
Определение(контроль) метрологических характеристик |
6.4 |
Да |
Да |
1.2 Если при проведении какой-либо операции поверки получен отрицательный результат, дальнейшую поверку не проводят.
2 Средства поверки-
2.1 Рабочий эталон 2 разряда по части 2 Государственной поверочной схемы для средств измерений массы и объема жидкости в потоке, объема жидкости и вместимости при статических измерениях, массового и объемного расходов жидкости, утвержденной Приказом Федерального агентства по техническому регулированию и метрологии от 07 февраля 2018 г. № 256.
Примечание - В качестве рабочего эталона 2 разряда применяют установку поверочную трубопоршневую двунаправленную (далее - ТПУ), с диапазоном измерений расхода, обеспечивающим возможность определения MX ИК объемного расхода во всем диапазоне измерений, и пределами допускаемой относительной погрешности ±0,10 %.
-
2.2 Преобразователь плотности жидкости измерительный модели 7835 (далее - ПП), входящий в состав СИКН, с пределами допускаемой абсолютной погрешности ±0,3 кг/м3.
-
2.3 Средства измерений давления с унифицированным выходным сигналом (далее -преобразователи давления) с пределами допускаемой приведенной погрешности ±0,5 %.
Примечание - Допускается применять манометры класса точности 0,6.
-
2.4 Средства измерений температуры с унифицированным выходным сигналом (далее - преобразователи температуры) и пределами допускаемой абсолютной погрешности ±0,2 °C.
Примечание - Допускается применять термометры ртутные стеклянные с пределами допускаемой абсолютной погрешности ±0,2 °C.
-
2.5 Комплекс измерительно-вычислительный ИМЦ-03 (далее - ИВК) с пределами допускаемой относительной погрешности преобразования входных электрических сигналов в значение коэффициента преобразования ±0,25 %.
-
2.6 Допускается применение аналогичных средств поверки, обеспечивающих определение метрологических характеристик поверяемых средств измерений (СИ) с требуемой точностью.
При проведении поверки соблюдают требования, определяемые:
-
- в области охраны труда - Трудовой кодекс Российской Федерации;
-
- в области промышленной безопасности - Федеральные нормы и правила в области промышленной безопасности «Правила безопасности в нефтяной и газовой промышленности» (приказ Ростехнадзора № 101 от 12 марта 2013 г. «Об утверждении Федеральных норм и правил в области промышленной безопасности «Правила безопасности в нефтяной и газовой промышленности»), Руководство по безопасности «Рекомендации по устройству и безопасной эксплуатации технологических трубопроводов» (приказ № 784 от 27 декабря 2012 г. «Об утверждении Руководства по безопасности «Рекомендации по устройству и безопасной эксплуатации технологических трубопроводов»), а также другими действующими отраслевыми нормативными документами;
-
- в области пожарной безопасности - Федеральный закон Российской Федерации от 22 июля 2008 г. № 123-ФЗ «Технический регламент о требованиях пожарной безопасности», Постановление Правительства Российской Федерации от 25 апреля 2012 г. № 390 «О противопожарном режиме» (вместе с «Правилами противопожарного режима в Российской Федерации»), СНиП 21.01-97 (с изм. № 1,2) «Пожарная безопасность зданий и сооружений»;
-
- в области соблюдения правильной и безопасной эксплуатации электроустановок -Правила технической эксплуатации электроустановок потребителей;
-
- в области охраны окружающей среды - Федеральный закон Российской Федерации от 10 января 2002 г. № 7-ФЗ «Об охране окружающей среды» и другими действующими законодательными актами на территории РФ.
-
4.1 Поверку СИКН проводят на месте эксплуатации в диапазоне измерений, указанном в описании типа, или в фактически обеспечивающимся при поверке диапазоне измерений с обязательным указанием в свидетельстве о поверке информации об объеме проведенной поверки. Фактический диапазон измерений не может превышать диапазона измерений, указанного в описании типа СИКН.
-
4.2 Характеристики СИКН и параметры измеряемой среды при проведении поверки должны соответствовать требованиям, приведенным в таблице 2.
-
4.3 Соответствие параметров измеряемой среды, указанных в таблице 2, проверяют по данным паспортов качества нефти.
Таблица 2 - Характеристики СИКН и параметры измеряемой среды
|
Наименование характеристики |
Значение |
|
Диапазон измерений объемного расхода, м3/ч |
от 400 до 14400 |
|
Пределы допускаемой относительной погрешности измерений массы брутто нефти, % |
±0,25 |
|
Пределы допускаемой относительной погрешности измерений массы нетто нефти, % |
±0,35 |
|
Избыточное давление, МПа, не более |
1,6 |
Продолжение таблицы 2
|
Наименование характеристики |
Значение |
|
Параметры измеряемой среды | |
|
Измеряемая среда |
нефть по ГОСТ Р 51858-2002 «Нефть. Общие технические условия» |
|
Температура, °C |
от +5 до +40 |
|
Плотность измеряемой среды при температуре +20 °C и избыточном давлении 0 МПа, кг/м3 |
от 850 до 895 |
|
Вязкость кинематическая, мм2/с (сСт) |
от 2 до 60 |
|
Массовая доля воды, %, не более |
0,5 |
|
Массовая доля механических примесей, %, не более |
0,05 |
|
Массовая концентрация хлористых солей, мг/дм3, не более |
100 |
|
Давление насыщенных паров, кПа (мм рт. ст.), не более |
66,7 (500) |
|
Массовая доля серы, %, не более |
1,80 |
|
Массовая доля парафина, %, не более |
6,0 |
|
Содержание свободного газа |
не допускается |
-
4.4 При определении метрологических характеристик (MX) измерительного канала (ИК) объемного расхода соблюдают следующие условия:
-
- определение MX проводят на месте эксплуатации в комплекте с элементами измерительных линий;
-
- отклонение объемного расхода измеряемой среды от установленного значения в процессе определения MX не должно превышать 2,5 %;
-
- изменение температуры измеряемой среды в ТПУ и в преобразователе расхода жидкости турбинном HELIFLU TZ-N с Ду 400 мм, входящего в состав ИК объемного расхода (далее - ТПР) за время измерения не должно превышать 0,2 °C;
-
- температура, влажность окружающей среды и параметры измеряемой среды соответствуют условиям эксплуатации СИКН;
-
- диапазоны рабочего давления и объемного расхода определяются типоразмером ТПР, рабочим диапазоном объемного расхода ТПУ и технологическими требованиями;
-
- содержание свободного газа не допускается;
-
- для обеспечения бескавитационной работы избыточное давление в трубопроводе после ТПР, , МПа, должно быть не менее вычисленного по формуле
^i„=2,06-?„n+2A/>> (1)
где Р„п - давление насыщенных паров, определенное в соответствии с ГОСТ 1756-2000 «Нефтепродукты. Определение давления насыщенных паров» при максимально возможной температуре измеряемой среды, МПа;
ДР - перепад давления на ТПР, указанный в технической документации, МПа.
-
4.5 Регулирование объемного расхода проводят при помощи регуляторов расхода, расположенных на выходе ТПУ и (или) на измерительных линиях. Допускается вместо регуляторов расхода использовать запорную арматуру.
-
5.1 При подготовке к поверке проводят работы в соответствии с инструкцией по эксплуатации СИКН.
-
5.2 Проверяют наличие действующих знаков поверки, нанесенных на СИ и (или) свидетельства о поверке и (или) паспорта (формуляры) на средства поверки.
-
5.3 Проверяют правильность монтажа ТПУ, СИ, применяемых при определении MX, иТПР.
-
5.4 Подготавливают ТПУ и СИ, применяемые при определении MX, согласно указаниям технической документации.
-
5.5 Вводят в память ИВК или проверяют введенные ранее данные, необходимые для обработки результатов определения MX.
-
5.6 Проверяют отсутствие газа в измерительной линии с ТПР и ТПУ, а также в верхних точках трубопроводов. Для этого устанавливают объемный расход измеряемой среды в пределах диапазона измерений ТПР и открывают краны, расположенные в высших точках измерительной линии и ТПУ. Проводят 1-3 раза запуск поршня, удаляя после каждого запуска газ. Считают, что газ (воздух) отсутствует полностью, если из кранов вытекает струя измеряемой среды без газовых пузырьков.
-
5.7 При рабочем давлении проверяют герметичность системы, состоящей из ТПР и ТПУ. При этом не допускается появление капель или утечек измеряемой среды через сальники, фланцевые, резьбовые или сварные соединения при наблюдении в течение 5 мин.
-
5.8 Проверяют герметичность задвижек, через которые возможны утечки измеряемой среды, влияющие на результаты измерений при определении MX.
-
5.9 Проверяют герметичность устройства пуска и приема поршня ТПУ в соответствии с технической документацией.
-
5.10 Проверяют стабильность температуры измеряемой среды. Температуру измеряемой среды считают стабильной, если ее изменение в ТПУ и в ТПР не превышает 0,2 °C за время измерения.
-
5.11 Определяют плотность измеряемой среды за время определения MX с помощью ПП или в испытательной лаборатории по ГОСТ 3900-85 «Нефть и нефтепродукты. Методы определения плотности» с учетом Р 50.2.076-2010 «ГСП. Плотность нефти и нефтепродуктов ».
-
5.12 Определяют кинематическую вязкость измеряемой среды за время определения MX с помощью преобразователя плотности и вязкости жидкости измерительного модели 7829, входящего в состав СИКН, или в испытательной лаборатории по ГОСТ 33-2016 «Нефть и нефтепродукты. Прозрачные и непрозрачные жидкости. Определение кинематической и динамической вязкости».
-
6.1 Внешний осмотр
-
6.1.1 При внешнем осмотре проверяют комплектность и внешний вид.
-
6.1.2 Комплектность СИКН должна соответствовать ее описанию типа и эксплуатационной документации.
-
6.1.3 При проверке внешнего вида должно быть установлено соответствие СИКН следующим требованиям:
-
-
- на компонентах СИКН не должно быть механических повреждений и дефектов покрытия, ухудшающих внешний вид и препятствующих их применению;
-
- надписи и обозначения на компонентах СИКН должны быть четкими и соответствовать технической документации.
-
6.1.4 При внешнем осмотре ИК объемного расхода устанавливают соответствие ТПР, входящего в состав ИК, следующим требованиям:
-
- комплектность соответствует указанной в технической документации;
-
- отсутствуют механические повреждения и дефекты, препятствующие применению;
-
- надписи и обозначения на ТПР четкие и соответствуют требованиям технической документации.
-
6.1.5 СИКН не прошедшая внешний осмотр, к дальнейшей поверке не допускается.
-
6.2 Подтверждение соответствия программного обеспечения (ПО) СИКН.
-
6.2.1 Проверяют соответствие идентификационных данных ПО СИКН сведениям, приведенным в описании типа на СИКН.
-
6.2.2 Определение идентификационных данных ПО комплекса измерительновычислительного ИМЦ-03 (далее - ИВК) проводят в следующей последовательности:
-
-
- включить питание ИВК, если питание было выключено;
-
- дождаться после включения питания появления на дисплее ИВК основного меню или войти в основное меню;
-
- в основном меню выбрать пункт «ПРОСМОТР 2»;
-
- выбрать пункт меню «ВЕРСИЯ ПРОГРАММЫ»;
-
- на экране отобразятся идентификационные данные ПО.
-
6.2.3 Определение идентификационных данных ПО автоматизированного рабочего места (АРМ) оператора системы «Rate АРМ оператора УУН» проводят в следующей последовательности:
-
- в верхней части главного окна программы необходимо нажать вкладку «Версия»;
-
- в открывшемся окне нажать вкладку «Получить данные по библиотеке», после чего отобразятся идентификационные данные.
-
6.3 Опробование
-
6.3.1 Проверяют действие и взаимодействие компонентов СИКН в соответствии с инструкцией по эксплуатации СИКН, возможность получения отчетов следующим образом:
-
-
- проверяется наличие электропитания элементов СИКН и средств поверки;
-
- проверяется наличие связи между первичными преобразователями, вторичной аппаратурой и ИВК, ИВК и АРМ оператора СИКН путем визуального контроля меняющихся значений измеряемых величин на дисплее компьютера АРМ оператора;
-
- проверяется работоспособность запорно-регулирующей арматуры путем ее открытия и закрытия;
-
- используя печатающее устройство с компьютера АРМ оператора СИКН, распечатываются пробные отчеты (протоколы поверки и др. отчеты).
-
6.3.2 Проверяют герметичность СИКН.
На элементах и компонентах СИКН не должно быть следов протечек нефти.
-
6.3.3 Опробование при определении MX ИК объемного расхода
-
6.3.3.1 Опробование ТПР проводят совместно с эталонами и средствами измерений, применяемыми при определении MX ИК объемного расхода.
-
6.3.3.2 Устанавливают объемный расход измеряемой среды в пределах рабочего диапазона измерений расхода ТПР.
-
6.3.3.3 Наблюдают на дисплее ИВК значения следующих параметров:
-
-
- частоты выходного сигнала ТПР;
-
- объемного расхода измеряемой среды;
-
- температуры и давления измеряемой среды в ТПР;
-
- температуры и давления измеряемой среды на входе и выходе ТПУ;
-
- кинематической вязкости измеряемой среды;
-
- плотности, температуры и давления измеряемой среды в ПП.
-
6.3.3.4 Запускают поршень ТПУ. При срабатывании первого детектора наблюдают за началом отсчета импульсов выходного сигнала ТПР, при срабатывании второго детектора -за окончанием отсчета импульсов. Для двунаправленных ТПУ проводят те же операции при движении поршня в обратном направлении.
-
6.4 Определение (контроль) метрологических характеристик
-
6.4.1 Определение MX ИК объемного расхода.
-
При определении MX ИК объемного расхода определяют следующие MX:
-
- коэффициенты преобразования ТПР в точках рабочего диапазона измерений объемного расхода;
-
- границы относительной погрешности ИК объемного расхода в рабочем диапазоне измерений объемного расхода.
Определение MX проводят не менее чем в трёх точках рабочего диапазона измерений объемного расхода. Значения объемного расхода (точки рабочего диапазона) рекомендуется выбирать с интервалом не более 20 % от максимального значения объемного расхода ТПР. В каждой точке рабочего диапазона измерений объемного расхода для ТПР проводят не менее пяти измерений.
Последовательность выбора точек расхода может быть произвольной.
Для определения коэффициента преобразования ТПР устанавливают выбранное значение объемного расхода по показаниям ТПР и проводят предварительное измерение для уточнения значения установленного объемного расхода. Запускают поршень ТПУ. При срабатывании второго детектора регистрируют время между срабатываниями первого и второго детекторов, количество импульсов выходного сигнала ТПР. Объемный расход измеряемой среды через ТПР вычисляют по формуле (7). При необходимости проводят корректировку значения объемного расхода регулятором расхода или запорной арматурой.
После стабилизации объемного расхода в соответствии с 4.4 (второе перечисление) и стабилизации температуры измеряемой среды в соответствии с п.4.4 (третье перечисление) проводят необходимое количество измерений. Запускают поршень ТПУ. При срабатывании первого детектора ИВК начинает отсчет импульсов выходного сигнала ТПР и времени, при срабатывании второго детектора - заканчивает. Если количество импульсов выходного сигнала ТПР за время между срабатываниями детекторов ТПУ меньше 10000, то ИВК должен определять количество импульсов с долями. Для определения средних значений за время измерения ИВК периодически фиксирует значения следующих параметров:
-
- температуры измеряемой среды на входе и выходе ТПУ;
-
- давления измеряемой среды на входе и выходе ТПУ;
-
- температуры измеряемой среды в ТПР;
-
- давления измеряемой среды в ТПР;
-
- плотность измеряемой среды, измеренную ПГ1;
-
- температуру измеряемой среды в ПП;
-
- давление измеряемой среды в ПП;
-
- кинематическую вязкость измеряемой среды, измеренную ПВ.
При использовании термометров и манометров с визуальным отсчетом допускается фиксировать температуру и давление один раз за время измерения. Для однонаправленной ТПУ прохождение поршня от одного детектора до другого принимают за одно измерение. Если для двунаправленной ТПУ определена вместимость калиброванного участка как сумма вместимостей в обоих направлениях, то за одно измерение принимают движение поршня в прямом и обратном направлении, количество импульсов и время прохождения поршня в прямом и обратном направлениях суммируют. Если для двунаправленной ТПУ определена вместимость калиброванного участка для каждого направления, то за одно измерение принимают движение поршня в каждом направлении. При наличии у ТПУ второй пары детекторов допускается использовать обе пары детекторов.
Результаты измерений заносят в протокол, рекомендуемая форма которого приведена в приложении А. Допускается в таблицах протокола удалять ненужные и добавлять необходимые столбцы и строки. При заполнении протокола полученные результаты измерений и вычислений округляют в соответствии с таблицей 3.
Таблица 3 - Точность представления результатов измерений и вычислений
|
Параметр |
Единица измерения |
Количество цифр после запятой |
Количество значащих цифр, не менее |
|
Объем |
м3 |
- |
6 |
|
Температура |
°C |
2 |
- |
|
Давление |
МПа |
2 |
- |
|
Плотность |
кг/м3 |
1 | |
|
Кинематическая вязкость |
мм2/с |
1 |
- |
|
Количество импульсов |
имп |
- |
5 |
|
Интервал времени |
с |
2 |
- |
|
Погрешность, СКО |
0/ /0 |
3 |
- |
|
Коэффициент преобразования |
имп/м3 |
- |
5 |
|
Коэффициент объемного расширения |
1/°С |
6 |
- |
|
Примечание - если количество цифр в целой части числа больше рекомендованного количества значащих цифр, то число округляют до целого | |||
-
6.4.1.1 Обработка результатов измерений
-
6.4.1.1.1 Объем измеряемой среды, прошедшей через ТПР за время /-го измерения в у-ой точке рабочего диапазона измерений объемного расхода, И., м3, вычисляют по
формулам
CTLnvji ■ GPL™
V„ = Ко ■ CTS„ • CPS:--,
J1 0 J1 J’ (~,тт Г'РТ
^lljnPji '^ГППРр
'nyjj
CTSjj — 1 + 3 • ц • {t^ tQ),
1 + 0,95 • $ - вариант 1
E-S
5
вариант 2
# _ ^ВхГП/ji ^ВыхГГУр
2
Р -Р п _ 1 ИхПУ)! 1 ВнхПУ)1
(2)
-
(3)
-
(4)
-
(5)
-
(6)
где Vo - вместимость калиброванного участка ТПУ при стандартных условиях (температуре 15 °C или 20 °C и избыточном давлении 0 МПа), м3;
CTS - коэффициент, учитывающий влияние температуры на вместимость ТПУ, для /-го измерения ву'-ой точке рабочего диапазона измерений объемного расхода;
CPSjt - коэффициент, учитывающий влияние давления на вместимость ТПУ, для /-го измерения в у-ой точке рабочего диапазона измерений объемного расхода (вариант вычислений выбирают в соответствии с методикой, по которой проведена поверка ТПУ);
CTL^. - коэффициент, учитывающий влияние температуры на объем измеряемой среды, определенный для температуры измеряемой среды в ТПУ для /-го измерения в у-ой точке рабочего диапазона измерений объемного расхода (вычисляют по Приложению Б);
CPLnyji - коэффициент, учитывающий влияние давления на объем измеряемой среды, определенный для давления измеряемой среды в ТПУ для /-го измерения в у-ой точке рабочего диапазона измерений объемного расхода (вычисляют по Приложению Б);
CTLnpjj - коэффициент, учитывающий влияние температуры на объем измеряемой среды, определенный для температуры измеряемой среды в ТПР для /-го измерения в у-ой точке рабочего диапазона измерений объемного расхода (вычисляют по Приложению Б);
CPLnPjj - коэффициент, учитывающий влияние давления на объем измеряемой среды, определенный для давления измеряемой среды в ТПР для /-го измерения в у-ой точке рабочего диапазона измерений объемного расхода (вычисляют по Приложению Б);
а, - коэффициент линейного расширения материала стенок калиброванного участка ТПУ (берут из технической документации на ТПУ или определяют по таблице Г.2 Приложения Г), 1/°С;
- температура измеряемой среды в ТПУ за время /-го измерения в у-ой точке рабочего диапазона измерений объемного расхода, °C;
tlhrryii,Chlrrr.ji - температура измеряемой среды на входе и выходе ТПУ за время /-го измерения ву-ой точке рабочего диапазона измерений объемного расхода, °C;
Р^... - давление измеряемой среды в ТПУ за время /-го измерения в у-ой точке рабочего диапазона измерений объемного расхода, МПа;
Лгту/’ ^йыг/7>77 “ Давление измеряемой среды на входе и выходе ТПУ за время /-го
измерения ву-ой точке рабочего диапазона измерений объемного расхода, МПа;
D - внутренний диаметр калиброванного участка ТПУ (берут из технической документации на ТПУ), мм;
S - толщина стенок калиброванного участка ТПУ (берут из технической документации на ТПУ), мм;
Е - модуль упругости материала стенок калиброванного участка ТПУ (берут из технической документации на ТПУ или определяют по таблице Г.2. Приложения Г), МПа.
-
6.4.1.1.2 Объемный расход измеряемой среды через ТПР за время /-го измерения в у-ой точке рабочего диапазона измерений объемного расхода, Qj,, м3/ч, вычисляют по формуле
е„=1ТзбОО, (7)
где JC - объем измеряемой среды, прошедший через ТПР за время /-го измерения в у-ой точке рабочего диапазона измерений объемного расхода, м3;
7Г - время /-го измерения в у-ой точке рабочего диапазона измерений объемного расхода, с.
-
6.4.1.1.3 Объемный расход измеряемой среды через ТПР в у-ой точке рабочего диапазона измерений объемного расхода, Qj, м3/ч, вычисляют по формуле
ni
Ее, , (8) nJ
где Qjj - объемный расход измеряемой среды через ТПР за время /-го измерения в у-ой точке рабочего диапазона измерений объемного расхода, м3/ч
«у - количество измерений в у-ой точке рабочего диапазона измерений объемного расхода.
-
6.4.1.1.4 Нижний и верхний предел рабочего диапазона измерений объемного расхода
Q„„„, . м3/ч, вычисляют по формулам
й,.„ =min(C,), (9)
=тах(еу), (Ю)
где Qj - объемный расход измеряемой среды через ТПР в у-ой точке рабочего диапазона измерений объемного расхода, м3/ч.
-
6.4.1.1.5 Частоту выходного сигнала ТПР для /-го измерения в у-ой точке рабочего диапазона измерений объемного расхода, fJi9 Гц, вычисляют по формуле
N.
(Н) где Nfj - количество импульсов от ТПР за время /-го измерения в у-ой точке рабочего диапазона измерений объемного расхода, имп.;
TJf - время /-го измерения в у-ой точке рабочего диапазона измерений объемного расхода, с.
-
6.4.1.1.6 Частоту выходного сигнала ТПР в у-ой точке рабочего диапазона измерений объемного расхода, fj■, Гц, вычисляют по формуле
nj
Е/,(12) где fjj - частота выходного сигнала ТПР для /-го измерения ву-ой точке рабочего диапазона измерений объемного расхода, Гц;
rij - количество измерений в у-ой точке рабочего диапазона измерений объемного расхода.
-
6.4.1.1.7 Коэффициент преобразования ТПР для /-го измерения в у-ой точке рабочего диапазона измерений объемного расхода, Kjit имп/м3, вычисляют по формуле
ДГ
(13) где N и - количество импульсов от ТПР за время /-го измерения в у-ой точке рабочего диапазона измерений объемного расхода, имп.;
V t - объем измеряемой среды, прошедший через ТПР за время /-го измерения в /-ой точке рабочего диапазона измерений объемного расхода, м3;
-
6.4.1.1.8 Коэффициент преобразования ТПР в /-ой точке рабочего диапазона измерений объемного расхода, Kj, имп/м3, вычисляют по формуле
”,
, (М)
п>
где - коэффициент преобразования ТПР для /-го измерения в /-ой точке рабочего диапазона измерений объемного расхода, имп/м3;
/7у - количество измерений в /-ой точке рабочего диапазона измерений объемного расхода.
-
6.4.1.1.9 Среднее значение кинематической вязкости измеряемой среды за время определения MX, V, мм2/с, вычисляют по формуле
при наличии ПВ
(15)
Ун+Ук
2
при отсутствии ПВ
где у., - кинематическая вязкость измеряемой среды для /-го измерения в /-ой точке рабочего диапазона измерений объемного расхода, мм2/с;
т - количество точек расхода;
vH,vK ~ кинематическая вязкость измеряемой среды, определенная в испытательной лаборатории в начале и в конце определения MX, мм2/с.
-
6.4.1.1.10 Нижний и верхний пределы рабочего диапазона кинематической вязкости измеряемой среды Vmin, vihia , мм2/с, определяют по описанию типа или по техническим и нормативным документам, или вычисляют по формулам
(16)
V/„»=V/ + 41/> (П) где v - среднее значение кинематической вязкости измеряемой среды за время определения MX, мм2/с
Ди - допускаемый предел изменения кинематической вязкости измеряемой среды, установленный для данного типа ТПР (берут из описания типа или технической и нормативной документации), мм2/с;
Примечание - При vniin <0 принимают vni!n = 0.
-
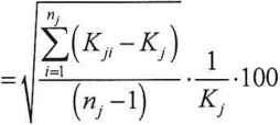
6.4.1.1.11 Оценка СКО результатов измерений
СКО результатов измерений в /-ой точке рабочего диапазона измерений объемного расхода, S, %, вычисляют по формуле


где Кj - коэффициент преобразования ТПР в j-ой точке рабочего диапазона измерений объемного расхода, имп/м3;
К - коэффициент преобразования ТПР для z-го измерения в у-ой точке рабочего диапазона измерений объемного расхода, имп/м3;
rij - количество измерений в у-ой точке рабочего диапазона измерений объемного расхода.
Проверяют выполнение следующего условия
Sy<0,02 (19)
При выполнении данного условия продолжают обработку результатов измерений. При невыполнении данного условия выявляют наличие промахов в полученных результатах измерений, согласно Приложения Г. Выявленный промах исключают и проводят дополнительное измерение. При отсутствии промахов выясняют и устраняют причины, обуславливающие невыполнение данного условия и повторно проводят измерения.
-
6.4.1.1.12 Границу неисключенной систематической погрешности ТПР, ®s, %, вычисляют по формулам
0£ = 1,1 • д/0|о + 020 + 02 +@2а+ 0^ ,
(20)
(21)
(22)
-
(23)
-
(24)
“ Апах ’100- yj At пу + ^inn ,
0^ =тах(^,),
|
X -Х,+1 |
X | ||
|
шах |
0,5- |
j j+i |
•100 |
|
7 |
где 01о - граница суммарной неисключенной систематической погрешности ТПУ (берут из свидетельства или протокола поверки ТПУ), %;
0ИО - граница неисключенной систематической погрешности определения среднего значения вместимости ТПУ (берут из свидетельства или протокола поверки ТПУ; для ТПУ с двумя парами детекторов берут наибольшее значение), %;
0, - граница неисключенной систематической погрешности, обусловленной
погрешностью преобразователей температуры при измерениях температуры измеряемой среды в ТПУ и ТПР, %;
Дич - максимальное значение коэффициента объемного расширения измеряемой среды за время определения MX ТПР, 1/°С;
/Зи - коэффициент объемного расширения измеряемой среды при температуре t^, °C , для /-го измерения в у-ой точке рабочего диапазона измерений объемного расхода (вычисляют по Приложению Б или определяют по Р 50.2.076), 1/°С;
Д/яу - пределы допускаемой абсолютной погрешности преобразователей температуры, установленных в ТПУ (берут из свидетельства о поверке преобразователя температуры), °C;
Д/я/> - пределы допускаемой абсолютной погрешности преобразователя температуры, установленного около ТПР (берут из свидетельства о поверке преобразователя температуры), °C;
0Л - граница неисключенной систематической погрешности, обусловленной кусочнолинейной аппроксимацией градуировочной характеристики ТПР в рабочем диапазоне измерений объемного расхода, %;
&инк - граница неисключенной систематической погрешности, обусловленной погрешностью ИВК, %;
<5}тк - пределы допускаемой относительной погрешности преобразования входных электрических сигналов в значение коэффициента преобразования ИВК (берут из свидетельства или протокола поверки ИВК), %.
-
6.4.1.1.13 СКО среднего значения результатов измерений в j-ой точке рабочего диапазона измерений объемного расхода, SQj, %, вычисляют по формуле


(25)
где - СКО результатов измерений в у-ой точке рабочего диапазона измерений объемного расхода, %;
rij - количество измерений в у-ой точке рабочего диапазона измерений объемного расхода.
6.4.1.1.14 Границу случайной погрешности ТПР в рабочем диапазоне измерений объемного расхода при доверительной вероятности Р=0,95, 8, %, вычисляют по формулам
8 = max(f7). £)• = j '^Qj'
(26)
(27)
где 507 - СКО среднего значения результатов измерений в у'-ой точке рабочего диапазона измерений объемного расхода, %
/0Q5y - квантиль распределения Стьюдента для количества измерений т?7 в у-ой точке рабочего диапазона измерений объемного расхода (определяют по таблице Г.1 Приложения Г).
-
6.4.1.1.15 СКО среднего значения результатов измерений в рабочем диапазоне измерений объемного расхода So, %, принимают равным значению СКО среднего значения результатов измерений SQ., %, в точке рабочего диапазона измерений объемного расхода с максимальным значением границы случайной погрешности б*7, %.
-
6.4.1.1.16 Границу относительной погрешности ИК объемного расхода в рабочем диапазоне измерений объемного расхода 3, %, определяют по формулам
8 если —- < 8
©
С • если 0,8 < —- < 8 ,
(28)
'о
©у если —- > 8

(29)

(30)

-
02 _|_02 + 02+02+02
'Ар т т т т ^ипк
где /у - коэффициент, зависящий от соотношения случайной и неисключенной систематической погрешностей, %;
-
- суммарное СКО результатов измерений в рабочем диапазоне измерений объемного расхода, %;
SQ - СКО суммы иеисключенных систематических погрешностей, %.
-
6.4.1.2 Оценивание относительной погрешности ИК объемного расхода
ИК объемного расхода допускается к применению при выполнении условия
£<0,15%. (32)
Если условие не выполняются, то рекомендуется:
-
- увеличить количество точек в рабочем диапазоне измерений объемного расхода;
-
- увеличить количество измерений в точках рабочего диапазона измерений объемного расхода;
-
- уменьшить рабочий диапазон измерений объемного расхода.
При повторном невыполнении данных условий определение MX прекращают.
Примечание - Определение относительной погрешности ИК объемного расхода и обработка результатов измерений соответствует алгоритму, приведенному в МИ 3287-2010 «Рекомендация. ГСИ. Преобразователи объемного расхода. Методика поверки».
-
6.4.2 Проверяют наличие действующих знаков поверки, нанесенных на СИ (измерительные компоненты) и (или) свидетельства о поверке и (или) паспорта (формуляры) следующих СИ (измерительных компонентов), входящих в состав СИКН: термопреобразователей сопротивления платиновых серии 65, преобразователей измерительных 644 к датчикам температуры, преобразователей измерительных 644, преобразователей давления измерительных 3051, преобразователей плотности жидкости измерительных модели 7835 (далее - ПП), преобразователя плотности и вязкости жидкости измерительного модели 7829, влагомеров нефти поточных УДВН-1пм, счетчика жидкости турбинного CRA/MRT 97, ИВК.
Вышеприведенные СИ (измерительные компоненты) на момент проведения поверки СИКН должны быть поверены в соответствии с документами на поверку, указанными в свидетельствах об утверждении типа (описаниях типа) данных СИ (измерительных компонентов).
-
6.4.3 Определение относительной погрешности измерений массы брутто нефти СИКН.
Относительную погрешность измерений массы брутто нефти СИКН ЗМБ, %, в соответствии с ГОСТ 8.587-2019 «ГСИ. Масса нефти и нефтепродуктов. Методики (методы) измерений» при косвенном методе динамических измерений и измерении объема нефти с применением ИК объемного расхода и плотности нефти с применением ПП, ареометра или лабораторного плотномера при приведении результатов измерений объема и плотности нефти к стандартным условиям вычисляют по формуле
6МБ = ±1,1 • ^/2 + G2 • (<5р2 +104 • ■ ДГ’) +104 ■ • ДГ2 + <?№ , (33)
где 6V - относительная погрешность измерений объема нефти, %. За <5У принимают относительную погрешность УПР, входящего в ИК объемного расхода.
G - коэффициент, вычисляемый по формуле
1 + 2-/7-7;
(34)
1 + 2-/7-Т/
где /? - коэффициент объемного расширения нефти, 1/°С;
Tv, Тр - температура нефти при измерениях объема и плотности нефти соответственно, °C;
Зр - пределы допускаемой относительной погрешности измерений плотности нефти с применением ПП, ареометра или лабораторного преобразователя плотности, %, вычисляют по формуле

(35)
где Др - пределы допускаемой абсолютной погрешности ПП или ареометра, кг/м3;
pmitl - нижний предел рабочего диапазона плотности нефти, кг/м3;
АТр, ATV - абсолютные погрешности измерений температуры нефти при измерениях их плотности и объема соответственно,°C;
SN - пределы допускаемой относительной погрешности СОИ, %.
Относительная погрешность измерений массы брутто нефти СИКН не должна превышать ±0,25 %.
-
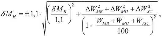
6.4.4 Определение относительной погрешности измерений массы нетто нефти СИКН. Относительную погрешность измерений массы нетто нефти 8МН, %, вычисляют по
формуле

(36)
где ДИ^,5 - абсолютная погрешность измерений массовой доли воды в нефти, %, вычисляют по формуле (41); при измерении объемной доли воды влагомером вычисляют по формуле где - основная абсолютная погрешность влагомера, %;
Дд.« +


(37)
Д^л,,„ - дополнительная абсолютная погрешность влагомера, связанная с отклонением температуры нефти на каждые 10°С %. При отсутствии в описании типа дополнительной погрешности значение Д^„„ принимают равной 0;
t - температура нефти в месте измерений объемной доли воды в нефти, °C;
С„1( - номинальная температура, приведенная в описании типа влагомера, °C; рв - плотность воды при температуре измерений объемной доли воды в нефти, кг/м3;
Рн - плотность нефти при температуре измерений объемной доли воды в нефти, кг/м3;
ДРКм/7 - абсолютная погрешность измерений массовой доли механических примесей в нефти, %;
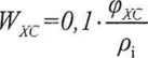
AWXC - абсолютная погрешность измерений массовой доли хлористых солей в нефти, %, вычисляют по формуле
Д^.с =0,1—^
А
(38)
где - абсолютная погрешность измерений массовой концентрации хлористых солей в
нефти, мг/дм3;
д - плотность нефти при температуре измерений массовой концентрации хлористых солей в нефти, кг/м3.
- массовая доля воды в нефти, определенная в лаборатории, %, при измерении объемной доли воды влагомером массовая доля воды в нефти вычисляется по формуле
Рн
(39)
где (рпв - объемная доля воды в нефти, измеренная влагомером, %;
WMn ~ массовая доля механических примесей в нефти, %, определенная в лаборатории;
Wxc - массовая долл хлористых солей в нефти, %, определенная в лаборатории, вычисляют по формуле

(40)
где ^9Л(- - массовая концентрация хлористых солей в нефти, мг/дм3, определенная в лаборатории.
Абсолютную погрешность измерений массовой доли воды, массовой концентрации хлористых солей и массовой доли механических примесей в нефти определяют в соответствии с ГОСТ 33701-2015 «Определение и применение показателей точности методов испытаний нефтепродуктов».
Для доверительной вероятности Р=0,95 и двух измерений соответствующего показателя качества нефти абсолютную погрешность его измерений вычисляют по формуле
(41)
где R и г - воспроизводимость и сходимость метода определения соответствующего показателя качества нефти, значения которых приведены в ГОСТ 2477-2014 «Нефть и нефтепродукты. Метод определения содержания воды», ГОСТ 21534-76 «Нефть. Методы определения содержания хлористых солей», ГОСТ 6370-83 «Нефть, нефтепродукты и присадки. Метод определения механических примесей».
Относительная погрешность измерений массы нетто нефти СИКН не должна превышать ±0,35 %.
7 Оформление результатов поверки-
7.1 Результаты поверки оформляют протоколом поверки, рекомендуемая форма которого приведена в Приложении А.
-
7.2 При положительных результатах поверки оформляют свидетельство о поверке СИКН по форме Приложения 1 «Порядка проведения поверки средств измерений, требований к знаку поверки и содержанию свидетельства о поверке», утвержденному приказом Минпромторга России от 2 июля 2015 г. № 1815.
На оборотной стороне свидетельства о поверке СИКН указывают диапазон измерений расхода и пределы допускаемой относительной погрешности измерений массы (брутто, нетго) нефти.
Знак поверки наносится на свидетельство о поверке СИКН.
-
7.3 При отрицательных результатах поверки СИКН к эксплуатации не допускают и выдают извещение о непригодности к применению по форме Приложения 2 «Порядка проведения поверки средств измерений, требований к знаку поверки и содержанию свидетельства о поверке», утвержденному приказом Минпромторга России от 2 июля 2015 г. № 1815.
Приложение А
(рекомендуемое)
Форма протокола поверки
ПРОТОКОЛ ПОВЕРКИ №_____________ Стр. из
Наименование средства измерений:_______________________________
Тип, модель, изготовитель:_________________________________________
Заводской номер:_______________________________________________
Владелец:_________________________________________________________
Наименование и адрес заказчика:__________________________________
Методика поверки:____________________________________________
Место проведения поверки:_______________________________________
Поверка выполнена с применением:______________________________
РЕЗУЛЬТАТЫ ПОВЕРКИ
-
1. Внешний осмотр (п.6.1):_______________________________________
(соответствует/не соответствует)
-
2. Подтверждение соответствия программного обеспечения СИКН (п.6.2):
(соответствует/не соответствует)
-
3. Опробование (п.6.3):____________________________
(соответствует/не соответствует)
-
4. Определение (контроль) метрологических характеристик
-
4.1 Определение MX НК объемного расхода (п.6.4.1)
-
4.1.1 Определение относительной погрешности ИК объемного расхода №
-
-
ТПР: Тип_________Зав. №_________Линия №__
ТПУ: Тип_________Зав. №_________
ИВК: Тип_________Зав. №_________
Измеряемая среда нефть Вязкость, мм2/с______
Таблица 4.1.1 - Исходные данные
|
Детекторы |
^0. м3 |
D, мм |
s, мм |
Е, МПа |
tz/5 1/°С |
®£0 > % |
% |
^ПУ ’ °C |
^ПР ’ °C |
^ИнК ’ 0/ /о |
Av, мм/с2 |
|
1 |
2 |
3 |
4 |
5 |
6 |
7 |
8 |
9 |
10 |
11 |
12 |
Таблица 4.1.2- Результаты измерений и вычислений
|
№ точ /№ изм |
Q. м3/ ч |
Детекто ры |
т, ,с |
°C |
Tny/t МП а |
Pnnji кг/ м3 |
‘/7/7/7 °C |
р 1 ППр МП а |
А i/° с |
Vjl, мм/ с2 |
°C |
р 1 nPJi м Па |
Л 3 г ц |
5 ИМ п |
имп/ м3 |
|
1 |
2 |
3 |
4 |
5 |
6 |
7 |
8 |
9 |
10 |
11 |
12 |
13 |
14 |
15 |
16 |
|
1/1 | |||||||||||||||
|
. • . |
. • . | ||||||||||||||
|
1/п 1 | |||||||||||||||
|
• • • |
• . • |
• . • |
• • • |
. • • |
. • • |
• • . |
.. • |
. • • | |||||||
|
ш/1 | |||||||||||||||
|
. • • |
• . • |
. . . |
•. • |
• • • | |||||||||||
|
ш/п m |
Таблица 4.1.3 - Результаты определения MX в точках рабочего диапазона
|
№ точ. |
бр м3/ч |
fj, Гц |
имп/м3 |
С 0/ Оу, /О |
С о/ Ооу, /О |
^0,95 J | ||
|
1 |
2 |
3 |
4 |
5 |
6 |
7 |
8 |
9 |
|
1 | ||||||||
|
• . . |
. .. |
. •. | ||||||
|
ш |
Таблица 4.1.4- Результаты определения MX в рабочем диапазоне
|
м3/ч |
Q > м3/ч |
V . гшп 9 мм/с2 |
V max 5 мм/с2 |
с 0/ О0, /и |
<?,% |
/Л о/ /о |
®v,% |
dtfRK ’ /0 | |
|
1 |
2 |
3 |
4 |
5 |
6 |
7 |
8 |
9 |
10 |
Относительная погрешность ИК объемного расхода не превышает ±0,15 %.
4.2 Определение относительной погрешности измерений массы брутто нефти СИКН (п.6.4.3) Таблица 4.2.1 - Результаты измерений и вычислений
|
3V , % |
G |
Ту, °C |
т р’ °C |
0, 1/°С |
Ир, кг/м3 |
Рmin ’ кг/м3 |
% |
°C |
°C |
8N, % |
<5МЯ. 0/ /О |
Относительная погрешность измерений массы брутто нефти СИКН не превышает ±0,25 %.
4.3 Определение относительной погрешности измерений массы нетто нефти СИКН (п.6.4.4)
Таблица 4.3.1 - Результаты измерений и вычислений
|
wxc, % |
Wun , % |
Д^в,% |
д^с,% |
змн, % | ||
Относительная погрешность измерений массы нетто нефти СИКН не превышает ±0,35 %.
Приложение Б
Определение коэффициентов CTL и CPLБ.1 Определение коэффициента CTL
Значение коэффициента CTL, учитывающего влияние температуры на объем измеряемой среды вычисляют по формулам
С7’£ = ехр[-Д5-(/-15)-(1 + 0,8-Д5-(/-15))]
о 613,9723
(Б.2)
Р15 — 2 ’
Р15
где д5 - значение плотности измеряемой среды при температуре 15 °C и избыточном давлении 0 МПа, кг/м3;
t - значение температуры измеряемой среды, °C;
Д5 - значение коэффициента объемного расширения измеряемой среды при температуре 15 °C и избыточном давлении 0 МПа, 1/°С.
Б.2 Определение коэффициента CPL
Значение коэффициента CPL , учитывающего влияние давления на объем измеряемой среды вычисляют по формулам где /?|5 - значение плотности измеряемой среды при температуре 15 °C и избыточном давлении 0 МПа, кг/м3;
CPL =-----
1-у-Р’
у = 10'3 • exp -1,62080 + 0,00021592 • I +
Ч
0,87096-106
4,2092-10’
+------2-----
Р\5 J
(Б.З)
(Б.4)
t - значение температуры измеряемой среды, °C;
Р - значение избыточного давления измеряемой среды, МПа.
Б.З Определение коэффициента /7
Значение коэффициента объемного расширения измеряемой среды, /7, 1/°С,
вычисляют по формуле
Д = Д5+1,6-Д25-(/-15) ,ks.
где /?15 - значение коэффициента объемного расширения измеряемой среды при температуре 15 °C и избыточном давлении 0 МПа, 1/°С;
t - значение температуры измеряемой среды, при которой определяется коэффициент объемного расширения измеряемой среды, °C.
Б.4 Определение плотности р15
Значение плотности измеряемой среды при температуре 15 °C и избыточном давлении 0 МПа, /?15, кг/м3, вычисляют по формуле
А; = гт. Р,"'т , (Б.6)
^1Llnn (~'rL,nn
где рпп - значение плотности измеряемой среды в ПП, кг/м3;
CTLnn - коэффициент, учитывающий влияние температуры на объем измеряемой среды, определенный для tnn и р15;
CPLnn - коэффициент, учитывающий влияние давления на объем измеряемой среды, определенный для tnn, Рпп и р|5.
Для определения /?15 необходимо определить значения CTLnn и CPLnn, а для определения СТЬПП и CPLnn, в свою очередь, необходимо определить значение плотности при стандартных условиях /?)5. Поэтому значение д5 определяют методом последовательного приближения.
Вычисляют значения CTLnn(X) и CPLnnw, принимая значение р}5 равным значению Рпп •
Вычисляют значение р15(1), кг/м3, по формуле
/^15(1) .ррт • (Б-7)
1 ^ПП(\) ^/777(1)
Вычисляют значения CTLnn{1) и CPLnn{1}i принимая значение р15 равным значению Р15(1) •
Вычисляют значение р15(2), кг/м3, по формуле
п _______Рпп______
Р\5(2) .СРТ • 0^-8)
^7777 ( 2) ^/7/7(2)
Аналогично вычисляют значения CTLnn(J^ CPLnn(^ и р]5(/) для z-ro цикла вычислений и проверяют выполнение условия
|Р15(/+1) "/’iso)! - 0’01. (В-9)
где р15(/+1), Р15(;) _ значения р15, определенные, соответственно, за последний и
предпоследний цикл вычислений, кг/м3.
должность лица, проводившего поверку
подпись
Ф.И.О.
Дата
поверки _________
Пр иложение В
Методика анализа результатов измерений на наличие промаховПроверка результатов измерений на один промах по критерию Граббса при определении метрологических характеристик.
СКО результатов измерений в j-ой точке рабочего диапазона измерений расхода, SKj, вычисляют по формуле

~, (В.1)
"У1
где - значение коэффициента преобразования для /-го измерения в у-ой точке рабочего диапазона измерений объемного расхода, имп/м3;
- значение коэффициента преобразования в j-ой точке рабочего диапазона измерений объемного расхода, имп/м3;
- количество измерений в j-ой точке рабочего диапазона измерений объемного расхода.
Примечание - При Skj < 0,001 принимают SKJ = 0,001.
Вычисляют наиболее выделяющееся соотношение U по формуле
(
(В.2)
U = шах
X
Если значение U больше или равно значению /?, взятому из таблицы В.1, то результат измерения должен быть исключен как промах.
Таблица В.1 - Критические значения для критерия Граббса
|
п |
5 |
6 |
7 |
8 |
9 |
10 |
И |
12 |
|
h |
1,715 |
1,887 |
2,020 |
2,126 |
2,215 |
2,290 |
2,355 |
2,412 |
Приложение Г
Справочные материалыГ.1 Квантиль распределения Стьюдента
Значения квантиля распределения Стьюдента t095 при доверительной вероятности Р=0,95 в зависимости от количества измерений приведены в таблице Г. 1.
Таблица Г.1 - Значения квантиля распределения Стьюдента при доверительной
вероятности Р=0,95
|
п -1 |
1 |
2 |
3 |
4 |
5 |
6 |
7 |
8 |
9 |
10 |
11 |
|
^0,95 |
12,706 |
4,303 |
3,182 |
2,766 |
2,571 |
2,447 |
2,365 |
2,306 |
2,262 |
2,228 |
2,201 |
Г.2 Коэффициенты расширения и модули упругости
Значения коэффициентов линейного расширения и модули упругости материалов стенок калиброванного участка ТПУ в зависимости от материала приведены в таблице Г.2. Таблица Г.2 - Коэффициенты линейного расширения и значения модуля упругости материалов стенок калиброванного участка ТПУ
|
Материал стенок ТПУ |
а,, 1 /°C |
Е,МПа |
|
Сталь углеродистая |
1,12-Ю'5 |
2,07-105 |
|
Сталь нержавеющая 304 |
1,73-10'5 |
1,93-105 |
|
Сталь нержавеющая 316 |
1,59-10'5 |
1,93-105 |
|
Сталь нержавеющая 17-4 |
1,08-10'5 |
1,95-105 |
24
