Методика поверки «Государственная система обеспечения единства измерений СИСТЕМА ИЗМЕРЕНИЙ КОЛИЧЕСТВА И ПОКАЗАТЕЛЕЙ КАЧЕСТВА НЕФТИ СИКН No102 ПСП «ТАЙШЕТ-2». РЕЗЕРВНАЯ СИСТЕМА УЧЕТА» (MП 1083-14-2020)
ВСЕРОССИЙСКИЙ НАУЧНО-ИССЛЕДОВАТЕЛЬСКИЙ ИНСТИТУТ РАСХОДОМЕТРИИ -ФИЛИАЛ ФЕДЕРАЛЬНОГО ГОСУДАРСТВЕННОГО УНИТАРНОГО ПРЕДПРИЯТИЯ «ВСЕРОССИЙСКИЙ НАУЧНО-ИССЛЕДОВАТЕЛЬСКИЙ ИНСТИТУТ МЕТРОЛОГИИ им.Д.И.МЕНДЕ ЛЕЕВА»
ВНИИР - филиал ФГУП «ВНИИМ им.Д.И.Менделеева»
УТВЕРЖДАЮ
Заместитель директора по развитию

Государственная система обеспечения единства измерений
СИСТЕМА ИЗМЕРЕНИЙ КОЛИЧЕСТВА И ПОКАЗАТЕЛЕЙ КАЧЕСТВА НЕФТИ СИКН №102
ПСП «ТАЙШЕТ-2». РЕЗЕРВНАЯ СИСТЕМА УЧЕТА
Методика поверки
МП 1083-14-2020
Начальник НИО-14
Тел.: (843) 299-72-00
Нурмухаметов
Казань
2020
|
РАЗРАБОТАНА |
ВНИИР - филиал ФГУП «ВНИИМ им.Д.И.Менделеева» |
|
ИСПОЛНИТЕЛИ |
Галяутдинов А.Р. |
|
УТВЕРЖДЕНА |
ВНИИР - филиал ФГУП «ВНИИМ им.Д.И.Менделеева» |
Настоящая методика поверки предназначена для проведения поверки средства измерений «Система измерений количества и показателей качества нефти ПСП «Тайшет-2» филиала «Иркутское РНУ» ООО «Транснефть-Восток». Резервная система учета (далее - РСУ) и устанавливает методику первичной поверки при вводе в эксплуатацию, а также после ремонта и периодической поверки при эксплуатации.
Поверку РСУ проводят в диапазоне измерений, указанном в описании типа, или фактически обеспечивающимся при поверке диапазоне измерений с обязательным указанием в свидетельстве о поверке информации об объеме проведения поверки.
Фактический диапазон измерений не может превышать диапазона измерений, указанного в описании типа РСУ.
Если очередной срок поверки измерительного компонента наступает до очередного срока поверки РСУ, или появилась необходимость проведения внеочередной поверки измерительного компонента, то поверяется только этот измерительный компонент, при этом внеочередную поверку РСУ не проводят.
Интервал между поверками РСУ - 12 месяцев.
1 Операции поверкиПри проведении поверки выполняют операции, приведенные в таблице 1.
Таблица 1 - Операции поверки
|
Наименование операции |
Номер пункта методики |
Проведение операции при | |
|
первичной поверке |
периодической поверке | ||
|
Внешний осмотр |
7.1 |
Да |
Да |
|
Подтверждение соответствия программного обеспечения |
7.2 |
Да |
Да |
|
Опробование |
7.3 |
Да |
Да |
|
Определение метрологических характеристик |
7.5 |
Да |
Да |
Если при проведении какой-либо операции поверки получен отрицательный результат, дальнейшую поверку не проводят.
2 Средства поверки-
2.1 Рабочий эталон 1-го разряда в соответствии с ГПС (часть 2), утвержденной приказом Росстандарта от 07.02.2018 г. № 256 «Об утверждении Государственной поверочной схемы для средств измерений массы и объема жидкости в потоке, объема жидкости и вместимости при статических измерениях, массового и объемного расходов жидкости» (установка поверочная трубопоршневая двунаправленная (далее - ТПУ)) и преобразователи расхода жидкости турбинные HELIFLU TZ-N с Ду 250 мм (далее - ТПР), входящие в состав блока измерительных линий основной системы и используемые в качестве компараторов, с диапазоном измерений объемного расхода измеряемой среды от 400 до 2000 м3/ч и пределами допускаемой относительной погрешности ±0,15 %.
-
2.2 Поточный преобразователь плотности (далее - ПП), с пределами допускаемой абсолютной погрешности ±0,3 кг/м3.
-
2.3 Допускается применение аналогичных средств поверки, обеспечивающих определение метрологических характеристик поверяемых СИ с требуемой точностью.
К поверке допускаются лица, изучившие инструкцию по эксплуатации на систему измерений количества и показателей качества нефти СИКН № 102 ПСП «Тайшет-2» и имеющие
квалификационную группу по электробезопасности не ниже II в соответствии с «Правилами техники безопасности при эксплуатации электроустановок потребителей».
4 Требования безопасности-
4.1 При проведении работ соблюдают требования, определяемые документами:
-
- в области охраны труда;
-
- в области промышленной безопасности;
-
- в области пожарной безопасности;
-
- в области соблюдения правильной и безопасной эксплуатации электроустановок;
-
- в области охраны окружающей среды.
-
4.2 Площадка РСУ должна содержаться в чистоте без следов нефти и должна быть оборудована первичными средствами пожаротушения согласно Правил противопожарного режима в Российской Федерации.
-
4.3 СИ и вспомогательные устройства, применяемые при выполнении испытаний, должны иметь взрывозащищенное исполнение в соответствии с требованиями ГОСТ 30852.0-2002 «Электрооборудование взрывозащищенное. Часть 0. Общие требования».
-
4.4 Вторичную аппаратуру и щиты управления относят к действующим электроустановкам с напряжением до 1000 В, на которые распространяются Правила технической эксплуатации электроустановок потребителей, Правила устройства электроустановок.
-
4.5 Выполнение работ прекращают при обнаружении течи в сварных и фланцевых соединениях оборудования РСУ.
-
5.1 Поверка РСУ проводится на месте ее эксплуатации.
Характеристики РСУ и параметры нефти при проведении поверки должны соответствовать требованиям, приведенным в таблице 2.
Соответствие характеристик измеряемой среды значениям в таблице 2 проверяют по данным паспорта качества нефти.
Таблица 2 - Характеристики РСУ измеряемой среды
|
Наименование характеристики |
Значение |
|
Диапазон измерений объемного расхода, м3/ч |
от 400 до 4930 |
|
Измеряемая среда |
нефть по ГОСТ Р 51858-2002 «Нефть. Общие технические условия» |
|
Количество измерительных линий (ИЛ), шт. |
1 рабочая |
|
Диапазон давления нефти, МПа |
от 0,23 до 4,0 |
|
Давление насыщенных паров, кПа (мм рт. ст.), не более |
66,7 (500) |
Продолжение таблицы 2
|
Наименование характеристики |
Значение |
|
Показатели качества измеряемой среды:
|
от 2 до 60 от 815,0 до 885,0 от -5 до ±40 1,0 900 6,0 100 0,05 |
|
Содержание свободного газа |
не допускается |
|
Режим работы РСУ |
постоянный |
-
5.2 Определение относительной погрешности измерительного канала (ИК) объемного расхода измеряемой среды проводят при следующих условиях:
Определение метрологических характеристик УЗР проводят на месте эксплуатации в рабочем диапазоне расхода нефти, в условиях, соответствующих условиям его эксплуатации и условиям эксплуатации СИ.
УЗР соединяют последовательно с ТПУ и компараторами в соответствии со схемой, применяемой в РСУ (последовательность их расположения значения не имеет).
При проведении определения метрологических характеристик УЗР соблюдают следующие условия:
-
- определение метрологических характеристик ИК проводят на месте эксплуатации в комплекте с элементами измерительных линий (струевыпрямителями, прямыми участками и фильтрами). Длина входного прямого участка при наличии струевыпрямителя должна быть не менее десяти условных диаметров (10 DN); длина выходного прямого участка должна быть не менее 5 DN.
-
- отклонение расхода нефти от установленного значения в процессе определения метрологических характеристик не превышает ±2,5 %;
-
- содержание свободного газа в нефти не допускается;
-
- для обеспечения бескавитационной работы давление в трубопроводе после УЗР и ТПР, используемых в качестве компараторов (Р, МПа), должно быть не менее значения, определенного по формуле:
Р = 2,06-Рн ±2• ДР, (1)
где Р - минимальное избыточное давление после УЗР, МПа;
Рн - давление насыщенных паров, определенное в соответствии с ГОСТ 1756-2000 «Нефтепродукты. Определение давления насыщенных паров» в лаборатории сдающей и принимающей стороны, МПа;
ДР - перепад давления на УЗР, указанная в техническом паспорте на данный тип УЗР, МПа.
-
- изменение температуры нефти за время одного измерения в цикле определения метрологических характеристик не превышает ±0,2 °C;
-
- температура, влажность окружающей среды, параметры нефти и питающей сети соответствуют условиям эксплуатации РСУ;
-
- устранена возможность протечек нефти на участках между УЗР, ТПР, используемых в качестве компараторов и ТПУ. Задвижки, расположенные на линиях, соединяющих эти участки с другими трубопроводами, или на ответвлениях имеют устройства для контроля протечек.
Регулирование расхода проводят при помощи регуляторов расхода, расположенных в конце технологической схемы по потоку нефти. Допускается вместо регуляторов расхода использовать запорную арматуру.
-
5.3 При соблюдении условий 5.1, 5.2 считают, что факторы, которые могут оказать влияние на точность результатов измерений при поверке, отсутствуют.
-
6.1 Подготовку средств поверки, СИ и РСУ осуществляют в соответствии с их эксплуатационной документацией.
-
6.2 Проверяют правильность монтажа СИ и средств поверки.
Проверяют комплектность эксплуатационной документации на СИ.
Вводят в память ИВК или проверяют введенные ранее данные, необходимые для обработки результатов измерений.
При рабочем расходе и давлении проверяют герметичность элементов конструкции РСУ. При этом не допускается появление капель или утечек нефти через сальники, фланцевые, резьбовые или сварные соединения при наблюдении в течение 5 мин.
Проверяют герметичность задвижек, через которые возможны утечки нефти, влияющие на результаты измерений.
На элементах конструкции РСУ не должно наблюдаться следов нефти.
При обнаружении следов нефти принимают меры по устранению утечки.
-
6.3 Перед началом определения относительной погрешности ИК объемного расхода измеряемой среды выполняют следующие подготовительные работы:
-
- проверяют соблюдение требований безопасности, установленные на объекте.
-
- проверяют правильность монтажа поверяемого УЗР, ТПУ, средств поверки и вспомогательного оборудования в соответствии с требованиями эксплуатационной документации и схемой соединений РСУ. Проводят чистку фильтров в ИЛ.
-
- проверяют отсутствие газа (воздуха) в ТПУ, фильтрах ИЛ и УЗР, а также в верхних точках трубопроводов, соединяющих УЗР, ТПР, используемых в качестве компараторов и ТПУ. Для этого устанавливают расход нефти в ИЛ в пределах рабочего диапазона измерений и открывают краны, расположенные в высших точках трубопроводов. Проводят тестовый запуск поршня, удаляя при этом сжатый газ (воздух). Отсутствие газа (воздуха) в трубопроводах и установках определяют на слух, путем не однократного кратковременного открытия-закрытия кранов для выпуска газа (воздуха).
Проверяют герметичность РСУ, состоящей из поверяемого УЗР, ТПУ, ТПР, используемых в качестве компараторов, задвижек и трубопроводов. При этом при рабочем давлении не допускается появление капель или утечек нефти через сальники, фланцевые, резьбовые или сварные соединения при наблюдении в течение 5 мин.
Проверяют герметичность задвижек, через которые возможны утечки нефти, влияющие на результаты измерений при поверке. При отсутствии средств контроля или невозможности устранения утечек такие задвижки заглушают (проверяют наличие заглушек), а задвижки ИЛ заменяют на герметичные.
Проверяют стабильность температуры нефти. Температуру нефти считают стабильной, если ее изменение в РСУ не превышает ±0,2 °C за время одного измерения в цикле поверки.
Определяют плотность и вязкость нефти поточным плотномером и вискозиметром блока качества РСУ или по результатам лабораторного химического анализа.
Подготавливают средства поверки к работе согласно указаниям эксплуатационных документов на них.
Выбирают точки для УЗР. Соответственно выбранным точкам выбирают расходы для ТПР, используемых в качестве компараторов. После этого до начала определения метрологических характеристик УЗР производят определение коэффициентов преобразования ТПР, используемых в качестве компараторов для каждой выбранной точки расхода с помощью ТПУ, KKjk, имп/м3, и вводят в память ИВК.
-
6.4 При определении коэффициентов преобразования ТПР, используемых в качестве компараторов в каждой выбранной точке проводят не менее пяти измерений.
-
6.5 Коэффициент преобразования k-го ТПР, используемого в качестве компаратора в j-ой точке рабочего диапазона расходов (Kxjk, имп/м3), вычисляют по формуле:
KKjk=-XKKjik
nj i=l
(2)
где nj - количество измерений в j-й точке рабочего диапазона.
где
где
Кк jik
Nkjik
V Tnyjik
Vo
Kt jik
Кр jik
-
- значение коэффициента преобразования k-го ТПР, используемого в качестве компаратора при i-м измерении в j-й точке, вычисленное по формуле
у _ NKjik
KKjik - v (3)
v ТПУ jik
-
- количество импульсов от k-го ТПР, используемого в качестве компаратора за время i-ro измерения в j-й точке;
-
- объем нефти, прошедшего через k-й ТПР, используемого в качестве компаратора за время i-ro измерения в j-й точке, определенный с помощью ТПУ, вычисляемое по формуле
V = V -К -К CTLnvjik ’СРЬ-rnyjik (4)
nyjik 0 tjik pjik CPT
ClbKjik ,LzrbKjik
-
- значение вместимости ТПУ при стандартных условиях (t = 20 °C и Р = 0 МПа), м3;
- коэффициент, учитывающий влияние температуры стенок ТПУ на вместимость ТПУ при i-м измерении в j-й точке рабочего диапазона расходов при определении коэффициента преобразования k-го ТПР, используемого в качестве компаратора, вычисляемый для ТПУ по формуле (6);
- коэффициент, учитывающий влияние давления нефти на вместимость ТПУ при
i-м измерении в j-й точке рабочего диапазона расходов при определении коэффициента преобразования k-го ТПР, используемого в качестве компаратора, вычисляемый по формуле (5);
KPjik=l + 0,95-^!^i<2,
jik = 1 + 3 • at • (tTny jjk — 20),
внутренний диаметр калиброванного участка ТПУ, мм
-
(5)
-
(6)
(берут из
эксплуатационной документации ТПУ);
- толщина стенок ТПУ, мм (берут из эксплуатационной документации ТПУ);
Е - модуль упругости материала стенок ТПУ, МПа, определяемый по таблицам Г. 1 -
Г.2 Приложения Г;
CTLTnyjik - коэффициент, учитывающий влияние температуры на объем нефти, определенный для температуры нефти в ТПУ за время i-ro измерения в j-й точке расхода при определении коэффициента преобразования k-го ТПР, используемого в качестве компаратора. Вычисляется по формулам (Б.1) - (Б.З)
Приложения Б При tTnyjik;
CPLTnyjik - коэффициент, учитывающий влияние давления на объем нефти, определенный для давления нефти в ТПУ за время i-ro измерения в j-й точке расхода при определении коэффициента преобразования k-го ТПР, используемого в качестве компаратора. Вычисляется по формулам (Б.4), (Б.5) приложения Б при температуре tTnyjik и давлении PTnyjik;
CTUjik - коэффициент, учитывающий влияние температуры на объем нефти, определенный для температуры нефти в k-м компараторе за время i-ro измерения в j-й точке расхода при определении коэффициента преобразования к-го ТПР, используемого в качестве компаратора. Вычисляется по формулам (Б.1) - (Б.З) приложения Б при txjikj
CPLKjik - коэффициент, учитывающий влияние давления на объем нефти, определенный для давления нефти в k-м компараторе за время i-ro измерения в j-й точке расхода при определении коэффициента преобразования k-го ТПР, используемого в качестве компаратора. Вычисляется по формулам (Б.4), (Б.5) приложения Б при температуре tKjik и давлении Рк jik;


(7)
|
tTnyjik, PTnyjik |
- среднее значение температуры, °C, и давления, МПа, нефти в ТПУ за время i-ro измерения в j-й поверочной точке рабочего диапазона расходов при определении коэффициента преобразования k-го ТПР, используемого в качестве компаратора; |
|
tKjik, РК jik |
- значение температуры, °C, и давления, МПа, нефти в линии с к-м компаратором за время i-ro измерения в j-й поверочной точке рабочего диапазона расходов при определении коэффициента преобразования к-го ТПР, используемого в качестве компаратора. |
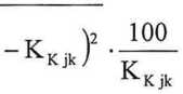
6.6 CKO случайной составляющей погрешности определений коэффициентов преобразования ТПР, используемых в качестве компараторов в каждой точке рабочего диапазона (Sk jk, %) вычисляют по формуле
-
6.7 Проверяют выполнение условия
Sxjk < 0,02 % для ТПР
SKjk< 0,05% для УЗР (8)
-
6.8 Если условие (8) не выполнено, анализируют причины и выявляют промахи согласно приложению В настоящей методики поверки. Допускается не более одного промаха из 4—7 измерений и не более двух промахов из 8-11 измерений. В противном случае поверку прекращают.
-
6.9 После исключения промахов при необходимости количество измерений доводят до значения, указанного в 6.4.
-
6.10 Проводят повторное оценивание СКО по 6.6-6.7.
-
6.11 При повторном невыполнении условия (8) определение метрологических характеристик прекращают.
-
6.12 При соблюдении условия (8) после выполнения операций по 6.7 или 6.10 проводят дальнейшую обработку результатов измерений.
-
6.13 Вводят в память ИВК (или проверяют введенные ранее) необходимые данные:
-
- значения коэффициентов преобразования поверяемого УЗР;
-
- значения градуировочных коэффициентов ПП (из сертификата);
-
- плотность нефть при отсутствии или отказе ПП;
-
- вязкость нефти при отсутствии или отказе поточного преобразователя вязкости.
-
7.1 Внешний осмотр
При внешнем осмотре должно быть установлено соответствие РСУ следующим требованиям:
-
- комплектность РСУ должна соответствовать описанию типа и эксплуатационной документации;
-
- на компонентах РСУ не должно быть механических повреждений и дефектов, препятствующих применению РСУ;
-
- надписи и обозначения на компонентах РСУ должны быть четкими и соответствовать технической документации.
Результаты проверки считают положительными, если выполняются вышеперечисленные требования. При выявлении несоответствий и их оперативном устранении владельцем РСУ, поверку продолжают.
-
7.1.1 При внешнем осмотре устанавливают соответствие УЗР следующим требованиям:
-
- комплектность соответствует указанной в эксплуатационной документации;
-
- отсутствуют механические повреждения и дефекты покрытий, препятствующие применению и ухудшающие внешний вид;
-
- надписи и обозначения на преобразователях четкие и соответствуют требованиям эксплуатационной документации.
-
7.2 Подтверждение соответствия программного обеспечения (ПО)
-
7.2.1 Проверяют соответствие идентификационных данных ПО РСУ сведениям, приведенным в описании типа на РСУ.
-
7.2.2 Определение идентификационных данных ПО ИВК проводят в следующей последовательности:
-
а) включить питание ИВК, если питание было выключено;
б) дождаться после включения питания появления на дисплее ИВК главного меню или войти в главное меню;
в) в главном меню нажатием клавиши «5» выбрать пункт меню 5.SYSTEM SETTINGS;
г) нажатием клавиши «7» выбрать пункт меню 7.SOFTWARE VERSION;
д) нажатием клавиши «—*» (стрелка вправо) получить идентификационные данные со следующих экранов:
-
1) CONFIG STRUCTURE CSUM - контрольная сумма структуры файла конфигурации;
-
2) VERSION APPLICATION SW - версия ПО ИВК.
-
7.2.3 Определение идентификационных данных ПО автоматизированного рабочего места (АРМ) оператора «ОЗНА-Flow» проводят в следующей последовательности:
а) нажать левой кнопкой «мыши» по кнопке «МЕНЮ» в верхней правой части окна мнемосхемы;
б) в раскрывшейся вкладке «МЕНЮ» выбрать «Контрольная сумма»;
в) в открывшемся окне «Проверка целостности ПО» содержится информация о наименовании ПО, номере версии ПО, алгоритме вычисления, цифрового идентификатора ПО (контрольной суммы исполняемого кода).
г) для проверки цифровых идентификаторов ПО необходимо нажать кнопку «Вычислить» в нижней части окна.
Полученные результаты идентификации ПО РСУ должны соответствовать данным, указанным в описании типа на РСУ.
В случае, если идентификационные данные ПО РСУ не соответствуют данным указанным в описании типа на РСУ, поверку прекращают. Выясняют и устраняют причины вызвавшие несоответствие. После чего повторно проверяют идентификационные данные ПО РСУ.
-
7.3 Опробование
-
7.3.1 При опробовании РСУ проверяют действие и взаимодействие компонентов в соответствии с инструкцией по эксплуатации системы измерений количества и показателей качества нефти СИКН № 102 ПСП «Тайшет-2», возможность получения отчетов следующим образом:
-
-
- проверяют наличие электропитания на компонентах РСУ и средствах поверки;
-
- проверяют наличие связи между первичными преобразователями, вторичной аппаратурой и ИВК, ИВК и АРМ оператора РСУ путем визуального контроля меняющихся значений измеряемых величин на дисплее компьютера АРМ оператора;
-
- используя принтер компьютера АРМ оператора РСУ, распечатывают пробные протоколы определения метрологических характеристик, формируемые АРМ оператора.
-
7.3.2 Результаты проверки считают положительными если, при проведении вышеперечисленных операций получены положительные результаты.
-
7.3.3 При получении отрицательных результатов опробования поверку прекращают. Выявляют и устраняют причины, вызвавшие получение отрицательного результата опробования. Повторно проводят опробование. При повторном получении отрицательных результатов опробования поверку прекращают, РСУ к эксплуатации не допускают.
-
7.4 Проверяют герметичность РСУ.
Собирают и заполняют нефтью технологическую схему. Оперативным персоналом путем визуального осмотра проверяется отсутствие утечек нефти через элементы оборудования и СИ РСУ.
На элементах оборудования и СИ РСУ не должно наблюдаться следов нефти.
При обнаружении следов нефти на элементах оборудования или СИ РСУ поверку прекращают и принимают меры по устранению утечки нефти.
-
7.5 Определение метрологических характеристик
-
7.5.1 Определение относительной погрешности ИК объемного расхода нефти. Относительную погрешность ИК объёмного расхода нефти определяют для всего ИК объёмного расхода нефти РСУ.
-
7.5.1.1 Метрологические характеристики ИК УЗР, входящего в состав ИК объемного расхода определяют в рабочем диапазоне расхода и вязкости, в котором эксплуатируют УЗР, при значениях расхода, соответствующих верхнему, Qmax, и нижнему, Qmin, пределам измерений рабочего диапазона расхода УЗР, и при среднем значении расхода, (Qmin + Qmax)/2. Последовательность выбора точек расхода при определении метрологических характеристик может быть произвольной. В каждой точке расхода проводят не менее 5 измерений (один цикл определения метрологических характеристик). При этом длительность каждого измерения должна составлять не менее 300 секунд.
-
7.5.1.2 При определении метрологических характеристик в каждой ИЛ с компаратором устанавливают равные значения расхода нефти с отклонением не более 2,5 % от расхода, при котором предварительно были определены коэффициенты преобразования ТПР, используемые в качестве компараторов.
-
7.5.1.3 Расход через к-ый ТПР, используемый в качестве компаратора, соответствующий j-ой точке, в которой был определен коэффициент преобразования k-го ТПР, используемого в качестве компаратора, при i-ом измерении (Qk jik, м3/ч) вычисляют по формуле

•3600
(9)
-
-
где
где
Vk jik - объем нефти, прошедшей через k-й ТПР, используемый в качестве компаратора при i-м измерении в j-й точке, м3, вычисленный по формуле:
N
v = 1NK jik
~ KKjk (10)
NKjik - количество импульсов выходного сигнала k-го ТПР, используемого в качестве компаратора, накопленное ИВК за время i-ro измерения в j-й точке, имп;
Kxjk - значение коэффициента преобразования k-го ТПР, используемого в качестве компаратора в j-й поверочной точке рабочего диапазона расходов, имп/м3, определенный непосредственно перед определением метрологических характеристик УЗР;
Tji - время одного измерения, с.
-
7.5.1.4 Расход через УЗР (Qy3Pji, м3/ч) вычисляют по формуле
Qynpj. =У^-3600
Aji k
где VKnpIjI - объем нефти, прошедший через УЗР за время i-ro измерения в j-ой точке рабочего диапазона расходов, м3, определенный с помощью компараторов, т.е. сумма приведенных к условиям УЗР объемов нефти, прошедших через ТПР, применяемые в качестве компараторов при i-м измерении в j-й точке. VKrTpLji вычисляют по формуле (12);
где
где
VfCnpEji / j УК пр jik
k=l
Vk пр jik - объем нефти, прошедшей через k-ый ТПР, применяемый в качестве компаратора за время i-ro измерения в j-й точке, м3, приведенный к условиям УЗР по формуле (13);
пк - количество ТПР, применяемых в качестве компараторов, участвующих в определении метрологических характеристик УЗР.
CTLKJ, -CPLKijk (13)
К пр jik К jik Л~1'ТТ СРТ
1 Ь y3pjj • СГЬ Y3PJJ
Vkjik - объем нефти, прошедшей через k-й ТПР, применяемый в качестве компаратора
при i-м измерении в j-й точке, м3, вычисленный по формуле (10).
CTLKjik - коэффициент, учитывающий влияние температуры на объем нефти, определенный для температуры нефти в k-м ТПР, применяемого в качестве компаратора за время i-ro измерения в j-й точке расхода. Вычисляется по формулам (Б.1) - (Б.З) приложения Б при tKjik.
CPLk jik - коэффициент, учитывающий влияние давления на объем нефти, определенный для давления нефти в k-м компараторе за время i-ro измерения в j-й точке расхода. Вычисляется по формулам (Б.4), (Б.5) приложения Б при температуре tKjik и давлении Рк jik.
CTLy3Pji - коэффициент, учитывающий влияние температуры на объем нефти, определенный для температуры нефти в УЗР за время i-ro измерения в j-й точке расхода. Вычисляется по формулам (Б.1) - (Б.З) приложения Б при температуре tynpji.
CPLy3Pji - коэффициент, учитывающий влияние давления на объем нефти, определенный для давления нефти в УЗР за время i-ro измерения в j-й точке расхода. Вычисляется по формулам (Б.4), (Б.5) приложения Б при температуре ty3pji и давлении Pynpji.
ty3pji, - температура, °C, и давление, МПа, нефти при i-м измерении в j-й точке расхода
Py3pji в линии УЗР;
tKjik, Ркjik - температура, °C, и давление, МПа, нефти при i-м измерении в j-й точке расхода в линии с k-м ТПР, применяемым в качестве компаратора.
Примечание - Вычисление Укпр jik допускается проводить согласно алгоритму, реализованному в ИВК, если перечисленные средства имеют свидетельства об утверждении типа.
-
7.5.1.5 Вычисление коэффициентов преобразования УЗР в точках рабочего диапазона Коэффициент преобразования УЗР при i-м измерении в j-й точке рабочего диапазона (Ky3pji,
имп/м3) вычисляют по формуле
„ _ Ny3Pji (14)
KV3Pji - v
VKnpSji
где Ny3pji - количество импульсов выходного сигнала УЗР, накопленное ИВК за время i-ro измерения в j-й точке, имп;
VKnpZji " °бъем нефти, прошедший через УЗР за время i-ro измерения в j-ой точке рабочего диапазона расходов, м3, определенный с помощью ТПР, применяемых в качестве компараторов, вычисленный по формуле (12);
Средние значения коэффициентов преобразования УЗР в каждой точке рабочего диапазона (Ky3pj, имп/м3) вычисляют по формуле
1 nj
Ky3Pj = n~ К y3Pji (15)
где Ky3pji - коэффициент преобразования УЗР при i-м измерении в j-й точке рабочего диапазона, имп/м3;
nj - количество измерений в точке.
-
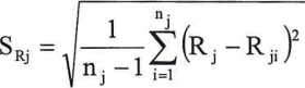
7.5.1.6 Оценивание СКО случайной составляющей погрешности определения коэффициента преобразования УЗР в точках рабочего диапазона
-
7.5.1.7 СКО результатов определения коэффициента преобразования УЗР в точках рабочего диапазона (Sj, %) вычисляют по формуле

(16)
-
7.5.1.8 Проверяют соблюдение условия
Sj < 0,05 %
(17)
-
7.5.1.9 Если условие (17) не выполнено, анализируют причины и выявляют промахи согласно приложению В настоящей методики поверки.
Допускают не более одного промаха из количества измерений, выполненных в точке расхода. В противном случае определение метрологических характеристик УЗР прекращают.
-
7.5.1.10 После исключения промахов количество измерений доводят до значения, указанного в 7.5.1.1.
-
7.5.1.11 Проводят повторное оценивание СКО по 7.5.1.7 - 7.5.1.8.
-
7.5.1.12 При повторном невыполнении условия (17) поверку прекращают.
-
7.5.1.13 При соблюдении условия (17) после выполнения операций по 7.5.1.8 или 7.5.1.11 проводят дальнейшую обработку результатов измерений.
-
7.5.2 Определение неисключенной систематической погрешности
Неисключенную систематическую погрешность (Os, %), вычисляют по формуле


(18)
где
©Zo
граница суммарной составляющей неисключенной систематической погрешности ТПУ, % (берут из свидетельства о поверке ТПУ);
©Vo
граница составляющей неисключенной систематической погрешности определения среднего значения вместимости ТПУ, % (берут из свидетельства о поверке ТПУ);
©К1ИВК
- предел допускаемой относительной погрешности ИВК при определении коэффициентов преобразования компараторов по ТПУ, % (берут из свидетельства о поверке ИВК);
©К2ИВК
- предел допускаемой относительной погрешности ИВК при определении коэффициентов преобразования УЗР, % (берут из свидетельства о поверке ИВК);
©ti
граница составляющей неисключенной систематической погрешности, обусловленная погрешностью измерений температуры, %, вычисляемая по формуле (19);
©t2
- граница составляющей неисключенной систематической погрешности, обусловленная погрешностью измерений температуры, %, вычисляемая по формуле (20);

+ Atjpjp • 100,
(19)

(20)
где
PlHrtX
- максимальное значение, выбранное из ряда коэффициентов объемного расширения нефти, определенных согласно приложению Б по значениям плотности и температуры нефти при всех измерениях в точках рабочего диапазона, °C'1;
|
Aty3p, |
AtTnp, - пределы допускаемой абсолютной погрешности датчиков температуры в |
|
AtTny |
ИЛ УЗР, ТПР и ТПУ соответственно (берут из свидетельств поверки датчиков температуры), °C; |
|
®Ak |
границы составляющей неисключенной систематической погрешности, обусловленные погрешностью кусочно-линейной аппроксимации ГХ для к-го рабочего поддиапазона, определяемые по формуле (21), %.
0 = . y3Pj y3Pj+1 .100
|
7.5.3 Определение случайной составляющей погрешности
7.5.3.1 Случайную составляющую погрешности определения коэффициента преобразования УЗР для каждой j-той точки расхода (sj, %), вычисляют по формуле
|
где to,95 |
e=t • J °-95 ГГ (22) •y j - коэффициент Стьюдента (определяют по таблице В.2 Приложения В); |
|
Sj |
- СКО, вычисленное по формуле (16), для j-й точки рабочего диапазона; |
7.5.3.2 Случайную составляющую погрешности определения коэффициента преобразования УЗР для k-го рабочего поддиапазона (sk, %), вычисляют по формуле
£к = max (sjk, £j+i к, Sj+2 к,...) (23)
|
где sjk |
- значение случайной составляющей погрешности в j-й точке, попадающей в к-й поддиапазон, %; |
-
7.5.3.3 Определение относительной погрешности
Относительную погрешность ИК объемного расхода с УЗР (5, %) вычисляют по формуле
5 = Z-[©£+sk] при 0,8<®z/Sk<8, (24)
|
где Z |
5 = ®е при ©т/Sk > 8, - коэффициент, зависящий от соотношения неисключенной систематической погрешности, вычисленной по формуле (18), и наибольшего значения из ряда СКО, вычисленных по формуле (И), в точках k-го поддиапазона, определяемый по таблице В.З Приложения В). |
-
7.5.4 ИК объемного расхода с УЗР допускается к применению, если в каждом из рабочих поддиапазонов выполняется условие
5 < 5с (25)
|
где 5с |
- относительная погрешность, указанная в описание типа для данного типа УЗР. |
-
7.5.5 В случае выполнения условия (25) во всех поддиапазонах расхода ИК объемного расхода с УЗР результаты проведенных измерений и вычислений оформляют в виде результатов определения метрологических характеристик ИК объемного расхода нефти, подписываемого поверителем.
-
7.5.6 Для исключения возможности несанкционированного доступа на элементы корпуса УЗР устанавливают пломбы, несущие на себе оттиск знака поверки, в соответствии с рисунком 2 описания типа. В память ИВК, входящего в состав РСУ, устанавливают значения коэффициентов преобразования УЗР.
-
7.6 Определение относительной погрешности измерений массы (брутто, нетто) нефти РСУ
-
7.6.1 Проверяют выполнение следующих условий:
-
-
- получения положительных результатов по п. 7.5.1-7.5.4;
-
- наличия действующих знаков поверки и (или) свидетельств о поверке, и (или) записи в паспорте (формуляре) СИ, заверенной подписью поверителя, и знаком поверки на фактически установленные СИ. соответствующие таблице 1 описания типа РСУ. кроме расходомера UFM 3030.
-
7.6.2 При выполнении условий п. 7.6.1 относительные погрешности измерений массы брутто нефти не выходит за пределы ±0,56 %; относительная погрешность измерений массы нетто нефти не выходит за пределы ±0,58 % и результаты определения относительной погрешности массы брутто (нетто) нефти считают положительным.
8.1 Результаты поверки оформляют протоколом по форме, приведенной в Приложении А. К протоколу поверки РСУ дополнительно прикладываются действующие результаты определения относительной погрешности измерительного канала объемного расхода нефти по форме, приведенной в Приложении А1.
При оформлении протокола средствами вычислительной техники и вручную допускается форму протокола представлять в измененном виде.
-
8.2 При положительных результатах поверки оформляют свидетельство о поверке РСУ в соответствии с документом «Порядок проведения поверки средств измерений, требования к знаку поверки и содержанию свидетельства о поверке», утвержденным приказом Минпромторга России от 02.07.2015 № 1815 (далее - порядок проведения поверки).
На оборотной стороне свидетельства о поверке РСУ указывают:
-
- диапазон измерений расхода РСУ;
-
- пределы допускаемой относительной погрешности измерений массы (брутто, нетто) нефти РСУ.
-
8.3 При положительных результатах поверки знак поверки в виде оттиска клейма поверителя наносится на свидетельство о поверке РСУ и на УЗР в соответствии со схемой пломбировки РСУ от несанкционированного доступа, приведенной на рисунке 2 описания типа.
Измерительные компоненты являются автономными измерительными блоками, заводские номера которых приводятся в Приложении с соответствующей отметкой в свидетельстве о поверке.
-
8.4 При отрицательных результатах поверки РСУ оформляют извещение о непригодности в соответствии с порядком проведения поверки.
(рекомендуемое)
Форма протокола поверки
ПРОТОКОЛ ПОВЕРКИ №_____________ Стр. из
Наименование РСУ:________________________________________________
Изготовитель:_____________________________________________________________
Заводской номер:________________________________________________________
Владелец:______________________________________________________________
Наименование и адрес заказчика:_________________________________________
Методика поверки:_________________________________________________________
Место проведения поверки:_____________________________________________
Поверка выполнена с применением (наименование, тип, регистрационный № эталона):
РЕЗУЛЬТАТЫ ПОВЕРКИ
А. 1 Внешний ОСМОТр:____________________________________________________________(соответствует/не соответствует)
А.2 Подтверждение соответствия ПО:________________________________________(соответствует/не соответствует)
А.З Опробование:_________________________________________________________ (соответствует/не соответствует)
А.4 Определение метрологических характеристик
А.4.1 Относительная погрешность измерений ИК объемного расхода нефти установленным в 7 5.4 пределам:_______(соответствует/не соответствует).
А.4.2 Определение относительной погрешности измерений массы (брутто, нетто) нефти РСУ:
Относительная погрешность измерений массы брутто нефти РСУ установленным в 7.6.2 пределам:__________________________(соответствует/не соответствует)
Относительная погрешность измерений массы нетто нефти РСУ установленным в 7.6.2 пределам:_____(соответствует/не соответствует)
должность лица, проводившего поверку
подпись
Ф.И.О.
Дата поверки
(рекомендуемое)
Форма представления результата определения метрологических характеристик измерительного канала объемного расхода нефти
Место проведения: ______________________
ТПР: Тип______________ Зав. № ____________
Ком 1: Тип_______________ Зав. № _____________
Ком 2: Тип______________ Зав. № _____________
Ком q: Тип______________ Зав. № _____________
Рабочая жидкость_____________
Температура при вычислении, средняя, °C,_______Вязкость при вычислении, средняя, мм2/с,_______
Таблица 1 - Исходные данные
|
®£о % |
®Vo % |
бкшвк % |
5k2 ивк % |
AtTnp °C |
AtTny °C |
AtK °C | |
|
1 |
2 |
3 |
4 |
5 |
6 |
7 | |
|
Таблица 2 - Результаты измерений и вычислений, компараторы | |||||||
|
№ точ / № изм j/i |
№ ком к |
Qkijk м3/ч |
ficijk Гц |
Nicijk ИМП |
KjCijk имп/м3 |
tKijk °C |
PfCijk МПа |
|
1 |
2 |
3 |
4 |
5 |
6 |
7 |
8 |
|
1/1 |
1 | ||||||
|
q | |||||||
|
1/ni |
1 | ||||||
|
q | |||||||
|
... | |||||||
|
т/1 |
i | ||||||
|
... | |||||||
|
q | |||||||
|
т/пт |
i | ||||||
|
q | |||||||
Таблица 3-Результаты измерений и вычислений, ТПР
|
№ точ / № изм j/i |
Qij м3/ч |
Tij с |
fij Гц |
Nij имп |
Vij м3 |
Ku имп/м3 |
tTnPij °C |
|
1 |
2 |
3 |
4 |
5 |
6 |
7 |
8 |
|
1/1 | |||||||
|
1/П1 | |||||||
|
т/1 | |||||||
|
т/пП1 |
Продолжение таблицы 3
|
№ точ / № изм j/i |
РТПР ij МПа |
Pimij кг/м3 |
tnnij °C |
Pnnij МПа |
Vij мм2/с |
|
1 |
9 |
10 |
11 |
12 |
13 |
|
1/1 | |||||
|
1/П] | |||||
|
т/1 | |||||
|
т/пш |
Таблица 4 - Результаты вычислений в точках рабочего диапазона
|
№ точки j |
Qi м3/ч |
fj Гц |
Kj имп/м3 |
Sj % |
% |
|
1 |
2 |
3 |
4 |
5 |
6 |
|
1 | |||||
|
m |
Таблица 5- Результаты вычислений в поддиапазонах
|
№ ПД k |
Qmin k M3/4 |
Qmax k м3/ч |
£пдк % |
®АПДк % |
®ЕПДк % |
§ПДк % |
|
1 |
2 |
3 |
4 |
5 |
6 |
7 |
|
1 | ||||||
|
m-1 |
18
Заключение: результаты определения относительной погрешности измерительного канала объемного расхода нефти____________________требованиям п 7.5.4
МП 1083-14-2020 соответствуют/ не соответствуют
Поверитель:___________________________________ _______________________ ________________________
наименование поверяющей организации подпись инициалы, фамилия
Дата: «___»_______________________ 20____г.
Определение коэффициентов, учитывающих влияние температуры и давления на объем нефтиКоэффициент, учитывающий влияние температуры на объем нефти, вычисляется по формуле:
CTL = ехр(-а15 • ДТ • (1 + 0.8 • а15 • ДТ)) „ _К0+К,.р15
U15
(БД)
(Б.2)
Р?5
где
t
Ко, Ki
ДТ = t-15
(Б.З)
pi5 - плотность нефти, при температуре 15 °C и избыточном давлении равном
нулю;
-
- температура нефти, °C;
-
- коэффициенты, определяемые по таблице Б.1.
Таблица Б.1
|
Продукт |
Ко |
Ki |
|
Товарная нефть |
613,97226 |
0,00000 |
|
Бензин |
346,42278 |
0,43884 |
|
Реактивное топливо |
594,54180 |
0,00000 |
|
Мазут |
186,96960 |
0,48618 |
Коэффициент, учитывающий влияние давления на объем нефти, вычисляется по формуле:
CPL =-------
1-В-Р-10
(Б.4)
где
где
В = 10"4
С
•ехр -1.6208+ 0.00021592 И + к
870960 4209.2 +
----2---+-----2----
Р15 Р15 )
(Б.5)
- избыточное давление нефти, МПа -температура нефти, °C.
Плотность нефти, приведенная к температуре 15 °C и абсолютному давлению 0.1 МПа, кг/м3:
Рбкк CTL -CPL
(Б.6)
рвкк
CTL
CPL
-
- плотность нефти, при условиях ПП или определенная в лаборатории, кг/м3.
-
- коэффициент, учитывающий влияние температуры на объем нефти, определенный для температуры нефти, в ПП.
-
- коэффициент, учитывающий влияние давления на объем нефти, определенный для давления нефти, в ПП.
Как видно из выражений (Б.1), (Б.2) и (Б.4), (Б.5) для определения CTL и CPL необходимо знать величину плотности при 15°С. В свою очередь для определения плотности при 15°С (по формуле Б.6) необходимо определить значения CTL и CPL.
Для определения этих величин используется метод последовательного приближения.
-
1) В формулы (Б.1) и (Б.4) вместо величины pi5 подставляется значение рвкк и вычисляются значения CTL(l) и CPL(l).
-
2) Определяется значение ри(1), кг/м3, используя вычисленные значения CTL(l) и CPL(l).
Р15(1) =
_______Р ькк_______
CTL(l) -CPL(l)
(Б.7)
-
3) В формулы (Б.1) и (Б.4) вместо величины pis подставляется значение pis(l) и вычисляются значения CTL(2) и CPL(2).
-
4) Определяется значение ри(2), кг/м3, используя вычисленные значения CTL(2) и CPL(2), вычисленные в предыдущем пункте.
CTL(2) и CPL(2) р., (2) =------------ Б'8
15 CTL(2) -CPL(2)
-
5) Аналогично пункту (3) находятся значения CTL(3) и CPL(3), используя pis(2), вычисленное в предыдущем пункте (4).
-
6) Заканчивается процесс определения ро, кг/м3, при достижении неравенства:
|ро(' + 1)_Ро(О| - 0,001 (Б.9)
Методика анализа результатов измеренийДля выявления промахов выполняют следующие операции:
В.1 Определяют СКО результатов измерений объема нефти ТПР, применяемого в качестве компаратора в каждой точке рабочего диапазона по формуле

При Srj < 0,001 принимают Srj = 0,001.
В.2 Для каждого измерения вычисляют соотношение по формуле

(В.2)
В.З Из ряда вычисленных значений Up для точки расхода выбирают максимальное значение Ujmax, которое сравнивают с величиной «Ь», взятой из таблицы для объема выборки «пр>.
Таблица В.1 - Критические значения для критерия Граббса (ГОСТ Р ИСО 5725)
|
т |
3 |
4 |
5 |
6 |
7 |
8 |
9 |
10 |
11 |
|
h |
1,155 |
1,481 |
1,715 |
1,887 |
2,020 |
2,126 |
2,215 |
2,290 |
2,355 |
Таблица В.2 - Значения коэффициентов Стьюдента при доверительной вероятности Р= 0,95
|
3 |
4 |
5 |
6 |
7 |
8 |
9 |
10 |
12 | |
|
to,95 |
3,182 |
2,776 |
2,571 |
2,447 |
2,365 |
2,306 |
2,262 |
2,228 |
2,179 |
Таблица В.З - Значения коэффициента Z в зависимости от отношения / шах(5у) при доверительной вероятности Р=0,95
|
0ъ / max(Sy) |
0,5 |
0,75 |
1 |
2 |
3 |
4 |
5 |
6 |
7 |
8 |
|
Z |
0,81 |
0,77 |
0,74 |
0,71 |
0,73 |
0,76 |
0,78 |
0,79 |
0,80 |
0,81 |
Г.1 Коэффициенты линейного расширения и модули упругости материала стенок ТПУ определяют по таблицам Г.1 и Г.2.
Таблица Г.1 - Коэффициенты линейного расширения и модули упругости материала стенок трубопоршневых поверочных установок___________________________________________________
|
Материал |
at |
Е |
|
°C'1 |
МПа | |
|
Сталь углеродистая |
11,2 • 10'6 |
2,1 • 105 |
|
Сталь легированная |
11,0 • 10’6 |
2,0- 105 |
|
Сталь нержавеющая |
16,6 • IO'6 |
1,0 • 105 |
|
Латунь |
17,8 • 10‘б |
- |
|
Алюминий |
24,5 • 10'6 |
- |
|
Медь |
17,4 • 10’6 |
- |
|
Примечание - Если значения at и Е приведены в паспорте ТПУ, то используют паспортные значения. | ||
23
