Методика поверки «Государственная система обеспечения единства измерений. Комплекс автоматизированный измерительно-вычислительный (АИВК) для изме- рения радиотехнических характеристик антенн методом ближней зоны в частот- ной области (планарное сканирование) » (РЛТГ.411734.001)
УТВЕРЖДАЮ
Врид начальника
ФГБУ «П1МЦ»1у1 ин обороны России
Т.Ф. Мамлеев
2020 г.
Государственная система обеспечения единства измерений.
Комплекс автоматизированный измерительно-вычислительный (АИВК) для измерения радиотехнических характеристик антенн методом ближней зоны в частотной области (планарное сканирование) РЛТГ.411734.001
Методика поверки
г. Мытищи 2020 г.
СОДЕРЖАНИЕ
1 ВВОДНАЯ ЧАСТЬ
-
1.1 Настоящая методика поверки (далее - МП) устанавливает методы и средства первичной и периодической поверок комплекса автоматизированного измерительно-вычислительного (АИВК) для измерения радиотехнических характеристик антенн методом ближней зоны в частотной области (планарное сканирование) РЛТГ.411734.001 (далее — комплекс), изготовленного ООО «Радиолайн». г. Москва, заводской № 1990002.
-
1.2 Первичная поверка комплекса проводится при вводе его в эксплуатацию и после ремонта.
-
1.3 Периодическая поверка комплекса проводится в ходе его эксплуатации и хранения.
-
1.4 Комплекс предназначен для измерений радиотехнических характеристик антенн.
-
1.5 Периодическая поверка комплекса проводится один раз в 2 (два) года.
2 ОПЕРАЦИИ ПОВЕРКИ
-
2.1 При проведении поверки комплекса должны быть выполнены операции, указанные в таблице 1.
Таблица 1 - Операции поверки
Наименование операции |
Пункт МП |
Проведение операций при | |
первичной поверке |
периодической поверке | ||
1 Внешний осмотр |
8.1 |
4- |
+ |
2.1 Опробование |
8.2.1 |
+ |
+ |
2.2 Проверка программного обеспечения (ПО) |
8.2.2 |
+ |
4- |
3 Определение метрологических характеристик |
8.3 |
4- |
4- |
3.1 Определение относительной погрешности измерений амплитудного распределения электромагнитного поля и абсолютной погрешности измерений фазового распределения электромагнитного поля |
8.3.1 |
+ |
+ |
3.2 Определение относительной погрешности измерений относительных уровней амплитудных диаграмм направленности и абсолютной погрешности измерений фазовых диаграмм направленности |
8.3.2 |
+ |
- |
3.3 Определение относительной погрешности измерений коэффициента усиления антенны методом замещения |
8.3.3 |
+ |
- |
3.4 Определение абсолютной погрешности измерений ширины главного лепестка амплитудной диаграммы направленности |
8.3.4 |
+ |
- |
3.5 Определение диапазона рабочих частот |
8.3.5 |
+ |
- |
3.6 Определение размеров рабочей области сканирования |
8.3.6 |
+ |
- |
3.7 Определение сектора углов измеряемых диаграмм направленности |
8.3.7 |
+ |
- |
-
2.2 Не допускается проведение поверки отдельных измерительных канатов или отдельных автономных блоков или меньшего числа измеряемых величин или на меньшем числе поддиапазонов измерений.
3 СРЕДСТВА ПОВЕРКИ
-
3.1 При проведении поверки комплекса должны быть применены средства измерений, указанные в таблице 2.
Таблица 2 - Средства измерений для поверки комплекса
Пункт МП |
Наименование и тип (условное обозначение) основного или вспомогательного средства поверки; обозначение нормативного документа, регламентирующего технические требования, и (или) метрологические и основные технические характеристики средства поверки |
8.3.1 -8.3.5. 8.3.7 |
Антенный измерительный комплект АПК 1-40Б. диапазон частот от 0.9 до 40 ГГц. пределы допускаемой абсолютной погрешности измерений коэффициента усиления ±1.8 дБ для П6-123, ±1.2 дБ для П6-140-х |
8.3.1 -8.3.7 |
Система лазерная координатно-измерительная API ТгаскегЗ. регистрационный номер в Федеральном информационном фонде 58281-14, диапазон измерений расстояний от 0.001 до 40 м. предел допускаемой средней квадратической погрешности измерений расстояний (10 + L), мкм. где L - измеряемое расстояние, м |
8.3.1 -8.3.5, 8.3.7 |
Векторный анализатор цепей N5224A. диапазон рабочих частот от 0.01 до 43.5 ГГц. пределы допускаемых значений абсолютной погрешности измерений коэффициента передачи (амплитуда и фаза) на частоте 2 ГГц от минус 59.99 до 10 дБ ±0.07 дБ. ±0,5 градус |
8.3.1 -8.3.5. 8.3.7 |
Вспомогательное оборудование - аттенюатор Agilent 8494В. диапазон частот от 0.0001 до 17.44 ГГц. диапазон ослабления от 0 до 11 дБ. аттенюатор Agilent 8496В. диапазон частот от 0.0001 до 17.44 ГГц. диапазон ослабления от 0 до 110 дБ. мера фазового сдвига, диапазон рабочих частот от 0.75 до 13.5 ГГц |
-
3.2 Допускается использовать аналогичные средства поверки, обеспечивающие определение метрологических характеристик поверяемого комплекса с требуемой точностью.
-
3.3 Средства поверки должны быть исправны, поверены и иметь свидетельства о поверке.
4 ТРЕБОВАНИЯ К КВАЛИФИКАЦИИ ПОВЕРИТЕЛЕЙ
-
4.1 Поверка должна осуществляться лицами с высшим или средним техническим образованием. аттестованными в качестве поверителей в области радиотехнических измерений, и имеющими квалификационную группу электробезопасности не ниже третьей.
-
4.2 Перед проведением поверки поверитель должен ознакомиться с документом «Комплекс автоматизированный измерительно-вычислительный (АИВК) для измерения радиотехнических характеристик антенн методом ближней зоны в частотной области (планарное сканирование) РЛТГ.411734.001. Руководство по эксплуатации. РЛТГ.411734.001 РЭ».
5 ТРЕБОВАНИЯ БЕЗОПАСНОСТИ
-
5.1 При проведении поверки должны быть соблюдены все требования безопасности в соответствии с ГОСТ 12.3.019-80 «ССБТ. Испытания и измерения электрические. Общие требования безопасности», а также требования безопасности, приведённые в эксплуатационной документации на составные элементы комплекса и средства поверки.
-
5.2 Размещение и подключение средств измерений разрешается производить только при выключенном питании.
6 УСЛОВИЯ ПОВЕРКИ
-
6.1 При проведении поверки комплекса должны соблюдаться условия, приведенные в таблице 3.
Таблица 3 - Условия проведения поверки комплекса
Влияющая величина |
Нормальное значение |
Допускаемое отклонение от нормального значения |
Температура окружающей среды. °C |
20 |
±5 |
Относительная влажность воздуха. % |
от 30 до 80 |
- |
Атмосферное давление. кПа |
от 84 до 106.7 |
- |
Напряжение питающей сети переменного тока. В |
230 |
±23 |
Частота питающей сети. Гц |
50 |
±1 |
7 ПОДГОТОВКА К ПРОВЕДЕНИЮ ПОВЕРКИ
-
7.1 Проверить наличие эксплуатационной документации и срок действия свидетельств о поверке на средств поверки, векторного анализатора цепей из состава комплекса.
-
7.2 Подготовить средства поверки к проведению измерений в соответствии с их руководствами по эксплуатации.
-
8 ПРОВЕДЕНИЕ ПОВЕРКИ
8.1 Внешний осмотр
-
8.1.1 При проведении внешнего осмотра комплекса проверить:
-
- комплектность и маркировку комплекса;
-
- наружную поверхность элементов комплекса, в том числе управляющих и питающих кабелей:
-
- состояние органов управления.
-
8.1.2 Проверку комплектности комплекса проводить сличением действительной комплектности с данными, приведенными в разделе 4 документа «Комплекс автоматизированный измерительно-вычислительный (АИВК) для измерения радиотехнических характеристик антенн методом ближней зоны в частотной области (планарное сканирование) РЛТГ.411734.001. Паспорт. РЛТГ.411734.001 ПС» (далее - ПС).
-
8.1.3 Проверку маркировки производить путем внешнего осмотра и сличением с данными, приведенными в ПС.
-
8.1.4 Результаты внешнего осмотра считать положительными, если:
-
- комплектность и маркировка комплекса соответствует ПС:
-
- наружная поверхность комплекса не имеет механических повреждений и других дефектов:
-
- управляющие и питающие кабели не имеют механических и электрических повреждений:
-
- органы управления закреплены прочно и без перекосов, действуют плавно и обеспечивают надежную фиксацию:
-
- все надписи на органах управления и индикации четкие и соответствуют их функциональному назначению.
В противном случае результаты внешнего осмотра считать отрицательными и последующие операции поверки не проводить.
8.2.1 Опробование
-
8.2.1.1 Подготовить комплекс к работе в соответствии с РЭ.
-
8.2.1.2 Проверить работоспособность аппаратуры комплекса путем проверки отсутствия сообщений об ошибках и неисправностях при загрузке программного продукта для измерений в ближней зоне «RL-BEAM-DA ».
-
8.2.1.3 Проверить работоспособность всех приводов сканера:
-
- при перемещении по оси Ох;
-
- при перемещении по оси Оу:
-
- при перемещении по оси Oz;
-
- при вращении зонда по поляризации.
-
8.2.1.4 Соединить при помощи адаптера разъем кабеля «вход антенны-зонда» и разъем кабеля «выход испытываемой антенны». В соответствии с эксплуатационной документацией подготовить к работе векторный анализатор электрических цепей (далее - анализатор) из состава комплекса, перевести его в режим измерений модуля комплексного коэффициента передачи. Установить следующие настройки анализатора:
-
- полоса частот от 0.75 до 13.5 ГГц:
-
- ширина полосы пропускания 1 МГц;
-
- уровень мощности выходного колебания 0 дБмВт.
На экране анализатора наблюдать результат измерений частотной зависимости модуля коэффициента передачи. При этом должны отсутствовать резкие изменения полученной характеристики. свидетельствующие о неудовлетворительном состоянии радиочастотного тракта комплекса.
-
8.2.1.5 Результаты поверки считать положительными, если сканер обеспечивает перемещение антенны-зонда по осям Ох. Оу. Oz и вращение в плоскости поляризации, на экране анализатора наблюдается результат измерений частотной зависимости модуля коэффициента передачи без резких изменений, а также отсутствует программная или аппаратная сигнализация о неисправностях комплекса.
В противном случае результаты поверки считать отрицательными и последующие операции поверки не проводить, комплекс бракуется и подлежит ремонту.
8.2.2 Проверка ПО
-
8.2.2.1 Осуществить проверку соответствия следующих заявленных идентификационных данных ПО:
-
- наименование ПО:
-
- идентификационное наименование ПО;
-
- номер версии (идентификационный номер) ПО:
-
- цифровой идентификатор метрологически значимой части ПО (контрольная сумма исполняемого кода):
-
- алгоритм вычисления цифрового идентификатора ПО:
-
- уровень защиты ПО от непреднамеренных и преднамеренных изменений (уровни А. В или С).
-
8.2.2.2 Результаты поверки считать положительными, если идентификационные данные
ПО соответствуют таблице 4. Таблица 4
Наименование ПО |
Идентификационное наименование ПО |
Номер версии (идентификационный номер) ПО |
Цифровой идентификатор ПО (контрольная сумма исполняемого кода) |
Алгоритм вычисления идентификатора ПО |
RL-BEAM-DA |
RL-BEAM-DA.exe |
1.0.1.7 |
С232ЕВ8ААВ8270817 82920EB6F335E54 |
MD5 |
RL BEAM D TV |
RL BEAM DTV.exe |
1.0.0.0 |
2BCCFD45AFC543EE B5E31D496C54AAA9 |
MD5 |
8.3 Определение метрологических характеристик
8.3.1 Определение относительной погрешности измерений амплитудного распределения электромагнитного поля и абсолютной погрешности измерений фазового распределения электромагнитного поля
-
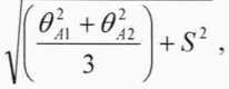
8.3.1.1 Относительную погрешность измерений амплитудного распределения электромагнитного поля 8,, дБ. определить по формулам (1) - (4):
8, = 201g(l + XSx), (1)

(2)
(3)
(4)
где 0- погрешность измерений модуля комплексного коэффициента передачи анализатором из состава комплекса;
0А2 - погрешность измерений, обусловленная неидеальной поляризационной развязкой антенн-зондов из состава комплекса:
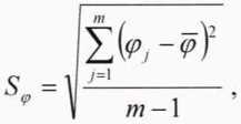
S - среднее квадратическое отклонение результатов измерений амплитудного распределения:
А - результат измерений амплитудного распределения;
А - среднее арифметическое значение результатов измерений амплитудного распределения:
t - коэффициент Стьюдента для заданного числа реализаций измерений амплитудного распределения.
m - количество измерений.
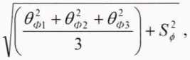
Абсолютную погрешность измерений фазового распределения электромагнитного поля
Аф, градус, определить по формулам (5) - (8):

180
7Г



(5) (6)
(7)
(8)
где <9Ф| - погрешность измерений фазы комплексного коэффициента передачи векторным анализатором цепей из состава комплекса, рад;
0Ф. - погрешность измерений фазы, обусловленная неточностью позиционирования антенны-зонда в плоскости сканирования, рад;
0ф,- погрешность измерений фазы, обусловленная случайными перегибами радиочастотного тракта комплекса, рад;
S<p - среднее квадратическое отклонение результатов измерений фазового распределения, рад:
(р — результат измерений фазового распределения, рад:
<р - среднее арифметическое значение результатов измерений фазового распределения, рад.
Относительную погрешность измерений амплитудного распределения электромагнитного поля и абсолютную погрешности измерений фазового распределения электромагнитного поля определить при относительных уровнях амплитудного распределения от минус 10 до минус 45 дБ с интервалом 5 дБ. Динамический диапазон измерений амплитудного распределения при этом должен составлять не менее 60 дБ. Под динамическим диапазоном измерений амплитудного распределения следует понимать отношение максимального уровня амплитудного распределения к среднему уровню измеряемых радиошумов.
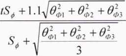
Относительную погрешность измерений амплитудного распределения электромагнитного поля 6а и абсолютную погрешность измерений фазового распределения электромагнитного поля Ад определить:
-
- на частоте 0,75 ГГц по формулам (1) и (5) соответственно:
-
- на частотах 10.0 и 13.5 ГГц по формулам (9) и (10):
Дл =201g(l + 1.17^, +^2); (9)
Дф=—1.1^,+<&+<?;,. (’0)
Л"
Частные составляющие погрешностей измерений (слагаемые в выражениях (2). (3). (6). (7)) определить по нижеследующим методикам.
-
8.3.1.2 Погрешность измерений модуля комплексного коэффициента передачи векторным анализатором цепей из состава комплекса определить при помощи аттенюатора Agilent 8494В. аттенюатора Agilent 8496В.
В измерительный тракт векторного анализатора цепей N5224A внести последовательное соединение аттенюаторов Agilent 8494В. Agilent 8496В таким образом, чтобы они соединяли с помощью разъемов радиочастотных кабелей порт 1 и порт 2 анализатора цепей.
Провести полную двухпортовую калибровку анализатора цепей в диапазоне частот от 0.75 до 13.5 ГГц в соответствии с технической документацией на него.
Установить следующие настройки анализатора:
-
- уровень выходной мощности - 0 дБмВт;
-
- полоса анализа от 0.75 до 13.5 ГГц;
-
- ширина полосы пропускания 500 Гц:
-
- режим измерений модуля комплексного коэффициента передачи S21;
-
- количество точек 1276.
Изменяя ослабление аттенюаторов от 0 до 45 дБ с шагом 5 дБ. провести измерения модуля комплексного коэффициента передачи. Записать измеренные значения £(/), дБ.
В измерительный тракт комплекса внести аттенюаторы таким образом, чтобы они соединяли разъемы радиочастотных кабелей для подключения испытываемой антенны и антенны-зонда. Ослабление аттенюаторов установить равным 0 дБ.
Провести полную двухпортовую калибровку анализатора из состава комплекса в комплекте со штатными радиочастотными кабелями и аттенюатором в диапазоне частот от 0.75 до
-
13.5 ГГц в соответствии с технической документацией на него.
Установить следующие настройки анализатора:
-
- полоса анализа от 0.75 до 13.5 ГГц;
-
- ширина полосы пропускания 500 Гц:
-
- режим измерений модуля комплексного коэффициента передачи S21:
-
- количество точек 1276.
Без подачи мощности с порта генератора векторного анализатора цепей провести измере
ния модуля комплексного коэффициента передачи ницу АЧХ шума N. дБ.
512< / ), дБ. Зафиксировать верхнюю гра
Увеличивая мощность сигнала с порта генератора анализатора цепей, зафиксировать опорный уровень, при котором обеспечивается условие
Изменяя ослабление аттенюатора от 0 до 45 дБ с шагом 5 дБ. провести измерения модуля
комплексного коэффициента передачи.
Погрешность измерений модуля комплексного коэффициента передачи на каждой частоте /. указанной в п. 8.3.1.1. рассчитать как разность (в логарифмических единицах) между изме
ренным значением модуля коэффициента передачи
512Ш
. дБ. и действительным значением
ослабления аттенюатора дБ. измеренным с помощью векторного анализатора цепей
N5224А. по формуле:
<?„(/)= S12(X)-£(Z). (11)
За погрешность 0 п для каждого номинала ослабления, соответствующего относительному уровню амплитудного распределения электромагнитного поля М. принять максимальное значение погрешности измерений ^41(/) соответствующего номинала ослабления аттенюатора в
установленной полосе частот в линейном масштабе:

10 20
0\\'' = max*
(12)
Результаты поверки записать в таблицу 5.
Таблица 5 - Результаты оценки погрешности измерений модуля комплексного коэффициента пе-редачи анализатором из состава комплекса
Ослабление аттенюатора L. дБ |
Относительный уровень амплитудного распределения М. дБ |
Погрешность измерений <9Л1, дБ |
10 |
-10 | |
20 |
-20 | |
30 |
-30 | |
40 |
-40 | |
45 |
-45 |
-
8.3.1.3 Погрешность измерений, обусловленную неидеальной поляризационной развязкой антенн-зондов из состава комплекса, определить по формуле:
0А2 = (1 + 1Оо,А77/>)2-1, (13)
где КПР - минимальный уровень кроссполяризационной развязки антенн-зондов из состава комплекса. принимаемый равным минус 20 дБ.
-
8.3.1.4 Погрешность измерений фазы комплексного коэффициента передачи векторным анализатором цепей из состава комплекса определить с помощью аттенюатора Agilent 8494В. аттенюатора Agilent 8496В. векторного анализатора цепей N5224A. вспомогательного оборудования - меры фазового сдвига ЭПЗ. 1.
-
8.3.1.4.1 В измерительный тракт векторного анализатора цепей N5224A внести последовательное соединение радиочастотных кабелей из состава комплекса таким образом, чтобы они соединяли порт 1 и порт 2 анализатора цепей.
Провести полную двухпортовую калибровку анализатора цепей в диапазоне частот от 0.75 до 13.5 ГГц в соответствии с технической документацией на него.
Установить следующие настройки анализатора:
-
- уровень выходной мощности - 0 дБмВт;
-
- полоса анализа от 0.75 до 13.5 ГГц;
-
- ширина полосы пропускания 500 Гц:
-
- режим измерений модуля комплексного коэффициента передачи S21;
-
- количество точек 1276.
Ввести в разрыв кабеля 1 и 2 меру фазового сдвига ЭП3.1. Провести измерения фазового сдвига и зафиксировать измеренные значения Ф' '(/).
-
8.3.1.4.2 В измерительный тракт комплекса внести аттенюатор и меру фазового сдвига ЭП3.1 таким образом, чтобы они соединяли разъемы радиочастотных кабелей для подключения испытываемой антенны и антенны-зонда. Ослабление аттенюатора установить равным 0 дБ.
Провести полную двухпортовую калибровку анализатора из состава комплекса в комплекте с штатными радиочастотными кабелями, аттенюатором и мерой в соответствии с технической документацией на него.
Изменяя ослабление аттенюатора от 0 до 45 дБ с шагом 5 дБ. провести измерения фазы комплексного коэффициента передачи при следующих настройках анализатора:
-
- уровень выходной мощности - 0 дБм Вт;
-
- полоса анализа от 0.75 до 13.5 ГГц;
-
- ширина полосы пропускания 500 Гц;
-
- режим измерений модуля комплексного коэффициента передачи S21;
-
- количество точек 1276.
Погрешность измерений фазы комплексного коэффициента передачи на каждой частоте ./,, указанной в п. 8.3.1.1. рассчитать как разность между измеренным значением фазы коэффициента передачи arg(512( /’)). рад. и значением установленного фазового сдвига мерыФ'Л'(/’). рад. определенным в п. 8.3.1.1 по формуле:
C(Z) = arg(S12(/))-<X>,A,|(/). (14)
За погрешность 0ФУ для каждого номинала относительного уровня фазового распределения электромагнитного поля принять максимальное значение погрешности измерений 0ф} '(ft) соответствующего номинала ослабления аттенюатора в установленной полосе частот:
^’=тах{^’(/,)}. (15)
Результаты поверки записать в таблицу 6.
Таблица 6 - Результаты оценки погрешности измерений фазы комплексного коэффициента передачи анализатором из состава комплекса
Ослабление аттенюатора L. дБ |
Относительный уровень амплитудного распределения М. дБ |
Погрешность измерений . градус |
10 |
-10 | |
20 |
-20 | |
30 |
-30 | |
40 |
-40 | |
45 |
-45 |
-
8.3.1.5 Погрешность измерений фазы, обусловленную неточностью позиционирования антенны-зонда в плоскости сканирования, определить с помощью системы лазерной координатноизмерительной API ТгаскегЗ.
Подготовить комплекс к измерению характеристик антенн в ближней зоне в соответствии сРЭ.
Подготовить систему лазерную координатно-измерительную API ТгаскегЗ к измерению в соответствии с эксплуатационной документацией на нее.
Оптический отражатель из состава системы лазерной координатно-измерительной API ТгаскегЗ закрепить на антенну-зонд, установленную на сканере из состава комплекса, в соответствии со схемой, приведенной на рисунке 1.
1 - антенна-зонд; 2 - оптический отражатель; 3 - система API ТгаскегЗ; 4 - сканер Рисунок 1 - Схема измерений характеристик позиционирования сканера
С помощью пульта ручного управления сканером переместить антенну-зонд в центральное левое положение. Зафиксировать показания API ТгаскегЗ.
Перемещая антенну-зонд с установленным оптическим отражателем вдоль оси Ох в пределах рабочей зоны сканера с шагом Лимя/2 (где Лтп - минимальная длина волны, соответствующая верхней границе диапазона рабочих частот комплекса) до срабатывания механического ограничителя, фиксировать показания системы лазерной координатно-измерительной API ТгаскегЗ.
С помощью пульта ручного управления сканером переместить антенну-зонд в центральное нижнее положение. Зафиксировать показания системы API ТгаскегЗ.
Перемещая антенну-зонд с установленным оптическим отражателем вдоль оси Оу в пределах рабочей зоны сканера с шагом Ат1п/2 до срабатывания механического ограничителя, фиксировать показания системы лазерной координатно-измерительной API ТгаскегЗ.
Рассчитать погрешность позиционирования антенны-зонда как разность между координатами вертикальной плоскости измерений системы лазерной координатно-измерительной API ТгаскегЗ и измеренными координатами положения антенны-зонда Аг. м.
Погрешность измерений фазы A^(/J, рад. обусловленную неточностью позиционирования антенны-зонда в плоскости сканирования, для каждого номинала частоты, указанного в п.
8.3.1.1, определить по формуле:
A f )=k-bz, (16)
где к = 2/г/Я - волновое число. 1/м;
Л - длина волны, соответствующая частотам, указанным в п. 5.1.1. м.
За погрешность измерений фазы 0ф2 для каждого номинала частоты, указанного в п.
8.3.1.1. принять среднее квадратическое значение погрешности, определенное по формуле:

i=0______________
М
(17)
где М - число точек, в которых проводились измерения пространственного положения антенны-зонда.
Размеры рабочей области сканирования по осям Ох и Оу рассчитать как разность между показаниями системы лазерной координатно-измерительной API ТгаскегЗ в момент срабатывания механического ограничителя сканера и ее показаниями при установке антенны-зонда в крайние положения.
-
8.3.1.6 Погрешность измерений фазы, обусловленную случайными перегибами радиочастотного тракта комплекса, определить с помощью согласованной нагрузки 50 Ом.
В измерительный тракт комплекса внести согласованную нагрузку таким образом, чтобы она замыкала соединитель радиочастотного кабеля для подключения антенны-зонда.
Провести однопортовую калибровку анализатора из состава комплекса в диапазоне частот
от 0,75 до 13.5 ГГц в соответствии с технической документацией на него.
Провести измерения фазы комплексного коэффициента отражения при следующих настройках анализатора:
-
- полоса анализа от 0.75 до 13,5 ГГц:
-
- ширина полосы пропускания 500 Гц;
-
- уровень мощности выходного колебания -10 дБмВт;
-
- режим измерений фазы комплексного коэффициента отражения S11.
С помощью пульта ручного управления сканером переместить антенну-зонд в крайнее нижнее положение.
Перемещая антенну-зонд с установленным оптическим отражателем вдоль осей 0х, Оу в пределах рабочей зоны сканера с шагом 20 см, фиксировать показания анализатора.
За оценку погрешности измерений фазы, обусловленную случайными перегибами радиочастотного тракта комплекса, принять разность между максимальным и минимальным значением измеренной фазы комплексного коэффициента отражения на частоте 13.5 ГГц.
-
8.3.1.7 Оценку среднего квадратического отклонения результатов измерений амплитудного и фазового распределений (АФР) проводить методом прямых измерений с многократными наблюдениями распределения поля, формируемого на плоскости сканирования антенной П6-140 из состава антенного измерительного комплекта АПК 1-40Б.
Антенну П6-140 установить на опорно-поворотное устройство в положение, соответствующее вертикальной поляризации, таким образом, чтобы плоскость раскрыва была параллельна плоскости сканирования.
Используя режим ручного или дистанционного управления сканера, установить антенну-зонд соосно с антенной П6-140 в положение, соответствующее вертикальной поляризации.
Расстояние между раскрывами антенны П6-140 и антенны-зонда установить в равным не более (3-5)Х, где X- максимальная длина волны измеряемого поддиапазона частот.
Запустить программу измерений в частотной области.
В соответствии с РЭ на комплекс установить полосу частот анализатора от 12,0 до 13.5 ГГц. ширину полосы пропускания 100 Гц. шаг перестройки по частоте 0.5 ГГц. уровень мощности выходного сигнала анализатора 0 дБмВт.
Далее установить следующие настройки:
-
- шаг сканирования - не более Х/2:
-
- режим сканирования - непрерывное сканирование без реверса:
-
- поляризация измеряемой антенны - вертикальная:
-
- поляризация зонда - вертикальная:
-
- размеры области сканирования 500 * 800 мм.
Нажать кнопку «НАЧАТЬ ИЗМЕРЕНИЯ».
Измерить АФР не менее 7 раз с интервалом не менее 5 мин (далее по тексту - результаты измерений АФР. полученные в ходе одного сканирования. - реализация).
Запустить программу расчета характеристик антенн по данным в ближнем поле, входящую в комплект поставки комплекса. На частоте 13.5 ГГц рассчитать амплитудные А, и фазовые (р. распределения, а также среднее квадратическое отклонение результатов измерений амплитудного и фазового распределений по формулам (4) и (8).
-
8.3.1.8 Результаты поверки считать положительными, если значения погрешности измерений амплитудного распределения электромагнитного поля при динамическом диапазоне измерений амплитудного распределения не менее 60 дБ и кроссполяризационной развязке антенны-зонда не менее 20 дБ находятся в следующих пределах для относительных уровней амплитудного распределения:
-
- минус 10 дБ..................±0,3 дБ;
-
- минус 20 дБ..................±0.4 дБ;
-
- минус 30 дБ..................±0,5 дБ;
-
- минус 40 дБ..................±0,9 дБ;
-
- минус 45 дБ..................±1,5 дБ;
а значения абсолютной погрешности измерений фазового распределения электромагнитного
поля при динамическом диапазоне измерений амплитудного распределения не менее 60 дБ находятся в следующих пределах при относительном уровне амплитудного распределения:
В противном случае результаты поверки считать отрицательными и последующие операции поверки не проводить, комплекс бракуется и подлежит ремонту.
-
8.3.2 Определение относительной погрешности измерений относительных уровней амплитудных диаграмм направленности и абсолютной погрешности измерений фазовых диаграмм направленности
-
8.3.2.1 Определение погрешности измерений относительных уровней амплитудных диаграмм направленности (АДН) и фазовых диаграмм направленности (ФДН) осуществить методом математического моделирования с учетом результатов, полученных в п. 8.3.1 настоящей МП. путем сравнения невозмущенных амплитудных диаграмм направленности, определенных для антенн с равномерным синфазным распределением токов на апертуре, и тех же диаграмм направленности. но с учетом погрешности измерений амплитудного и фазового распределений (АФР).
-
8.3.2.2 Невозмущенную диаграмму направленности оценить следующим образом.
Размеры плоскости сканирования выбрать из критерия максимального сектора углов восстанавливаемой диаграммы направленности, равного ±65°. по формуле:
L х =а + 2R- tgO, (18)
L} = b + 2R -tg(p,
где Lx, Ly- размеры плоскости сканирования в соответствующих плоскостях, м;
а. Ь- размеры раскрыва в соответствующих плоскостях, м. я = 6 > 5Я,„|1Г, где л,и<п - длина волны, соответствующая частотам 0.75: 10.0 и 13.5 ГГц:
R - измерительное расстояние. R = 3 Лтах. м:
0 = 2,27 рад.
Интервал дискретизации выбрать равным 0,52дааг.
Для частоты 0.75 ГГц пересчитать АФР в раскрыве антенны в АФР на плоскости сканирования по формуле:
A^(x,y)exp[ j((p0(x,y))] yj(x- х2)- + (у - у2 / + Rz

JV-1.W-I
J(x2,y2)
/г=0 ш=0
где J(x^,y2 ) - АФР на плоскости сканирования: (Х2. у2) - координаты на плоскости сканирования, м; Ао - амплитуда сигнала (Ао = / В):
(ро - фаза сигнала (ipo = 0 рад)\
N(M) =
Lx(Ly)
Ay< AjJ
- число шагов сканирования в каждой из плоскостей, где Ах. Ау -
шаг скани
рования в плоскости X и Y. соответственно.
Рассчитать нормированную амплитудную диаграмму направленности и фазовую диаграмму направленности по формулам:
(20) Ж
(21)
г- , . Л-----5-----Г
F,(u,v) = y\-u -v ----т---------
MAXl\3(J(x2,y2
Flt>(u.v) = arg[3(J(x2. v2))].
где |...| - модуль комплексной величины;
3 (...) - оператор двумерного дискретного преобразования Фурье;
МАХ - максимальное значение амплитудной диаграммы направленности; arg - аргумент функции:
и = sin 0 • cos (р. v = sin0-sin (р - угловые координаты:
U - ±---N , И = ±---М - угловые сектора в системе координат направляющих косинусов

(z/.v). в пределах которых восстанавливается диаграмма, рад:

-
8.3.2.3 АДН и ФДН антенны с учетом погрешности измерений АФР оценить следующим образом.
Значения погрешности измерений АФР для каждого относительного уровня амплитудного распределения М задавать программно с учетом оценки погрешности измерений АФР. полученных в п. 8.3.1. по формулам:
&4 = Nonn(0.a2 а), Ь(р = Norm(0. ст> Д
(22)
(23)
где Norm - генератор случайных величин, распределенных по нормальному закону:
сгл - среднее квадратическое отклонение результатов измерений амплитудного распределения


ст, - среднее квадратическое отклонение результатов измерений фазового распределения <7,„ = Дф/2.45.
Рассчитать АФР ЭМП на плоскости сканирования с учетом погрешности их измерений по формуле:

(24)
Аналогичным образом провести расчет «возмущенных» диаграмм направленности 7 раз. При каждой последующей реализации воспроизводить новые случайные величины по законам (21).
-
8.3.2.4 Погрешность измерений относительных уровней АДН и ФДН оценить следующим образом.
Среднее квадратическое отклонение результатов измерений уровней АДН и ФДН в двух главных сечениях при <р=0 и ф=л/2 рассчитать по формулам:
к


(25)

(26)
где к - число реализаций моделирования, к = 7.
Рассчитать погрешность измерений уровней АДН и ФДН по формулам: 6ЕЛ =±201g(l + 2,45oF,);
(27)

(28)
8.3.2.5 Результаты поверки считать положительными, если значения погрешности измерений относительных уровней АДН (при кроссполяризационной развязке антенны-зонда не менее 20 дБ. динамическом диапазоне измеренного амплитудного распределения антенны не менее 55 дБ) при относительных уровнях АДН. находятся в пределах:
- минус 10 дБ
±0.3 дБ;
-
- минус 20 дБ..................±0,5 дБ;
-
- минус 30 дБ..................±0.9 дБ:
-
- минус 40 дБ..................±1.5 дБ:
-
- минус 45 дБ..................±2.2 дБ:
и значения абсолютной погрешности измерений фазовых диаграмм направленности (при кроссполяризационной развязке антенны-зонда не менее 20 дБ. динамическом диапазоне измеренного амплитудного распределения антенны не менее 60 дБ) при относительных уровнях АДН.
находятся в пределах:
В противном случае результаты поверки считать отрицательными и последующие операции поверки не проводить, комплекс бракуется и подлежит ремонту.
-
8.3.3 Определение погрешности измерений коэффициента усиления антенн
-
8.3.3.1 Относительную погрешность измерений коэффициента усиления определить расчетным путем при использовании результатов, полученных в п. 8.3.2 настоящей МП.
Относительную погрешность измерений коэффициента усиления 6. дБ. рассчитать по формуле:
3 = ± 10 lg(l +1.1 • ^3;+3;+3;\
(29)
где 3i - погрешность измерений АДН до уровня минус 10 дБ. с)/=0,072;
3? - погрешность коэффициента усиления эталонной антенны. д'?=0.07:0.12: 0.2; 0.41; 0.58: дз - погрешность за счет рассогласования.
За погрешность Зз принять максимальное из двух значений, рассчитанных по формулам:
(30)
(31)
д'5 =
Нп»1 |
•МУ | |
(i-№) |
(i-N | |
(i-K„ |
l-Nf | |
(1+|Л, |
I-N)2 |
-1,
-1,
где Гэ, Ги- Гк- коэффициенты отражения входов эталонной, испытываемой антенн, входа
анализатора из состава комплекса.
Модуль коэффициента отражения связан с коэффициентом стоячей волны по напряжению (КСВН) формулой:
|г| = —. (32)
11 К +1
-
8.3.3.2 При расчетах погрешности за счет рассогласования значение КСВН эталонной антенны, используемой при проведении измерений, не должно превышать 1.5. испытываемой антенны - 2.0. КСВН входа векторного анализатора цепей - 1,7.
-
8.3.3.3 Результаты поверки считать положительными, если значения относительной погрешности измерений коэффициента усиления антенны методом замещения при КСВН испытываемой антенны не более 2 и погрешности измерений коэффициента усиления эталонной ан
тенны находятся в пределах:
0.3 дБ.......
.......±0.5 дБ;
0.5 дБ.......
.......±0.7 дБ;
0.8 дБ.......
.......±1.0 дБ;
1.5 дБ.......
.......±1,7 дБ;
2.0 дБ.......
.......±2.3 дБ.
В противном случае результаты поверки считать отрицательными и последующие операции поверки не проводить, комплекс бракуется и подлежит ремонту.
8.3.4 Определение абсолютной погрешности измерений ширины главного лепестка амплитудной диаграммы направленности
-
8.3.4.1 Определение относительной погрешности измерений ширины главного лепестка нормированных АДН проводить по результатам определения погрешности измерений по п. 8.3.2.
-
8.3.4.2 В соответствии с формулами (20) - (24) создать массив нормированных АДН при максимальных значениях погрешности измерений АДН. полученных в п. 8.3.2. Определить ширину главного лепестка каждой из них в двух главных сечениях на уровне минус 3 дБ относительно максимального значения АДН. Расчеты выполнить на частотах 0.75; 10 и 13.5 ГГц. Размеры апертуры антенны подобрать таким образом, чтобы ширина АДН варьировалась в пределах до 3° включ.; св. 3° до 10° включ. и св. 10° до 20° включ. На частоте 0.75 ГГц ограничиться диапазоном от 10° до 20°.
-
8.3.4.3 Среднее квадратическое отклонение результатов измерений ширины АДН на уровне минус 3 дБ определить по формуле:
(33)
У к-1
где S(Q |) - CKO результатов измерений ширины главного лепестка АДН. град:
(q 4} - ширина главного лепестка АДН при i-том результате реализации моделирования, градус:
Q , - ширина главного лепестка невозмущенной АДН. град.
Абсолютную погрешность измерений ширины главного лепестка АДН рассчитать по
формуле: |
AQ,=±/5(Qj. (34) |
8.3.4.4 Результаты поверки считать положительными, если значения абсолютной погрешности измерений ширины главного лепестка АДН. при ширине главного лепестка, не превышает
пределов,градус: |
|
В противном случае результаты поверки считать отрицательными и последующие операции поверки не проводить, комплекс бракуется и подлежит ремонту
8.3.5 Определение диапазона рабочих частот
-
8.3.5.1 Определение диапазона рабочих частот проводить по результатам определения погрешностей измерений АФР.
-
8.3.5.2 Результаты поверки считать положительными, если в диапазоне частот от 0.75 до
-
13.5 ГГц значения погрешностей измерений АФР находятся в допускаемых пределах, приведенных в п. 8.3.1. В этом случае диапазон частот комплекса составляет от 0.75 до 13.5 ГГц.
В противном случае результаты поверки считать отрицательными и последующие операции поверки не проводить, комплекс бракуется и подлежит ремонту.
8.3.6 Определение размеров рабочей области сканирования
-
8.3.6.1 Определение размеров рабочей области сканирования осуществить по результатам измерений, выполненных в соответствии с п. 8.3.1.5 настоящей МП.
-
8.3.6.2 Результаты поверки считать положительными, если размеры рабочей области сканирования комплекса (длина * высота) составляют не менее 8.6*8.6 м.
В противном случае результаты поверки считать отрицательными и последующие операции поверки не проводить, комплекс бракуется и подлежит ремонту.
8.3.7 Определение сектора углов восстанавливаемых диаграмм направленности
-
8.3.7.1 Определение сектора углов восстанавливаемых диаграмм направленности осуществить по результатам определения погрешности измерений по п.8.3.2.
-
8.3.7.2 Результаты поверки считать положительными и сектор углов восстанавливаемой амплитудной диаграммы направленности в азимутальной и угломестной плоскостях составляет от минус 65° до плюс 65°, если при заданных в п. 8.3.2 условиях моделирования (секторы углов 0 и (р) рассчитанная погрешность измерений относительных уровней АДН находятся в допускаемых пределах, приведенных в п. 8.3.2.
В противном случае результаты поверки считать отрицательными и последующие операции поверки не проводить, комплекс бракуется и подлежит ремонту.
9 ОФОРМЛЕНИЕ РЕЗУЛЬТАТОВ ПОВЕРКИ
-
9.1 Комплекс признается годным, если в ходе поверки все результаты поверки положительные.
-
9.2 Результаты поверки удостоверяются свидетельством о поверке установленной формы.
-
9.3 Если по результатам поверки комплекс признан непригодным к применению, свидетельство о поверке аннулируется и выписывается извещение о непригодности к применению с указанием причин забракования.
Начальник отдела
ФГБУ «ГНМЦ» Минобороны России
Старший научный сотрудник
ФГБУ «ГНМЦ» Минобороны России
К. Черняев
В. Заболотнов
17