Методика поверки «Спектрометры эмиссионные МФС-8 СЛ» (МП-242-1995-2016)
Директор
ФГУП

. Д.И.Менделеева»
. Гоголинский
СПЕКТРОМЕТРЫ ЭМИССИОННЫЕ
МФС-8 «СЛ»
МЕТОДИКА ПОВЕРКИМП-242-1995-2016
■iz.p, (о 0 5 -! &>Руководитель отдела ФГУП «ВНИИМ им. Д.

Л.А.Конопелько
делеева»"
Ведущий инженер
ФГУП «ВНИИ

м. Д.И.Менделеева»
Т.М. Эннанова
Санкт-Петербург 2016
Настоящая методика распространяется на спектрометры эмиссионные МФС-8 «СЛ», изготавливаемые ЗАО «Спектральная лаборатория», Россия, г. Санкт-Петербург, и устанавливает методы и средства их первичной поверки (до ввода в эксплуатацию или после ремонта) и периодической поверки (в процессе эксплуатации). Интервал между поверками - 1 год.
1. ОПЕРАЦИИ ПОВЕРКИ-
1.1. При проведении поверки должны быть выполнены операции, указанные в таблице 1.
Таблица 1.
№ п. /п |
Наименование операций |
Номер пункта методики |
Обязательность проведения операции | |
при первичной поверке |
при периодической поверке | |||
1. |
Внешний осмотр |
6.1 |
да |
да |
2. |
Опробование |
6.2 |
да |
да |
3. |
Проверка соответствия ПО |
6.3 |
да |
да |
4. |
Определение метрологических характеристик |
6.4 |
да |
да |
-
1.2. Если при проведении той или иной операции поверки получен отрицательный результат, дальнейшая поверка прекращается.
-
2.1. При проведении поверки должны быть применены средства, указанные в таблице 2.
Таблица 2.
№ п/ п |
Номер пункта МП |
Наименование, тип, марка эталонного средства измерений или вспомогательного средства поверки. |
ГОСТ, ТУ или основные технические и (или) метрологические характеристики |
1 |
6.4 |
Государственные стандартные образцы состава меди |
ГСО 10216-2013 |
2 |
6.4 |
Государственные стандартные образцы состава сплавов алюминиевых литейных группы I |
ГСО 9423-2009 |
3 |
4.1. |
Барометр-анероид М-110 |
ТУ 25.04-1799-75 (№ 3745-73 по Госреестру СИ РФ) |
4 |
4.1. |
Термогигрометр любого типа, зарегистрированный в Федеральном информационном фонде по ОЕИ |
Диапазон измерений отн. Влажности от 10 до 100 %; абсл. Погрешность не более 3,0 %. Диапазон измерений температуры от +10 до +40 °C; абсл. Погрешность не более 0,5 °C |
-
2.2. Допускается применение средств поверки, не приведенных в таблице 2, но обеспечивающих определение характеристик поверяемого спектрометра эмиссионного МФС-8 «СЛ» с требуемой точностью.
-
2.3. Все средства поверки должны быть поверены в установленном порядке и иметь действующие свидетельства о поверке, а ГСО, - действующие паспорта.
-
3.1. Требования безопасности должны соответствовать рекомендациям, изложенным в руководстве по эксплуатации спектрометра.
-
3.2. К проведению поверки допускаются лица, имеющие техническое образование, изучившие руководство по эксплуатации спектрометра (далее - РЭ) и методику поверки.
Для выполнения измерений при поверке допускается участие операторов или сервис-инженеров, обслуживающих спектрометр (под контролем поверителя).
4. УСЛОВИЯ ПОВЕРКИ.-
4.1. При проведении поверки должны быть соблюдены следующие условия:
-
- температура окружающего воздуха от 15 до 25 °C;
-
- атмосферное давление от 84 до 106,7 кПа;
-
- относительная влажность окружающего воздуха при температуре 25 °C от 20 до 80%;
-
- напряжение питания переменного тока (220+22-зз) В; (380+38-57) В
-
- частота переменного тока (50± 1) Гц;
-
- вибрация, тряска, механические воздействия должны отсутствовать;
-
- внешние электрические и магнитные поля должны отсутствовать, кроме земных;
-
- время установления рабочего режима 60 мин;
-
5.1. Установку и подготовку прибора к поверке, включение соединительных устройств, заземление, выполнение операций при проведении контрольных измерений осуществляют в соответствии с правилами эксплуатации, изложенными в руководстве по эксплуатации на спектрометр эмиссионный МФС-8 «СЛ» СЛ-30.67.059.005.15 и формуляре ФО 4434-017-34303137-15.
-
5.2. Перед проведением поверки спектрометр должен быть настроен на соответствующую аналитическую программу и отградуирован по стандартным образцам соответствующего аналитической программе типа металлов или сплавов в соответствии с руководством по эксплуатации спектрометра СЛ-30.67.059.005.15 и руководством пользователя ПО «Grad SL», версия 1.0.
-
5.3. Включить питание всех блоков спектрометра эмиссионного МФС-8 «СЛ» от сети переменного тока. Осуществить прогрев прибора в течение не менее 1 часа.
-
5.4. Подготовить стандартные образцы в соответствии с инструкцией по их применению и Руководством по эксплуатации спектрометра СЛ-30.67.059.005.15, либо в соответствии с аттестованной методикой анализа либо ГОСТом.
-
5.5. Допускается непосредственно перед поверкой произвести корректировку градуировки или выполнить оперативную градуировку в соответствии с методикой анализа.
-
6.1. Внешний осмотр.
-
6.1.1. При внешнем осмотре должно быть установлено отсутствие внешних повреждений и дефектов, влияющих на работоспособность спектрометра.
-
6.1.2. Должны быть установлены:
-
а) исправность органов управления, настройки и коррекции;
б) четкость надписей на панели спектрометра.
Прибор считается выдержавшим внешний осмотр, если он соответствует всем перечисленным выше требованиям.
-
6.2. Опробование.
Опробование спектрометра заключается в его включении и загрузке программы для управления прибором.
Результаты опробования считаются удовлетворительными, если на дисплее монитора после загрузки управляющей программы не появляется сообщений об ошибках.
-
6.3. Подтверждение соответствия ПО.
-
6.3.1. Определение наименования программного обеспечения и номера версии (идентификационного номера) программного обеспечения.
-
6.3.1.1. После запуска программы “GradSL” в верхней строке главного меню написано идентификационное название программы. В проводнике операционной системы в папке, где находятся файлы ПО “GradSL” выбрать исполняемый файл GradSL.exe и с помощью контекстного меню открыть раздел "Свойства". Во вкладке «Общие» приведено идентификационное название ПО “GradSL”; во вкладке «Подробно» приведен номер версии ПО “GradSL”. В полном номере версии ПО к метрологически значимой части относятся первые две цифры номера версии. Следующие за ними цифры, относятся к не метрологически значимой части ПО и могут принимать любые значения. Полный номер версии ПО должен соответствовать указанному в формуляре на поверяемый прибор. Копия примера окна идентификации приведена на рисунке 1.
-
-
Рисунок 1. Окно с идентификационными данными ПО “GradSL”.
-
6.3.1.2. Спектрометр считается выдержавшим поверку по п. 6.3.1, если версия ПО “GradSL” не ниже 1.0 (версия ПО может иметь дополнительные цифровые суффиксы), а полная версия ПО совпадает с указанной в формуляре на поверяемый прибор.
-
6.4. Определение метрологических характеристик
-
6.4.1. Проверка чувствительности - определение значений массовых долей элементов, при которых выходной сигнал спектрометра в режиме измерения относительных интенсивностей в два раза превышает фон (при анализе сплавов на основе меди).
-
Для проведения измерений по данному пункту применяют стандартные образцы, указанные в п. 1 таблицы 2 настоящей МП либо аналогичные. Содержание железа, свинца и никеля в применяемых для проверки образцах не должно превышать 0,10 % мае. д.
Измерения относительных интенсивностей производить для аналитических линий железа (длина волны 259,9 нм), свинца (длина волны 283,3 нм), и никеля (341,4) нм относительно линии сравнения в режиме дуги переменного тока, межэлектродное расстояние (1,5±0,2) мм, время обжига (10±1) с, время экспозиции (20±1) с, ширина входной щели (20±1) мкм.
-
6.4.1.1. Подобрать напряжения питания ФЭУ по следующей методике:
Переключателями напряжения питания ФЭУ и проведением измерений в режиме «Фотоэлектрический контроль» подобрать такие напряжения питания ФЭУ, при которых результаты измерений по всем каналам окажутся в диапазоне от 10 до 10 000 ед. (с увеличением номера положения переключателя напряжение питания ФЭУ увеличивается).
-
6.4.1.2. В режиме «Регистрация стандартных образцов» произвести регистрацию относительных интенсивностей линий излучения стандартных образцов для каждого контролируемого элемента (железа, свинца и никеля). Регистрацию относительных интенсивностей выполнять два раза для каждого стандартного образца (два параллельных определения). За канал сравнения взять элемент основы и вычислить значения h (среднее арифметическое значение из 2-х результатов параллельных определений относительных интенсивностей аналитических линий для каждого стандартного образца).
-
6.4.1.3. Построить градуировочный график в координатах I, С для каждого элемента. Продолжить график до пересечения с осью «I» и определить значение 1ф как величину отрезка между началом координат и точкой пересечения графика с осью «I». Определить по градуировочному графику значение Сф, соответствующее сигналу (2*1 ф) в заданном масштабе массовых долей элементов.
Примечание: В соответствии с правилом подобия треугольников более простым способом определения Сф является следующий: продолжить градуировочный график до пересечения с осью «С» и определить значение Сф как величину отрезка между началом координат и точкой пересечения графика с осью «С» в заданном масштабе массовых долей элементов.
-
6.4.1.4. Спектрометр эмиссионный МФС-8 «СЛ» считается прошедшим поверку по п.6.4.1, если значения Сф по абсолютному значению для каждого элемента не превышают значений, указанных в таблице 3:
Таблица 3.
Элемент |
Сф, °/о |
железо |
0,008 |
свинец |
0,005 |
никель |
0,005 |
6.4.2. Проверка относительного СКО выходного сигнала спектрометра в режиме измерения относительных интенсивностей при анализе сплавов на основе алюминия.
Для проведения измерений по данному пункту применяют стандартные образцы, указанные в п. 2 таблицы 2 настоящей МП либо аналогичные. Выбрать стандартные образцы, содержание в которых (суммарно для выбранных образцов) не менее одного элемента находится в диапазоне массовых долей элементов от 0,001 % до 0,010 % и не менее двух элементов находятся в каждом из следующих диапазонов массовых долей элементов: свыше 0,010 % до 0,10 %; свыше 0,10 % до 0,50 % и свыше 0,50 % до 49,90 %.
-
6.4.2.1. Выполнить по 10 параллельных измерений выбранных стандартных образцов в режиме измерения относительных интенсивностей..
-
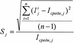
6.4.2.2. По результатам измерений в п. 6.4.2.1 определить относительное СКО выходного сигнала спектрометра в режиме измерения относительных интенсивностей по формуле
х100%
(1)
где:
/' - значение /-го измерения относительной интенсивности j-ой анализируемой аналитической линии, т.е. для j-ого элемента ;
IcpedHj - среднеарифметическое значение относительной интенсивности для j-ой анализируемой аналитической линии, т.е. для j-ого элемента, - по 10-ти параллельным определениям;
п - число измерений в серии (в данном случае п = 10);
Примечание: Значение S] можно определить из распечатки результатов анализа, либо считать с экрана видеомонитора.
-
6.4.2.3. Спектрометр эмиссионный МФС-8 «СЛ» считается прошедшим поверку по п.
-
6.4.2, если значения относительных СКО выходного сигнала спектрометра в режиме измерения относительных интенсивностей, вычисленные в п.6.4.2.2, не превышают значений, указанных в таблице 4:
Таблица 4
в диапазоне массовых долей элементов -от 0,001 % до 0,010 % |
10,0 |
-свыше 0,010 % до 0,10 % |
7,5 |
- свыше 0,10 % до 0,50 % |
6,0 |
- свыше 0,50 % до 49,90 % |
3,0 |
Примечание: По согласованию с заказчиком проверку по п. 6.4 настоящей методики поверки «Определение метрологических характеристик» допускается проводить согласно МИ 2531-99 «ГСП. Анализаторы состава веществ и материалов универсальные. Общие требования к методикам поверки в условиях эксплуатации» в соответствии с разделами «Контроль точности (погрешности, прецизионности, неопределенности)» или «Обработка результатов измерений» аттестованных и стандартизированных государственными метрологическими органами методик измерений.
7. ОФОРМЛЕНИЕ РЕЗУЛЬТАТА ПОВЕРКИ.-
7.1. Результаты поверки считаются положительными, если спектрометр удовлетворяет требованиям настоящей методики поверки. При поверке заполняется протокол, форма которого приведена в приложении А.
-
7.2. Положительные результаты поверки оформляются путем выдачи свидетельства о поверке по установленной форме.
-
7.3. Результаты поверки считаются отрицательными, если при проведении поверки установлено несоответствие прибора хотя бы одному требованию настоящей методики поверки.
-
7.4. Отрицательные результаты поверки оформляются путем выдачи извещения о непригодности с указанием причин непригодности.
Приложение А.
Протокол поверкиспектрометра эмиссионного МФС-8 «СЛ», модификации_________, зав.№ _____
Принадлежит_______________________ ИНН_______________
Поверка проведена по документу___________________________________________________
С использованием стандартных образцов______________________________________________
Условия поверки:
температура окружающей среды______________________________°C,
атмосферное давление_________________________________________кПа,
относительная влажность окружающего воздуха_________________%.
Результаты поверки.
Внешний осмотр_____________________________________________________________
Опробование____________________________________________________________
Проверка соответствия ПО________________________________________________________
Результаты определения метрологических характеристик:
Таблица 1.
Метрологическая характеристика |
Значение метрологической характеристики | |
Требования по НД |
Фактическое значение MX | |
Массовые доли элементов, при которых выходной сигнал спектрометра в режиме измерения относительных интенсивностей в два раза превышает фон (при анализе сплавов на основе меди)., %, |
не более | |
Относительное СКО выходного сигнала спектрометра в режиме измерения относительных интенсивностей при анализе сплавов на основе алюминия, % в диапазоне массовых долей элементов -от 0,001 % до 0,010 % -свыше 0,010 % до 0,10 %
|
не более |
При поверке согласно МИ 2531-99 результаты определения метрологических характеристик оформляются согласно таблице 2.
Таблица 2.
Метрологическая характеристика |
Значение метрологической характеристики | |
Требования по НД |
Фактическое значение MX | |
MX в соответствии с разделами «Контроль точности (погрешности, прецизионности, неопределенности)» или «Обработка результатов измерений» аттестованных и стандартизированных государственными метрологическими органами методик измерений |
не более |
Поверитель_____________________________________________
(подпись)
(И.О. Фамилия)