Методика поверки «ГСИ. Анализаторы размеров частиц лазерные дифракционные HELOS, MYTOS, MYTIS» (МП 115-241-2018)
ФЕДЕРАЛЬНОЕ ГОСУ ДАРСТВЕННОЕ УНИТАРНОЕ ПРЕДПРИЯТИЕ
«У РАЛЬСКИЙ НАУ ЧНО-ИССЛЕДОВАТЕЛЬСКИЙ ИНСТИТУТ МЕТРОЛОГИИ» (ФГУП «УНИИМ»)
УТВЕРЖДАЮ

ГОСУДАРСТВЕННАЯ СИСТЕМА ОБЕСПЕЧЕНИЯ ЕДИНСТВА ИЗМЕРЕНИЙ
Анализаторы размеров частиц лазерные дифракционные
HELOS, MYTOS, MYTIS
МЕТОДИКА ПОВЕРКИ МП 115-241-2018Екатеринбург
2019
ПРЕДИСЛОВИЕ
-
1 РАЗРАБОТАНА ФГУП «Уральский научно-исследовательский институт метрологии» (ФГУП «УНИИМ»)
-
2 ИСПОЛНИТЕЛЬ Зеньков Е.О.
-
3 УТВЕРЖДЕНА директором ФГУП «УНИИМ» в январе 2019 г.
СОДЕРЖАНИЕ
Государственная система обеспечения единства измерений. Анализаторы размеров частиц лазерные дифракционные HELOS, MYTOS, MYTIS. Методика поверки |
МП 115-241-2018 |
Дата введения в действие: январь 2019 г
1 Область примененияНастоящая методика поверки распространяется на анализаторы размеров частиц лазерные дифракционные HELOS, MYTOS, MYTIS (далее - анализаторы) производства фирмы «SYMPATEC GmbH». Германия и устанавливает методы и средства первичной и периодической поверок.
Поверка анализаторов должна производиться в соответствии с требованиями настоящей методики. Интервал между поверками - один год.
2 Нормативные ссылкиВ настоящей методике поверки использованы ссылки на следующие документы:
Приказ Минпромторга России N 1815 от 02.07.2015 «Об утверждении Порядка проведения поверки средств измерений, требования к знаку поверки и содержанию свидетельства о поверке»
Приказ Минтруда России №328н от 24.07.2013 «Об утверждении Правил по охране труда при эксплуатации электроустановок»
ГОСТ 12.2.007.0-75 Система стандартов безопасности труда. Изделия электротехнические. Общие требования безопасности.
3 Операции поверки-
3.1 При поверке должны быть выполнены операции, указанные в таблице 1.
Таблица 1 - Операции поверки
Наименование операции |
Номер пункта методики поверки |
Обязательность проведения операций при | |
первичной поверке |
периодической поверке | ||
1 Внешний осмотр |
8.1 |
да |
да |
2 Опробование |
8.2 |
да |
да |
3 Проверка метрологических характеристик |
8.3 | ||
3.1 Проверка абсолютной и относительной погрешности измерений размеров частиц |
8.3.1 |
да |
да |
3.2 Проверка диапазонов измерений размеров частиц |
8.3.2 |
да |
нет |
-
3.2 В случае невыполнения требований хотя бы к одной из операций поверка прекращается, анализатор бракуется.
-
4.1 При проведении поверки применяют следующие средства поверки:
-
- ГСО 10207-2013 (средний диаметр частиц от 600 до 700 мкм, отн. погрешность ± 5 %);
-
- ГСО 10042-2011 (средний диаметр частиц D50 от 0,3 до 0,4 мкм, отн. погрешность ± 5 %);
-
- ГСО 10582-2015 (средний диаметр частиц Эю от 160 до 195 мкм, отн. погрешность ± 7 %, средний диаметр частиц D50 от 235 до 290 мкм, отн. погрешность ± 5 %, средний диаметр частиц D90 от 360 до 440 мкм, отн. погрешность ± 6 %);
-
- ГСО 10573-2015 (средний диаметр частиц Эю от 1,5 до 3,2 мкм, отн. погрешность ± 7 %, средний диаметр частиц D50 от 6 до 10 мкм, отн. погрешность ± 5 %, средний диаметр частиц D90 от 12 до 17 мкм, отн. погрешность ± 6 %);
-
- ГСО 10576-2015 (средний диаметр частиц Dio от 13 до 18 мкм, отн. погрешность ± 7 %, средний диаметр частиц D50 от 22 до 29 мкм, отн. погрешность ± 5 %, средний диаметр частиц D90 от 35 до 45 мкм, отн. погрешность ± 6 %).
-
4.2 Допускается применение других средств поверки, обеспечивающих требуемую точность и диапазоны измерений.
При проведении поверки должны быть соблюдены «Правила по охране труда при эксплуатации электроустановок», утвержденные Приказом Минтруда России №328н от 24 июля 2013 г., требования ГОСТ 12.2.007.0. Для выполнения измерений допускаются лица, прошедшие инструктаж и обученные работе с анализатором.
6 Условия поверки и подготовки к ней-
6.1 При проведении поверки должны быть соблюдены следующие условия, если иные не оговорены особо:
-
- температура окружающего воздуха, °C от 18 до 25
-
- относительная влажность воздуха, % от 20 до 80
-
6.2 Анализаторы устанавливаются вдали от источников магнитных и электрических полей.
Анализаторы подготовить к работе в соответствии с руководством по эксплуатации (далее - РЭ).
Стандартные образцы, используемые при поверке, подготовить к работе в соответствии с паспортом.
8 Проведение поверки-
8.1 Внешний осмотр.
При внешнем осмотре установить:
-
- отсутствие видимых повреждений анализаторов;
-
- четкость обозначений и маркировки.
-
8.2 Опробование.
-
8.2.1 Включить анализатор и запустить пробную процедуру измерения одного из ГСО, указанных в разделе 4. Убедиться, что анализатор функционирует и результаты измерения выводятся на экран персонального компьютера с использованием программного обеспечения анализатора.
-
8.2.2 Провести проверку идентификационных данных ПО анализатора. Идентификационные данные ПО должны соответствовать указанным в таблице 2.
-
Таблица 2 - Идентификационные данные ПО
Идентификационные данные (признаки) |
Значение |
Идентификационное наименование ПО |
PAQXOS |
Номер версии ПО |
не ниже 1.0 |
Цифровой идентификатор ПО |
- |
8.3 Проверка метрологических характеристик
-
8.3.1 Проверка абсолютной и относительной погрешности измерений размеров частиц Проверку абсолютной и относительной погрешности измерений размеров частиц провести с использованием ГСО, указанных в разделе 4 настоящей методики.
Проверку абсолютной погрешности измерений размера частиц провести для диапазона измерений от 0,1 до 10 мкм включ. Проверку относительной погрешности измерений размера частиц провести для диапазона измерений св. 10 до 850 мкм включ.
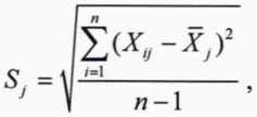
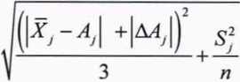
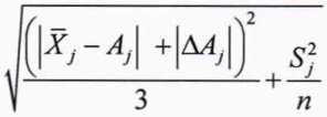
Провести не менее пяти измерений размера частиц в соответствии с РЭ каждого ГСО. Для каждого компонента рассчитать среднее арифметическое значение (XJ), CKO (S ), абсолютную погрешность (Ду) или относительную погрешность (£у) измерений размера частиц по формулам:


(1)
(2)


(3)
Гп'
Xj-Aj + AAj
J
= "ЬI Xj ~ A j +1 \Aj

9
(4)
где Xij— результат /-го измерения размера частиц в j-м ГСО, %;
Aj и АЛ - аттестованные значения размера частиц в j-ом ГСО и их погрешность соот-
ветственно, %;
t - коэффициент Стьюдента, который зависит от доверительной вероятности Р и числа результатов наблюдений п, равен 2,78 для п = 5 Р = 0,95;
п - количество измерений.
Полученные значения абсолютной и относительной погрешности измерений размеров частиц должны удовлетворять требованиям таблицы 3.
-
8.3.2 Проверка диапазонов измерений размеров частиц
Проверку диапазонов измерений размеров частиц провести одновременно с проверкой абсолютной и относительной погрешности по 8.3.1 (провести измерения в начале, середине и в конце диапазона измерений).
Полученные значения диапазонов измерений размеров частиц должны удовлетворять требованиям таблицы 3.
Таблица 3 - Метрологические характеристики анализаторов
Наименование характеристик |
Значения характеристик |
Диапазон измерений размеров частиц, мкм |
от 0.1 до 850 |
Пределы допускаемой абсолютной погрешности измерений размеров частиц в диапазоне от 0.1 до 10 мкм включ., мкм* |
хю ± 0,3 Х50 ± 0.6 Х90 ± 1.0 |
Пределы допускаемой относительной погрешности измерений размеров частиц в диапазоне св. 10 до 850 мкм включ.. % |
хю ± 12 Х50 ± 10 Х90 ± 12 |
Примечание: Хю, Х50, Х90 размер частиц, соответствующий границе распределения, ниже которой находится 10%. 50%. 90% частиц соответственно. |
-
8.3.3 Если анализатор используется не во всем диапазоне измерений размеров частиц, допускается периодическую поверку проводить в одном из указанных в таблице 3 диапазоне измерений с указанием этого диапазона в свидетельстве о поверке.
-
9.1 Оформить протокол проведения поверки по форме Приложения А.
-
9.2 Положительные результаты поверки оформляют выдачей свидетельства о поверке в соответствии с Приказом Минпромторга № 1815. Знак поверки в виде оттиска поверительного клейма наносится на свидетельство о поверке.
-
9.3 При отрицательных результатах поверки анализатор признают непригодным к дальнейшей эксплуатации. аннулир^тот свидетельство о поверке и выдают извещение о непригодности с указанием причин в соответствии с Приказом Минпромторга № 1815.
Разработчик:

Зеньков Е.О.
Инженер I кат. лаб.241 ФГУП «УНИИМ»
ПРИЛОЖЕНИЕ А(рекомендуемое)
ФОРМА ПРОТОКОЛА ПОВЕРКИ
ПРОТОКОЛ №_______ПРОВЕДЕНИЯ ПОВЕРКИ
Анализатор размеров частиц лазерный дифракционный модель________, зав. №__________
Документ на поверку: МП 115-241-2018 «ГСИ. Анализаторы размеров частиц лазерные дифракционные HELOS, MYTOS, MYTIS. Методика поверки».
Перечень эталонных средств, используемых при поверке:
Условия проведения поверки:
-
- температура окружающего воздуха, °C ____________
-
- относительная влажность воздуха, % ____________
Результаты внешнего осмотра________________________________________________
Результаты опробования______________________________________________________
Проверка метрологических характеристик
Таблица А.1 - Результаты проверки абсолютной погрешности измерений размеров частиц в диапазоне от 0,1 до 10 мкм включ.
Аттестованное значение размера частиц в ГСО, мкм |
Результаты измерений размера частиц на анализаторе, мкм |
Среднее арифметическое значение измерений размера частиц, мкм |
Абсолютная погрешность измерений размера частиц, мкм |
Нормируемые значения абсолютной погрешности измерений размера частиц, мкм |
Таблица А.2 - Результаты проверки относительной погрешности измерений размеров частиц в диапазоне св. 10 до 850 мкм включ.
Аттестованное значение размера частиц в ГСО, мкм |
Результаты измерений размера частиц на анализаторе, мкм |
Среднее арифметическое значение измерений размера частиц, мкм |
Относительная погрешность измерений размера частиц, % |
Нормируемые значения относительной погрешности измерений размера частиц, % |
Таблица А.З - Результаты проверки диапазона измерений размеров частиц
Полученный значения диапазона измерений размеров частиц, мкм |
Соответствие требованиям Да (+) / Нет (-) |
Результат проведения поверки:___________________________________________________
Поверитель__________________________________________
подпись (Ф.И.О.)
Выдано свидетельство о поверке (извещение о непригодности)
от «___»_____________20__г., №____________________
Организация, проводившая поверку____________________________________________
10