Методика поверки «Пиранометры СМР6 и СМР21» (МП № 02-2011)
УТВЕРЖДАЮ
Руководитель ГЦИ СИ -Заместитель директора \ФГУН «ВНИИОФИ» V /■"' Н.П. Муравская

ГЗ 2011 г.
Государственная система обеспечения единства измерений
МЕТОДИКА ПОВЕРКИ МП №02-2011 ПИРАНОМЕТРЫ СМР6 И СМР21ФГУП «ВНИИОФИ», г. Москва
СОГЛАСОВАНО
Главный метролог
ФП^П/ВИЙИОФИ»
Aw iw_____В.П. Кузнецов
« ZG> _________2011 г.
Москва - 2011 г.
Настоящая методика поверки распространяется на пиранометры СМР6 и СМР21 производства компании «Kipp&Zonen B.V.», Голландия (далее по тексту -пиранометры) с диапазоном измерения энергетической освещённости солнечным излучением от 0,01 до 1,6 кВт/м2 в спектральном диапазоне от 0,31 до 2,8 мкм и определяет методы и средства первичной и периодической поверки.
Межповерочный интервал - 1 год.
1 ОПЕРАЦИИ ПОВЕРКИ-
1.1 При проведении первичной и периодической поверок должны быть выполнены операции, указанные в таблице 1.
Таблица 1
|
№ п/п. |
Наименование операции |
Номер пункта методики поверки |
|
1 |
Внешний осмотр |
7.1 |
|
2 |
Опробование |
7.2 |
|
3 |
Определение метрологических характеристик |
7.3 |
|
4 |
Определение коэффициента преобразования при нормальном падении радиации в естественных условиях |
7.3.1, 7.3.2 |
|
5 |
Определение коэффициента преобразования при нормальном падении радиации в лабораторных условиях |
7.3.3 |
-
1.2. При получении отрицательных результатов при проведении хотя бы одной операции поверка прекращается.
-
2.1 При проведении первичной и периодической поверок должны быть использованы средства, указанные в таблице 2
Таблица 2
|
Номер пункта методики поверки |
Наименование средства поверки, его технические и метрологические характеристики |
|
7.3.1, 7.3.2 |
Эталонный актинометр 2-го разряда. Предел допускаемой погрешности измерения Д не более 1,7% по МИ 1989-89. |
|
7.3.3 |
Эталонный пиранометр 2-го разряда.типа СМР21. Предел допускаемой погрешности измерения Д не более 2,3% по МИ 1989-89. |
|
7.2; 7.3 |
Прибор комбинированный цифровой Щ300 (ГР № 7011-79), класс точности 0,1 |
|
7.3 |
Термометр ртутный ТМ 6. Цена деления шкалы 1°С |
|
7.2; 7.3.3 |
Установка ПОЛ, ТУ 25-04-1570. Энергетическая освещенность не менее 400 Вт/м2 . Диапазон длин волн 0,3-2,4 мкм. Основная относительная погрешность 1%. Однородность поля не более 1% на каждые 5 мм. |
|
7.3.1 |
Дополнительное оборудование -Труба для установки пиранометра ПО-11, ТУ 25-04-1565-77 в комплекте с переходным кольцом для СМР2 (бленда). |
-
2.2 Средства измерений, указанные в таблице 2, должны быть поверены в установленном порядке. Допускается применение других средств поверки по метрологическим характеристикам не уступающих указанным в п.2.1 настоящей методики.
-
3.1 Проведение поверки в естественных условиях по Солнцу следует выполнять при соблюдении следующих требований:
высота Солнца над горизонтом, ...°, не менее
температура окружающего воздуха, °C........................10...35
атмосферное давление, кПа.......................................70-105
относительная влажность, %, не более
напряжение сети переменного тока, В...........................(220±22)
с частотой, Гц..........................(50±5)
-
3.2 При проведении поверки в лабораторных условиях должны соблюдаться следующие условия::
-
- температура окружающего воздуха, °C
20±5;
65±15;
96-104;
220 ±10%;
50 ±0,5
-
- относительная влажность, %
-
- атмосферное давление, кПа
-
- напряжение сети переменного тока, В с частотой, Гц
-
4.1 Система электрического питания приборов должна быть защищена от колебаний и пиков сетевого напряжения, искровые генераторы не должны устанавливаться вблизи приборов.
-
4.2. При выполнении измерений должны соблюдаться требования, указанные в «Правилах техники безопасности при эксплуатации электроустановок потребителей», утвержденных Госэнергонадзором, а также требования инструкции по эксплуатации спектрофотометров.
-
5.1 К работе с установкой допускается персонал, аттестованный в качестве поверителя (согласно ПР 50.2.012), изучивший правила работы со спектрофотометрами и настоящую методику поверки.
-
6.1 Подготовка к поверке в естественных условия.
Место, выбранное для поверки, должно иметь открытый горизонт или его закрытость не должна превышать 4° в точках, где может быть Солнце. Необходимо избегать соседства с источниками местного помутнения атмосферы ( трубами и пыльными дорогами, аэродромами).
Солнечное излучение во время сличений должно быть устойчивым. Не должно быть следов облаков на диске Солнца и в пределах угла 5° в любом направлении от центра диска Солнца.
-
6.1.1 Перед проведением поверки по Солнцу должны быть выполнены подготовительные работы:
-
1) измерительные приборы и термометр должны быть затенены экранами от прямой солнечной радиации,
-
2) поверяемый и эталонный приборы должны быть вынесены на место поверки не менее чем за 30 минут до начала сличений.
-
6.2 При проведении поверки в лабораторных условиях используемая для работы установка ПО-4 должна быть юстирована и иметь свидетельство о поверке. Лампа установки и измерительные приборы должны быть включены не менее чем за 30 минут до начала работы.
-
7.1 Внешний осмотр.
При внешнем осмотре требуется установить соответствие пиранометра следующим требованиям:
-
7.1.1 отсутствие видимых механических повреждений;
-
7.1.2 отсутствие загрязнений и царапин на приёмной поверхности пиранометра;
-
7.1.3 отсутствие повреждений кабелей и разъёмов;
-
7.1.4 четкость и хорошая различимость маркировок на корпусе пиранометра;
-
7.1.5 полусферические стеклянные колпаки не должны иметь пузырьков, трещин, царапин, тёмных пятен и свилей.
-
7.2 Опробование
-
7.2.1 Для опробования пиранометра его необходимо подсоединить к измерительному прибору и убедиться в наличии показаний измерительного прибора при освещении пиранометра рассеянным излучением.
-
-
7.3 Определение метрологических характеристик
-
7.3.1 Определение коэффициента преобразования при нормальном падении радиации в естественных условиях
-
В естественных условиях по Солнцу коэффициент преобразования пиранометра определяют путём сличения его показаний с показаниями эталонного актинометра.
В этом случае измерения выполняют в следующем порядке:
-
7.3.1.1 Устанавливают поверяемый пиранометр в трубе ПО-11 так, чтобы центральный угол пиранометра равнялся углу зрения эталонного актинометра, т.е 101’.
Эталонный актинометр и трубу с пиранометром нацеливают на Солнце, снимают с них крышки и выдерживают нацеленными не менее 2 мин. Измеряют температуру воздуха t °C.
-
7.3.1.2 Подключают поверяемый пиранометр и актинометр к соответствующим измерительным приборам, все отсчёты по которым выполняют с точностью до 0,01 мВ. Закрывают актинометр и трубу крышками и через 2 мин отсчитывают значения места нуля пиранометра п, и актинометра по.
-
7.3.1.3 Снимают крышки с трубы и актинометра, нацеливают на Солнце и через 2 мин снимают 10 пар синхронных показаний пиранометра Un, и актинометра U3j, корректируя нацеливание через каждые 2 пары синхронных отсчётов.
-
7.3.1.4 Вычисляют значение коэффициента преобразования пиранометра при температуре воздуха по формуле
Kt = K,t (Un - n) / (U3 -no), (1)
где K,t - значение коэффициента преобразования эталонного актинометра, соответствующее температуре воздуха t°, (мВ /кВт м ’2);
Оп; Оэ - средние значения отсчетов при освещении поверяемого пиранометра и эталонного актинометра соответственно, мВ.
п - место нуля пиранометра, мВ.
п о- место нуля эталонного актинометра, мВ.
-
7.3.2 Определение коэффициента преобразования при нормальном падении радиации.
Коэффициент преобразования пиранометра в естественных условиях допускается определять без использования трубы ПО-11 путём сличения показаний горизонтально установленного пиранометра с показаниями эталонного актинометра методом солнце-тень.
Измерения надлежит выполнять в следующем порядке:
-
7.3.2.1 Установленный горизонтально поверяемый пиранометр и эталонный актинометр подключают к измерительным приборам (вольтметрам). Нацеленный на Солнце актинометр и пиранометр выдерживают освещёнными не менее 2 минут. Измеряют и записывают температуру воздуха t°C.
-
7.3.2.2 Закрывают актинометр крышкой, а пиранометр затеняют круглым экраном, обеспечивающим затенение в центральном угле 10°. Через 1 минуту отсчитывают место нуля актинометра п0 и первое показание затенённого пиранометра UT], Отводят теневой экран пиранометра и поправляют нацеливание актинометра.
-
7.3.2.3 Выждав 1 минуту, отсчитывают синхронно и записывают первые показания вольтметров при освещённых эталонном актинометре U3i и пиранометре Umi. Записывают также время, когда были выполнены эти отсчёты. Это время считается началом серии измерений.
Затеняют пиранометр и через 1 минуту записывают второе показание вольтметра при затенённом пиранометре UT2.
Отводят теневой экран и через 1 минуту производят синхронные отсчёты по освещённым актинометру U,2 и пиранометру Um2-
Повторяют эту процедуру до выполнения 10 синхронных отсчётов по освещённым приборам и 11 отсчётов по затенённому пиранометру. При этом актинометр нацеливают перед каждым отсчётом.
По окончании серии измерений актинометр и пиранометр закрывают крышками и через 2 минуты записывают место нуля актинометра. Записывают также время, когда был выполнен последний отсчёт по затенённому пиранометру. Это время считается концом серии измерений.
-
7.3.2.4 Вычисляют значение коэффициента преобразования пиранометра при нормальном падении излучения Солнца по формуле
Kt = K,t Un/( U3-n0) sin h°,
(2)
Где: K3t - значение коэффициента преобразования эталонного актинометра,
соответствующее температуре воздуха t°, (мВ /кВт м '2),
Un - среднее из десяти Unj = Umj - UTj
UTI - среднее из двух соседних показаний затенённого пиранометра, мВ
Umi - показание вольтметра при освещённом пиранометре, отсчитанное между двумя соседними теневыми отсчётами UTi, мВ
йэ - среднее из десяти отсчётов при освещении эталонного актинометра, мВ,
п0 - среднее из двух значений место нуля эталонного актинометра. мВ, h° - высота Солнца, рассчитанная по времени середины серии измерений.
-
7.3.3 Коэффициент преобразования пиранометра определяют в лабораторных условиях на установке ПОЛ путём сличения его показаний с показаниями эталонного пиранометра аналогичного типа при нормальном падении радиации. В этом случае измерения проводят следующим образом:
-
7.3.3.1 Включают лампу, устанавливают на ней напряжение, обеспечивающее в плоскости измерений энергетическую освещенность не ниже 0,4 кВт/м2 и выдерживают не менее 30 мин для прогрева лампы. До конца поверки напряжение на лампе поддерживают постоянным с погрешностью не более ±0,2 В;
-
7.3.3.2 Устанавливают эталонный пиранометр нормально к направлению светового потока, подключают его к измерительному прибору, все отсчёты по которому в дальнейшем необходимо выполнять с точностью до 0,01 мВ, и выдерживают освещенным не менее 2 мин, затеняют экраном и через 2 мин снимают отсчет п0 при затененном пиранометре;
-
7.3.3.3 Убирают экран и не менее, чем через 2 мин, снимают три отсчета U,i, из которых вычисляют среднее значение Оэ сигнала эталонного пиранометра;
-
7.3.3.4 Снимают эталонный пиранометр, устанавливают поверяемый пиранометр перпендикулярно оптической оси установки таким образом, чтобы центр его приемной поверхности располагался в той же точке пространства, что и эталонного и подключают его к цифровому вольтметру;
-
7.3.3.5 Поверяемый пиранометр выдерживают освещенным не менее 2 мин, затеняют и через 2 мин снимают отсчет п.
-
7.3.3.6 Убирают затеняющий экран и не менее чем через 2 мин, снимают 10 отсчетов Uni, из которых вычисляют среднее значение Un;
-
7.3.3.7 Вычисляют значение коэффициента преобразования К, пиранометра по формуле
-
К=КЭ (й„-п)/(йэ-п0),
(3)
где, Кэ- значение коэффициента преобразования эталонного пиранометра, (мВ/кВт
Un; U3 - средние значения отсчетов при освещении поверяемого и эталонного пиранометров соответственно, мВ;
п ; п0 - отсчеты при затенении поверяемого и эталонного пиранометров соответственно, мВ
7.3.4. Пиранометр считается прошедшим поверку, если полученные по п.п. 7.3.1.4; 7.3.2.4; 7.3.3.7 значения коэффициентов преобразования не ниже 7 (мВ /кВт м ”2).
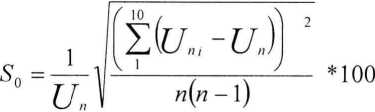
7.3.5 Величину случайной погрешности результата определения коэффициента преобразования в процентах оценивают по среднему квадратическому отклонению (СКО) результата, определённого по формуле

(4)
Значение S оценивают по данным ряда измерений, выполненных по п.п. 7.3.1.3,
-
7.3.2.3 , 7.3.3.6.
п - число измерений
Значение So не должно превышать 0,3%.
-
7.4 Предел допускаемой относительной погрешности результата измерения пиранометром в соответствии с ГОСТ 8.195-89 и ГОСТ 8.207-76 не превышает 11%, если поверяемый пиранометр прошел поверку по пункту 7.3 настоящей методики.
-
8.1 Положительные результаты первичной и периодической поверки оформляют выдачей свидетельства о поверке по ПР 50.2.006-94.
-
8.2 При отрицательных результатах пиранометр к дальнейшему применению не допускают и выдают извещение о непригодности с указанием причин по ПР 50.2.006-94.
Заместитель начальника отделения
М.Н.Павлович
ФОРМА ПРОТОКОЛА
Протокол поверки
№
Дата поверки
Наименование (тип) поверяемого СИ:
заводской номер:
принадлежащее:
методика поверки:
вид поверки (первичная, периодическая):
внешний осмотр:
эталонные СИ:
измерительные приборы
Определение коэффициента преобразования при нормальном падении радиации и случайной погрешности результата определения коэффициента преобразования:
|
№ отсч. |
Эталонное СИ |
Поверяемый пиранометр | ||
|
тип, номер | ||||
|
По |
Uoi |
п |
Un, | |
|
1 10 | ||||
|
Среднее Uq = |
Среднее Un = | |||
|
СКО,% = | ||||
Заключение о пригодности _______________________________________________
годен, негоден, в последнем случае указывают причину негодности
Поверитель________________________
Подпись
ФИО
ФОРМА СВИДЕТЕЛЬСТВА О ПОВЕРКЕ
Наименование органа Государственной метрологической службы, юридического лица СВИДЕТЕЛЬСТВО
О ПОВЕРКЕ
№____
Действительно до
’’ ” р
Средство измерений_____________________________________________________
Наименование, тип
Серия и номер клейма предыдущей поверки (если такие серия и номер имеются)
заводской номер________________________________________________________
принадлежащее___________________________________________________
поверено и на основании результатов периодической поверки
признано пригодным к применению
Поверительное клеймо
подпись
инициалы, фамилия
должность руководителя подразделения
Поверитель
МЕТРОЛОГИЧЕСКИЕ ХАРАКТЕРИСТИКИ
Коэффициент преобразования при
нормальном падении радиации К. мВ/кВт м'2................................
Случайная погрешность результата
определения К So, % ..............................................
Предел допускаемой относительной погрешности результата измерения, %........................................................
Поверитель __________________________
подпись
ФИО
