Методика поверки «Излучатели в виде модели абсолютно черного тела "Кельвин АЧТ-200"» (МП РТ-1609-2011)
УТВЕРЖДАЮ
Излучатели в виде модели абсолютно черного тела «Кельвин АЧТ - 200»
МЕТОДИКА ПОВЕРКИ
МП РТ-1609-20 И г.Москва
2011 г.
1 ВведениеНастоящая методика распространяется на излучатели в виде модели абсолютно черного тела «Кельвин АЧТ - 200» (далее - излучатель) устанавливает методы и средства их первичной и периодической поверок.
Интервал между поверками - 1 год.
Метрологические характеристики излучателя в виде модели абсолютно черного тела
«Кельвин АЧТ - 200» приведены в таблице 1. Таблица 1
|
Диапазон воспроизводимых температур, °C |
от 40 до 200 (240*) |
|
Излучательная способность, не менее |
0,95 |
|
Диаметр выходного отверстия, мм |
54 |
|
Глубина полости, мм |
175 |
|
Время выхода на стационарный режим, не более, мин |
20 |
|
Дрейф температурный, не более, °C |
± 0,1 ± е.н.р. |
|
Погрешность поддержания температур, не более, °C |
± 0,1 ± е.н.р. |
|
Перепад температур на рабочей поверхности, не более, °C |
0,5 |
|
Цена е.н.р. при отображении температуры, °C |
0,1 |
|
Доверительная погрешности воспроизведения радиационной температуры при доверительной вероятности 0,95, не более °C |
0,8 |
|
Температура хранения, °C |
-30...+50 |
|
Температура окружающего воздуха при эксплуатации, °C |
20 ±5 |
|
Относительная влажность воздуха при эксплуатации, % |
не более 80 |
|
Атмосферное давление при эксплуатации, кПа |
86 ... 106 |
|
Напряжение питания постоянного тока, В |
19±0,5 |
|
Масса, не более, кг |
5 |
|
Габаритные размеры, мм |
260 х 270 х 190 |
Примечание: * - по заказу
Комплектность поставки указана в таблице 2. Таблица 2
|
Наименование |
Кол-во |
Примечание |
|
Излучатель в виде модели абсолютно черного тела «Кельвин АЧТ - 200» |
1 | |
|
Руководство по эксплуатации РЭ 4381-021-40240197-2011 |
1 | |
|
Блок питания |
1 | |
|
Упаковочная тара |
1 | |
|
Методика поверки. МП-РТ-1609-2011 |
1 |
2 Операции поверки
При проведении первичной и периодической поверки должны выполняться операции, указанные в таблице 3.
Таблица 3
|
Наименование операции |
Номер пункта МП |
Проведение операции при | |
|
первичной поверке |
периодической поверке | ||
|
1 Внешний осмотр, опробование, проверка версии встроенного программного обеспечения (ПО) |
6.1 |
Да |
Да |
|
2 Проверка габаритных размеров, диаметра выходного отверстия, глубины полости и массы |
6.2 |
Да |
Нет |
|
3 Определение
-времени перехода излучателя с одного стационарного режима на другой |
6.3 |
Да |
Да |
|
4 Определение погрешности поддержания температуры |
6.4 |
Да |
Да |
|
5 Определение доверительной погрешности воспроизведения радиационной температуры |
6.5 |
Да |
Да |
При проведении поверки применяют средства измерений, указанные в таблице 3.
Таблица 4
|
Наименование и тип средств измерений и оборудования |
Основные технические характеристики |
|
Эталонный пирометр |
1 разряд, диапазон от 40 до 240 °C |
|
Измерительная линейка |
Длина 500 мм, ц.д. 1 мм |
|
Часы наручные |
По ГОСТ 26272-98 |
Примечания:
-
1 Все средства измерений, применяемые при поверке, должны иметь действующие свидетельства о поверке или аттестации.
-
2 Допускается применение других средств измерений с метрологическими характеристиками, не хуже указанных, и разрешенных к применению в Российской Федерации.
При проведении поверки необходимо соблюдать:
-
- требования безопасности, которые предусматривают «Правила технической эксплуатации электроустановок потребителей» и «Межотраслевые правила по охране труда (правила безопасности) при эксплуатации электроустановок» ПОТ РМ-016-2001;
-
- указания по технике безопасности, приведенные в эксплуатационной документации на эталонные средства измерений и средства испытаний;
-
- указания по технике безопасности, приведенные в руководстве по эксплуатации тепловизоров.
К проведению поверки допускаются лица, аттестованные на право проведения поверки данного вида средств измерений, ознакомленные с руководством по эксплуатации тепловизоров и прошедшие инструктаж по технике безопасности.
5 Условия поверки и подготовка к нейПри проведении поверки должны соблюдаться следующие условия:
-
- температура окружающего воздуха, °C от + 15 до + 25;
-
- относительная влажность окружающего воздуха, % от 30 до 80;
-
- атмосферное давление, кПа от 86 до 106,7;
-
6 Проведение поверки
-
6.1 Внешний осмотр, опробование, проверка версии встроенного программного обеспечения (ПО)
-
При внешнем осмотре проверяется:
-
- соответствие маркировки излучателя эксплуатационной документации на него;
-
- отсутствие посторонних шумов при наклонах корпуса;
-
- отсутствие внешних повреждений поверяемого излучателя, которые могут повлиять на его метрологические характеристики.
Излучатель, не отвечающий перечисленным выше требованиям, дальнейшей поверке не подлежит.
-
6.1.2 Опробование
Подготовить излучатель к работе, в соответствии с руководством по эксплуатации, включить напряжение питания и проверить работоспособность (в соответствии с руководством по эксплуатации).
В случае обнаружения неисправности излучатели к дальнейшей работе не допускаются.
-
6.1.3 Проверка версии встроенного программного обеспечения (ПО)
При включения излучателя на индикаторе «ФАКТ» выводится идентификационный номер (версия) ПО (таблица 5). Наименование программного обеспечения (идентификационное наименование программного обеспечения) нанесено на наклейку на корпусе излучателей в виде модели абсолютно черного тела «Кельвин АЧТ - 200».
Таблица 5
|
Наименование программного обеспечения |
Идентификационное наименование программного обеспечения |
Номер версии (идентификационный номер) программного обеспечения |
|
«Кельвин АЧТ - 200» |
«Кельвин АЧТ - 200» |
rl.Ol |
Излучатели считаются выдержавшими проверку, если наименование и идентификационный номер ПО соответствует указанной в таблице 5. Если идентификационный номер и (или) наименование не совпадает, то дальнейшую поверку не проводят.
-
6.2 Проверка габаритных размеров, диаметра выходного отверстия, глубины полости и массы
-
6.2.1 Проверка габаритных размеров, диаметра выходного отверстия, глубины полости
-
Проверку соответствия проводить измерением габаритных размеров линейкой с ценой деления 1 мм.
Результат проверки считать положительным если:
-
- габаритные размеры не превышают - 260 * 270 * 190 мм;
-
- диаметра выходного отверстия не более - 54 мм;
-
- глубина полости не более - 170 мм
-
6.2.2 Проверка массы
Проверку массы излучателей проводить взвешиванием на технических весах. Излучатели считают выдержавшими проверку, если измеренная масса не превышает - 5 кг.
-
6.3 Определение времени выхода излучателя на стационарный режим, дрейфа температуры излучателя, времени перехода излучателя с одного стационарного режима на другой
Время выхода излучателя на стационарный режим и дрейф температуры излучателя определяют одновременно.
-
6.3.1 Определение времени выхода на стационарный режим на нижнем пределе температурного диапазона
-
6.3.1.1 Установить на задатчике температуры (индикатор «Задано») значение плюс
-
40 °C и включить нагрев согласно разделу 5 Руководства по эксплуатации.
-
6.3.1.2 Дождаться выхода излучателя на стационарный режим. Контроль установившейся температуры - по индикатору «Факт».
-
6.3.1.3 Измерить время от момента включения до момента выхода излучателя на стационарный режим.
Время выхода на стационарный режим не должно превышать 20 мин, в противном случае излучатель бракуют.
6.3.2 Определение дрейфа температуры
-
6.3.2.1 Под дрейфом температуры на заданном стационарном температурном режиме понимается максимальная разность средних значений температуры, определяемых за каждые 5 мин в течение 15 мин.
-
6.3.2.2 Зафиксировать значение температуры по показаниям индикатора «Факт» в течение 15 мин через каждые 10 - 15 с.
-
6.3.2.3 Рассчитать средние арифметические значения температуры по результатам измерений в течение трех интервалов по пять минут.
Дрейф температуры не должен превышать значений, указанных в таблице 1 настоящей методики поверки. В противном случае излучатель бракуют.
-
6.3.3 Определение времени перехода излучателя с одного стационарного режима на другой
-
6.3.3.1 Установить на задатчике температуры значение, соответствующее следующему тепловому режиму плюс 100 °C, и повторить операции по п. 6.3.1.2, 6.3.1.3, 6.3.2.
-
6.3.4 Определение времени выхода излучателя на стационарный режим на верхнем пределе температурного диапазона
-
6.3.4.1 Охладить излучатель до комнатной температуры (согласно разделу 5 Руководства по эксплуатации).
-
6.3.4.2 Установить на задатчике температуры плюс 200 (240) °C и включить нагрев.
-
6.3.4.3 Повторить операции по п. 6.3.1.2, 6.3.1.3, 6.3.2.
-
6.3.4.4 Если максимальная разность средних арифметические значения температуры излучающей поверхности излучателя превышают значения дрейфа, то излучатель бракуют. Для расчетов использовать данные за десяти минутный интервал, полученный по п.6.3.2.2.
-
6.3.4.5 Вычисления провести для температур из п.6.3.1.1, 6.3.3.1, 6.3.4.2.
6.4 Определение погрешности поддержания температуры
-
6.4.1 Установить на излучателе температуру плюс 40 °C.
-
6.4.2 После выхода излучателя на стационарный режим в течении 10 минут через каждые 10-15 секунд определяют значение температуры по индикатору.
-
6.4.3 Одновременно определить зависимость поправки от места визирования. Для этого определить среднее арифметическое значение поправок по излучающей поверхности, а максимальное отклонение значений поправок по поверхности от их среднего значения учесть как составляющую доверительной погрешности &тп ■
-
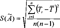
6.4.4 Вычислить среднее арифметическое значение температуры за 10 мин Т и среднее квадратическое отклонение (СКО) текущего значения температуры 8ПОд по формулам 1:
'под

П -1
где Tj-i-й результат измерения температуры,
п - число измерений (не менее 10).
Для расчетов использовать данные за десяти минутный интервал, полученный по п.6.3.2.2
-
6.4.6 Установить на излучателе температуру плюс 200 (240) °C и повторить операции по п. 6.4.2 - 6.4.5.
-
6.4.7 Если полученные значения превышают значение погрешности поддержания температуры излучателя (таблица 1), то излучатель считается не прошедшим поверку.
-
6.5 Определение доверительной погрешности воспроизведения температуры
-
6.5.1 Определение доверительной погрешности (Дх) производится в следующих стационарных режимах: плюс 40, 80, 120, 160, 200, (240*) °C.
-
6.5.2 Перед определением доверительной погрешности поверяемых излучателей требуется определить поправки к показаниям термометра излучателя. Поправки к показаниям рассчитывают как разность средних арифметических значений эталонного пирометра и термометра поверяемого излучателя.
-
6.5.3 Установить на излучателе температуру (п.6.5.1).
-
6.5.4 Установить эталонный пирометр таким образом, чтобы его оптическая ось совпадала с осью излучателя и проходила через центр излучающей полости. Включить пирометр и измерить температуру излучателя (после выхода излучателя на стационарный температурный режим).
-
6.5.5 Зарегистрировать 10 отсчетов показаний пирометра. Вычислить средние арифметические значения температур эталонного пирометра и температуры проверяемого излучателя. Рассчитать поправку для данного температурного режима.
-
6.5.6 Повторить операции по п.6.5.3 - 6.5.5.
-
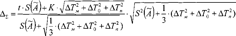
6.5.7 Вычислить среднеквадратичное отклонение результата измерений при определении поправки к показаниям термометра поверяемого излучателя S(A) для каждого стационарного режима по формуле 2:

(2)
где Г, - i-тое измерение температуры;
Т - среднее арифметическое значение температуры;
п - количество измерений.
-
6.5.8 Если полученные значения поправок превышают удвоенное значение доверительной погрешности излучателя (таблица 1), то излучатель считается не прошедшим поверку.
-
6.5.9 Рассчитать доверительную погрешность Дхпо формуле 3:
где t - коэффициент Стьюдента, который при доверительной вероятности 0,95 и числе измерений 10 равен 2,26;
К - коэффициент, определяемый доверительной вероятностью Р, при Р =0,95 коэффициент К = 1,1;
АТМ - нестабильность термометра излучателя;
ДГ„ - погрешность, возникающая из-за различия температур по излучающей поверхности излучателя;
ДГ() - погрешность эталонного средства измерений, которая задана своими границами в ТД на используемое исходное средство поверки.
-
6.5.10 Если значение доверительной погрешности воспроизведения радиационной температуры превосходит, указанное в таблице 1 настоящей методики, то излучатель бракуют.
Излучатели, прошедшие поверку с положительным результатом, признаются годными и допускаются к применению. На них оформляется свидетельство о поверке в соответствии с ПР 50.2.006.
При отрицательных результатах поверки, в соответствии с ПР 50.2.006, оформляется извещение о непригодности.
Начальник лаборатории 442
Гл. спец, по метрологии лаб. 442

С. Н. Ненашев
Р.А. Горбунов
7
