Методика поверки «гси.Резервуары стальные вертикальные цилиндрические РВСС-2000» (МП 199-13)
УТВЕРЖДАЮ
Директор

«Томский ЦСМ», к.т.н.
М.М. Чухланцева М 2013 г.
Государственная система обеспечения единства измерений
Резервуары стальные вертикальные цилиндрические РВСС-2000
МЕТОДИКА ПОВЕРКИ
МП 199-13
2013
Содержание
-
-
7.3 Измерения радиальных отклонений образующих резервуара от вертикали
-
7.5 Измерения высоты поясов, толщины стенок и слоя краски, высоты нахлеста поясов
-
7.6 Измерения геометрических параметров внутренних деталей и оборудования
-
7.7 Определение общей вместимости резервуаров, вместимости «мертвой» полости и
расчет погрешности определения общей вместимости резервуаров
Приложение А Рекомендуемая форма протокола результатов измерений при проведении поверки
Приложение Б Рекомендуемая форма журнала обработки результатов измерений при проведении поверки
Приложение В Рекомендуемая форма градуировочной таблицы
1 Общие положения-
1.1 Настоящая методика устанавливает порядок выполнения измерений геометрических параметров и определения интервальных вместимостей резервуаров стальных вертикальных цилиндрических РВСС-2000 (далее - резервуары) геометрическим методом с применением геодезических приборов - тахеометров электронных (далее - тахеометры) и устанавливает методы и средства их первичной и периодической поверки.
-
1.2 Настоящая методика распространяется на резервуары номинальной вместимостью 2000 м1 и предусматривает компьютерную обработку результатов измерений при определении интервальных вместимостей резервуара и составлении градуировочной таблицы.
-
1.3 Настоящая методика разработана в соответствии с рекомендациями ФР.1.27.2010.08875 МВУ040/03-2010 «Рекомендации. Метрология. Резервуары стационарные измерительные вертикальные. Методика выполнения измерений геометрическим методом с применением геодезических приборов».
-
1.4 Первичную поверку резервуаров выполняют перед вводом в эксплуатацию и после ремонта.
-
1.5 Периодическую поверку резервуаров выполняют в процессе эксплуатации через установленный интервал между поверками.
-
1.6 Периодичность поверки (интервал между поверками) резервуаров - 5 лет.
При проведении поверки резервуаров выполняют операции, приведенные в таблице 1.
Таблица 1
|
Наименование операции |
Номер пункта методики поверки |
Проведение операции при поверке | |
|
первичной |
периодической | ||
|
1 Внешний осмотр |
7.1 |
да |
да |
|
2 Измерения базовой высоты резервуаров |
7.2 | ||
|
3 Измерения радиальных отклонений образующих резервуара от вертикали |
7.3 |
да |
да |
|
4 Измерения высоты «мертвой» полости резервуара |
7.4 |
да |
да |
|
5 Измерения высоты поясов, толщины стенок и слоя краски, высоты нахлеста поясов резервуара |
7.5 |
да |
да |
|
6 Измерения геометрических параметров внутренних деталей и оборудования резервуара |
7.6 |
да |
да |
|
7 Определение общей вместимости резервуаров, вместимости «мертвой» полости и расчет погрешности определения общей вместимости резервуаров |
7.7 |
да |
да |
|
8 Оформление результатов измерений |
8 |
да |
да |
Таблица 2
|
Номер пункта |
Наименование образцового или вспомогательного средства поверки, метрологические характеристики |
|
7.2 |
- рулетка измерительная металлическая Р20У2Г: диапазон измерений от 0 до 20 м, класс точности 2 |
|
7.3 |
|
|
7.4 |
|
|
7.5 |
|
|
7.6 |
- рулетка измерительная металлическая Р20УЗК: диапазон измерений от 0 до 20 м, класс точности 3 |
|
7.7 |
- персональный компьютер с установленным программным обеспечением, предназначенным для обработки результатов измерений - пакетом прикладных программ «VGS» (рабочий программный модуль VER 2, версия 7.3, далее «VGS VER 2»), Свидетельство о государственной метрологической аттестации № 23-2010 от 16.04.2011 г. |
|
Примечание - допускается применение других средств поверки, обеспечивающих определение (контроль) метрологических характеристик резервуаров с требуемой точностью | |
-
- женщины - костюмы по ГОСТ 27574, спецобувь по ГОСТ 12.4.137, строительную каску по ГОСТ 12.4.087, рукавицы по ГОСТ 12.4.010 и очки защитные по ГОСТ Р 12.4.230.1
-
4.2 Содержание вредных паров и газов в воздухе вблизи и изнутри резервуара на высоте до 2000 мм не должно превышать санитарных норм, установленных ГОСТ 12.1.005.
-
4.3 Для освещения в темное время суток или, при необходимости, в дневное время суток при проведении измерений изнутри резервуара применяют светильники во взрывозащищенном исполнении.
-
4.4 Перед проведением поверки проверяют исправность лестниц и перил резервуаров, наличие заземления резервуаров.
-
4.5 На резервуарах, не имеющих ограждений в виде перил по всей окружности крыши, работы проводят с предохранительным поясом, прикрепленным к надежно установленным элементам металлических конструкций крыши резервуара.
-
4.6 Базовую высоту резервуара измеряют через измерительный люк. Избыточное давление в газовом пространстве резервуара должно быть равно нулю. После измерения крышку измерительного люка необходимо плотно закрыть.
-
4.7 В процессе измерений параметров резервуара обеспечивают двух- или трехкратный обмен воздуха внутри резервуара. При этом анализ воздуха на содержание вредных паров и газов проводят через каждый час.
-
4.8 К выполнению поверки резервуаров допускаются лица, не имеющие медицинских противопоказаний к работе на опасных производственных объектах, изучившие настоящую методику поверки, эксплуатационную документацию на резервуары и применяемые средства испытаний, а также прошедшие инструктаж по технике безопасности в соответствии с требованиями ГОСТ 12.0.004.
-
5.1 Испытания резервуаров проводят при соблюдении следующих условий:
-
- температура воздуха окружающей среды,°C от минус 15 до 35;
-
- относительная влажность воздуха окружающей среды, %,
не более 98;
-
- атмосферное давление, кПа от 80 до 106;
-
- отсутствие воздействия атмосферных осадков.
-
5.2 Измерения параметров резервуаров во время грозы категорически запрещены.
-
6.1 Проверка документации
На поверку представляют следующие документы:
-
- паспорта на резервуары;
-
- настоящая методика поверки.
-
6.2 Подготовка к измерениям
-
- тахеометр подготавливают к работе в соответствии с его эксплуатационной документацией;
-
- измеряемыми при помощи тахеометра величинами, в соответствии с настоящей методикой, являются: горизонтальные углы, вертикальные углы, наклонные расстояния от тахеометра до марки-отражателя или до отражающей пленки или до любой точки на поверхности резервуара (в режиме «измерений без отражателя», далее -безотражательном режиме);
-
- измерения выполняются между точками геодезической сети и с точек геодезической сети на точки на внешней или внутренней поверхности стенок резервуара;
-
- при измерениях снаружи резервуара, в зависимости от окружающей резервуар обстановки, выбирают схему геодезической сети в виде замкнутого шестиугольника, приведенную на рисунке 1. Кратчайшее расстояние от точек геодезической сети до образующей резервуара должно находиться в пределах от одной до четырех высот резервуара. Рекомендуется, чтобы стороны геодезической сети были приблизительно одинаковой длины, а расстояния от точек геодезической сети до стенки резервуара были приблизительно равны;
- при измерениях внутри резервуара геодезическая сеть представляет собой четыре отражающих пленки или бумажных марки, наклеенные на стенки резервуара на высоте 0,75 высоты первого пояса. Схема геодезической сети приведена на рисунке 2;
т* т» \ I
Рисунок 1 - Схема геодезической сети при выполнении измерений снаружи резервуара
Рисунок 2 - Схема геодезической сети при выполнении измерений внутри резервуара
-
- при измерениях снаружи резервуара рекомендуется точки геодезической сети закрепить на земле геодезическими знаками: временными - металлический штырь с керном, деревянный колышек с гвоздем, металлический костыль с керном или постоянными геодезическими знаками. При использовании не менее трех геодезических штативов с трегерами точки геодезической сети не закрепляют;
-
- при помощи рулетки на высоте 0,75 высоты первого пояса разбивают вертикальные сечения, отмечают мелом или краской, и подписывают их номера;
-
- для автоматического ввода поправок в измеренные значения расстояний в процессе проведения измерений каждые четыре часа измеряют температуру воздуха окружающей среды при помощи термогигрометра. Атмосферное давление контролируют при помощи данных сайта http://www.gismeteo.ru. Результаты измерений температуры и значения атмосферного давления заносят в таблицу по форме таблицы А. 1.
-
7.1 Внешний осмотр
-
7.1.1 При внешнем осмотре резервуаров проверяют:
-
-
- соответствие конструкции и внутренних деталей резервуаров проектной и технической документации;
-
- наличие необходимой арматуры и оборудования;
-
- состояние отмостки резервуаров (отсутствие трещин и целостность);
-
- отсутствие коррозионных повреждений, царапин, трещин, прожогов, оплавлений, расслоений, закатов на стенке, днище, настиле и несущих элементах кровли резервуаров;
-
- отсутствие деформаций, вмятин, выпучин поверхности стенки резервуаров, препятствующих проведению измерений.
-
7.1.2 По внешнему виду сварные швы днища, стенки и стационарной крыши резервуара должны удовлетворять следующим требованиям:
-
- по форме и размерам швы должны соответствовать проектной документации;
-
- швы должны иметь гладкую или равномерно чешуйчатую поверхность;
-
- металл шва должен иметь плавное сопряжение с основным металлом;
-
- швы не должны иметь недопустимых внешних дефектов.
-
7.1.3 К недопустимым внешним дефектам сварных соединений конструкции резервуара относятся трещины любых видов и размеров, несплавления, наплывы, грубая чешуйчатость, наружные поры и цепочки пор, прожоги и свищи.
Резервуары, забракованные при проверке внешнего вида и комплектности, к дальнейшим испытаниям в целях поверки не допускаются.
-
7.2 Измерения базовой высоты резервуара
-
7.2.1 Определение базовой высоты резервуаров выполняют с использованием рулетки металлической с грузом.
-
7.2.2 Базовую высоту резервуара измеряют не менее двух раз. Расхождение между результатами двух измерений не должно превышать 2 мм.
-
Результаты измерений базовой высоты заносят в протокол поверки в таблицу по форме таблицы А.2.
Результаты проверки положительные, если базовая высота резервуаров соответствует значениям, приведенным в описании типа на резервуары.
-
7.3 Измерения радиальных отклонений образующих резервуара от вертикали
-
7.3.1 В соответствии с эксплуатационной документацией на тахеометр проводят тахеометрическую съемку для построения геодезической сети. В память тахеометра заносят результаты измерений горизонтальных углов, расстояний, горизонтальные координаты и абсолютную высоту точек хода полигонометрии. Измерения выполняют на всех точках геодезической сети. С последней точки геодезической сети в обязательном порядке выполняют измерения на первую точку.
-
7.3.2 Горизонтальные координаты и абсолютные высоты точек геодезической сети, вычисленные программным обеспечением тахеометра, записывают в память тахеометра. Абсолютные высоты точек геодезической сети, вычисленные программным обеспечением тахеометра, записывают в память тахеометра.
-
7.3.3 Измерения для определения горизонтальных координат и абсолютной высоты точек, расположенных на внешней поверхности стенки резервуара
-
Перед измерениями снаружи на точки, находящиеся на стенке резервуара, тахеометр центрируют над точкой геодезической сети и измеряют его высоту (до горизонтальной оси). Имя точки стояния, высоту прибора над ней и имя точки, на которую был наведен тахеометр, вводят в память тахеометра (горизонтальные координаты и абсолютная высота точек геодезической сети должны быть предварительно введены в память тахеометра).
Зрительную трубу тахеометра наводят на риску, отмечающую соответствующее вертикальное сечение на поверхности резервуара на уровне 0,75 высоты первого пояса. В тахеометр вводят код точки на поверхности резервуара, номер сечения. Тахеометр переключают в безотражательный режим. Вращая зрительную трубу тахеометра вокруг горизонтальной оси выполняют наведение, начиная с 0,75 высоты первого пояса, на нижнюю, среднюю и верхнюю точки каждого пояса резервуара со второго до предпоследнего. Для верхнего пояса наведение осуществляют только на точки, расположенные внизу и в середине пояса. После наведения на каждую точку измеряют горизонтальное направление, вертикальный угол и расстояние. Вычисляют горизонтальные координаты и абсолютную высоту точки, на которую выполнялись измерения, с использованием программного обеспечения тахеометра. Результаты вычислений заносят в память тахеометра.
Измерения выполняют с одной точки установки тахеометра и завершают измерениями на точки геодезической сети. По результатам измерений вычисляют координаты тахеометра, которые не должны отличаться от первоначальных более чем на 6 мм.
-
7.3.4 После измерений данные с тахеометра переносят на персональный компьютер и проводят обработку результатов измерений по 7.3.1 - 7.3.3 с использованием программного Резервуары стальные вертикальные цилиндрические РВСС-2000_Методика поверки
обеспечения «VGS_VER_2». Результаты определения радиальных отклонений образующих резервуара от вертикали заносят в протокол поверки в таблицу по форме таблицы А.З.
-
7.4 Измерения высоты «мертвой» полости резервуара
-
7.4.1 Определение высоты «мертвой» полости выполняют методом тригонометрического нивелирования.
-
7.4.2 Измеряют тахеометром вертикальный угол и расстояние на марку-отражатель, установленный на уровне низа приемо-раздаточного патрубка вплотную к стенке резервуара. Допускается выполнять измерения наверху приемо-раздаточного патрубка в безотражательном режиме тахеометра, наводя тахеометр непосредственно на место, где патрубок вварен в стенку резервуара. Измерения проводят не менее двух раз, изменив высоту тахеометра или место его установки.
-
7.4.3 Измеряют рулеткой измерительной металлической длину окружности наружного диаметра трубы приемо-раздаточного патрубка, а также толщину стенки трубы толщиномером. Допускается измерения выполнять через люк резервуара, если есть прямая видимость через люк с точки сети или с произвольной точки на приемо-раздаточный патрубок.
-
7.4.4 Абсолютную высоту «мертвой» полости Н мп, мм, вычисляют по формуле:
-
H^=He-h‘e+h‘„+S,-d,
5
где Нб - базовая высота резервуара, мм;
hg - превышение между горизонтальной осью тахеометра и точкой измерений базовой высоты, мм;
h„- превышение между горизонтальной осью тахеометра и верхом приемораздаточного патрубка, мм;
8п - толщина стенки приемо-раздаточного патрубка, мм;
dn-внешний диаметр приемо-раздаточного патрубка, мм.
-
7.4.5 Результаты измерений абсолютной высоты «мертвой» полости заносят в протокол поверки в таблицу по форме таблицы А.4.
-
7.5 Измерения высоты поясов, толщины стенок и слоя краски, высоты нахлеста поясов резервуара
-
7.5.1 Определение высоты поясов резервуара выполняют методом тригонометрического нивелирования с использованием тахеометра. Устанавливают тахеометр на точке геодезической сети напротив первого вертикального сечения. Тахеометр приводят в рабочее положение согласно эксплуатационной документации и измеряют высоту (до горизонтальной оси). Вычисляют абсолютную высоту горизонта тахеометра.
-
7.5.2 Зрительную трубу тахеометра последовательно наводят на точки, расположенные на границах поясов резервуара по первому вертикальному сечению, измеряют вертикальный угол, наклонное расстояние и одновременно, используя программное обеспечение тахеометра, вычисляют абсолютную высоту поясов резервуара.
-
7.5.3 Толщину стенок поясов резервуара измеряют толщиномером. Измерения выполняют не менее двух раз для каждого пояса резервуара. Расхождение между результатами двух измерений должно находиться в пределах ±0,2 мм.
-
7.5.4 Толщину слоя краски поясов резервуаров определяют измерением толщины скола краски при помощи штангенциркуля.
-
7.5.5 Высоту нахлёста поясов резервуара измеряют при помощи штангенциркуля. Измерения выполняют для каждого пояса.
-
7.5.6 Результаты измерений заносят в протокол поверки в таблицу по форме таблицы А.5.
-
-
7.6 Измерения геометрических параметров внутренних деталей и оборудования резервуара
-
7.6.1 Определение геометрических параметров внутренних деталей и оборудования резервуара выполняют с использованием рулетки измерительной металлической.
-
7.6.2 Измеряют диаметр поперечного сечения цилиндрической детали или ширину и высоту прямоугольного поперечного сечения. Значения длины записывают со знаком минус, если деталь наружная, увеличивающая объем резервуара, и со знаком плюс, если внутренняя, уменьшающая объем резервуара.
-
7.6.3 Абсолютную высоту нижней и верхней границы детали определяют тахеометром методом тригонометрического нивелирования, последовательно измеряя вертикальные углы (зенитные расстояния) и расстояния вниз и вверх от каждой детали. Измерение расстояний выполняют в безотражательном режиме тахеометра или на марку-отражатель, установленный в соответствующих точках. В случае невозможности выполнения измерений изнутри резервуара допускается значения абсолютной высоты и параметров внутренних деталей и оборудования определять по проектной и технической документации на резервуар.
-
7.6.4 Результаты измерений заносят в протокол поверки в таблицу по форме таблицы А.6.
-
-
7.7 Определение общей вместимости резервуаров, вместимости «мертвой» полости и расчет погрешности определения общей вместимости резервуаров
-
7.7.1 Для обработки принимают результаты измерений по 7.3.1 - 7.3.3.
-
7.7.2 Данные по результатам измерений с тахеометра переносят на персональный компьютер.
-
7.7.3 Проводят определение общей вместимости резервуара с использованием программного обеспечения «VGS_VER_2»:
-
-
- интервальные вместимости резервуара вычисляют для уровня наполнения 10 мм суммированием интервальных вместимостей, отвечающим разнице абсолютной высоты 1 мм.
-
- общую вместимость резервуара V, м3, вычисляют по формуле:



где ДИШ — вместимость z-ro недеформированного от гидростатического давления пояса резервуара, м3;
ДИ,(. - поправка к вместимости резервуара за счет гидростатического давления жидкости, м3;
Ved - объем внутренних деталей, находящихся в резервуаре, м3.
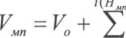
- вместимость «мертвой» полости резервуара, VMn м3, для всех отрицательных и положительных значений абсолютной высоты (z < 0) до абсолютной высоты «мертвой» полости Нмп вычисляют по формуле: где Vo - вместимость неконтролируемого остатка для всех отрицательных значений до абсолютной высоты (вместимость резервуара ниже абсолютной высоты точки касания днища грузом рулетки равной нулю), м3;
/<0

ДР' - z-ая интервальная вместимость резервуара (для уровня 1 мм), соответствующая абсолютной высоте (уровню) наполнения резервуара Я,, м3.
Резервуары стальные вертикальные цилиндрические РВСС-2000_Методика поверки
-
7.7.4 По результатам измерений вместимости резервуаров при помощи программного обеспечения «VGS VER 2» формируют журнал обработки результатов измерений и строят градуировочную таблицу.
-
7.7.5 Определение пределов допускаемой относительной погрешности общей вместимости резервуара проводят расчетным методом при помощи программного обеспечения «VGS_VER_2» на основании данных градуировочной таблицы. Результаты расчета пределов допускаемой относительной погрешности общей вместимости резервуара приводят на титульном листе градуировочной таблицы.
Относительная погрешность определения общей вместимости резервуара не должна превышать ±0,2%.
8 Обработка и оформление результатов поверки-
8.1 Обработку и оформление результатов измерений при определении параметров геодезической сети и резервуара выполняют на компьютере при помощи программного обеспечения «VGSVER2».
-
8.2 Составление градуировочных таблиц выполняют на компьютере при помощи программного обеспечения «VGS_VER_2».
-
8.3 По результатам измерений оформляют:
-
- протокол измерений при проведении поверки резервуара по форме, приведенной в приложении А;
-
- журнал обработки результатов измерений при помощи программного обеспечения «VGS_VER_2» по форме, приведенной в приложении Б;
-
- градуировочную таблицу по форме, приведенной в приложении В.
-
8.4 При положительных результатах поверки резервуаров (первичной и периодической) оформляется свидетельство о поверке в соответствии с ПР 50.2.006. Знак поверки наносится на каждый лист градуировочной таблицы.
-
8.5 Отрицательные результаты поверки оформляются в соответствии с ПР 50.2.006. Резервуары, прошедшие поверку с отрицательными результатами, не допускается к использованию.
Приложение А
Рекомендуемая форма протокола результатов измерений при проведении поверки (обязательное)
Лист_ Всего листов
Протокол
результатов измерений при проведении поверки
резервуара вертикального стального цилиндрического РВСС-2000 зав. № _
-
1 Общие данные
назначение: осуществление торговли и товарообменных операций
организация - владелец: ООО «Томскнефтепереработка»
место установки резервуара:
тип резервуара: РВСС-2000
номинальная вместимость, м3 2000
всего листов в протоколе измерений:
в журнале обработки:
в градуировочной таблице:
Измерения выполняли_______________________________________________________
Место проведения измерений___________________________________________________
Назначение резервуара__________________________________________________________
Параметры резервуара: число поясов_______, число вертикальных сечений_____
-
2 Результаты измерений
-
2.1 Внешний осмотр и опробование______________________________________________
-
2.2 Условия измерений
Таблица А.1
|
Измеряемые параметры |
1 изм. |
2 изм. |
3 изм. |
4 изм. |
Среднее значение |
|
Время измерений, чч.мм. | |||||
|
Температура воздуха, °C | |||||
|
Атмосферное давление, кПа |
2.3 Измерения базовой высоты резервуара
Таблица А.2
|
Базовая высота резервуара, мм |
Среднее арифметическое значение | |
|
1 изм. |
2 изм. | |
2.4 Измерения радиальных отклонений образующих резервуара от вертикали Таблица А.З - Радиальные отклонения образующих резервуара от вертикали, мм
|
Номер пояса |
Номера вертикальных сечений | ||||||||
|
1 |
2 |
3 |
4 |
5 |
6 |
п | |||
|
1 Сред | |||||||||
|
1 Верх | |||||||||
|
2 Низ | |||||||||
|
2 Сред | |||||||||
|
2 Верх | |||||||||
|
m Низ | |||||||||
|
m Сред | |||||||||
-
2.4 Измерения при определении абсолютной высоты «мертвой» полости Таблица А.4
Определяемый параметр
Обозначение параметра
Номер измерений
Среднее арифметическое значение
1
2
Превышение между горизонтальной осью тахеометра и точкой измерений базовой высоты, мм
Толщина стенки приемо-раздаточного патрубка, мм
Внутренний диаметр приемо-раздаточного патрубка, мм
dn
Превышение между горизонтальной осью тахеометра и верхом приемо-раздаточного патрубка, мм
hBn
Абсолютная высота «мертвой» полости, мм
нмп
-
2.5 Определение высоты поясов, толщины стенок и слоя краски, высоты нахлеста поясов резервуара
Таблица А.5
|
Номер пояса |
Абсолютная высота пояса, мм |
Толщина стенки пояса, мм |
Толщина слоя краски, мм |
Высота и схема нахлеста поясов, мм |
|
1 | ||||
|
N | ||||
|
Примечания:
| ||||
-
2.6 Определение геометрических параметров внутренних деталей и оборудования резервуара Таблица А. 6
Форма
Высота, мм
Длина, мм
Диаметр, ширина, мм
Угол наклона оси, 0
Объем, м3
Абсолютная высота детали, мм
нижней
границы
верхней границы
Выводы:
по результатам поверки пригоден (не пригоден) к применению;
-
— на основании положительных результатов первичной и периодической поверки
выдано свидетельство о поверке №______от
-
— на основании отрицательных результатов поверки выдано извещение о
непригодности
Подписи лиц, проводивших поверку:
|
Должность |
Фамилия И.О. |
Подпись |
дата |
|
Должность |
Фамилия И.О. |
Подпись |
дата |
Приложение к протоколу поверки результатов измерений резервуара зав № Лист_ Всего листов Журнал
обработки результатов измерений при проведении поверки
резервуара вертикального стального цилиндрического РВСС-2000 зав. №____
Организация ООО «Томскнефтепереработка»
1 Методика поверки и компьютерная программа обработки результатов измерений
Таблица Б. 1
|
Обозначение |
Название |
Организация-разработчик | |
|
Методика поверки |
МП 199-13 |
ГСИ. Резервуары стальные вертикальные цилиндрические РВСС-2000. Методика поверки |
ФБУ «Томский ЦСМ» |
|
Компьютерная программа |
VER2 |
Пакет прикладных программ «VGS» (рабочий программный модуль VER 2, версия 7.3) |
ГП «Укрметртестстандарт» |
2 Параметры резервуара
|
Таблица Б.2 - Г |
араметры резервуара | ||||
|
Заводской номер |
Длина наружной окружности, мм |
Длина внутренней окружности, мм |
Высота «мертвой» полости, мм |
Вместимость «мертвой» полости, м3 |
Базовая высота, мм |
» Продолжение таблицы Б.2
|
Заводской номер |
Предельная высота наполнения, мм |
Вместимость на предельную высоту наполнения, м3 |
Степень наклона резервуара |
Угол направления наклона резервуара, ° |
Относительная погрешность определения вместимости резервуара, % |
3 Вычисление поправки к вместимости пояса резервуара за счет гидростатического давления жидкости
Таблица Б.З
|
Номер пояса |
Средние радиальные отклонения стенки резервуара, мм |
Внутренние высоты поясов, мм |
Уровни наполнения вверху поясов, мм |
Поправки на гидростатическое давление, м3 |
|
1 | ||||
|
N | ||||
|
Примечание - в таблице приняты следующие обозначения и сокращения: N- общее число поясов резервуара | ||||
Приложение В
Рекомендуемая форма градуировочной таблицы
(обязательное)
Название организации, утверждающей градуировочную таблицу
СОГЛАСОВАНО
УТВЕРЖДАЮ
(должность руководителя подразделения и наименование организации проводящей поверку) (должность руководителя и наименование организации проводящей поверку)
(подпись) (расшифровка подписи) «_____»______________20__г.
(подпись) (расшифровка подписи) «_____»_______________20__г.
ГРАДУИРОВОЧНАЯ ТАБЛИЦАРезервуар вертикальный стальной цилиндрический РВСС-2000 зав. №_____
назначение: осуществление торговли и товарообменных операций организация-владелец: ООО «Томскнефтепереработка» место установки резервуара:
тип резервуара: РВСС-2000
номинальная вместимость: 2000 м3
пределы допускаемой относительной погрешности определения
вместимости резервуара, %: ±_____
базовая высота резервуара, мм:______
предельная абсолютная высота наполнения, мм:______
вместимость на предельную абсолютную высоту наполнения, м3:______
Уровень жидкости ниже Н мп =___мм для государственных учетных и торговых операций с
нефтью и нефтепродуктами, взаимных расчетов между поставщиком и потребителем не используется вместимость «мертвой» полости, м3:______
дата проведения поверки:
срок очередной поверки: всего листов в градуировочной таблице:
Расчет градуировочной таблицы выполнен пакетом прикладных программ «VGS» (рабочий программный модуль VER_2, версия 7.3) разработанным ГП «Укрметртестстандарт».
Свидетельство о государственной метрологической аттестации № 23-2010 от 16.04.2011 г.
Регистрационный № документа______________
Резервуар №
Организация
Таблица В.1
|
Уровень наполнения, см |
Вместимость, м3 |
Коэф, вместимости, м3/мм |
Уровень наполнения,см |
Вместимость, м3 |
Коэф, вместимости, м3/мм |
Уровень наполнения, див |
Вместимость, м3 |
Коэф, вместимости, м3/мм |
Поверитель ___________________
(подпись и знак поверки)
Лист
Листов
(имя, фамилия)
Регистрационный № документа_________,
Резервуары стальные вертикальные цилиндрические РВСС-2000_Методика поверки
Средства поверки
-
3.1 При проведении поверки должны использоваться средства измерений и оборудование, указанные в таблице 2.
-
3.2 Средства поверки должны иметь действующие свидетельства о поверке и (или) знак поверки.
Требования безопасности
-
4.1 Лица, проводящие поверку должны использовать следующую спецодежду:
- мужчины - костюмы по ГОСТ 27575, спецобувь по ГОСТ 12.4.137, строительную каску по ГОСТ 12.4.087, рукавицы по ГОСТ 12.4.010 и очки защитные по ГОСТ Р 12.4.230.1; Резервуары стальные вертикальные цилиндрические РВСС-2000_Методика поверки
